Robust Fixed-Time Fault-Tolerant Control for USV with Prescribed Tracking Performance
Abstract
1. Introduction
- (1)
- An improved fixed-time disturbances observer is proposed. The proposed technique is significant in that it not only provides faster convergence but also effectively reduces the chattering phenomenon by introducing the hyperbolic tangent function. In addition, the bound of the convergence time value can be predicted in advance.
- (2)
- Combining fixed-time SMC, FTC, and PPC theories, a novel IFxDO-PPFxFC scheme is proposed in this paper. Unlike the finite-time stable control scheme [18,19,20], The proposed control scheme enables the USV to accurately track the desired trajectory in a fixed time, and the convergence time is independent of initial states. Meanwhile, the advantage of this control scheme is its singularity-free. Furthermore, it can guarantee the transient and steady-state performance of output errors of trajectory tracking controller even in the presence of actuator faults; this is of great significance for the safe navigation of USV.
2. Preliminaries and Problem Formulation
2.1. Preliminaries
2.2. USV Mathematical Model
3. Controller Design and Stability Analysis
3.1. Improved Fixed-Time Disturbances Observer
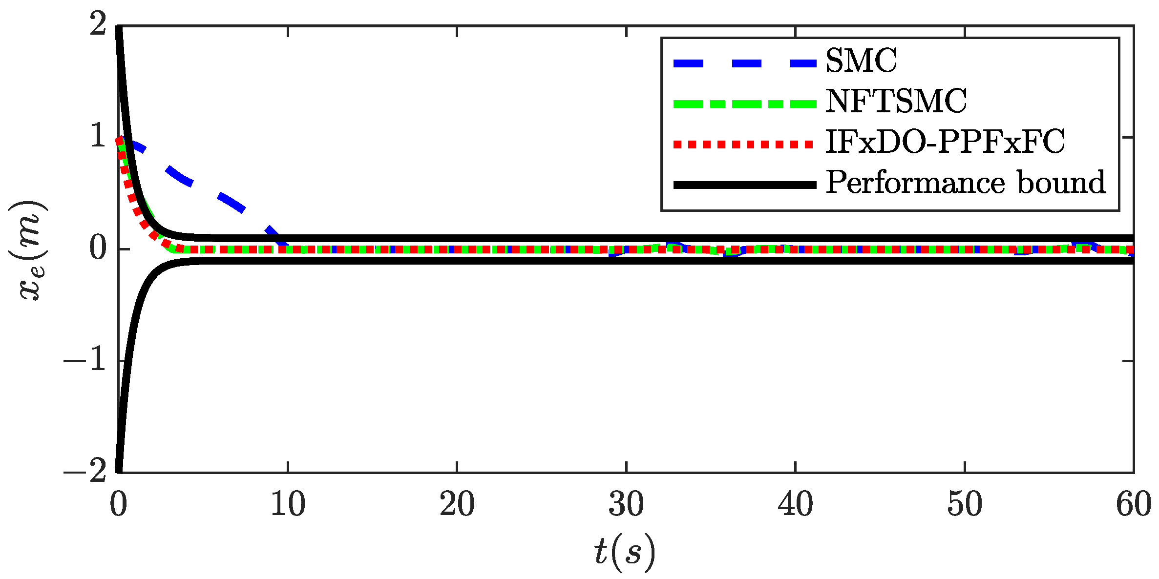
3.2. Errors Transformation via Performance Function
- is a monotonically decreasing function;
- , is a strictly increasing function;
- , ;
- , .
3.3. Fixed-Time Fault-Tolerant Controller Design
3.4. Stability Analysis
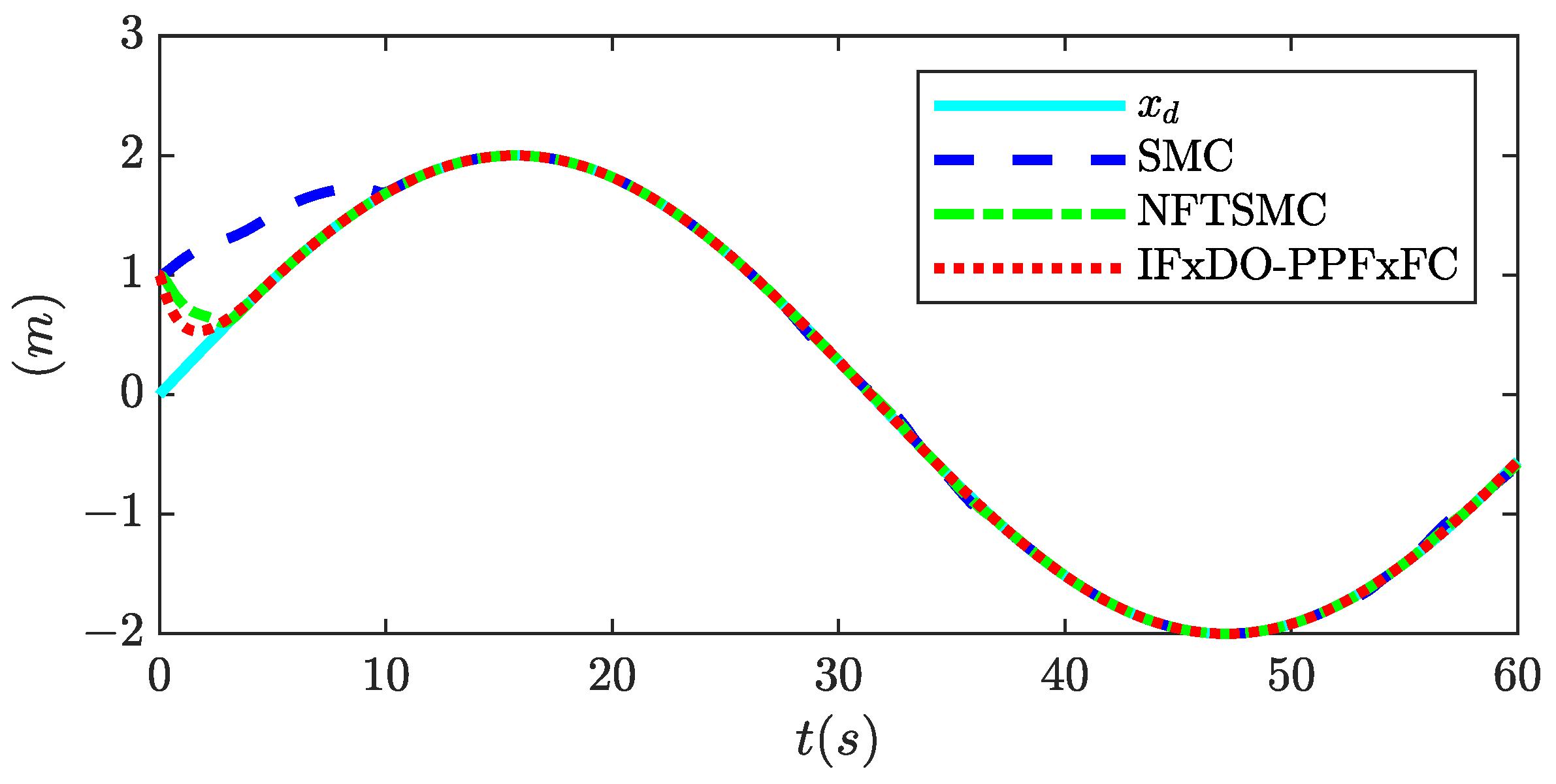
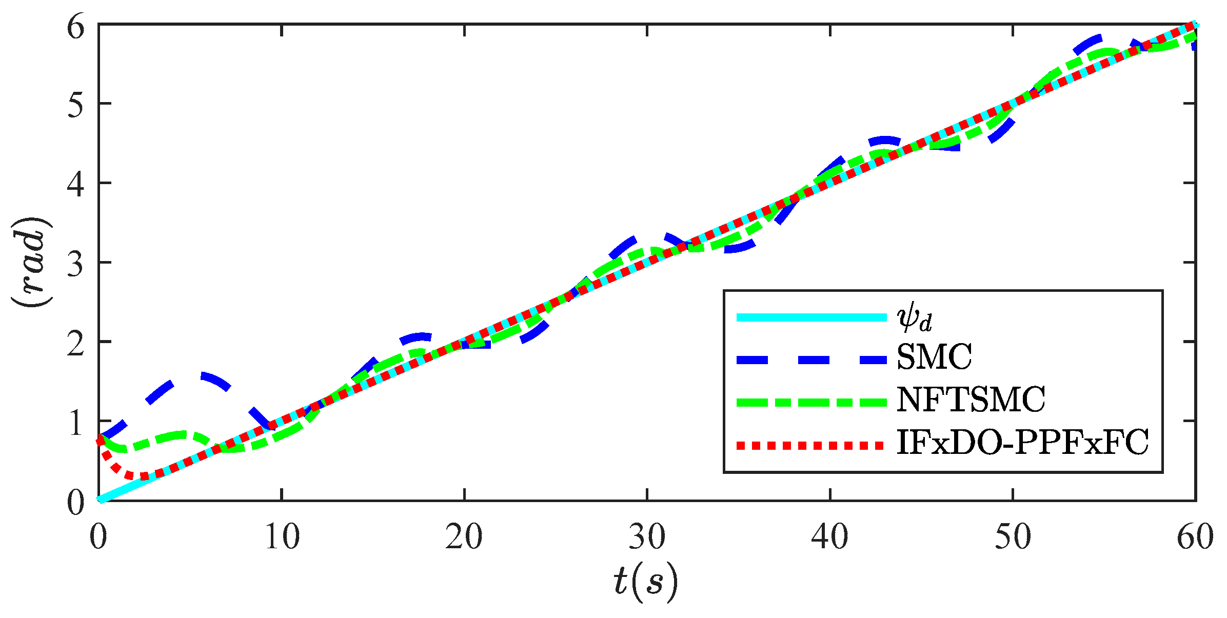
4. Numerical Simulations and Analysis
5. Conclusions
Author Contributions
Funding
Institutional Review Board Statement
Informed Consent Statement
Data Availability Statement
Conflicts of Interest
References
- Er, M.J.; Ma, C.; Liu, T.; Gong, H. Intelligent Motion Control of Unmanned Surface Vehicles: A Critical Review. Ocean Eng. 2023, 280, 114562. [Google Scholar] [CrossRef]
- Alvaro-Mendoza, E.; Gonzalez-Garcia, A.; Castañeda, H.; De León-Morales, J. Novel Adaptive Law for Super-Twisting Controller: USV Tracking Control under Disturbances. ISA Trans. 2023, 139, 561–573. [Google Scholar] [CrossRef] [PubMed]
- Song, L.; Xu, C.; Hao, L.; Yao, J.; Guo, R. Research on PID Parameter Tuning and Optimization Based on SAC-Auto for USV Path Following. J. Mar. Sci. Eng. 2022, 10, 1847. [Google Scholar] [CrossRef]
- Dong, Z.; Wan, L.; Li, Y.; Liu, T.; Zhang, G. Trajectory Tracking Control of Underactuated USV Based on Modified Backstepping Approach. Int. J. Nav. Archit. Ocean Eng. 2015, 7, 817–832. [Google Scholar] [CrossRef]
- Tong, H. An Adaptive Error Constraint Line-of-Sight Guidance and Finite-Time Backstepping Control for Unmanned Surface Vehicles. Ocean Eng. 2023, 285, 115298. [Google Scholar] [CrossRef]
- Chen, Y.-Y.; Ellis-Tiew, M.-Z. Autonomous Trajectory Tracking and Collision Avoidance Design for Unmanned Surface Vessels: A Nonlinear Fuzzy Approach. Mathematics 2023, 11, 3632. [Google Scholar] [CrossRef]
- Lu, J.; Yu, S.; Zhu, G.; Zhang, Q.; Chen, C.; Zhang, J. Robust Adaptive Tracking Control of UMSVs under Input Saturation: A Single-Parameter Learning Approach. Ocean Eng. 2021, 234, 108791. [Google Scholar] [CrossRef]
- Qin, H.; Li, C.; Sun, Y. Adaptive Neural Network-based Fault-tolerant Trajectory-tracking Control of Unmanned Surface Vessels with Input Saturation and Error Constraints. IET Intell. Trans. Sys. 2020, 14, 356–363. [Google Scholar] [CrossRef]
- Gonzalez-Garcia, A.; Castaneda, H. Guidance and Control Based on Adaptive Sliding Mode Strategy for a USV Subject to Uncertainties. IEEE J. Ocean. Eng. 2021, 46, 1144–1154. [Google Scholar] [CrossRef]
- Zhao, C.; Yan, H.; Gao, D.; Wang, R.; Li, Q. Adaptive Neural Network Iterative Sliding Mode Course Tracking Control for Unmanned Surface Vessels. J. Math. 2022, 2022, 1417704. [Google Scholar] [CrossRef]
- Wang, R.; Yan, H.; Li, Q.; Deng, Y.; Jin, Y. Parameters Optimization-Based Tracking Control for Unmanned Surface Vehicles. Math. Probl. Eng. 2022, 2022, 2242338. [Google Scholar] [CrossRef]
- Chen, Z.; Zhang, Y.; Zhang, Y.; Nie, Y.; Tang, J.; Zhu, S. Disturbance-Observer-Based Sliding Mode Control Design for Nonlinear Unmanned Surface Vessel with Uncertainties. IEEE Access 2019, 7, 148522–148530. [Google Scholar] [CrossRef]
- Piao, Z.; Guo, C.; Sun, S. Adaptive Backstepping Sliding Mode Dynamic Positioning System for Pod Driven Unmanned Surface Vessel Based on Cerebellar Model Articulation Controller. IEEE Access 2020, 8, 48314–48324. [Google Scholar] [CrossRef]
- Chen, Z.; Zhang, Y.; Nie, Y.; Tang, J.; Zhu, S. Adaptive Sliding Mode Control Design for Nonlinear Unmanned Surface Vessel Using RBFNN and Disturbance-Observer. IEEE Access 2020, 8, 45457–45467. [Google Scholar] [CrossRef]
- He, Z.; Wang, G.; Fan, Y.; Qiao, S. Fast Finite-Time Path-Following Control of Unmanned Surface Vehicles with Sideslip Compensation and Time-Varying Disturbances. J. Mar. Sci. Eng. 2022, 10, 960. [Google Scholar] [CrossRef]
- Yu, Y.; Guo, C.; Li, T. Finite-Time LOS Path Following of Unmanned Surface Vessels with Time-Varying Sideslip Angles and Input Saturation. IEEE/ASME Trans. Mechatron. 2022, 27, 463–474. [Google Scholar] [CrossRef]
- Wang, N.; Gao, Y.; Yang, C.; Zhang, X. Reinforcement Learning-Based Finite-Time Tracking Control of an Unknown Unmanned Surface Vehicle with Input Constraints. Neurocomputing 2022, 484, 26–37. [Google Scholar] [CrossRef]
- Xu, D.; Liu, Z.; Song, J.; Zhou, X. Finite Time Trajectory Tracking with Full-State Feedback of Underactuated Unmanned Surface Vessel Based on Nonsingular Fast Terminal Sliding Mode. J. Mar. Sci. Eng. 2022, 10, 1845. [Google Scholar] [CrossRef]
- Hu, Y.; Zhang, Q.; Liu, Y.; Meng, X. Event Trigger Based Adaptive Neural Trajectory Tracking Finite Time Control for Underactuated Unmanned Marine Surface Vessels with Asymmetric Input Saturation. Sci. Rep. 2023, 13, 10126. [Google Scholar] [CrossRef]
- Rodriguez, J.; Castañeda, H.; Gonzalez-Garcia, A.; Gordillo, J.L. Finite-Time Control for an Unmanned Surface Vehicle Based on Adaptive Sliding Mode Strategy. Ocean Eng. 2022, 254, 111255. [Google Scholar] [CrossRef]
- Huang, B.; Song, S.; Zhu, C.; Li, J.; Zhou, B. Finite-Time Distributed Formation Control for Multiple Unmanned Surface Vehicles with Input Saturation. Ocean Eng. 2021, 233, 109158. [Google Scholar] [CrossRef]
- Polyakov, A. Nonlinear Feedback Design for Fixed-Time Stabilization of Linear Control Systems. IEEE Trans. Automat. Contr. 2012, 57, 2106–2110. [Google Scholar] [CrossRef]
- Yao, Q. Robust Fixed-Time Trajectory Tracking Control of Marine Surface Vessel with Feedforward Disturbance Compensation. Int. J. Syst. Sci. 2022, 53, 726–742. [Google Scholar] [CrossRef]
- Zhang, J.; Yu, S.; Wu, D.; Yan, Y. Nonsingular Fixed-Time Terminal Sliding Mode Trajectory Tracking Control for Marine Surface Vessels with Anti-Disturbances. Ocean Eng. 2020, 217, 108158. [Google Scholar] [CrossRef]
- Chen, D.; Zhang, J.; Li, Z. A Novel Fixed-Time Trajectory Tracking Strategy of Unmanned Surface Vessel Based on the Fractional Sliding Mode Control Method. Electronics 2022, 11, 726. [Google Scholar] [CrossRef]
- Yu, X.-N.; Hao, L.-Y. Integral Sliding Mode Fault Tolerant Control for Unmanned Surface Vessels with Quantization: Less Iterations. Ocean Eng. 2022, 260, 111820. [Google Scholar] [CrossRef]
- Zhang, J.; Yu, S.; Yan, Y.; Wu, D. Fixed-Time Output Feedback Sliding Mode Tracking Control of Marine Surface Vessels under Actuator Faults with Disturbance Cancellation. Appl. Ocean Res. 2020, 104, 102378. [Google Scholar] [CrossRef]
- Wu, W.; Tong, S. Fixed-Time Formation Fault Tolerant Control for Unmanned Surface Vehicle Systems with Intermittent Actuator Faults. Ocean Eng. 2023, 281, 114813. [Google Scholar] [CrossRef]
- Heshmati-Alamdari, S.; Bechlioulis, C.P.; Karras, G.C.; Nikou, A.; Dimarogonas, D.V.; Kyriakopoulos, K.J. A Robust Interaction Control Approach for Underwater Vehicle Manipulator Systems. Annu. Rev. Control 2018, 46, 315–325. [Google Scholar] [CrossRef]
- Wang, Z.; Su, Y.; Zhang, L. Fixed-Time Attitude Tracking Control for Rigid Spacecraft. IET Control Theory Appl. 2020, 14, 790–799. [Google Scholar] [CrossRef]
- Fan, Y.; Qiu, B.; Liu, L.; Yang, Y. Global Fixed-Time Trajectory Tracking Control of Underactuated USV Based on Fixed-Time Extended State Observer. ISA Trans. 2023, 132, 267–277. [Google Scholar] [CrossRef] [PubMed]
- Zuo, Z.; Tie, L. A New Class of Finite-Time Nonlinear Consensus Protocols for Multi-Agent Systems. Int. J. Control 2014, 87, 363–370. [Google Scholar] [CrossRef]
- Skjetne, R.; Fossen, T.I.; Kokotović, P.V. Adaptive Maneuvering, with Experiments, for a Model Ship in a Marine Control Laboratory. Automatica 2005, 41, 289–298. [Google Scholar] [CrossRef]
- Basin, M.; Bharath Panathula, C.; Shtessel, Y. Multivariable Continuous Fixed-Time Second-Order Sliding Mode Control: Design and Convergence Time Estimation. IET Control Theory Appl. 2017, 11, 1104–1111. [Google Scholar] [CrossRef]
- Sui, B.; Zhang, J.; Li, Y.; Liu, Y.; Zhang, Y. Fixed-Time Trajectory Tracking Control of Unmanned Surface Vessels with Prescribed Performance Constraints. Electronics 2023, 12, 2866. [Google Scholar] [CrossRef]
- Van, M.; Ceglarek, D. Robust Fault Tolerant Control of Robot Manipulators with Global Fixed-Time Convergence. J. Frankl. Inst. 2021, 358, 699–722. [Google Scholar] [CrossRef]
- Li, H.; Cai, Y. On SFTSM Control with Fixed-Time Convergence. IET Control Theory Appl. 2017, 11, 766–773. [Google Scholar] [CrossRef]














| Related Literature | Model Uncertainties | External Disturbances | Actuator Faults | Prescribed Performance | Limited Convergence Time | Convergence Time Is Independent of Initial States | 
|---|---|---|---|---|---|---|
| [12] | ⨯ | ✓ | ⨯ | ⨯ | ⨯ | ✓ | 
| [13] | ✓ | ✓ | ⨯ | ⨯ | ⨯ | ✓ | 
| [14] | ✓ | ✓ | ⨯ | ⨯ | ⨯ | ✓ | 
| [18] | ✓ | ✓ | ⨯ | ⨯ | ✓ | ⨯ | 
| [19] | ⨯ | ✓ | ⨯ | ⨯ | ✓ | ⨯ | 
| [20] | ✓ | ✓ | ⨯ | ⨯ | ✓ | ⨯ | 
| [23] | ✓ | ✓ | ⨯ | ⨯ | ✓ | ✓ | 
| [24] | ✓ | ✓ | ✓ | ⨯ | ✓ | ✓ | 
| [25] | ✓ | ✓ | ⨯ | ⨯ | ✓ | ✓ | 
| [26] | ⨯ | ✓ | ✓ | ⨯ | ✓ | ⨯ | 
| [27] | ✓ | ✓ | ✓ | ⨯ | ✓ | ✓ | 
| [28] | ✓ | ✓ | ✓ | ⨯ | ✓ | ✓ | 
| [29] | ⨯ | ⨯ | ⨯ | ✓ | ⨯ | ✓ | 
| This paper | ✓ | ✓ | ✓ | ✓ | ✓ | ✓ | 
| Control Scheme | IAE | 
|---|---|
| SMC | ) = 17.7117 | 
| NFTSMC | ) = 7.9170 | 
| IFxDO-PPFxFC | ) = 0.7680 | 
| Disclaimer/Publisher’s Note: The statements, opinions and data contained in all publications are solely those of the individual author(s) and contributor(s) and not of MDPI and/or the editor(s). MDPI and/or the editor(s) disclaim responsibility for any injury to people or property resulting from any ideas, methods, instructions or products referred to in the content. | 
© 2024 by the authors. Licensee MDPI, Basel, Switzerland. This article is an open access article distributed under the terms and conditions of the Creative Commons Attribution (CC BY) license (https://creativecommons.org/licenses/by/4.0/).
Share and Cite
Li, Z.; Lei, K. Robust Fixed-Time Fault-Tolerant Control for USV with Prescribed Tracking Performance. J. Mar. Sci. Eng. 2024, 12, 799. https://doi.org/10.3390/jmse12050799
Li Z, Lei K. Robust Fixed-Time Fault-Tolerant Control for USV with Prescribed Tracking Performance. Journal of Marine Science and Engineering. 2024; 12(5):799. https://doi.org/10.3390/jmse12050799
Chicago/Turabian StyleLi, Zifu, and Kai Lei. 2024. "Robust Fixed-Time Fault-Tolerant Control for USV with Prescribed Tracking Performance" Journal of Marine Science and Engineering 12, no. 5: 799. https://doi.org/10.3390/jmse12050799
APA StyleLi, Z., & Lei, K. (2024). Robust Fixed-Time Fault-Tolerant Control for USV with Prescribed Tracking Performance. Journal of Marine Science and Engineering, 12(5), 799. https://doi.org/10.3390/jmse12050799
 
        


 
       