Abstract
Pharmaceuticals are recognized as a serious threat to aquatic ecosystems due to their persistence or pseudo-persistence and their biological activity. Their increased consumption in human and animal medicine has led to a continuous discharge of such biologically active molecules in aquatic environments. Marine ecosystems have been poorly investigated, even though recent studies have confirmed that these emerging contaminants occur widely in these ecosystems. Due to their interaction with specific biochemical and physiological pathways in target organisms, pharmaceuticals can cause alterations in several marine species during their entire life cycle. In particular, marine fishes have shown the ability to bioaccumulate these compounds in their body, and they may be used as potential bioindicators of pharmaceutical contamination in seawater. The objective of this review was to provide a comprehensive overview of the current understanding of the sources and occurrence of pharmaceuticals in marine environments, illustrating the adverse biological effects of important classes of these compounds on marine fishes.
1. Introduction
The advancement of medical science and the development of efficacious pharmaceuticals have resulted in a reduction of the impacts of several pathologies, thereby improving life expectancy, prevention of disease, and health quality [1]. In consequence, the worldwide pharmaceutical industry has exhibited substantial expansion, both in the volume of sales and the number of synthesized active pharmaceutical substances, due to ongoing development as well as the aging of the global population [2]. Pharmaceuticals have been identified as having a beneficial role in human society. However, the widespread consumption of these emerging contaminants has become a significant threat to aquatic ecosystems due to their biological activity, their frequency of detection in the environment, and the potential negative effects on non-target species [3,4]. Some pharmaceuticals are defined as having pseudo-persistence, while other pharmaceuticals remain persistent to environmental degradation in their original form or as metabolites and are called “Environmentally Persistent Pharmacological Products” (EPP) [5].
Approximately 4000 pharmaceuticals are utilized globally for the treatment of human and animal ailments, as well as the promotion of livestock’s growth [6,7,8,9,10,11,12]. A considerable portion of pharmaceuticals present in the human or animal body is excreted via urination or defecation, or in their native form or as products of degradation following metabolic reactions [13,14]. Secondary sources of pharmaceuticals in the environment context comprise land application of sewage sludge, manufacturing facilities, and agricultural, aquacultural, and veterinary practices [15]. The high solubility in water and the presence of polar functional groups in their chemical structures facilitate the discharge of pharmaceuticals and their metabolites into surface water, despite their inefficient removal in wastewater treatment plants (WWTPs) [16]. Recently, it has been reported that the outbreak of the coronavirus disease-2019 (COVID-19) caused by the severe acute respiratory coronavirus 2 (SARS-CoV-2) represents a serious concern worldwide due to the massive use of COVID-19-related pharmaceuticals and their discharge into aquatic environments [17,18]. Since the onset of the COVID-19 pandemic, numerous therapeutic drugs have been used for the treatment of the increased number of COVID-19 patients [19,20]. A significant proportion of these pharmaceuticals are excreted from the human body and released into wastewater [21,22]. Moreover, the removal of these pharmaceuticals is not enhanced by conventional wastewater treatment plants, which are designed for removing specific compounds [23,24]. Consequently, the presence of COVID-19-related pharmaceuticals represents a significant concern for aquatic environments due to their biological characteristics and persistence [22,25,26].
The prevalence of pharmaceuticals in water bodies has been extensively investigated in both freshwater and groundwater [27]. However, their presence in marine ecosystems was only discovered in the early 2000s, and their effects have been poorly investigated due to the complexity of the matrices used to evaluate them and of their dilution effects in seawater [28,29].
Nevertheless, there is now a substantial corpus of research articles that have focused on the occurrence of pharmaceuticals in marine environments, which serve as the primary recipient of continental contamination. In particular, some published review articles have investigated specific pharmaceuticals, such as the persistence of diclofenac [30] or antibiotics [28], in marine compartments and the contamination of selected areas, including the Mediterranean Sea and the Arctic environment [31,32]. In order to enhance the detection, assessment, comprehension, and prevention of the pharmaceuticals’ adverse effects on the environment, a number of international agreements have been established. However, despite the establishment of these agreements, only a limited number of pharmaceuticals have been identified as contaminants of marine resources. The OSPAR Convention has established guidelines and recommendations for the monitoring of chemicals in marine waters of the Northeast Atlantic Ocean, including twenty-two pharmaceuticals and five hormones on the list of substances of potential concern [3]. The European Union has incorporated a number of pharmaceuticals into the Watch List of the Water Framework Directive (WFD) 2000/60/EC, which pertains to both freshwater and transitional areas [33]. To date, eight pharmaceuticals have been included in the list: three hormones (estrone (E1), 17β-estradiol (E2), and 17α-estradiol (EE2)) and five antibiotics (amoxicillin, ciprofloxacin, and the macrolides azithromycin, clarithromycin, and erythromycin) are potential candidates for the “Priority Substances List” [3,33,34]. Furthermore, it is imperative that other pertinent legislation be amended in accordance with the Marine Strategy Framework Directive (MSFD) 2008/56/EC. Pharmaceuticals are defined as biologically active compounds that can specifically interact with the physiological pathways of the targeted organisms. However, they can also cause additional impacts in marine environments, interfering with the health of non-targeted organisms already affected by climate change, eutrophication, and overfishing [1,31,35]. It has been reported that some therapeutic compounds can act at sublethal concentrations and alter biochemical and cellular responses, thereby influencing vital functions such as reproduction, metabolism, growth, feeding, immunity, and locomotion [3]. In the literature, there are numerous studies demonstrating the importance of aquatic organisms as bioindicators for evaluating the effects of different stressful conditions [36,37,38,39,40,41,42,43,44,45,46,47]. Among marine organisms, fish may be considered potential bioindicators of pharmaceutical pollution in the marine environment due to their life history and their susceptibility to drug uptake and its effects [48]. It can be posited that the aforementioned organisms may also be subject to the effects of residual pharmaceuticals, as they share a multitude of drug targets with humans [49]. Moreover, fish exhibit a considerable degree of morphological, physiological, and behavioral diversity, despite the paucity of research investigating the specific uptake, bioaccumulation, and tissue partitioning of pharmaceuticals in these species. A number of studies have reported the presence of pharmaceuticals in fish collected from different surface waters [50,51,52,53,54,55,56,57,58], and many studies have focused on the effects of antidepressants, antibiotics, and antihistamines in wild fish [52,59,60].
The objective of this study was to conduct a comprehensive analysis of the occurrence of some of the most prevalent classes of pharmaceuticals in marine environments, emphasizing their detrimental effects on non-target organisms. In the initial section of the article, we concentrate on the sources and persistence of pharmaceuticals in seawater. In the subsequent section of the review, we analyze the biological consequences of these compounds in marine fishes, identifying knowledge gaps that could be addressed in future studies.
2. Pharmaceuticals in the Marine Environment
2.1. Concentrations and Origin of Pharmaceuticals in Seawater
In general, the concentration of pharmaceuticals in seawater ranges from a few ng/L to hundreds of µg/L, with higher levels detected in freshwater than in marine ecosystems, depending on the physicochemical properties of the active ingredients and environmental factors [1] (Table 1, Table 2, Table 3, Table 4, Table 5 and Table 6).
Pharmaceuticals are excreted in their native form or as metabolites after use and enter the marine environment through different pathways: (i) human domestic use, (ii) hospital use, (iii) veterinary use through aquaculture or from the terrestrial environment (e.g., livestock production or care of pets), and (iv) industrial and commercial activities based on pharmaceuticals [29,61]. The most important pathway is represented by WWTPs, particularly domestic sewage treatment plants. The removal of organic matter and suspended solids is accomplished through the application of both physical and biological remediation techniques, which are used throughout the primary and secondary treatment processes [62]. Some studies have reported that physical remediation is based on coagulation, sedimentation, and flocculation, while biological degradation occurs with aerobic microorganisms that consume organic matter. Although these treatments are affected by several variables, such as the physicochemical characteristics of the pharmaceuticals, the characteristics of the sludge, and the technical characteristics of the reactors, the majority of pharmaceuticals are partially removed by primary and secondary processes that characterize conventional wastewater treatment plants [63,64,65]. In addition, changes in the volume of influent wastewater during intense rainfall events and/or seasonal increases in the population in tourist areas can significantly affect the removal capacity of WWPTs [66,67].
Wastewater from healthcare and pharmaceutical production is considered to be another important contributor of pharmaceuticals to marine and coastal environments. Hospital activities generate significant amounts of contaminated wastewater, depending on the number of patients or medical specialties [61]. A study by Oliveira et al. (2017) [68] showed that many pharmaceuticals were detected in hospital and healthcare effluents at concentrations below 10 µg/L, with high values for the most common agents, such as paracetamol (1368 µg/L) and ciprofloxacin (125 µg/L).
Large amounts of pharmaceuticals are also released from veterinary use in both aquaculture and land-based animal husbandry or livestock production [29,61]. Common veterinary pharmaceuticals used in aquaculture include antibiotics, analgesics, antiparasitics, and some generic human drugs used prophylactically [69,70,71].
Other important pathways for pharmaceuticals entering marine compartments are untreated wastewater discharges from land-based agricultural activities and livestock production, which include fecal excretion of grazing land metabolites and fertilizers [72,73,74]. Contamination of groundwater due to the presence of pharmaceuticals can also be linked to many other sources such as sewage contamination (via septic tanks or sewage leakage), contaminated leaks from landfills (i.e., animal carcasses and pharmaceutical waste products), and the use of fertilizers and grey water for irrigation [75].
Table 1.
Concentrations of non-steroidal anti-inflammatory drugs in marine environments.
Table 1.
Concentrations of non-steroidal anti-inflammatory drugs in marine environments.
| Non-Steroidal Anti-Inflammatory Drug | Environment Studied | Concentration in Water Sample (ng/L) | Reference |
|---|---|---|---|
| Mefenamic acid | Mahdia Coast, Tunisia | Nd–0.6 | [76] |
| Eastern Mediterranean Sea, Greece | <0.2–11 | [77] | |
| Gulf of Cadiz, Southwestern Spain | Nd–4.5 | [78] | |
| Phenylbutazone | Mahdia Coast, Tunisia | Nd–2 | [76] |
| Phenazone | Gulf of Cadiz, Southwestern Spain | Nd–309.8 | [78] |
| Baltic Sea, Germany | 5.9 | [79] | |
| Aegean and Dardanelles, Greece and Turkey | 2 | [79] | |
| Indomethacin | Gulf of Cadiz, Southwestern Spain | Nd–4.5 | [78] |
| Tramadol | Eastern Mediterranean Sea, Greece | <0.1–1 | [77] |
| Nimesulide | Portuguese seawaters | Nd–7.3 | [80] |
| Codeine | Southwestern Taiwan | Nd–63.6 | [81] |
| Mediterranean coastal lagoon, Spain | 1.8 | [82] | |
| Oxycodone | Mediterranean coastal lagoon, Spain | 6.8 | [82] |
| Acetylsalicylic acid | Portuguese seawaters | Nd–534 | [80] |
| Acetaminophen | Gran Canaria Island, Spain | Nd–297 | [83] |
| Gulf of Cadiz, Southwestern Spain | Nd–41.5 | [78] | |
| Baltic Sea, Germany | 48 | [79] | |
| Aegean and Dardanelles, Greece and Turkey | 2893 | [79] | |
| Eastern Mediterranean Sea, Greece | <41 | [77] | |
| Mediterranean Sea, Israel | 12 | [79] | |
| Seawater from Victoria BC, Canada | 44.7 | [84] | |
| San Francisco Bay, USA | 85 | [79] | |
| Southern California Bight, USA | Nd–11 | [85] | |
| Portuguese seawaters | 51–584 | [80] | |
| Southwestern Taiwan | 2.6–16.7 | [81] | |
| Korean seawater | Nd–48 | [81] | |
| Red Sea, Saudi Arabian coastal waters | 2363 | [86] | |
| Santos Bay, Brazil | Nd–34.6 | [87] | |
| Ketoprofen | Gran Canaria Island, Spain | Nd–106 | [83] |
| Gulf of Cadiz, Southwestern Spain | Nd–2.6 | [78] | |
| Southern Baltic Sea, Polish coastal zone | Nd–72.7 | [88] | |
| Mahdia Coast, Tunisia | Nd–76 | [76] | |
| Portuguese seawaters | 10–90 | [80] | |
| Southwestern Taiwan | Nd–23.3 | [81] | |
| Northern Taiwan seawater | <1.7–6.59 | [89] | |
| Diclofenac | Gran Canaria Island, Spain | Nd–344 | [83] |
| Gulf of Cadiz, Southwestern Spain | Nd–319 | [78] | |
| Baltic Sea, Germany | 9.2 | [79] | |
| Mahdia Coast, Tunisia | Nd–23 | [76] | |
| Eastern Mediterranean Sea, Greece | <1.4–16 | [77] | |
| Mediterranean Sea, Israel | 6.1 | [79] | |
| Aegean and Dardanelles, Greece and Turkey | 9.7 | [79] | |
| Southern California Bight, USA | Nd–0.6 | [85] | |
| Portuguese seawaters | Nd–241 | [80] | |
| Santos Bay, Brazil | Nd–19.4 | [87] | |
| Red Sea, Saudi Arabian coastal waters | 14,020 | [86] | |
| Seawater from Singapore | <2–12 | [90] | |
| Marina Bay, Singapore | 4–38 | [91] | |
| Seawater from Northern Taiwan | <2.5–53.6 | [89] | |
| Naproxen | Eastern Mediterranean Sea, Greece | <0.01–0.8 | [77] |
| Gulf of Cadiz, South wstern Spain | Nd–95.8 | [78] | |
| Portuguese seawaters | Nd–178 | [80] | |
| Seawater from Singapore | <0.9–7 | [90] | |
| Marina Bay, Singapore | 13–30 | [91] | |
| Durban Coast, South Africa | Nd–160 | [92] | |
| Southern California Bight, USA | Nd–26 | [85] | |
| Fenoprofen | Gulf of Cadiz, Southwestern Spain | Nd–7.5 | [78] |
| Ibuprofen | Seawater from Singapore | <2–9 | [90] |
| Marina Bay, Singapore | 41–121 | [91] | |
| Red Sea, Saudi Arabian coastal waters | 508 | [86] | |
| Santos Bay, Brazil | 326–2094 | [87] | |
| Durban Coast, South Africa | Nd–166 | [92] | |
| San Francisco Bay, USA | 12 | [79] | |
| Southern California Bight, USA | Nd–30 | [85] | |
| Portuguese seawaters | Nd–222 | [80] | |
| Gulf of Cadiz, Southwestern Spain | Nd–1219.7 | [78] | |
| Aegean and Dardanelles, Greece and Turkey | 35 | [79] | |
| Baltic Sea, Germany | 109 | [79] | |
| Seawater from Tromsø, Norway | Nd–0.7 | [93] | |
| Mediterranean Sea, Israel | 7.1 | [79] | |
| Southwestern Taiwan | Nd–12.1 | [81] | |
| Seawater from Northern Taiwan | <2.5–57.1 | [89] |
Nd: not detected.
Table 2.
Concentrations of antibiotics in marine environments.
Table 2.
Concentrations of antibiotics in marine environments.
| Antibiotic | Environment Studied | Concentration in Water Sample (ng/L) | Reference |
|---|---|---|---|
| Amoxicillin | Eastern Mediterranean Sea, Greece | <128 | [77] |
| Ampicillin | Southwest Taiwan | Nd–88.7 | [81] |
| Gulf of Cadiz, Southwestern Spain | Nd–2.0 | [78] | |
| Novobiocin | Gulf of Cadiz, Southwestern Spain | Nd–0.8 | [78] |
| Clarithromycin | Eastern Mediterranean Sea, Greece | <1–1.5 | [77] |
| Aegean Sea and Dardanelles, Greece and Turkey | 16 | [79] | |
| Baltic Sea, Germany | 14 | [79] | |
| Gulf of Cadiz, Southwestern Spain | 0.2–9.4 | [78] | |
| Mediterranean coastal lagoon, Spain | 9.6 | [82] | |
| Pacific Ocean, USA | 130 | [79] | |
| Laizhou Bay, China | Nd–0.82 | [94] | |
| Bohai Sea and Yellow Sea, China | Nd–0.51 | [95] | |
| Yellow Sea, North China | 2.6 | [96] | |
| Trimethoprim | Eastern Mediterranean Sea, Greece | <0.4–3 | [77] |
| Gulf of Cadiz, Southwestern Spain | Nd–10.6 | [78] | |
| Mediterranean coastal lagoon, Spain | 1.5 | [82] | |
| Southern Baltic Sea, Polish coastal zone | Nd–2.9 | [88] | |
| Mediterranean Sea, Tunisia | Nd–3500 | [97] | |
| Southern Californi Bight, USA | Nd–2.1 | [85] | |
| Norfloxacin | Gran Canaria Island, Spain | Nd–3551 | [83] |
| Gulf of Cadiz, Southwestern Spain | Nd–207.5 | [78] | |
| Mediterranean Sea, Tunisia | Nd–20,700 | [97] | |
| Yellow Sea Coast, China | Nd–109 | [98] | |
| Laizhou Bay, China | 7.5–103 | [94] | |
| Bohai Sea, China | Nd–6800 | [99] | |
| Victoria Harbour, Hong Kong | 20.1 | [100] | |
| Hong Kong coastal waters | Nd–8 | [98] | |
| Korean seawater | Nd–0.512 | [101] | |
| Ciprofloxacin | Gran Canaria Island, Spain | Nd–303 | [83] |
| Gulf of Cadiz, Southwestern Spain | Nd–211.7 | [78] | |
| Yellow Sea Coast, China | Nd–26 | [102] | |
| Laizhou Bay, China | Nd–66 | [94] | |
| Bohai Bay, China | Nd–390 | [99] | |
| Korean seawater | Nd–1.25 | [101] | |
| Antarctica | 4–128 | [103] | |
| Clindamycin | Antarctica | <0.1 | [103] |
| Gulf of Cadiz, Southwestern Spain | Nd–4.2 | [78] | |
| Enoxacin | Laizhou Bay, China | Nd–209 | [94] |
| Ofloxacin | Bohai Bay, China | Nd–5100 | [99] |
| Laizhou Bay, China | Nd–6.5 | [94] | |
| Victoria Harbour, Hong Kong | 16.4 | [24] | |
| Korean seawater | Nd–12.4 | [101] | |
| Gulf of Cadiz, Southwestern Spain | Nd–34.4 | [78] | |
| Erythromycin | Mediterranean Sea, Southeast Spain | 0.01–0.03 | [104] |
| Gulf of Cadiz, Southwestern Spain | Nd–2.3 | [78] | |
| Mediterranean coastal lagoon, Spain | 78.4 | [82] | |
| Northern Adriatic Sea, Italy | 5.8 | [79] | |
| San Francisco Bay, USA | 217 | [79] | |
| Pacific Ocean, USA | 86 | [79] | |
| Mediterranean Sea, Tunisia | Nd–3900 | [97] | |
| Bohai Bay, China | Nd–150 | [99] | |
| Bohai Sea and Yellow Sea, China | 0.13–6.7 | [95] | |
| Yellow Sea, North China | 25.2 | [96] | |
| Laizhou Bay, China | 0.9–8.5 | [94] | |
| Hong Kong coastal waters | 16–486 | [98] | |
| Victoria Harbour, Hong Kong | 5.2 | [100] | |
| Korean seawater | Nd–0.196 | [101] | |
| Southwestern Taiwan | Nd–26.6 | [81] | |
| Spiramycin | Gulf of Cadiz, Southwestern Spain | Nd–2.1 | [78] |
| Mediterranean Sea, Tunisia | Nd–66,400 | [97] | |
| Korean seawater | Nd–7.24 | [101] | |
| Neospiramycin | Mediterranean Sea, Tunisia | Nd–4100 | [97] |
| Josamycin | Mediterranean Sea, Tunisia | Nd–1500 | [97] |
| Roxithromycin | Laizhou Bay, China | Nd–1.5 | [94] |
| Bohai Sea and Yellow Sea, China | Nd–0.26 | [95] | |
| Yellow Sea, North China | 6.9 | [96] | |
| Victoria Harbour, Hong Kong | 30.6 | [105] | |
| Gulf of Cadiz, Southwestern Spain | Nd–1.3 | [78] | |
| Baltic Sea, Germany | 16 | [79] | |
| Pacific Ocean, USA | 141 | [79] | |
| Azithromycin | Laizhou Bay, China | Nd–1.2 | [94] |
| Bohai Sea and Yellow Sea, China | Nd–0.39 | [95] | |
| Yellow Sea, North China | 2.5 | [96] | |
| Gulf of Cadiz, Southwestern Spain | Nd–17.8 | [78] | |
| Mediterranean coastal lagoon, Spain | 163.8 | [82] | |
| Lomefloxacin | Yellow Sea Coast, China | Nd–1.2 | [102] |
| Danofloxacin | Yellow Sea Coast, China | Nd–30 | [102] |
| Gulf of Cadiz, Southwestern Spain | Nd–157.5 | [78] | |
| Enrofloxacin | Yellow Sea Coast, China | 0.78–5.1 | [102] |
| Laizhou Bay, China | Nd–7.6 | [94] | |
| Gulf of Cadiz, Southwestern Spain | Nd–122 | [78] | |
| Southern Baltic Sea, Polish coastal zone | Nd | [88] | |
| Mediterranean Sea, Tunisia | Nd–40,200 | [97] | |
| Marbofloxacin | Yellow Sea Coast, China | Nd–22 | [102] |
| Fleorxacin | Yellow Sea Coast, China | Nd–1.4 | [102] |
| Orbifloxacin | Yellow Sea Coast, China | Nd–2.7 | [102] |
| Difloxacin | Yellow Sea Coast, China | Nd–20.7 | [102] |
| Sarafloxacin | Yellow Sea Coast, China | Nd–14.6 | [102] |
| Mediterranean Sea, Tunisia | Nd–5300 | [97] | |
| Sparfloxacin | Yellow Sea Coast, China | Nd–0.79 | [102] |
| Gulf of Cadiz, Southwestern Spain | Nd–14.9 | [78] | |
| Lincomycin | Korean seawater | Nd–438 | [101] |
| Gulf of Cadiz, Southwestern Spain | Nd–6.1 | [78] | |
| Cefalexin | Southwestern Taiwan | Nd–9.19 | [81] |
| Hong Kong coastal waters | Nd–182 | [98] | |
| Cefaclor | Gulf of Cadiz, Southwestern Spain | Nd–9.4 | [78] |
| Cefdinir | Gulf of Cadiz, Southwestern Spain | Nd–15.8 | [78] |
| Cefquinone | Gulf of Cadiz, Southwestern Spain | Nd–44.9 | [78] |
| Ceftiotur | Gulf of Cadiz, Southwestern Spain | Nd–1.7 | [78] |
| Sulfadiazine | Eastern Mediterranean Sea, Greece | <0.1–2 | [77] |
| Gulf of Cadiz, Southwestern Spain | Nd–1.8 | [78] | |
| Mediterranean Sea, Tunisia | Nd–29,100 | [97] | |
| Mahdia Coasta, Tunisia | 6–11 | [76] | |
| Dalian Coast, China | Nd–2 | [106] | |
| Yellow Sea, North China | 0.24 | [96] | |
| Yellow Sea Coast, China | Nd–3.0 | [102] | |
| Bohai Bay, China | Nd–41 | [99] | |
| Bohai Sea and Yellow Sea, China | Nd–0.36 | [95] | |
| Laizhou Bay, China | Nd–0.43 | [94] | |
| Sulfamerazine | Mediterranean Sea, Tunisia | Nd–4500 | [97] |
| Southern Baltic Sea, Polish coastal zone | Nd | [88] | |
| Sulfamoxole | Mediterranean Sea, Tunisia | Nd–800 | [97] |
| Sulfamethoxazole | Eastern Mediterranean Sea, Greece | <0.1–6 | [77] |
| Aegean Sea and Dardanelles, Greece and Turkey | 11 | [79] | |
| Northern Adriatic Sea, Italy | 4.1 | [79] | |
| Mediterranean Sea, Tunisia | Nd–2400 | [97] | |
| Gulf of Cadiz, Southwestern Spain | Nd–99 | [78] | |
| Mediterranean coastal lagoon, Spain | 94 | [82] | |
| Baltic Sea, Germany | 42 | [79] | |
| Southern Baltic Sea, Polish coastal zone | Nd–20.0 | [88] | |
| Baltic Sea, Poland | Nd–10.8 | [88] | |
| Mahdia Coast, Tunisia | 2–6 | [76] | |
| Red Sea, Saudi Arabian coastal waters | 63 | [86] | |
| Dalian Coast, China | Nd–2.2 | [106] | |
| Yellow Sea Coast, China | Nd–212 | [102] | |
| Bohai Bay, China | Nd–140 | [99] | |
| Bohai Sea and Yellow Sea, China | Nd | [95] | |
| Yellow Sea, North China | 50.4 | [96] | |
| Laizhou Bay, China | 1.5–82 | [94] | |
| Korean seawater | Nd–2.20 | [101] | |
| San Francisco Bay, USA | 61 | [79] | |
| Pacific Ocean, USA | 6.4 | [79] | |
| Southern California Bight, USA | Nd–3.4 | [85] | |
| German Baltic Sea | 1.5 | [107] | |
| Sulfathiazole | Mahdia Coast, Tunisia | Nd–3 | [76] |
| Bohai Sea and Yellow Sea, China | Nd–0.17 | [95] | |
| Dalian Coast, China | Nd–1.2 | [106] | |
| Korean seawater | 7.01–18.6 | [101] | |
| Sulfaphenazole | Mediterranean Sea, Tunisia | Nd–600 | [97] |
| Sulfamethizole | Mahdia Coast, Tunisia | 4–11 | [76] |
| Mediterranean Sea, Tunisia | Nd–2800 | [97] | |
| Dalian Coast, China | Nd–13 | [106] | |
| Gulf of Cadiz, Southwestern Spain | Nd–67.1 | [78] | |
| Metronidazole | Mediterranean Sea, Southeast Spain | 13.4 | [104] |
| Gulf of Cadiz, Southwestern Spain | Nd–2.3 | [78] | |
| Nitrofurantoin | Gulf of Cadiz, Southwestern Spain | Nd–21.7 | [78] |
| Ornidazole | Gulf of Cadiz, Southwestern Spain | Nd–1.9 | [78] |
| Sulfamethazine | Mahdia Coast, Tunisia | Nd–3 | [76] |
| Dalian Coast, China | Nd–2.8 | [106] | |
| Yellow Sea Coast, China | Nd–37 | [102] | |
| Bohai Bay, China | Nd–130 | [99] | |
| Laizhou Bay, China | Nd–1.5 | [94] | |
| Gulf of Cadiz, Southwestern Spain | Nd–9.1 | [78] | |
| Southern Baltic Sea, Polish coastal zone | Nd | [88] | |
| Sulfadimidine | Bohai Sea and Yellow Sea, China | Nd–0.16 | [95] |
| Yellow Sea, North China | 0.35 | [96] | |
| Mediterranean Sea, Tunisia | Nd–1800 | [97] | |
| Sulfaquinoxaline | Mediterranean Sea, Tunisia | Nd–1900 | [97] |
| Sulfaguanidine | Mediterranean Sea, Tunisia | Nd–200 | [97] |
| Sulfamethoxyrpyridazine | Mahdia Coast, Tunisia | Nd–5 | [76] |
| Sulfacetamide | Dalian Coast, China | Nd–1.5 | [106] |
| Yellow Sea Coast, China | Nd–4.3 | [102] | |
| Bohai Sea and Yellow Sea, China | Nd–0.12 | [95] | |
| Sulfameter | Dalian Coast, China | Nd–1.9 | [106] |
| Yellow Sea Coast, China | Nd–1.2 | [102] | |
| Sulfamonomethoxine | Dalian Coast, China | Nd–2.3 | [106] |
| Yellow Sea Coast, China | Nd–4.6 | [102] | |
| Sulfadimethoxine | Dalian Coast, China | Nd–1.9 | [106] |
| Yellow Sea Coast, China | Nd–1.9 | [102] | |
| Gulf of Cadiz, Southwestern Spain | Nd–0.9 | [78] | |
| Southern Baltic Sea, Polish coastal zone | Nd–1.0 | [88] | |
| Baltic Sea, Poland | Nd–0.8 | [88] | |
| Sulfapyridine | Mediterranean Sea, Tunisia | Nd–400 | [97] |
| Southern Baltic Sea, Polish coastal zone | Nd–33.2 | [88] | |
| Chloramphenicol | Dalian Coast, China | Nd–1.4 | [106] |
| Gulf of Cadiz, Southwestern Spain | Nd–8.1 | [78] | |
| Timulin | Gulf of Cadiz, Southwestern Spain | Nd–0.8 | [78] |
| Florophenicol | Dalian Coast, China | Nd–2.3 | [106] |
| Oxytetracycline | Dalian Coast, China | 1.1–6.3 | [106] |
| Yellow Sea Coast, China | Nd–13.0 | [102] | |
| Bohai Bay, China | Nd–270 | [99] | |
| Gulf of Cadiz, Southwestern Spain | Nd–25.1 | [78] | |
| Doxycycline | Dalian Coast, China | Nd–1.6 | [106] |
| Yellow Sea Coast, China | Nd–3.2 | [102] | |
| Gulf of Cadiz, Southwestern Spain | Nd–10.3 | [78] | |
| Tetracycline | Dalian Coast, China | Nd–3.8 | [106] |
| Yellow Sea Coast, China | Nd–5.3 | [102] | |
| Bohai Bay, China | Nd–30 | [99] | |
| Hong Kong coastal waters | Nd–122 | [98] | |
| Gulf of Cadiz, Southwestern Spain | Nd–63.3 | [78] | |
| Sulfisoxazole | Yellow Sea Coast, China | Nd–16.5 | [102] |
| Mediterranean Sea, Tunisia | 100–700 | [97] | |
| Sulfachloropyridazine | Yellow Sea Coast, China | Nd–5.9 | [102] |
| Oxolinic acid | Yellow Sea Coast, China | 29–105 | [102] |
| Pyrrole acid | Yellow Sea Coast, China | 0.95–17.5 | [102] |
| Nalidixic acid | Yellow Sea Coast, China | Nd–28.9 | [102] |
| Mediterranean Sea, Tunisia | Nd–16,700 | [97] | |
| Pefloxacic | Yellow Sea Coast, China | Nd–14.6 | [102] |
| Flumequine | Yellow Sea Coast, China | Nd–7.0 | [102] |
| Mediterranean Sea, Southeast Spain | 0.13 | [104] | |
| Gulf of Cadiz, Southwestern Spain | Nd–3.6 | [78] | |
| Dapsone | Mediterranean Sea, Tunisia | Nd–2800 | [97] |
Nd: not detected.
Table 3.
Concentrations of antidepressant drugs in marine environments.
Table 3.
Concentrations of antidepressant drugs in marine environments.
| Antidepressant Drug | Environment Studied | Concentration in Water Sample (ng/L) | Reference |
|---|---|---|---|
| Carbamazepine | Eastern Mediterranean Sea, Greece | <1.4 | [77] |
| French coast on the Mediterranean Sea | 0.05–0.71 | [108] | |
| Mediterranean coastal lagoon, Spain | 4.9 | [82] | |
| Mediterranean Sea, Israel | 8.8 | [79] | |
| Gulf of Cadiz, Southwestern Spain | Nd–31.1 | [78] | |
| North Seawater, Germany | 2 | [109] | |
| Baltic Sea, Germany | 157 | [79] | |
| Aegean and Dardanelles, Greece and Turkey | 22 | [79] | |
| Northern Adriatic Sea, Italy | 3.1 | [79] | |
| Southwestern Taiwan | Nd–3.83 | [81] | |
| Red Sea, Saudi Arabian coastal waters | 110 | [86] | |
| San Francisco Bay, USA | 13 | [79] | |
| Southern California Bight, USA | Nd–0.9 | [85] | |
| Californian Coast, USA | Nd–21 | [110] | |
| Mahdia Coast, Tunisia | Nd–0.5 | [76] | |
| Korean seawater | 4.58–38.6 | [101] | |
| Seawater from Singapore | <0.3–11 | [90] | |
| Norvenlafaxine | Eastern Mediterranean Sea, Greece | <0.01–2 | [77] |
| Venlafaxine | Rías Baixas coastline, Northwestern Spain | Nd–291 | [111] |
| Citalopram | Eastern Mediterranean Sea, Greece | <0.06–8 | [77] |
| Rías Baixas coastline, Northwestern Spain | Nd–92.5 | [111] | |
| Mediterranean Sea, Israel | 4.3 | [79] | |
| Pacific Ocean, USA | 27 | [79] | |
| Fluoxetine | Mahdia Coast, Tunisia | Nd–41 | [76] |
| Gulf of Cadiz, Southwestern Spain | Nd–0.6 | [78] | |
| Rías Baixas coastline, Northwestern Spain | Nd–10.6 | [111] | |
| Pacific Ocean, USA | 90 | [79] | |
| Amitriptyline | Mahdia Coast, Tunisia | Nd–10 | [76] |
| Gulf of Cadiz, Southwestern Spain | Nd–0.4 | [78] | |
| Hydroxyzine | Rías Baixas coastline, Northwestern Spain | Nd–0.57 | [111] |
| Sertraline | Rías Baixas coastline, Northwestern Spain | Nd–15.3 | [111] |
Nd: not detected.
Table 4.
Concentration of cardiovascular drugs in marine environments.
Table 4.
Concentration of cardiovascular drugs in marine environments.
| Cardiovascular Drug | Environment Studied | Concentration in Water Sample (ng/L) | Reference |
|---|---|---|---|
| Timolol | Mahdia Coast, Tunisia | Nd–0.3 | [76] |
| Gulf of Cadiz, Southwestern Spain | Nd–1.1 | [78] | |
| Nadolol | Mahdia Coast, Tunisia | Nd–0.8 | [76] |
| Gulf of Cadiz, Southwestern Spain | Nd–1.6 | [78] | |
| Atenolol | Southern California Bight, USA | Nd–11 | [85] |
| Korean seawater | Nd–85.7 | [101] | |
| Gulf of Cadiz, Southwestern Spain | 0.4–138.9 | [78] | |
| Baltic Sea, Germany | 13 | [79] | |
| Aegean and Dardanelles, Greece and Turkey | 194 | [79] | |
| San Francisco Bay, USA | 57 | [79] | |
| Santos Bay, Brazil | Nd | [87] | |
| Propanolol | Korean seawater | Nd–11.9 | [101] |
| Mediterranean coastal lagoon, Spain | 0.5 | [82] | |
| Gulf of Cadiz, Southwestern Spain | Nd–5.9 | [78] | |
| Metoprolol | Mediterranean coastal lagoon, Spain | 0.73 | [82] |
| Gulf of Cadiz, Southwestern Spain | Nd–5.1 | [78] | |
| Baltic Sea, Germany | 158 | [79] | |
| Aegean and Dardanelles, Greece and Turkey | 6 | [79] | |
| San Francisco Bay, USA | 32 | [79] | |
| Mediterranean Sea, Israel | 6.7 | [79] | |
| Sotalol | Mediterranean coastal lagoon, Spain | 0.8 | [82] |
| Baltic Sea, Germany | 65 | [79] | |
| Aegean and Dardanelles, Greece and Turkey | 67 | [79] | |
| San Francisco Bay, USA | 12 | [79] | |
| Pindolol | Gulf of Cadiz, Southwestern Spain | Nd–0.7 | [78] |
Nd: not detected.
Table 5.
Concentration of lipid regulators in marine environments.
Table 5.
Concentration of lipid regulators in marine environments.
| Lipid Regulator | Environment Studied | Concentration in Water Sample (ng/L) | Reference |
|---|---|---|---|
| Fenofibrate | Mahdia Coast, Tunisia | Nd–14 | [76] |
| Gulf of Cadiz, Southwestern Spain | Nd–1.1 | [78] | |
| Bezafibrate | Gulf of Cadiz, Southwestern Spain | Nd–0.5 | [78] |
| Aegean and Dardanelles, Greece and Turkey | 3.5 | [79] | |
| Mediterranean Sea, Israel | 3.8 | [79] | |
| Gemfibrozil | Seawater from Singapore | <0.09–20 | [90] |
| Marina Bay, Singapore | 1–9 | [91] | |
| Pacific Ocean, USA | 6.2 | [79] | |
| San Francisco Bay, USA | 43 | [79] | |
| Southern California Bight, USA | Nd–13 | [85] | |
| Southwestern Taiwan | Nd–3.67 | [81] | |
| Mediterranean coastal lagoon, Spain | 3.3 | [82] | |
| Gulf of Cadiz, Southwestern Spain | Nd–5.7 | [78] | |
| Aegean and Dardanelles, Greece and Turkey | 18 | [79] | |
| Atorvastatin | Southern California Bight, USA | Nd–0.4 | [85] |
Nd: not detected.
Table 6.
Concentration of EE2 in marine environments.
Table 6.
Concentration of EE2 in marine environments.
| Estrogen | Environment Studies | Concentration in Water Sample (ng/L) | Reference |
|---|---|---|---|
| 17α ethynylestradiol (EE2) | Aegean Sea, Greece | Nd | [112] |
| Singapore | Nd | [90] | |
| Baltic Sea | 1.7–8.0 | [113] | |
| Southeastern Australia | <0.20 | [114] | |
| Suruga Bay, Japan | <3 | [115] | |
| Sein River, France | Nd | [116] | |
| Bahia, Brazil | Nd | [117] | |
| Yangtze Estuary, China | Nd | [118] | |
| Scheldt Estuary, Belgium | Nd | [119] | |
| Venice Lagoon, Italy | <5–75 | [120] | |
| Venice Lagoon, Italy | <0.8–34 | [121] | |
| Douro River Estuary, Portugal | Nd–83.1 | [122] | |
| Mondego River Estuary, Portugal | Nd | [123] | |
| Halifax Harbour, Canada | Nd–0.14 | [124] | |
| Mondego River, Portugal | 4 | [125] | |
| Ria de Aveiro, Portugal | 20.7–33.2 | [126] | |
| Sado River Estuary, Portugal | 1.1–3.3 | [125] | |
| Dublin Bay, Ireland | Nd | [127] | |
| Yangtze River Estuary, China | Nd–0.11 | [128] | |
| Rio de la Plata Estuary, Argentina | Nd–43 | [129] | |
| Hong Kong and Japan | Nd | [130] | |
| Yundang Lagoon, China | Nd–0.43 | [131] |
Nd: not detected.
2.2. Occurrence of Pharmaceuticals in the Marine Environment
The fate and persistence of pharmaceuticals in marine ecosystems are influenced by the physicochemical characteristics of the active principles, physicochemical processes, and environmental factors [1,132]. Once released into the marine environment, pharmaceuticals can be subjected to biotic and abiotic transformation, sorbed to suspended particulate matter, or, in some cases, accumulated in the tissues of marine organisms [133]. The principal processes involved in the transformation of pharmaceuticals in the marine environment are aerobic and anaerobic biodegradation, abiotic transformation (dilution and movement within the aquatic milieu) through degradation by UV light and hydrolysis [134]. Furthermore, the dissimilarities in the environmental conditions, including temperature, salinity, pH, and organic matter, can influence these processes and the fate and persistence of pharmaceuticals in seawater [109]. It has been demonstrated that pH and salinity can affect the electrostatic characteristics of pharmaceuticals, resulting in the generation of numerous ionizable functional groups with varying acid dissociation constants (pKa). In particular, changes in pH determine the degree of ionisation and can affect the lipophilicity of pharmaceuticals, rendering these compounds more effectively adsorbed onto particulate matter at pH 8 [29,135,136]. Similarly, salinity exerts an influence on the persistence of pharmaceuticals in marine ecosystems by acting as a natural filter and causing a reduction in the pharmaceuticals’ solubility in seawater. For example, the amount of gemfibrozil and mefenamic acid can be assessed from marine surface waters due to the high content of salt [90,137]. Furthermore, the intensity of solar radiation may influence the behavior of pharmaceuticals in marine environments, leading to the photolysis of certain contaminants such as the antiepileptic medication carbamazepine into acridine, a substance known for its high toxicity, mutagenic properties, and carcinogenic effects [138,139].
3. Biological Effects of Pharmaceuticals on Marine Fishes
Information on the biological impacts of these contaminants on marine fishes has been poorly investigated. In recent years, many studies have been carried out on freshwater ecosystems. In the next paragraph, we review the available literature analyzing the various effects of the most important pharmaceuticals in marine fishes, which are summarized in Table 7 and Table 8.
Table 7.
Biological effects of most common pharmaceuticals on marine fishes.
Table 8.
Biological effects of the common estrogen EE2 on marine fishes.
3.1. Non-Steroidal Anti-Inflammatory Drugs
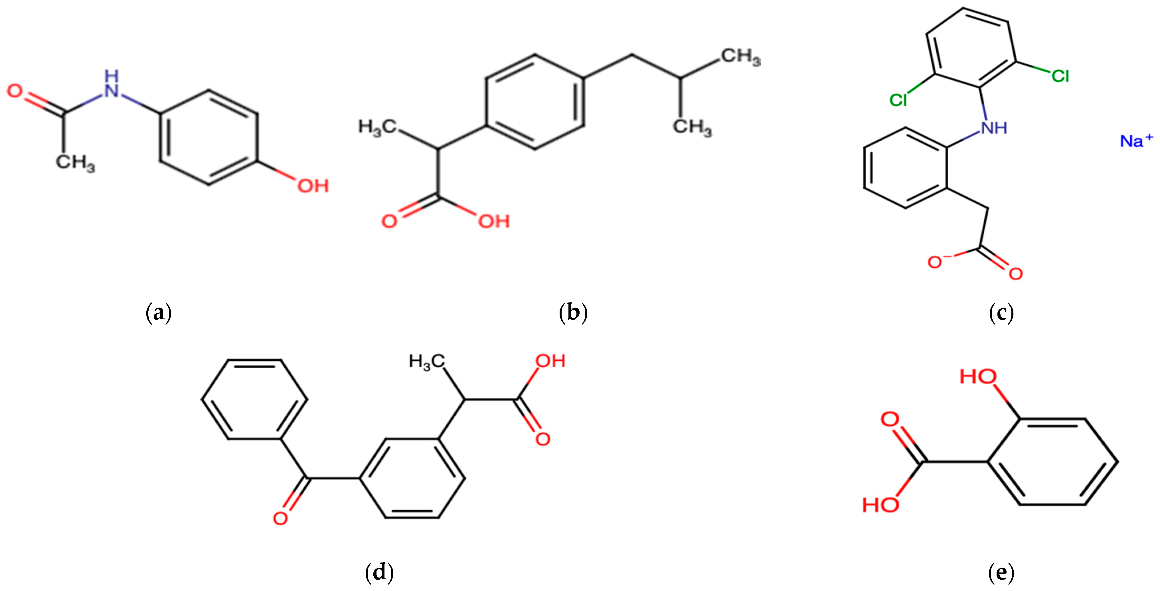
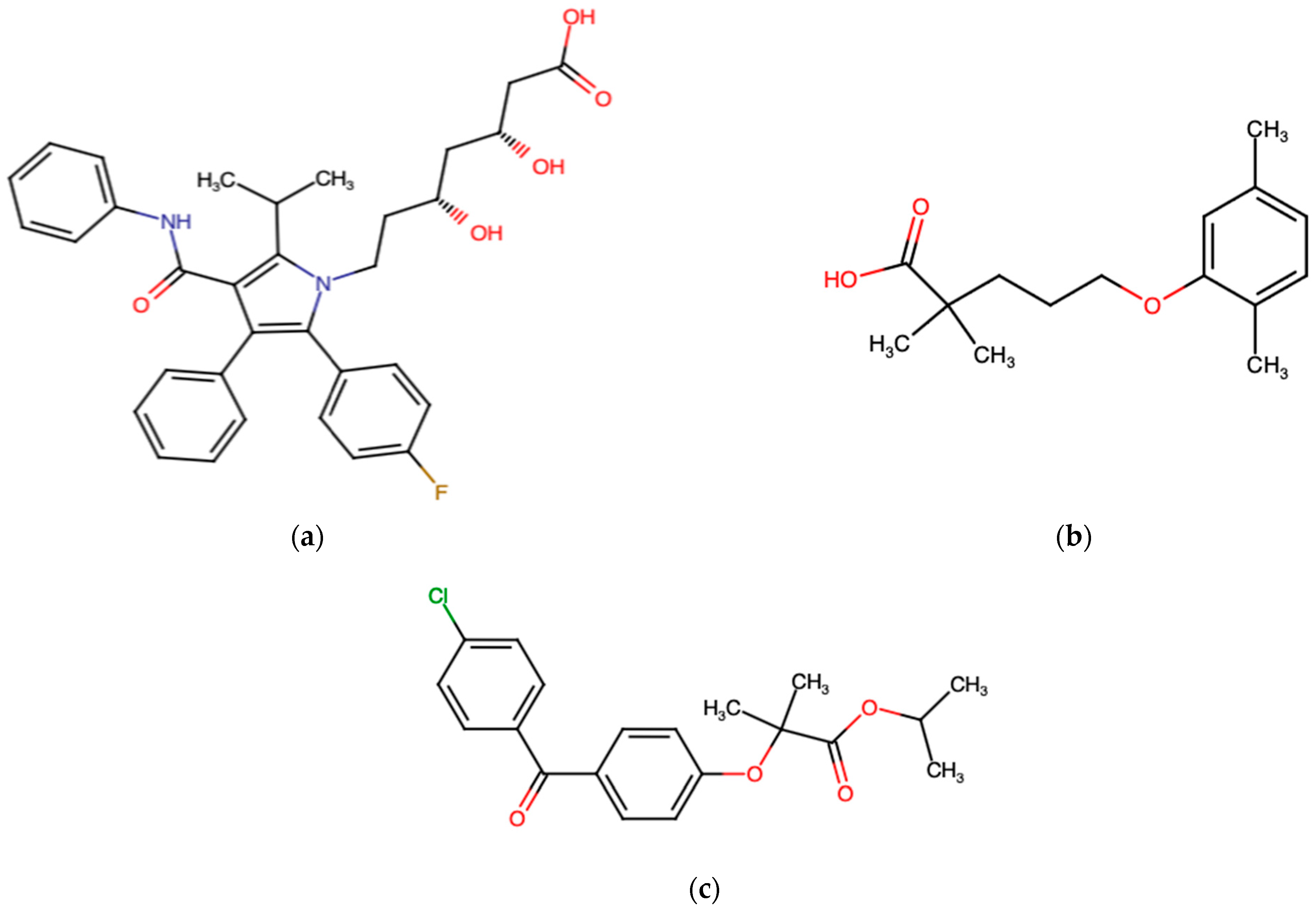
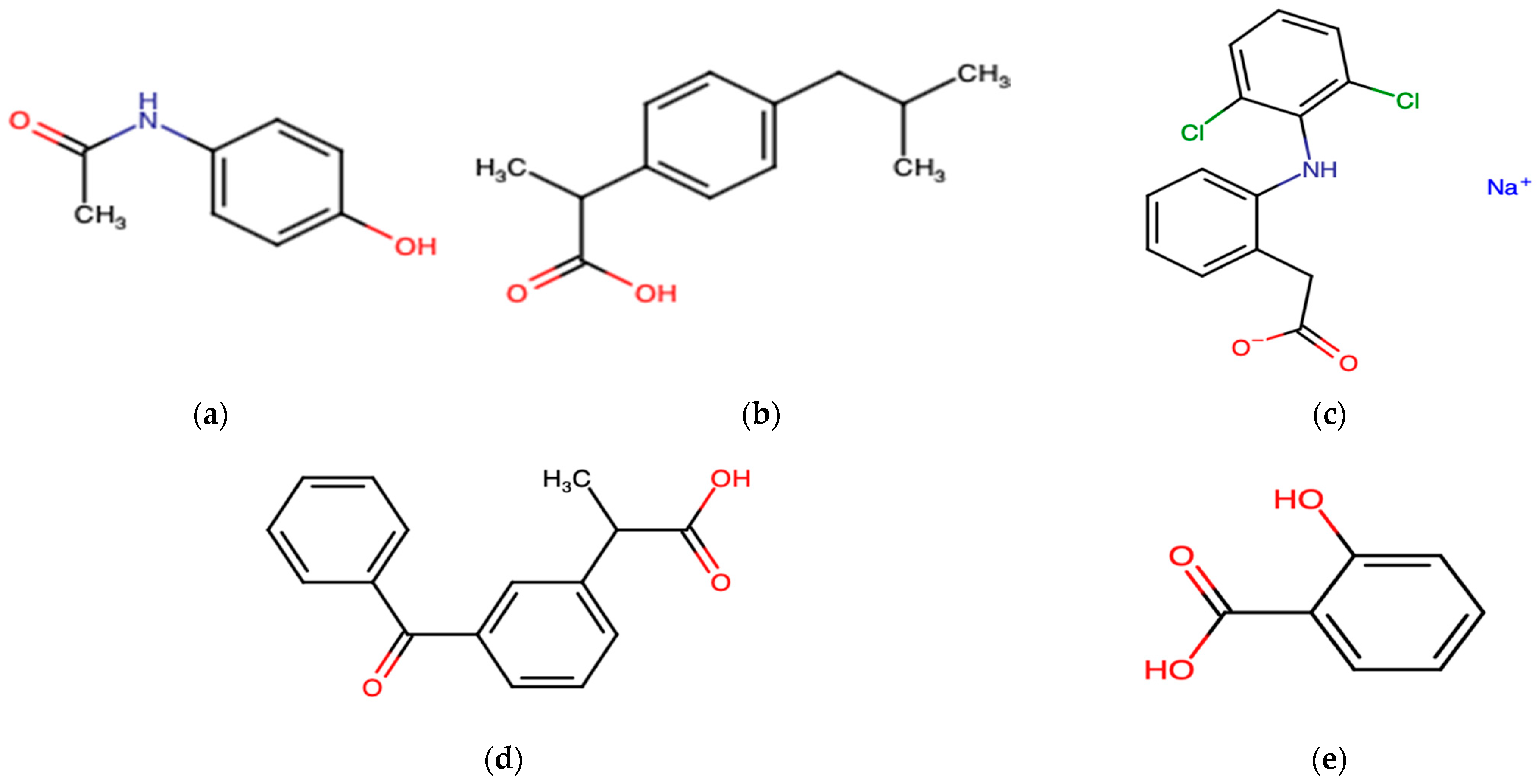
Non-steroidal anti-inflammatory drugs (NSAIDs) represent a significant class of pharmaceuticals that are commonly used for the treatment of pain and inflammation [161,162]. The aforementioned drugs include salicylates (aspirin), aryl alkanoic acids (diclofenac, indomethacin, nabumetone, sulindac), 2-aryl propionic acids or profens (ibuprofen, flurbiprofen, ketoprofen, naproxen), N-aryl anthranilic acids or fenamic acids (mefenamic acid, meclofenamic acid), pyrazolidine derivatives (phenylbutazone), oxicams (piroxicam, meloxicam), and sulfonamides (nimesulide) [1]. The chemical structures of the most commonly used NSAIDs are presented in Figure 1.
Figure 1.
Chemical structures of the most common non-steroidal anti-inflammatory drugs. (a) Acetaminophen; (b) ibuprofen; (c) diclofenac; (d) ketoprofen; (e) salicylic acid.
These classes of pharmaceuticals exhibit disparate structural, pharmacokinetic, and pharmacodynamic properties, yet they share a common biochemical effect. In fact, their mechanism of action is based on the inhibition of cyclooxygenase (COX) enzymes that catalyze the synthesis of prostaglandins and thromboxane from arachidonic acid [161,162]. Generally, cyclooxygenase enzymes consist of two isozymes: COX1 is responsible for maintaining baseline levels of prostaglandins, whereas COX2 induces the production of prostaglandins in response to stimulation at the site of inflammation. Consequently, classical NSAIDs inhibit both COX1 and COX2 equally, whereas new-generation NSAIDs are specifically targeted for the inducible isoform, COX2, which causes an inflammatory reaction [163].
Prostaglandins are produced in all tissues and cells, exhibiting a diverse molecular structure contingent upon the physiological role they fulfil. They are involved in a multitude of processes, including inflammation, regulation of blood flow in the kidney, pain, coagulation processes, and the synthesis of protective gastric mucosa [163]. In fish, prostaglandins are produced in several cells and tissues, including red blood cells, macrophages, and oocytes. A substantial body of research has been conducted on freshwater fish, demonstrating that NSAIDs can influence reproduction in these organisms. Examples of NSAIDs that have been shown to affect reproduction in fish include indomethacin and ibuprofen [164,165]. For instance, ibuprofen has demonstrated COX inhibition, which plays a pivotal role in fishes’ development and ovulation and maturation of oocytes. With augmented exposure, pairs have reproduced less frequently and spawned more eggs, resulting in a shift in breeding patterns [165]. Comparable effects have been documented in marine fish, although the effects of these classes of pharmaceuticals have been poorly investigated.
Among the non-steroidal anti-inflammatory drugs, diclofenac represents the most frequently detected compound in marine fish. Moreno-González et al. [166] evaluated the bioaccumulation of 20 significant pharmaceuticals in marine fish, including golden grey mullet (Liza aurata) and black goby (Gobius niger), considering their distribution throughout the Mar Menor Lagoon and their seasonal variations. With regard to non-steroidal anti-inflammatory drugs, diclofenac exhibited higher concentrations in the liver (2.2 ng/g) than in the muscle of these organisms. In general, all the psychiatric drugs in golden grey mullet were found to be preferentially present in spring, in contrast to the absence of seasonal differences in black goby. The bioaccumulation of pharmaceuticals was found to be lower in black goby than in golden grey mullet. This suggests that golden grey mullet may serve as a valuable indicator of the bioaccumulation of pharmaceuticals in marine environments.
Nassef et al. [140,167,168] demonstrated that the exposure of Japanese medaka Oryzias latipes to a concentration of 18 mg/L of diclofenac can result in the death of the organism within 24 h. Moreover, the behavior of O. latipes is also affected by exposure to low concentrations of diclofenac (1.0 mg/L), with a significant change in swimming [140]. A further study demonstrated that nanoinjections of diclofenac into medaka eggs had a significant impact on embryonic development. The study revealed that treatment with this analgesic at different doses (1.5 or 12 ng) significantly influenced embryonic development. In particular, it was reported that the number of embryos at 1 dpf (days post-fertilization) decreased considerably at a DCF dose of 12 ng/egg, whereas after 4 dpf, a reduction in the heart rate was observed compared with the controls [168].
Two studies [141,142] demonstrated that analgesics can lead to enzymatic inhibition in vitro in three marine fish species: the coastal marine fish Dicentrarchus labrax, the middle slope fish Trachyrincus scabrous, and the deep-sea fish Alocephalus rostratus and Cataetix laticeps. The species of fish examined include the European sea bass (Dicentrarchus labrax) and the sole (Solea solea), both of which are found in the middle slope, as well as the gadiform fish Trachyrincus scabrous, which is found in the middle slope, and the deep-sea fish Alocephalus rostratus and Cataetix laticeps. In particular, Solé and Sanchez-Hernandez [142] examined the sensitivity of carboxylesterase (CE) activity to diclofenac, acetaminophen, and ibuprofen. Their findings demonstrated that ibuprofen caused a moderate inhibition (28–40%) of CE activity in D. labrax, A. rostratus, and C. laticeps. The carboxylesterase activity of D. labrax, A. rostratus, and C. laticeps was found to be 40% lower than that of the controls. In contrast, diclofenac caused a significant inhibition of CE activity only in A. rostratus, while acetaminophen did not cause any change in CE activity. In contrast, Ribalta and Solé [141] analyzed the interference of diclofenac, which is also involved in xenobiotic and endogenous compounds, with the CYP1A and CYP3A metabolisms of T. scabrous. Moreover, the activity of benzyloxy-4-[trifluoromethyl]-coumarin-O-debenzyloxylase (BFCOD), a biomarker commonly used as an indicators of chemical exposure commonly used for monitoring CYP3A activity in fish, was demonstrably influenced by diclofenac in the coastal species D. labrax. Similar results were also obtained by Crespo and Solé [143], who investigated the biological effects of ibuprofen on juvenile S. solea using a multi-biomarker approach that integrated the impacts on different physiological pathways. It was reported that exposure to ibuprofen (100 µM) inhibited the activity of the CYP3A4 enzyme in the liver microsomal fraction of S. solea, whereas acetaminophen had no effect on this enzymatic activity.
3.2. Antibiotics
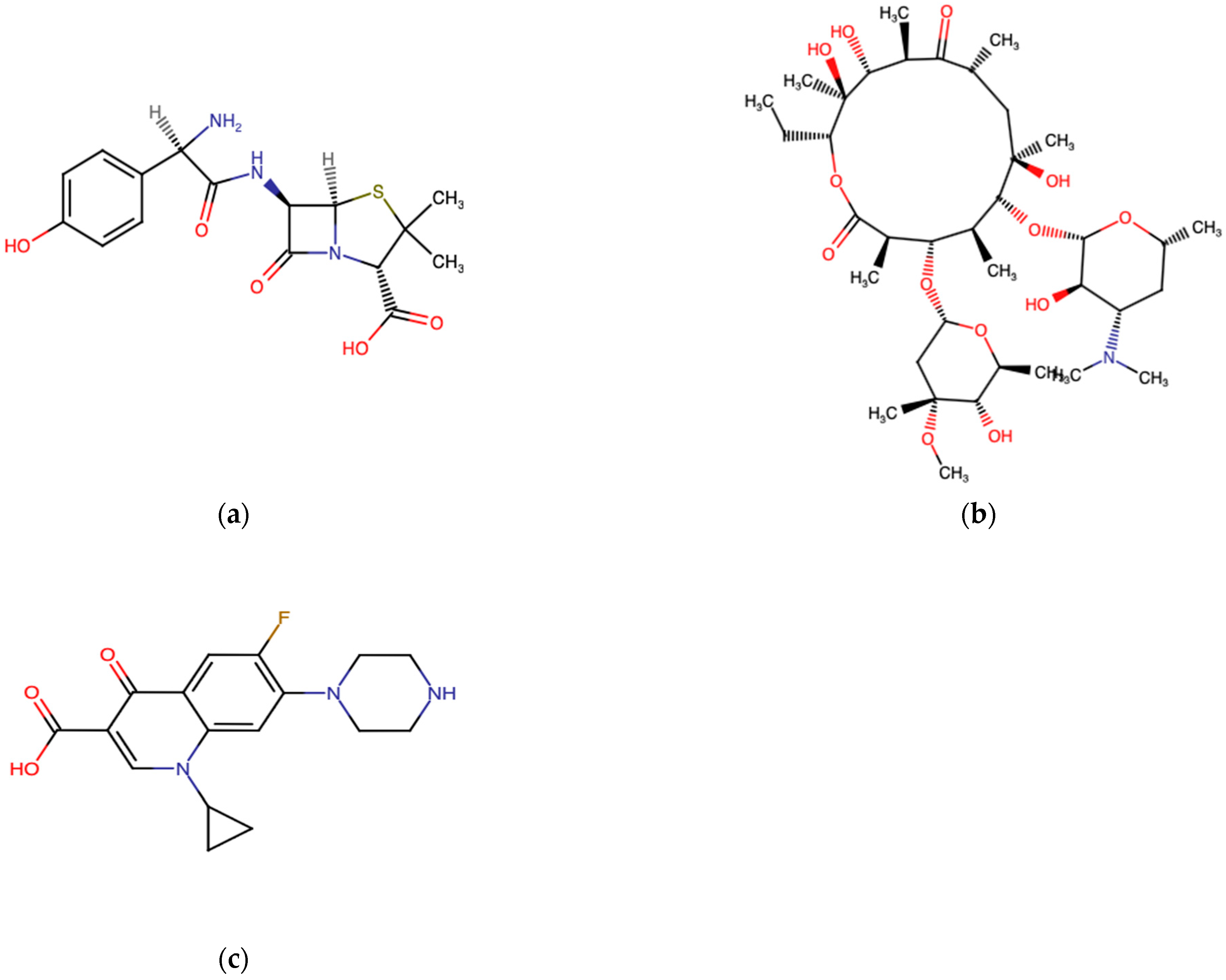
Antibiotics are considered to be the most significant pharmaceuticals discovered in the 20th century, resulting in a notable reduction in mortality and infectious disease worldwide [1]. These compounds are commonly used in both human and veterinary medicine to combat bacterial infections; however, they may also be used as promoters of animal growth [61]. In general, antibiotics are classified into several groups according to their different mechanisms of action, including the suppression of bacterial cell walls or protein synthesis and growth [10]. The most prevalent types of antibiotics are penicillins (e.g., penicillin and amoxicillin), which impede the synthesis of bacterial cell walls; tetracyclines (e.g., tetracycline), which bind to the ribosome and damage protein synthesis; and sulfonamides, which act to inhibit bacterial growth; quinolones (e.g., ciprofloxacin), and macrolides (e.g., erythromycin) [61,169].
In recent years, the impact of antibiotic pollution on aquatic ecosystems has been extensively studied in relation to the development of bacterial antibiotic resistance and the potential risks to human health. This is because the emergence and spread of antibiotic resistance in bacterial pathogens has led to a shift in the types of infections these pathogens can cause. [170,171,172]. Furthermore, the presence of other ubiquitous contaminants, such as heavy metals, can enhance co-selection processes and, consequently, antibiotic tolerance levels due to the co-regulation of resistance genes [36,172]. With regard to fish, the deleterious effects of antibiotics have been extensively investigated in freshwater ecosystems. However, in marine environments, the biological impacts of this class of pharmaceuticals on these organisms remain poorly understood. Nevertheless, it has been reported that antibiotic toxicity negatively influenced feeding, behavior, and biomarker responses in juvenile goby (Pomatoschistus microps) after exposure to cefalexin (at concentrations ranging from 1.3 to 10 mg/L) [145]. Furthermore, the study demonstrated that exposure to cefalexin at concentrations above 5 mg/L significantly reduced predation performance at 20 °C over 4 days, while lipid peroxidation levels increased (at 10 mg/L). At 25 °C, the toxicity of cefalexin increased, followed by a decrease in predation performance at 2.5 mg/L [145].
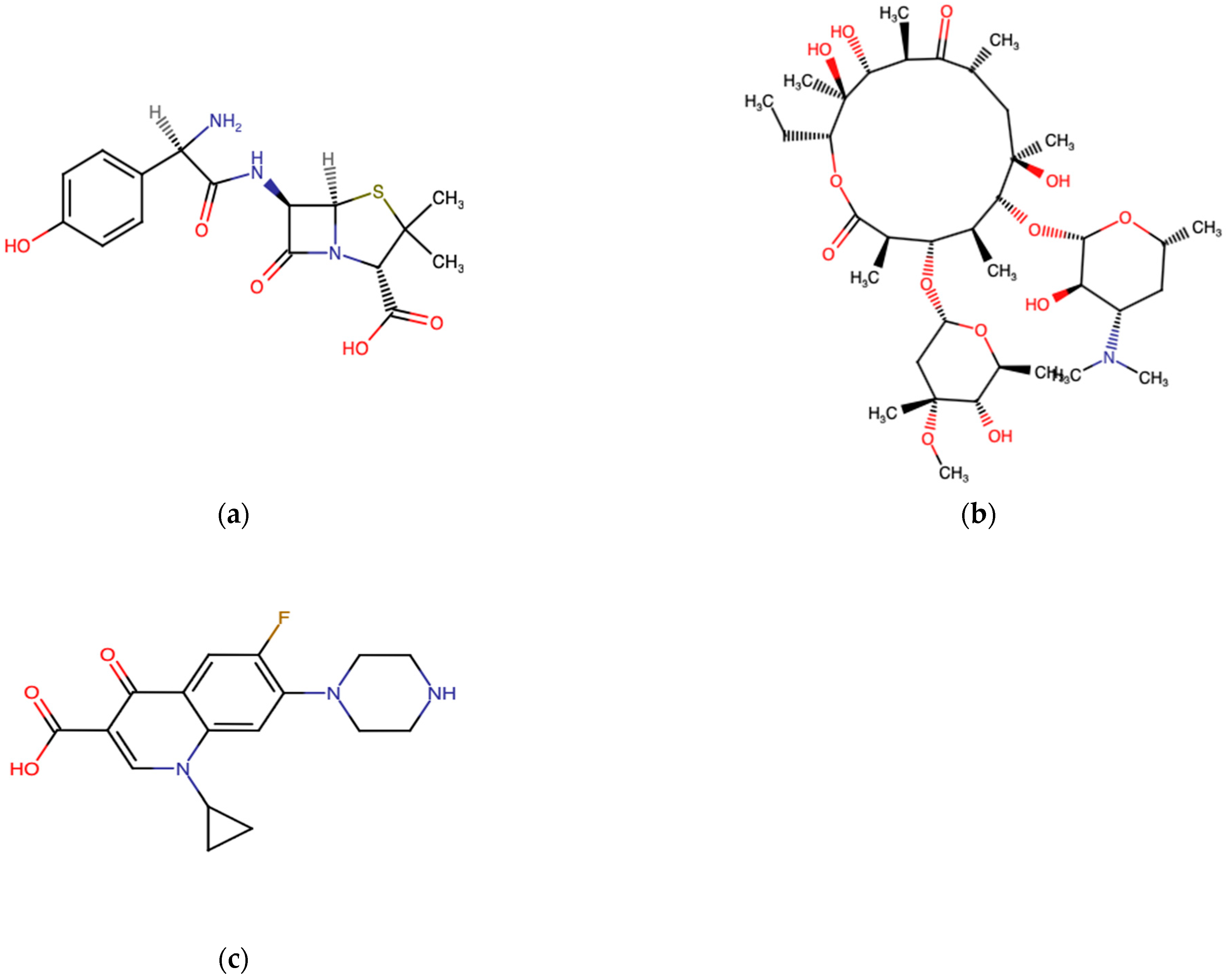
The chemical structures of common antibiotics are illustrated in Figure 2.
Figure 2.
Chemical structures of the most common antibiotics. (a) Amoxicillin; (b) erythromycin; (c) ciprofloxacin.
3.3. Antidepressant Drugs
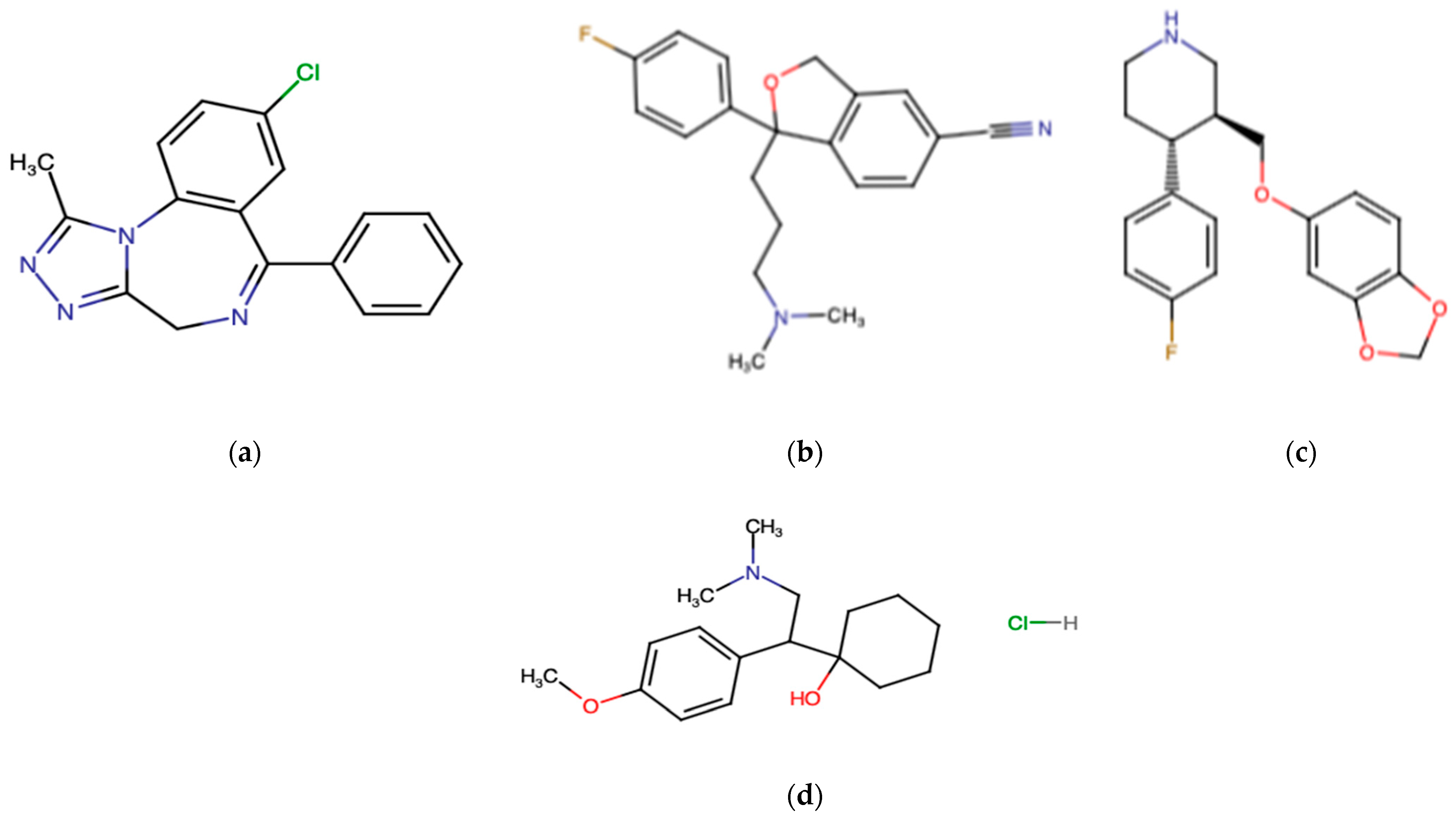
Antidepressants represent a class of neuroactive pharmaceuticals related to psychiatric drugs, which also include antiepileptics and anxiolytics. These compounds are defined as selective serotonin reuptake inhibitors (SSRIs) and are used to treat a range of condition, including anxiety, clinical depression, social phobia, obsessive–compulsive disorders, panic disorders, and attention deficit disorders [1,61]. The occurrence of antidepressant residues and metabolites in aquatic environments has been confirmed through documented evidence. Silva et al. [173] reported values ranging from ng/L in WWTPs to a few µg/L in seawater. More recently, Duarte et al. [174] detected 33 neuroactive compounds in all fish brain and water samples and in 95% of the liver and fish muscle tissues analyzed. These emerging pollutants, including fluoxetine, citalopram, paroxetine, sertraline, and venlafaxine, exert their pharmaceutical action by inhibiting monoamine transporters and consequently the reuptake of the neurotransmitter serotonin (5-hydroxytryptamine, 5-HT) at the presynaptic neuronal membranes [175,176]. The chemical structures of common antidepressant drugs are presented in Figure 3.
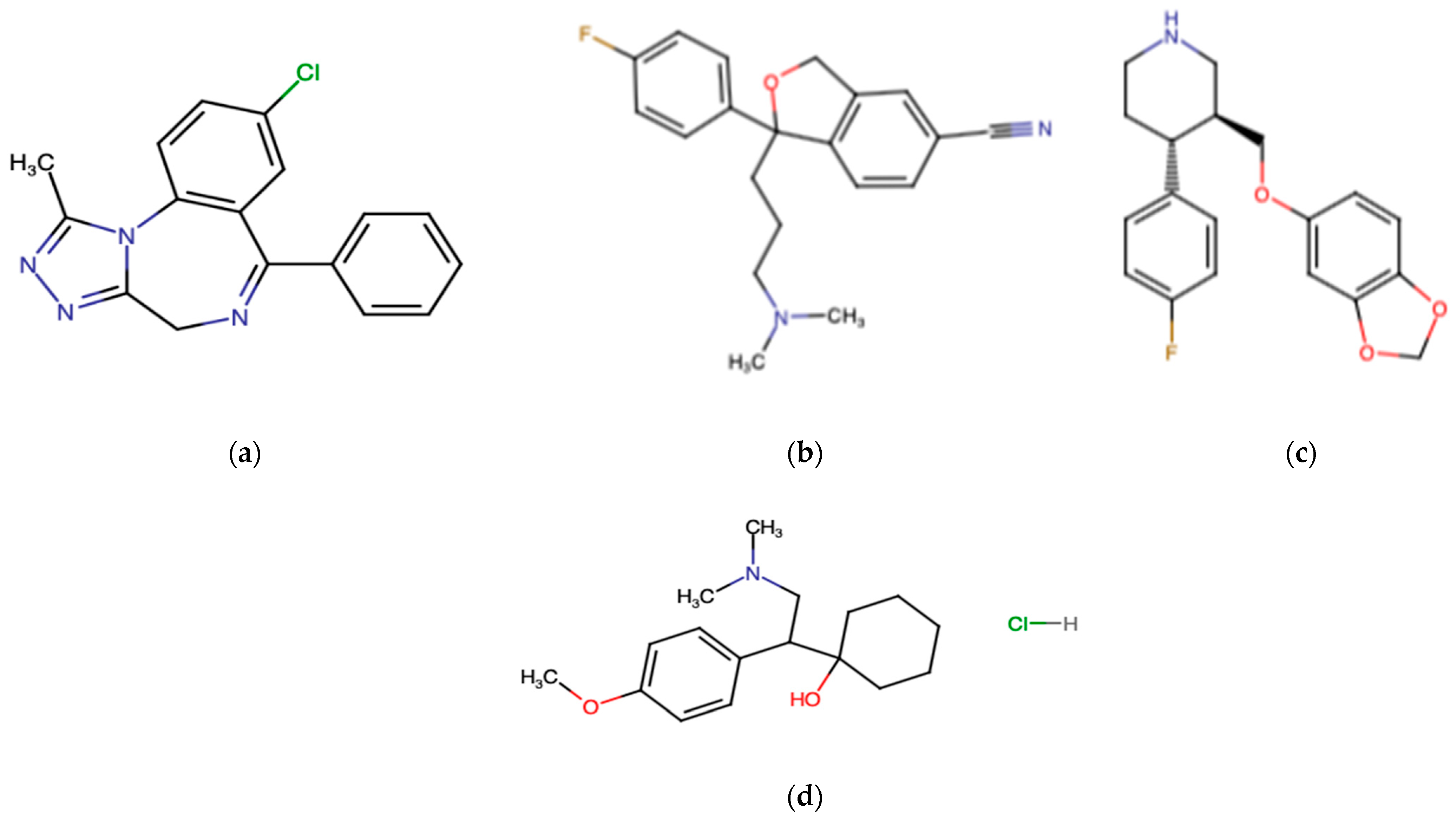
Figure 3.
Chemical structures of the most common antidepressant drugs. (a) Alprazolam; (b) citalopram; (c) paroxetine; (d) venlafaxine.
The presence of serotonin (5-HT) in various tissues is a common feature among fish species, as evidenced by the presence of serotonin receptors [177]. In fish, serotonin functions as an important neurotransmitter, influencing a range of physiological processes, including behavior (aggression, appetite), endocrine, and reproductive parameters. Moreover, serotonin has been demonstrated to influence social hierarchy and feeding rank in certain species by exerting a profound influence on a multitude of processes, both at the individual and population levels. The influence is exerted through the alteration of social interactions and reproduction [169]. To date, only a limited number of studies have examined the biological effects of these pharmaceuticals on marine fishes. In contrast, a significant amount of scientific data has been reported for freshwater ecosystems. In particular, it has been demonstrated that antidepressants have deleterious effects on fishes’ physiology, reproduction, and behavior. In addition, there is evidence to suggest that they may act as endocrine disruptors in different species of fish [51,178,179,180].
For example, fluoxetine was demonstrated to affect the behavior of marine organisms. Such alterations include changes in growth rates, feeding habits, and predator–prey interactions [181]. In Ribalta and Solé [141], it was demonstrated that fluoxetine can inhibit cytochrome P450, which are enzymes involved in Phase I of xenobiotic and endogenous compounds. Moreover, fluoxetine has been demonstrated to affect the behavior of marine fishes by reducing locomotory activity after 32 h of exposure at an effective concentration of 155 µg/L [182]. Conversely, the administration of fluoxetine to the Gulf toadfish Opsanus beta via the intraperitoneal route was demonstrated to influence branchial urea excretion and intestinal osmoregulation at a high concentration., resulting in a stress response and a subsequent elevation of plasma cortisol levels [144]. In Solé and Sanchez-Hernandez [142], the antidepressant fluoxetine had no effect on the CE activity of marine fishes (S. solea, D. labrax, T. scabrux, A. rostratus, C. laticeps, and Siganus cataliculatus), which is a fundamental mechanism involved in pesticide detoxification of fish [183].
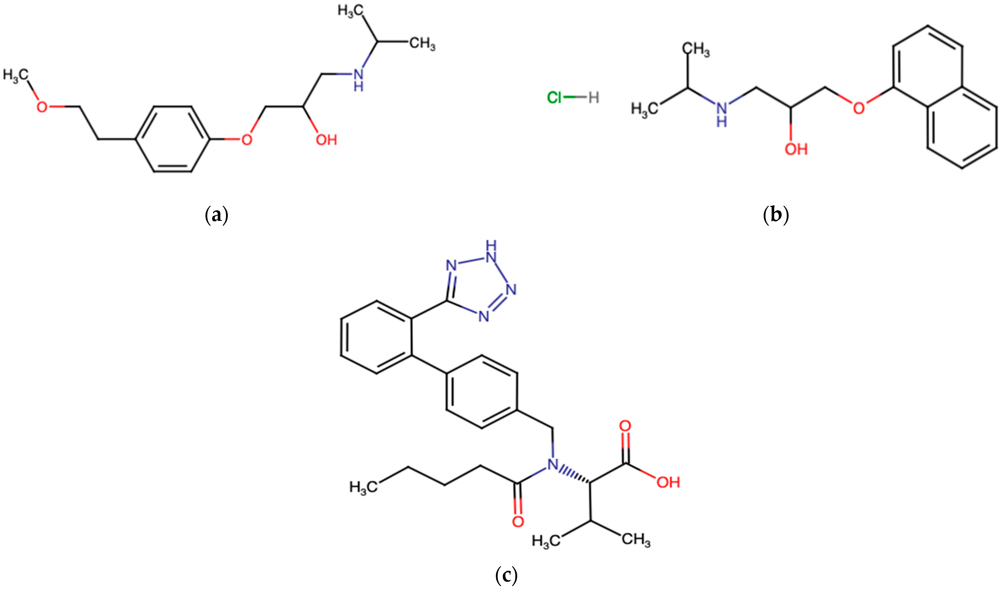
3.4. Cardiovascular Drugs
The pharmacological management of cardiovascular disorders typically entails the use of drugs that act on the cardiovascular system, including β-blockers (such as atenolol, propranolol, metoprolol), angiotensin-converting enzyme (ACE) inhibitors, angiotensin II antagonists (includingsartans and valsartan), and calcium channel blockers (such as diltiazem). The chemical structures of common cardiovascular drugs are shown in Figure 4.
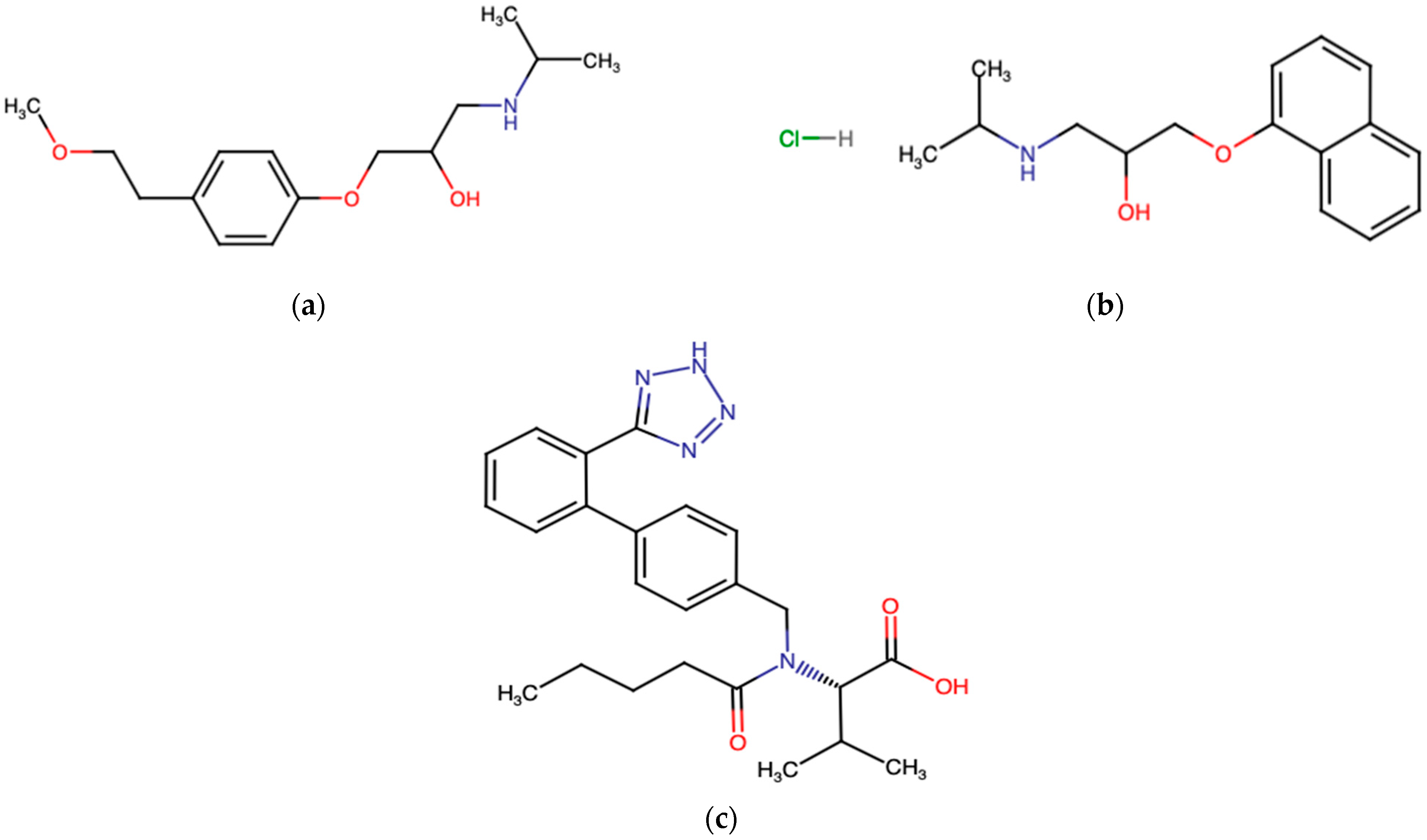
Figure 4.
Chemical structures of the most common cardiovascular drugs. (a) Metoprolol; (b) propanolol; (c) valsartan.
It has been demonstrated that pharmaceuticals of the aforementioned classes are frequently detected in aquatic environments, particularly in the effluent of wastewater treatment plants and surface waters. Concentrations of these pharmaceuticals at ng/L levels and up to 10 µg/L have been observed [184,185,186,187,188,189,190,191,192,193].
β-blockers represent a category of cardiovascular pharmaceuticals that are the most frequently prescribed for the treatment of a range of cardiac conditions, including angina, high blood pressure, and glaucoma. Their mechanism of action is based on specific binding to adrenoreceptors, competing with β-adrenergic agonists and leading to a decrease in heart rate, cardiac output, and cardiac muscles’ contractibility. A number of research studies have documented the physiological effects of β-blocker pharmaceuticals on freshwater fish species. These effects have been observed in tissues and organs outside the heart, including branchial vascular tissue, the gills, the liver, erythrocytes, the brain, and skeletal muscle [181,194,195]. It has been demonstrated that three subclasses of β-blockers (β1, β2, and β3) have different levels of potency and efficacy. It has been demonstrated that these receptors are involved in numerous physiological processes in fishes. These include the regulation of cardiovascular function, growth, and metabolism [169,196].
Only recently have the biological effects of cardiovascular drugs been studied in marine fishes. In particular, the effects of β-blockers have been evaluated in vitro. Propranolol exposure resulted in a decrease in the enzymatic activities of carboxylesterase (CbE) and benzyloxy-4-trifluoromethylcoumarin [142,143].
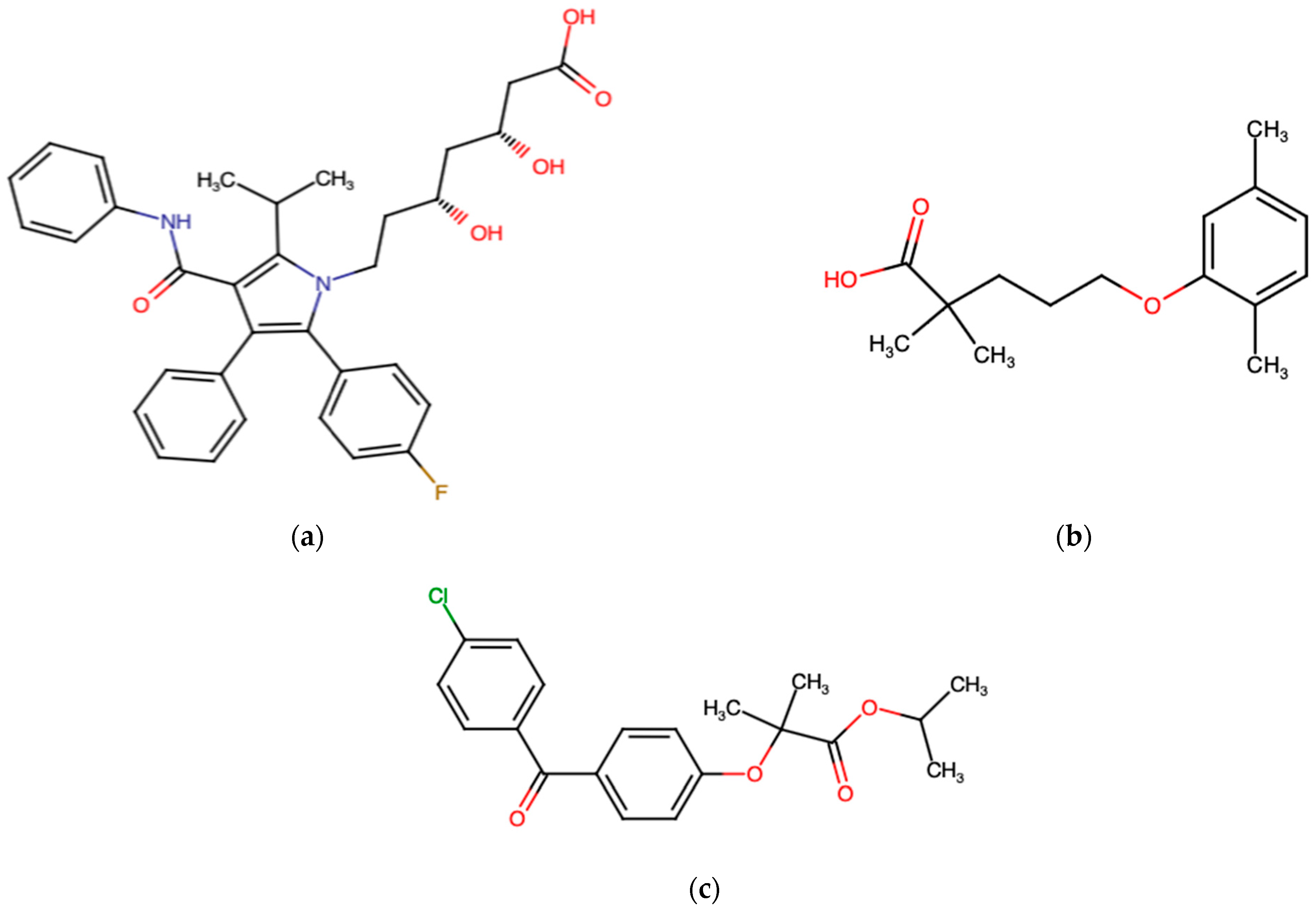
3.5. Lipid Regulators
The category of lipid regulators includes two groups of agents that lower cholesterol and triglycerides in the blood plasma: statins and fibrates. These agents play an important therapeutic role in the treatment of hyperlipidemia. Statins, such as simvastatin and atorvastatin, are known to inhibit the activity of the enzyme HMG-CoA (3-hydroxymethylglutaryl coenzyme A reductase), which is responsible for feedback control of cholesterol synthesis [61]. The result of their activity is a decreased intracellular cholesterol concentration and an overexpression of low-density lipoprotein (LDL) receptors on hepatocyte membranes. This results in the clearance of circulating LDL cholesterol [61]. The chemical structures of some of the common lipid regulators are shown in Figure 5.
Figure 5.
Chemical structures of the most common lipid regulators. (a) Atovarstatin; (b) gemfibrozil; (c) fenofibrate.
Peroxisomal proliferators (PPs) such as fibrates, including bezafibrate and gemfibrozil, exert their therapeutic effect by inducing changes in the expression of genes involved in lipoprotein metabolism. These changes include increased expression of enzymes such as acyl-CoA oxidase (AOX), which facilitates peroxisomal β-oxidation of fatty acids [197]. PPs specifically act by binding to and activating the peroxisomal proliferator-activated receptor alpha (PPAR-alpha) transcriptional factor, which then binds to specific response elements (PPREs) in the promoter region of PP-sensitive genes. This ultimately results in the removal of fatty acids and cholesterol from the blood [61,198].
With regard to the adverse effects of antilipidemic drugs on marine organisms, only a limited number of studies have been conducted to assess the impact of these pharmaceuticals on the development and reproduction of invertebrates. In marine fishes, biological responses have been evaluated through molecular and biochemical changes. Indeed, it has been demonstrated that fishes possess a peroxisomal β oxidation system, and these organisms respond to PPAR agonists by increasing AOX activity. This indicates that the PPAR pathway represents a fundamental factor in mediating enzymatic responses to fibrates in fish [199,200].
In marine fish, studies on the toxicity of lipids have focused on the biological effects of the fibrate gemfibrozil, the most prescribed pharmaceutical in human medicine [201]. It has been demonstrated that this compound induces alterations in the balance of sex hormones and embryonic malabsorption syndrome in zebrafish [148,202]. Teles et al. [146] demonstrated that exposure to gemfibrozil (150 g/L) upregulated peroxisome proliferator-activated receptors (PPAR) and transcription of the related genes in juvenile Sparus aurata, resulting in an increase in cortisol levels as a stress-related effect at a concentration of 1.5 mg/L. Some studies indicated that lipid regulators can cause variations in fishes’ metabolism. Recently, Barreto et al. [149] demonstrated that exposure of S. aurata to 1.5–15,000 g/L of gemfibrozil resulted in an increase in catalase (CAT) and glutathione reductase (GR) in the gills and a decrease in glutathione peroxidase (GPx) and GR in the liver.
In Solé et al. [142], the administration of gemfibrozil at 1 mg/kg body weight in Solea senegalensis resulted in the activation of cytochrome P450-related and Phase II (UDPGT) biotransformation enzymes, while simultaneously inhibiting the antioxidant defenses. Conversely, in Mimeault et al. [148], gemfibrozil reduced serum testosterone levels in the goldfish Carassius auratus at 1.5 g/L. In contrast, Ribalta and Solé [141] reported that gemfibrozil did not cause significant interference with ER metabolism in any fish species studied. This highlights that the interference with the CYP3A is species-dependent, with higher levels observed in the perciform D. labrax (26%). More recently, the effects of gemfibrozil on marine fish were also investigated by Capolupo et al. [147], who demonstrated that this compound negatively affected the survival of the larvae of the seabream S. aurata following exposure to 500 ng/L of gemfibrozil. Furthermore, other fibrates, such as simvastatin and fenofibrate, have been demonstrated to inhibit CbE activity in coastal marine fish (D. labrax), middle-slope fish (T. scabrus), deep-sea fish (A. rostratus and C. laticeps) [142], and S. solea [143]. In addition, simvastatin exposure has been demonstrated to result in a reduction in AChE levels in estuarine Fundulus heteroclitus (1.25 mg/L and LC50 of 2.68 mg/L) [150].
3.6. Steroid Hormones and Estrogens
A number of studies have provided evidence to demonstrate the adverse effects of steroidal hormones in the environment, highlighting the deleterious impacts on non-target marine species at concentrations lower than those of bioactive substances [147,203,204]. The assessment of steroid hormones commenced in the early 1970s, and this led to the first studies of pharmaceuticals in aquatic environments. Both natural and synthetic steroids are widely used in human and veterinary fields, with large quantities discharged from livestock and aquaculture [204,205,206]. The endocrine system represents the principal target of steroid hormones due to its role in maintaining the homeostasis of organisms, and their development, behavior, and reproduction [204]. The principal effects are attributable to estrogens, particularly 17-ethynilestradiol (EE2) (Figure 6) It is considered to be the primary component of oral contraceptives and the synthetic drug with the highest potential to disrupt the endocrine system [203].
Figure 6.
Chemical structure of 17α-ethynilestradiol.
As reported in some studies on mammals and marine organisms, physiological estrogens derived from cholesterol [207,208] and the mechanism of direct genomic signaling is based on modulation by nuclear estrogen receptors (ERs), which play a role as ligand-activated factors [209,210]. Following the binding of estrogens in the cytoplasm, ERs undergo a conformational change, including receptor dimerization. This complex then migrates into the nucleus, where it binds to chromatin through the estrogen response element (ERE), stimulating the transcription of the target genes. It has been demonstrated that estrogens can modulate the transcription of other genes through indirect genomic signaling after the interaction of ER complexes with other transcription factors and response elements, inducing the activation or suppression of the target genes’ expression [4]. In addition to genomic signaling, the non-genomic mechanism represents another important pathway through which estrogens can determine cellular effects. These mechanisms are based on the interaction of membrane-bound ERs, which then activates signaling cascades such as the Ras/Raf/MAPK cascade, the phosphatidylinositol 3-kinase/Akt kinase cascade, and the cAMP/PK A signaling pathway [4], which regulates intracellular concentrations of Ca2+ and nitric oxide, and the expression of ERE and transcription factor regulator genes. To date, several studies have been conducted in teleost fishes to illustrate the negative effects of estrogens on the endocrine system, reproduction, behavior, development, metabolism, and cytokine expression [151,152,153,155,156,157,158,159,160]. In particular, three ERs have been described (ER1, ER1, and ER2), which exhibit some similarities in the activity of EE2 between mammals and fishes in the molecular pathway linked to the signaling system [211]. It has been observed that the production of vitellogenin, a protein precursor induced by estrogen, is increased in fishes. This protein is produced only by adult females, but it has also been identified in juvenile and male fishes exposed to estrogen-like substances. The synthesis of vitellogenin is linked to several events. Firstly, the activation of the ER signaling pathway by estrogens leads to an increase in the expression of the vitellogenin gene. Secondly, the protein is mobilized and matured in the endoplasmic reticulum and Golgi apparatus. Finally, it is incorporated into secretory vesicles and released into the circulatory system [4].
It has been documented that the global human population releases approximately 30,000 kg of natural steroid estrogens into the environment annually, in addition to 700 kg of synthetic estrogen, which arises exclusively from the use of birth control pills [212]. The environmental release of estrogenic EPP through wastewater and effluent is a frequently observed phenomenon, as evidenced by studies conducted in the UK and in Europe. This has resulted in deleterious effects on fish.
For instance, the use of synthetic estrogens in contraceptives has been associated with the feminization of male fish, which has resulted in skewed sex ratios and reproductive impairments [213].
The bioaccumulation of estrogenic EPP has been observed to be associated with the phenomenon of the feminization of male fish [5].
The result of this process is intersex, which is the presence of male and female reproductive tissues. A higher concentration of the estrogenic compound was observed to correspond with a greater occurrence and intensity of feminization [214]. Furthermore, intersex was rarely observed in fish less than 3 years of age, in contrast to more advanced age classes, where it was more common. This indicates that the expression of this condition is progressive [5].
A detrimental consequence observed in fishes is the feminization of males following exposure to EE2, which is then accompanied by the development of ovotestes in species that lay eggs. This phenomenon is associated with the presence of oocytes in the male gonads, impaired spermatogenesis, and reductions in sperm motility and sperm counts. In addition, there is evidence that exposure to EE2 affects sperm motility and sperm counts [203,204,215,216]. Furthermore, exposure to EE2 has been linked to an increased frequency of cancers, which is thought to be due to the role of EE2 as a promoter of the formation of hepatic tumors through a reduction in the ability to repair DNA adducts [204,216].
The adverse physiological impacts of estrogen have also been evaluated in behavioral studies, which have demonstrated the consequences at population levels. In particular, it has been reported that in sand gobies Pomatoschistus minutus, exposure to EE2 at a concentration of 41 ng/L for 31 days caused altered reproductive behavior, influencing the movements of attraction of females’ attention and males’ parental care in developing eggs [217]. Conversely, it has been observed that exposure to low concentrations of EE2 (1 ng/L, 10 days) induced negative effects on the expression of secondary sexual traits and the mating dynamics of the Gulf pipefish Syngnathus scovelli [218]. Furthermore, a correlation has been demonstrated between microplastics and the estrogenic effects of EE2 in O. melastigma, indicating an increase in the estrogenic impacts of EE2 in marine fishes [154].
4. Conclusions and Future Perspectives
The environmental impact of pharmaceuticals has recently been identified as a significant global threat and a key research area in marine science. The persistence of these emerging pollutants and their degradation products is largely attributed to their unregulated and continuous spread in the environment, which has been linked to a wide range of detrimental effects. These effects can be observed at the organism level, including the onset of antibiotic resistance phenomena. Currently, the available information on the effects of pharmaceuticals on non-target organisms is still heterogeneous and fragmented, with a significant focus on the effects of NSAIDs and psychiatric drugs compared with cardiovascular drugs and antibiotics.
With regard to marine fish, further scientific knowledge is required in order to enable a more detailed investigation of the impacts of certain therapeutic compounds, including antibiotics, cardiovascular drugs, lipid regulators, and hormones, on these organisms in terms of toxicity, bioaccumulation, metabolic processes, and trophic transfer. Furthermore, the long-term effects of exposure to environmentally relevant concentrations must be evaluated. This review has highlighted the complexity of the responsiveness and variations in the regulatory mechanisms of marine fishes to pharmaceuticals, which may be further challenged by the simultaneous presence of other contaminants such as microplastics and potential environmental stressors (i.e., increased temperatures). Therefore, the reviewed data must be interpreted with a certain degree of caution due to the high variability in the reported biological results, doses and modes of exposure, typologies of pharmaceuticals analyzed, and characteristics of non-targeted organisms.
Future challenges and including monitoring studies should be carried out with the aim of developing new strategies for evaluating the impacts and acute effects of mixtures of pharmaceuticals and other pollutants on marine fishes due to the lack of data. Moreover, scientific research should enhance the development of a “green pharmacy” based on more sustainable pathways for the design, production, and degradation of synthetic drugs in wastewater. This approach has the potential to reduce the impacts on the marine environment and related organisms.
Author Contributions
Conceptualization and methodology, D.P.; investigation, visualization, and data curation, D.P. and D.S.; writing—original draft preparation, D.P.; writing—review and editing, D.S. and A.M.; supervision, A.M. All authors have read and agreed to the published version of the manuscript.
Funding
This project was funded under the National Recovery and Resilience Plan (NRRP), Mission 4 Component 2 Investment 1.4—Call for tender No. 3138 of 16 December 2021, rectified by Decree No. 3175 of 18 December 2021 of the Italian Ministry of University and Research funded by the European Union—NextGenerationEU (Award number: project code CN_00000033) and Concession Decree No. 1034 of 17 June 2022 adopted by the Italian Ministry of University and Research, (CUP B73C22000790001, Project title “National Biodiversity Future Center—NBFC”).
Data Availability Statement
No new data were created or analyzed in this study. Data sharing is not applicable to this article.
Conflicts of Interest
The authors declare no conflicts of interest.
References
- Mezzelani, M.; Gorbi, S.; Regoli, F. Pharmaceuticals in the Aquatic Environments: Evidence of Emerged Threat and Future Challenges for Marine Organisms. Mar. Environ. Res. 2018, 140, 41–60. [Google Scholar] [CrossRef]
- González Peña, O.I.; López Zavala, M.Á.; Cabral Ruelas, H. Pharmaceuticals Market, Consumption Trends and Disease Incidence Are Not Driving the Pharmaceutical Research on Water and Wastewater. Int. J. Environ. Res. Public. Health 2021, 18, 2532. [Google Scholar] [CrossRef] [PubMed]
- Branchet, P.; Arpin-Pont, L.; Piram, A.; Boissery, P.; Wong-Wah-Chung, P.; Doumenq, P. Pharmaceuticals in the Marine Environment: What Are the Present Challenges in Their Monitoring? Sci. Total Environ. 2021, 766, 142644. [Google Scholar] [CrossRef]
- Mezzelani, M.; Regoli, F. The Biological Effects of Pharmaceuticals in the Marine Environment. Annu. Rev. Mar. Sci. 2022, 14, 105–128. [Google Scholar] [CrossRef] [PubMed]
- Gauri, D.; Swati, U.; Tejal, B.; Somkuwar, A.P.; Sonal, D.; More, G.V.; Alka, S.; Limsay, R.P. Pharmaceutical Waste a Global Challenge to Ecosystem. Chron. Aquat. Sci. 2024, 10, 53–64. [Google Scholar] [CrossRef]
- Boxall, A.B.A.; Rudd, M.A.; Brooks, B.W.; Caldwell, D.J.; Choi, K.; Hickmann, S.; Innes, E.; Ostapyk, K.; Staveley, J.P.; Verslycke, T.; et al. Pharmaceuticals and Personal Care Products in the Environment: What Are the Big Questions? Environ. Health Perspect. 2012, 120, 1221–1229. [Google Scholar] [CrossRef] [PubMed]
- Daghrir, R.; Drogui, P. Tetracycline Antibiotics in the Environment: A Review. Environ. Chem. Lett. 2013, 11, 209–227. [Google Scholar] [CrossRef]
- Maletz, S.; Floehr, T.; Beier, S.; Klümper, C.; Brouwer, A.; Behnisch, P.; Higley, E.; Giesy, J.P.; Hecker, M.; Gebhardt, W.; et al. In Vitro Characterization of the Effectiveness of Enhanced Sewage Treatment Processes to Eliminate Endocrine Activity of Hospital Effluents. Water Res. 2013, 47, 1545–1557. [Google Scholar] [CrossRef] [PubMed]
- Daughton, C.G.; Ruhoy, I.S. The Afterlife of Drugs and the Role of PharmEcovigilance. Drug Saf. 2008, 31, 1069–1082. [Google Scholar] [CrossRef] [PubMed]
- Kümmerer, K. Antibiotics in the Aquatic Environment—A Review—Part I. Chemosphere 2009, 75, 417–434. [Google Scholar] [CrossRef] [PubMed]
- Kümmerer, K. Antibiotics in the Aquatic Environment—A Review—Part II. Chemosphere 2009, 75, 435–441. [Google Scholar] [CrossRef] [PubMed]
- Calisto, V.; Esteves, V.I. Psychiatric Pharmaceuticals in the Environment. Chemosphere 2009, 77, 1257–1274. [Google Scholar] [CrossRef] [PubMed]
- Klatte, S.; Schaefer, H.-C.; Hempel, M. Pharmaceuticals in the Environment—A Short Review on Options to Minimize the Exposure of Humans, Animals and Ecosystems. Sustain. Chem. Pharm. 2017, 5, 61–66. [Google Scholar] [CrossRef]
- Wille, K.; Noppe, H.; Verheyden, K.; Vanden Bussche, J.; De Wulf, E.; Van Caeter, P.; Janssen, C.R.; De Brabander, H.F.; Vanhaecke, L. Validation and Application of an LC-MS/MS Method for the Simultaneous Quantification of 13 Pharmaceuticals in Seawater. Anal. Bioanal. Chem. 2010, 397, 1797–1808. [Google Scholar] [CrossRef] [PubMed]
- Vieno, N.; Hallgren, P.; Wallberg, P.; Pyhälä, M.; Zandaryaa, S. Baltic Marine Environment Protection Commission. Pharmaceuticals in the Aquatic Environment of the Baltic Sea Region: A Status Report; CCB Report: Pharmaceutical Pollution in the Baltic Sea Region; UNESCO Publishing: Uppsala, Sweden, 2017; Volume 1. [Google Scholar]
- Al-Odaini, N.A.; Zakaria, M.P.; Yaziz, M.I.; Surif, S.; Abdulghani, M. The Occurrence of Human Pharmaceuticals in Wastewater Effluents and Surface Water of Langat River and Its Tributaries, Malaysia. Int. J. Environ. Anal. Chem. 2013, 93, 245–264. [Google Scholar] [CrossRef]
- Bandala, E.R.; Kruger, B.R.; Cesarino, I.; Leao, A.L.; Wijesiri, B.; Goonetilleke, A. Impacts of COVID-19 Pandemic on the Wastewater Pathway into Surface Water: A Review. Sci. Total Environ. 2021, 774, 145586. [Google Scholar] [CrossRef] [PubMed]
- Chu, W.; Fang, C.; Deng, Y.; Xu, Z. Intensified Disinfection Amid COVID-19 Pandemic Poses Potential Risks to Water Quality and Safety. Environ. Sci. Technol. 2021, 55, 4084–4086. [Google Scholar] [CrossRef]
- Liu, C.; Zhou, Q.; Li, Y.; Garner, L.V.; Watkins, S.P.; Carter, L.J.; Smoot, J.; Gregg, A.C.; Daniels, A.D.; Jervey, S.; et al. Research and Development on Therapeutic Agents and Vaccines for COVID-19 and Related Human Coronavirus Diseases. ACS Cent. Sci. 2020, 6, 315–331. [Google Scholar] [CrossRef]
- Wu, R.; Wang, L.; Kuo, H.-C.D.; Shannar, A.; Peter, R.; Chou, P.J.; Li, S.; Hudlikar, R.; Liu, X.; Liu, Z.; et al. An Update on Current Therapeutic Drugs Treating COVID-19. Curr. Pharmacol. Rep. 2020, 6, 56–70. [Google Scholar] [CrossRef] [PubMed]
- Liu, J.-L.; Wong, M.-H. Pharmaceuticals and Personal Care Products (PPCPs): A Review on Environmental Contamination in China. Environ. Int. 2013, 59, 208–224. [Google Scholar] [CrossRef] [PubMed]
- Nannou, C.; Ofrydopoulou, A.; Evgenidou, E.; Heath, D.; Heath, E.; Lambropoulou, D. Antiviral Drugs in Aquatic Environment and Wastewater Treatment Plants: A Review on Occurrence, Fate, Removal and Ecotoxicity. Sci. Total Environ. 2020, 699, 134322. [Google Scholar] [CrossRef] [PubMed]
- Rodriguez-Narvaez, O.M.; Peralta-Hernandez, J.M.; Goonetilleke, A.; Bandala, E.R. Treatment Technologies for Emerging Contaminants in Water: A Review. Chem. Eng. J. 2017, 323, 361–380. [Google Scholar] [CrossRef]
- Xu, W.; Zhang, G.; Li, X.; Zou, S.; Li, P.; Hu, Z.; Li, J. Occurrence and Elimination of Antibiotics at Four Sewage Treatment Plants in the Pearl River Delta (PRD), South China. Water Res. 2007, 41, 4526–4534. [Google Scholar] [CrossRef] [PubMed]
- Godoy, A.A.; Kummrow, F. What Do We Know about the Ecotoxicology of Pharmaceutical and Personal Care Product Mixtures? A Critical Review. Crit. Rev. Environ. Sci. Technol. 2017, 47, 1453–1496. [Google Scholar] [CrossRef]
- Huang, C.; Jin, B.; Han, M.; Yu, Y.; Zhang, G.; Arp, H.P.H. The Distribution of Persistent, Mobile and Toxic (PMT) Pharmaceuticals and Personal Care Products Monitored across Chinese Water Resources. J. Hazard. Mater. Lett. 2021, 2, 100026. [Google Scholar] [CrossRef]
- Aus Der Beek, T.; Weber, F.; Bergmann, A.; Hickmann, S.; Ebert, I.; Hein, A.; Küster, A. Pharmaceuticals in the Environment—Global Occurrences and Perspectives. Environ. Toxicol. Chem. 2016, 35, 823–835. [Google Scholar] [CrossRef] [PubMed]
- Arpin-Pont, L.; Bueno, M.J.M.; Gomez, E.; Fenet, H. Occurrence of PPCPs in the Marine Environment: A Review. Environ. Sci. Pollut. Res. 2016, 23, 4978–4991. [Google Scholar] [CrossRef]
- Gaw, S.; Thomas, K.V.; Hutchinson, T.H. Sources, Impacts and Trends of Pharmaceuticals in the Marine and Coastal Environment. Phil. Trans. R. Soc. B 2014, 369, 20130572. [Google Scholar] [CrossRef] [PubMed]
- Bonnefille, B.; Arpin-Pont, L.; Gomez, E.; Fenet, H.; Courant, F. Metabolic Profiling Identification of Metabolites Formed in Mediterranean Mussels (Mytilus galloprovincialis) after Diclofenac Exposure. Sci. Total Environ. 2017, 583, 257–268. [Google Scholar] [CrossRef] [PubMed]
- Desbiolles, F.; Malleret, L.; Tiliacos, C.; Wong-Wah-Chung, P.; Laffont-Schwob, I. Occurrence and Ecotoxicological Assessment of Pharmaceuticals: Is There a Risk for the Mediterranean Aquatic Environment? Sci. Total Environ. 2018, 639, 1334–1348. [Google Scholar] [CrossRef] [PubMed]
- Kallenborn, R.; Brorström-Lundén, E.; Reiersen, L.-O.; Wilson, S. Pharmaceuticals and Personal Care Products (PPCPs) in Arctic Environments: Indicator Contaminants for Assessing Local and Remote Anthropogenic Sources in a Pristine Ecosystem in Change. Environ. Sci. Pollut. Res. 2018, 25, 33001–33013. [Google Scholar] [CrossRef]
- Colzani, L.; Forni, C.; Clerici, L.; Barreca, S.; Dellavedova, P. Determination of Pollutants, Antibiotics, and Drugs in Surface Water in Italy as Required by the Third EU Water Framework Directive Watch List: Method Development, Validation, and Assessment. Environ. Sci. Pollut. Res. 2024, 31, 14791–14803. [Google Scholar] [CrossRef] [PubMed]
- Loos, R.; Tavazzi, S.; Paracchini, B.; Canuti, E.; Weissteiner, C. Analysis of Polar Organic Contaminants in Surface Water of the Northern Adriatic Sea by Solid-Phase Extraction Followed by Ultrahigh-Pressure Liquid Chromatography–QTRAP® MS Using a Hybrid Triple-Quadrupole Linear Ion Trap Instrument. Anal. Bioanal. Chem. 2013, 405, 5875–5885. [Google Scholar] [CrossRef] [PubMed]
- Crain, C.M.; Halpern, B.S.; Beck, M.W.; Kappel, C.V. Understanding and Managing Human Threats to the Coastal Marine Environment. Ann. N. Y. Acad. Sci. 2009, 1162, 39–62. [Google Scholar] [CrossRef] [PubMed]
- Savoca, D.; Arculeo, M.; Arizza, V.; Pace, A.; Melfi, R.; Caracappa, S.; Caracappa, G.; Vullo, C.; Cambera, I.; Visconti, G.; et al. Impact of Heavy Metals in Eggs and Tissues of C. Caretta along the Sicilian Coast (Mediterranean Sea). Environments 2022, 9, 88. [Google Scholar] [CrossRef]
- Savoca, D.; Lo Coco, R.; Melfi, R.; Pace, A. Uptake and Photoinduced Degradation of Phthalic Acid Esters (PAEs) in Ulva Lactuca Highlight Its Potential Application in Environmental Bioremediation. Environ. Sci. Pollut. Res. 2022, 29, 90887–90897. [Google Scholar] [CrossRef]
- Savoca, D.; Pace, A.; Arizza, V.; Arculeo, M.; Melfi, R. Controlled Uptake of PFOA in Adult Specimens of Paracentrotus Lividus and Evaluation of Gene Expression in Their Gonads and Embryos. Environ. Sci. Pollut. Res. 2022, 30, 26094–26106. [Google Scholar] [CrossRef] [PubMed]
- Cordero, H.; Mauro, M.; Cuesta, A.; Cammarata, M.; Esteban, M.Á. In Vitro Cytokine Profile Revealed Differences from Dorsal and Ventral Skin Susceptibility to Pathogen-Probiotic Interaction in Gilthead Seabream. Fish Shellfish Immunol. 2016, 56, 188–191. [Google Scholar] [CrossRef]
- Celi, M.; Filiciotto, F.; Vazzana, M.; Arizza, V.; Maccarrone, V.; Ceraulo, M.; Mazzola, S.; Buscaino, G. Shipping Noise Affecting Immune Responses of European Spiny Lobster (Palinurus elephas). Can. J. Zool. 2015, 93, 113–121. [Google Scholar] [CrossRef]
- Celi, M.; Filiciotto, F.; Parrinello, D.; Buscaino, G.; Damiano, A.; Cuttitta, A.; D’Angelo, S.; Mazzola, S.; Vazzana, M. Physiological and Agonistic Behavioural Response of Procambarus clarkii to an Acoustic Stimulus. J. Exp. Biol. 2012, 216, jeb.078865. [Google Scholar] [CrossRef]
- Nicosia, A.; Celi, M.; Vazzana, M.; Damiano, M.A.; Parrinello, N.; D’Agostino, F.; Avellone, G.; Indelicato, S.; Mazzola, S.; Cuttitta, A. Profiling the Physiological and Molecular Response to Sulfonamidic Drug in Procambarus Clarkii. Comp. Biochem. Physiol. Part C Toxicol. Pharmacol. 2014, 166, 14–23. [Google Scholar] [CrossRef] [PubMed]
- Parisi, M.G.; Mauro, M.; Sarà, G.; Cammarata, M. Temperature Increases, Hypoxia, and Changes in Food Availability Affect Immunological Biomarkers in the Marine Mussel Mytilus Galloprovincialis. J. Comp. Physiol. B 2017, 187, 1117–1126. [Google Scholar] [CrossRef] [PubMed]
- Mauro, M.; Pérez-Arjona, I.; Perez, E.J.B.; Ceraulo, M.; Bou-Cabo, M.; Benson, T.; Espinosa, V.; Beltrame, F.; Mazzola, S.; Vazzana, M.; et al. The Effect of Low Frequency Noise on the Behaviour of Juvenile Sparus aurata. J. Acoust. Soc. Am. 2020, 147, 3795–3807. [Google Scholar] [CrossRef] [PubMed]
- Chiaramonte, M.; Arizza, V.; La Rosa, S.; Queiroz, V.; Mauro, M.; Vazzana, M.; Inguglia, L. Allograft Inflammatory Factor AIF-1: Early Immune Response in the Mediterranean Sea Urchin Paracentrotus Lividus. Zoology 2020, 142, 125815. [Google Scholar] [CrossRef] [PubMed]
- Vazzana, M.; Ceraulo, M.; Mauro, M.; Papale, E.; Dioguardi, M.; Mazzola, S.; Arizza, V.; Chiaramonte, M.; Buscaino, G. Effects of Acoustic Stimulation on Biochemical Parameters in the Digestive Gland of Mediterranean Mussel Mytilus Galloprovincialis (Lamarck, 1819). J. Acoust. Soc. Am. 2020, 147, 2414–2422. [Google Scholar] [CrossRef] [PubMed]
- Vazzana, M.; Mauro, M.; Ceraulo, M.; Dioguardi, M.; Papale, E.; Mazzola, S.; Arizza, V.; Beltrame, F.; Inguglia, L.; Buscaino, G. Underwater High Frequency Noise: Biological Responses in Sea Urchin Arbacia Lixula (Linnaeus, 1758). Comp. Biochem. Physiol. Part A Mol. Integr. Physiol. 2020, 242, 110650. [Google Scholar] [CrossRef] [PubMed]
- Di Giulio, R.T.; Hinton, D.E. The Toxicology of Fishes; CRC Press: Boca Raton, FL, USA, 2008. [Google Scholar]
- Cerveny, D.; Grabic, R.; Grabicová, K.; Randák, T.; Larsson, D.G.J.; Johnson, A.C.; Jürgens, M.D.; Tysklind, M.; Lindberg, R.H.; Fick, J. Neuroactive Drugs and Other Pharmaceuticals Found in Blood Plasma of Wild European Fish. Environ. Int. 2021, 146, 106188. [Google Scholar] [CrossRef]
- Ramirez, A.J.; Mottaleb, M.A.; Brooks, B.W.; Chambliss, C.K. Analysis of Pharmaceuticals in Fish Using Liquid Chromatography-Tandem Mass Spectrometry. Anal. Chem. 2007, 79, 3155–3163. [Google Scholar] [CrossRef] [PubMed]
- Schultz, M.M.; Painter, M.M.; Bartell, S.E.; Logue, A.; Furlong, E.T.; Werner, S.L.; Schoenfuss, H.L. Selective Uptake and Biological Consequences of Environmentally Relevant Antidepressant Pharmaceutical Exposures on Male Fathead Minnows. Aquat. Toxicol. 2011, 104, 38–47. [Google Scholar] [CrossRef] [PubMed]
- Huerta, B.; Rodríguez-Mozaz, S.; Barceló, D. Pharmaceuticals in Biota in the Aquatic Environment: Analytical Methods and Environmental Implications. Anal. Bioanal. Chem. 2012, 404, 2611–2624. [Google Scholar] [CrossRef] [PubMed]
- Huerta, B.; Rodriguez-Mozaz, S.; Lazorchak, J.; Barcelo, D.; Batt, A.; Wathen, J.; Stahl, L. Presence of Pharmaceuticals in Fish Collected from Urban Rivers in the U.S. EPA 2008–2009 National Rivers and Streams Assessment. Sci. Total Environ. 2018, 634, 542–549. [Google Scholar] [CrossRef]
- Subedi, B.; Du, B.; Chambliss, C.K.; Koschorreck, J.; Rüdel, H.; Quack, M.; Brooks, B.W.; Usenko, S. Occurrence of Pharmaceuticals and Personal Care Products in German Fish Tissue: A National Study. Environ. Sci. Technol. 2012, 46, 9047–9054. [Google Scholar] [CrossRef] [PubMed]
- Du, B.; Haddad, S.P.; Luek, A.; Scott, W.C.; Saari, G.N.; Kristofco, L.A.; Connors, K.A.; Rash, C.; Rasmussen, J.B.; Chambliss, C.K.; et al. Bioaccumulation and Trophic Dilution of Human Pharmaceuticals across Trophic Positions of an Effluent-Dependent Wadeable Stream. Philos.Trans. R. Soc. B 2014, 369, 20140058. [Google Scholar] [CrossRef] [PubMed]
- Tanoue, R.; Nomiyama, K.; Nakamura, H.; Kim, J.-W.; Isobe, T.; Shinohara, R.; Kunisue, T.; Tanabe, S. Uptake and Tissue Distribution of Pharmaceuticals and Personal Care Products in Wild Fish from Treated-Wastewater-Impacted Streams. Environ. Sci. Technol. 2015, 49, 11649–11658. [Google Scholar] [CrossRef] [PubMed]
- Grabicova, K.; Grabic, R.; Fedorova, G.; Fick, J.; Cerveny, D.; Kolarova, J.; Turek, J.; Zlabek, V.; Randak, T. Bioaccumulation of Psychoactive Pharmaceuticals in Fish in an Effluent Dominated Stream. Water Res. 2017, 124, 654–662. [Google Scholar] [CrossRef]
- Muir, D.; Simmons, D.; Wang, X.; Peart, T.; Villella, M.; Miller, J.; Sherry, J. Bioaccumulation of Pharmaceuticals and Personal Care Product Chemicals in Fish Exposed to Wastewater Effluent in an Urban Wetland. Sci. Rep. 2017, 7, 16999. [Google Scholar] [CrossRef] [PubMed]
- Zenker, A.; Cicero, M.R.; Prestinaci, F.; Bottoni, P.; Carere, M. Bioaccumulation and Biomagnification Potential of Pharmaceuticals with a Focus to the Aquatic Environment. J. Environ. Manag. 2014, 133, 378–387. [Google Scholar] [CrossRef] [PubMed]
- Miller, T.H.; Bury, N.R.; Owen, S.F.; MacRae, J.I.; Barron, L.P. A Review of the Pharmaceutical Exposome in Aquatic Fauna. Environ. Pollut. 2018, 239, 129–146. [Google Scholar] [CrossRef] [PubMed]
- Duarte, B.; Caçador, I. Ecotoxicology of Marine Organisms, 1st ed.; Duarte, B., Caçador, I., Eds.; CRC Press: Boca Raton, FL, USA; Taylor & Francis Group: Abingdon-on-Thames, UK, 2019; ISBN 1138035491. [Google Scholar]
- Peake, B.M.; Braund, R.; Tong, A.Y.C.; Tremblay, L.A. The Life-Cycle of Pharmaceuticals in the Environment; Elsevier: Amsterdam, The Netherlands, 2016; ISBN 978-1-907568-25-1. [Google Scholar]
- Carballa, M.; Omil, F.; Lema, J.M.; Llompart, M.; García-Jares, C.; Rodríguez, I.; Gómez, M.; Ternes, T. Behavior of Pharmaceuticals, Cosmetics and Hormones in a Sewage Treatment Plant. Water Res. 2004, 38, 2918–2926. [Google Scholar] [CrossRef]
- García Galán, M.J.; Díaz-Cruz, M.S.; Barceló, D. Removal of Sulfonamide Antibiotics upon Conventional Activated Sludge and Advanced Membrane Bioreactor Treatment. Anal. Bioanal. Chem. 2012, 404, 1505–1515. [Google Scholar] [CrossRef] [PubMed]
- Yang, Y.; Ok, Y.S.; Kim, K.-H.; Kwon, E.E.; Tsang, Y.F. Occurrences and Removal of Pharmaceuticals and Personal Care Products (PPCPs) in Drinking Water and Water/Sewage Treatment Plants: A Review. Sci. Total Environ. 2017, 596–597, 303–320. [Google Scholar] [CrossRef] [PubMed]
- Lorenzo-Toja, Y.; Vázquez-Rowe, I.; Chenel, S.; Marín-Navarro, D.; Moreira, M.T.; Feijoo, G. Eco-Efficiency Analysis of Spanish WWTPs Using the LCA + DEA Method. Water Res. 2015, 68, 651–666. [Google Scholar] [CrossRef] [PubMed]
- Sala-Garrido, R.; Hernández-Sancho, F.; Molinos-Senante, M. Assessing the Efficiency of Wastewater Treatment Plants in an Uncertain Context: A DEA with Tolerances Approach. Environ. Sci. Policy 2012, 18, 34–44. [Google Scholar] [CrossRef]
- Oliveira, P.; Almeida, Â.; Calisto, V.; Esteves, V.I.; Schneider, R.J.; Wrona, F.J.; Soares, A.M.V.M.; Figueira, E.; Freitas, R. Physiological and Biochemical Alterations Induced in the Mussel Mytilus Galloprovincialis after Short and Long-Term Exposure to Carbamazepine. Water Res. 2017, 117, 102–114. [Google Scholar] [CrossRef] [PubMed]
- Cabello, F.C. Heavy Use of Prophylactic Antibiotics in Aquaculture: A Growing Problem for Human and Animal Health and for the Environment. Environ. Microbiol. 2006, 8, 1137–1144. [Google Scholar] [CrossRef] [PubMed]
- Burridge, L.; Weis, J.S.; Cabello, F.; Pizarro, J.; Bostick, K. Chemical Use in Salmon Aquaculture: A Review of Current Practices and Possible Environmental Effects. Aquaculture 2010, 306, 7–23. [Google Scholar] [CrossRef]
- Tornero, V.; Hanke, G. Chemical Contaminants Entering the Marine Environment from Sea-Based Sources: A Review with a Focus on European Seas. Mar. Pollut. Bull. 2016, 112, 17–38. [Google Scholar] [CrossRef] [PubMed]
- Lim, S.J.; Seo, C.-K.; Kim, T.-H.; Myung, S.-W. Occurrence and Ecological Hazard Assessment of Selected Veterinary Medicines in Livestock Wastewater Treatment Plants. J. Environ. Sci. Health Part B 2013, 48, 658–670. [Google Scholar] [CrossRef] [PubMed]
- Awad, Y.M.; Kim, S.-C.; Abd El-Azeem, S.A.M.; Kim, K.-H.; Kim, K.-R.; Kim, K.; Jeon, C.; Lee, S.S.; Ok, Y.S. Veterinary Antibiotics Contamination in Water, Sediment, and Soil near a Swine Manure Composting Facility. Environ. Earth Sci. 2014, 71, 1433–1440. [Google Scholar] [CrossRef]
- Paíga, P.; Santos, L.H.M.L.M.; Ramos, S.; Jorge, S.; Silva, J.G.; Delerue-Matos, C. Presence of Pharmaceuticals in the Lis River (Portugal): Sources, Fate and Seasonal Variation. Sci. Total Environ. 2016, 573, 164–177. [Google Scholar] [CrossRef]
- Sui, Q.; Cao, X.; Lu, S.; Zhao, W.; Qiu, Z.; Yu, G. Occurrence, Sources and Fate of Pharmaceuticals and Personal Care Products in the Groundwater: A Review. Emerg. Contam. 2015, 1, 14–24. [Google Scholar] [CrossRef]
- Afsa, S.; Hamden, K.; Lara Martin, P.A.; Mansour, H.B. Occurrence of 40 Pharmaceutically Active Compounds in Hospital and Urban Wastewaters and Their Contribution to Mahdia Coastal Seawater Contamination. Environ. Sci. Pollut. Res. 2020, 27, 1941–1955. [Google Scholar] [CrossRef] [PubMed]
- Alygizakis, N.A.; Gago-Ferrero, P.; Borova, V.L.; Pavlidou, A.; Hatzianestis, I.; Thomaidis, N.S. Occurrence and Spatial Distribution of 158 Pharmaceuticals, Drugs of Abuse and Related Metabolites in Offshore Seawater. Sci. Total Environ. 2016, 541, 1097–1105. [Google Scholar] [CrossRef]
- Biel-Maeso, M.; Baena-Nogueras, R.M.; Corada-Fernández, C.; Lara-Martín, P.A. Occurrence, Distribution and Environmental Risk of Pharmaceutically Active Compounds (PhACs) in Coastal and Ocean Waters from the Gulf of Cadiz (SW Spain). Sci. Total Environ. 2018, 612, 649–659. [Google Scholar] [CrossRef] [PubMed]
- Nödler, K.; Voutsa, D.; Licha, T. Polar Organic Micropollutants in the Coastal Environment of Different Marine Systems. Mar. Pollut. Bull. 2014, 85, 50–59. [Google Scholar] [CrossRef] [PubMed]
- Lolić, A.; Paíga, P.; Santos, L.H.M.L.M.; Ramos, S.; Correia, M.; Delerue-Matos, C. Assessment of Non-Steroidal Anti-Inflammatory and Analgesic Pharmaceuticals in Seawaters of North of Portugal: Occurrence and Environmental Risk. Sci. Total Environ. 2015, 508, 240–250. [Google Scholar] [CrossRef] [PubMed]
- Jiang, J.-J.; Lee, C.-L.; Fang, M.-D. Emerging Organic Contaminants in Coastal Waters: Anthropogenic Impact, Environmental Release and Ecological Risk. Mar. Pollut. Bull. 2014, 85, 391–399. [Google Scholar] [CrossRef] [PubMed]
- Moreno-González, R.; Rodriguez-Mozaz, S.; Gros, M.; Barceló, D.; León, V.M. Seasonal Distribution of Pharmaceuticals in Marine Water and Sediment from a Mediterranean Coastal Lagoon (SE Spain). Environ. Res. 2015, 138, 326–344. [Google Scholar] [CrossRef]
- Afonso-Olivares, C.; Torres-Padrón, M.; Sosa-Ferrera, Z.; Santana-Rodríguez, J. Assessment of the Presence of Pharmaceutical Compounds in Seawater Samples from Coastal Area of Gran Canaria Island (Spain). Antibiotics 2013, 2, 274–287. [Google Scholar] [CrossRef] [PubMed]
- Krogh, J.; Lyons, S.; Lowe, C.J. Pharmaceuticals and Personal Care Products in Municipal Wastewater and the Marine Receiving Environment Near Victoria Canada. Front. Mar. Sci. 2017, 4, 415. [Google Scholar] [CrossRef]
- Vidal-Dorsch, D.E.; Bay, S.M.; Maruya, K.; Snyder, S.A.; Trenholm, R.A.; Vanderford, B.J. Contaminants of Emerging Concern in Municipal Wastewater Effluents and Marine Receiving Water. Environ. Toxicol. Chem. 2012, 31, 2674–2682. [Google Scholar] [CrossRef] [PubMed]
- Ali, A.M.; Rønning, H.T.; Alarif, W.; Kallenborn, R.; Al-Lihaibi, S.S. Occurrence of Pharmaceuticals and Personal Care Products in Effluent-Dominated Saudi Arabian Coastal Waters of the Red Sea. Chemosphere 2017, 175, 505–513. [Google Scholar] [CrossRef] [PubMed]
- Pereira, A.M.P.T.; Silva, L.J.G.; Meisel, L.M.; Lino, C.M.; Pena, A. Environmental Impact of Pharmaceuticals from Portuguese Wastewaters: Geographical and Seasonal Occurrence, Removal and Risk Assessment. Environ. Res. 2015, 136, 108–119. [Google Scholar] [CrossRef] [PubMed]
- Borecka, M.; Białk-Bielińska, A.; Siedlewicz, G.; Kornowska, K.; Kumirska, J.; Stepnowski, P.; Pazdro, K. A New Approach for the Estimation of Expanded Uncertainty of Results of an Analytical Method Developed for Determining Antibiotics in Seawater Using Solid-Phase Extraction Disks and Liquid Chromatography Coupled with Tandem Mass Spectrometry Technique. J. Chromatogr. A 2013, 1304, 138–146. [Google Scholar] [CrossRef] [PubMed]
- Fang, T.-H.; Nan, F.-H.; Chin, T.-S.; Feng, H.-M. The Occurrence and Distribution of Pharmaceutical Compounds in the Effluents of a Major Sewage Treatment Plant in Northern Taiwan and the Receiving Coastal Waters. Mar. Pollut. Bull. 2012, 64, 1435–1444. [Google Scholar] [CrossRef] [PubMed]
- Bayen, S.; Zhang, H.; Desai, M.M.; Ooi, S.K.; Kelly, B.C. Occurrence and Distribution of Pharmaceutically Active and Endocrine Disrupting Compounds in Singapore’s Marine Environment: Influence of Hydrodynamics and Physical–Chemical Properties. Environ. Pollut. 2013, 182, 1–8. [Google Scholar] [CrossRef] [PubMed]
- Wu, J.; Qian, X.; Yang, Z.; Zhang, L. Study on the Matrix Effect in the Determination of Selected Pharmaceutical Residues in Seawater by Solid-Phase Extraction and Ultra-High-Performance Liquid Chromatography–Electrospray Ionization Low-Energy Collision-Induced Dissociation Tandem Mass Spectrometry. J. Chromatogr. A 2010, 1217, 1471–1475. [Google Scholar] [CrossRef] [PubMed]
- Ngubane, N.P.; Naicker, D.; Ncube, S.; Chimuka, L.; Madikizela, L.M. Determination of Naproxen, Diclofenac and Ibuprofen in Umgeni Estuary and Seawater: A Case of Northern Durban in KwaZulu–Natal Province of South Africa. Reg. Stud. Mar. Sci. 2019, 29, 100675. [Google Scholar] [CrossRef]
- Weigel, S.; Berger, U.; Jensen, E.; Kallenborn, R.; Thoresen, H.; Hühnerfuss, H. Determination of Selected Pharmaceuticals and Caffeine in Sewage and Seawater from Tromsø/Norway with Emphasis on Ibuprofen and Its Metabolites. Chemosphere 2004, 56, 583–592. [Google Scholar] [CrossRef] [PubMed]
- Zhang, R.; Zhang, G.; Zheng, Q.; Tang, J.; Chen, Y.; Xu, W.; Zou, Y.; Chen, X. Occurrence and Risks of Antibiotics in the Laizhou Bay, China: Impacts of River Discharge. Ecotoxicol. Environ. Saf. 2012, 80, 208–215. [Google Scholar] [CrossRef] [PubMed]
- Zhang, R.; Tang, J.; Li, J.; Zheng, Q.; Liu, D.; Chen, Y.; Zou, Y.; Chen, X.; Luo, C.; Zhang, G. Antibiotics in the Offshore Waters of the Bohai Sea and the Yellow Sea in China: Occurrence, Distribution and Ecological Risks. Environ. Pollut. 2013, 174, 71–77. [Google Scholar] [CrossRef] [PubMed]
- Zhang, R.; Tang, J.; Li, J.; Cheng, Z.; Chaemfa, C.; Liu, D.; Zheng, Q.; Song, M.; Luo, C.; Zhang, G. Occurrence and Risks of Antibiotics in the Coastal Aquatic Environment of the Yellow Sea, North China. Sci. Total Environ. 2013, 450–451, 197–204. [Google Scholar] [CrossRef] [PubMed]
- Tahrani, L.; Van Loco, J.; Anthonissen, R.; Verschaeve, L.; Ben Mansour, H.; Reyns, T. Identification and Risk Assessment of Human and Veterinary Antibiotics in the Wastewater Treatment Plants and the Adjacent Sea in Tunisia. Water Sci. Technol. 2017, 76, 3000–3021. [Google Scholar] [CrossRef] [PubMed]
- Gulkowska, A.; He, Y.; So, M.K.; Yeung, L.W.Y.; Leung, H.W.; Giesy, J.P.; Lam, P.K.S.; Martin, M.; Richardson, B.J. The Occurrence of Selected Antibiotics in Hong Kong Coastal Waters. Mar. Pollut. Bull. 2007, 54, 1287–1293. [Google Scholar] [CrossRef] [PubMed]
- Zou, S.; Xu, W.; Zhang, R.; Tang, J.; Chen, Y.; Zhang, G. Occurrence and Distribution of Antibiotics in Coastal Water of the Bohai Bay, China: Impacts of River Discharge and Aquaculture Activities. Environ. Pollut. 2011, 159, 2913–2920. [Google Scholar] [CrossRef] [PubMed]
- Xu, W.; Zhang, G.; Zou, S.; Li, X.; Liu, Y. Determination of Selected Antibiotics in the Victoria Harbour and the Pearl River, South China Using High-Performance Liquid Chromatography-Electrospray Ionization Tandem Mass Spectrometry. Environ. Pollut. 2007, 145, 672–679. [Google Scholar] [CrossRef] [PubMed]
- Kim, H.-Y.; Lee, I.-S.; Oh, J.-E. Human and Veterinary Pharmaceuticals in the Marine Environment Including Fish Farms in Korea. Sci. Total Environ. 2017, 579, 940–949. [Google Scholar] [CrossRef] [PubMed]
- Na, G.; Gu, J.; Ge, L.; Zhang, P.; Wang, Z.; Liu, C.; Zhang, L. Detection of 36 Antibiotics in Coastal Waters Using High Performance Liquid Chromatography-Tandem Mass Spectrometry. Chin. J. Ocean. Limnol. 2011, 29, 1093–1102. [Google Scholar] [CrossRef]
- Hernández, F.; Calısto-Ulloa, N.; Gómez-Fuentes, C.; Gómez, M.; Ferrer, J.; González-Rocha, G.; Bello-Toledo, H.; Botero-Coy, A.M.; Boıx, C.; Ibáñez, M.; et al. Occurrence of Antibiotics and Bacterial Resistance in Wastewater and Sea Water from the Antarctic. J. Hazard. Mater. 2019, 363, 447–456. [Google Scholar] [CrossRef] [PubMed]
- Martínez Bueno, M.J.; Hernando, M.D.; Agüera, A.; Fernández-Alba, A.R. Application of Passive Sampling Devices for Screening of Micro-Pollutants in Marine Aquaculture Using LC–MS/MS. Talanta 2009, 77, 1518–1527. [Google Scholar] [CrossRef]
- Zhang, Z.L.; Zhou, J.L. Simultaneous Determination of Various Pharmaceutical Compounds in Water by Solid-Phase Extraction–Liquid Chromatography–Tandem Mass Spectrometry. J. Chromatogr. A 2007, 1154, 205–213. [Google Scholar] [CrossRef] [PubMed]
- Na, G.; Fang, X.; Cai, Y.; Ge, L.; Zong, H.; Yuan, X.; Yao, Z.; Zhang, Z. Occurrence, Distribution, and Bioaccumulation of Antibiotics in Coastal Environment of Dalian, China. Mar. Pollut. Bull. 2013, 69, 233–237. [Google Scholar] [CrossRef] [PubMed]
- Fisch, K.; Waniek, J.J.; Schulz-Bull, D.E. Occurrence of Pharmaceuticals and UV-Filters in Riverine Run-Offs and Waters of the German Baltic Sea. Mar. Pollut. Bull. 2017, 124, 388–399. [Google Scholar] [CrossRef] [PubMed]
- Martínez Bueno, M.J.; Herrera, S.; Munaron, D.; Boillot, C.; Fenet, H.; Chiron, S.; Gómez, E. POCIS Passive Samplers as a Monitoring Tool for Pharmaceutical Residues and Their Transformation Products in Marine Environment. Environ. Sci. Pollut. Res. 2016, 23, 5019–5029. [Google Scholar] [CrossRef] [PubMed]
- Weigel, S.; Kuhlmann, J.; Hühnerfuss, H. Drugs and Personal Care Products as Ubiquitous Pollutants: Occurrence and Distribution of Clofibric Acid, Caffeine and DEET in the North Sea. Sci. Total Environ. 2002, 295, 131–141. [Google Scholar] [CrossRef]
- Alvarez, D.A.; Maruya, K.A.; Dodder, N.G.; Lao, W.; Furlong, E.T.; Smalling, K.L. Occurrence of Contaminants of Emerging Concern along the California Coast (2009–2010) Using Passive Sampling Devices. Mar. Pollut. Bull. 2014, 81, 347–354. [Google Scholar] [CrossRef] [PubMed]
- Fernández-Rubio, J.; Rodríguez-Gil, J.L.; Postigo, C.; Mastroianni, N.; López De Alda, M.; Barceló, D.; Valcárcel, Y. Psychoactive Pharmaceuticals and Illicit Drugs in Coastal Waters of North-Western Spain: Environmental Exposure and Risk Assessment. Chemosphere 2019, 224, 379–389. [Google Scholar] [CrossRef] [PubMed]
- Arditsoglou, A.; Voutsa, D. Occurrence and Partitioning of Endocrine-Disrupting Compounds in the Marine Environment of Thermaikos Gulf, Northern Aegean Sea, Greece. Mar. Pollut. Bull. 2012, 64, 2443–2452. [Google Scholar] [CrossRef] [PubMed]
- Beck, I.-C.; Bruhn, R.; Gandrass, J.; Ruck, W. Liquid Chromatography–Tandem Mass Spectrometry Analysis of Estrogenic Compounds in Coastal Surface Water of the Baltic Sea. J. Chromatogr. A 2005, 1090, 98–106. [Google Scholar] [CrossRef] [PubMed]
- Ferguson, E.M.; Allinson, M.; Allinson, G.; Swearer, S.E.; Hassell, K.L. Fluctuations in Natural and Synthetic Estrogen Concentrations in a Tidal Estuary in South-Eastern Australia. Water Res. 2013, 47, 1604–1615. [Google Scholar] [CrossRef] [PubMed]
- Hashimoto, S.; Ueda, Y.; Kurihara, R.; Shiraishi, F. Comparison of the Estrogenic Activities of Seawater Extracts from Suruga Bay, Japan, Based on Chemical Analysis or Bioassay. Environ. Toxicol. Chem. 2007, 26, 279–286. [Google Scholar] [CrossRef] [PubMed]
- Labadie, P.; Budzinski, H. Development of an Analytical Procedure for Determination of Selected Estrogens and Progestagens in Water Samples. Anal. Bioanal. Chem. 2005, 381, 1199–1205. [Google Scholar] [CrossRef] [PubMed]
- Lisboa, N.S.; Fahning, C.S.; Cotrim, G.; Dos Anjos, J.P.; De Andrade, J.B.; Hatje, V.; Da Rocha, G.O. A Simple and Sensitive UFLC-Fluorescence Method for Endocrine Disrupters Determination in Marine Waters. Talanta 2013, 117, 168–175. [Google Scholar] [CrossRef] [PubMed]
- Nie, M.; Yan, C.; Dong, W.; Liu, M.; Zhou, J.; Yang, Y. Occurrence, Distribution and Risk Assessment of Estrogens in Surface Water, Suspended Particulate Matter, and Sediments of the Yangtze Estuary. Chemosphere 2015, 127, 109–116. [Google Scholar] [CrossRef] [PubMed]
- Noppe, H.; Verslycke, T.; De Wulf, E.; Verheyden, K.; Monteyne, E.; Van Caeter, P.; Janssen, C.R.; De Brabander, H.F. Occurrence of Estrogens in the Scheldt Estuary: A 2-Year Survey. Ecotoxicol. Environ. Saf. 2007, 66, 1–8. [Google Scholar] [CrossRef] [PubMed]
- Pojana, G.; Bonfà, A.; Busetti, F.; Collarin, A.; Marcomini, A. Estrogenic Potential of the Venice, Italy, Lagoon Waters. Environ. Toxicol. Chem. 2004, 23, 1874–1880. [Google Scholar] [CrossRef] [PubMed]
- Pojana, G.; Gomiero, A.; Jonkers, N.; Marcomini, A. Natural and Synthetic Endocrine Disrupting Compounds (EDCs) in Water, Sediment and Biota of a Coastal Lagoon. Environ. Int. 2007, 33, 929–936. [Google Scholar] [CrossRef] [PubMed]
- Ribeiro, C.; Tiritan, M.E.; Rocha, E.; Rocha, M.J. Seasonal and Spatial Distribution of Several Endocrine-Disrupting Compounds in the Douro River Estuary, Portugal. Arch. Environ. Contam. Toxicol. 2009, 56, 1–11. [Google Scholar] [CrossRef] [PubMed]
- Ribeiro, C.; Pardal, M.Â.; Martinho, F.; Margalho, R.; Tiritan, M.E.; Rocha, E.; Rocha, M.J. Distribution of Endocrine Disruptors in the Mondego River Estuary, Portugal. Environ. Monit. Assess. 2009, 149, 183–193. [Google Scholar] [CrossRef] [PubMed]
- Robinson, B.J.; Hui, J.P.M.; Soo, E.C.; Hellou, J. Estrogenic Compounds in Seawater and Sediment from Halifax Harbour, Nova Scotia, Canada. Environ. Toxicol. Chem. 2009, 28, 18–25. [Google Scholar] [CrossRef]
- Rocha, M.J.; Cruzeiro, C.; Reis, M.; Rocha, E.; Pardal, M.A. Determination of 17 Endocrine Disruptor Compounds and Their Spatial and Seasonal Distribution in the Sado River Estuary (Portugal). Toxicol. Environ. Chem. 2013, 95, 237–253. [Google Scholar] [CrossRef]
- Rocha, M.J.; Cruzeiro, C.; Reis, M.; Pardal, M.Â.; Rocha, E. Spatial and Seasonal Distribution of 17 Endocrine Disruptor Compounds in an Urban Estuary (Mondego River, Portugal): Evaluation of the Estrogenic Load of the Area. Environ. Monit. Assess. 2014, 186, 3337–3350. [Google Scholar] [CrossRef] [PubMed]
- Ronan, J.M.; McHugh, B. A Sensitive Liquid Chromatography/Tandem Mass Spectrometry Method for the Determination of Natural and Synthetic Steroid Estrogens in Seawater and Marine Biota, with a Focus on Proposed Water Framework Directive Environmental Quality Standards. Rapid Comm. Mass Spectrom. 2013, 27, 738–746. [Google Scholar] [CrossRef]
- Shi, J.; Liu, X.; Chen, Q.; Zhang, H. Spatial and Seasonal Distributions of Estrogens and Bisphenol A in the Yangtze River Estuary and the Adjacent East China Sea. Chemosphere 2014, 111, 336–343. [Google Scholar] [CrossRef] [PubMed]
- Valdés, M.E.; Marino, D.J.; Wunderlin, D.A.; Somoza, G.M.; Ronco, A.E.; Carriquiriborde, P. Screening Concentration of E1, E2 and EE2 in Sewage Effluents and Surface Waters of the “Pampas” Region and the “Río de La Plata” Estuary (Argentina). Bull. Environ. Contam. Toxicol. 2015, 94, 29–33. [Google Scholar] [CrossRef]
- Xu, E.G.; Ho, P.W.-L.; Tse, Z.; Ho, S.-L.; Leung, K.M.Y. Revealing Ecological Risks of Priority Endocrine Disrupting Chemicals in Four Marine Protected Areas in Hong Kong through an Integrative Approach. Environ. Pollut. 2016, 215, 103–112. [Google Scholar] [CrossRef] [PubMed]
- Zhang, X.; Gao, Y.; Li, Q.; Li, G.; Guo, Q.; Yan, C. Estrogenic Compounds and Estrogenicity in Surface Water, Sediments, and Organisms from Yundang Lagoon in Xiamen, China. Arch. Environ. Contam. Toxicol. 2011, 61, 93–100. [Google Scholar] [CrossRef]
- Glassmeyer, S.T.; Kolpin, D.; Furlong, E.; Focazio, M. Environmental Presence and Persistence of Pharmaceuticals an Overview. In Fate of Pharmaceuticals in the Environment and in Water Treatment Systems; Aga, D., Ed.; CRC Press: Boca Raton, FL, USA, 2007; pp. 3–51. ISBN 978-1-4200-5232-9. [Google Scholar]
- Ramirez, A.J.; Brain, R.A.; Usenko, S.; Mottaleb, M.A.; O’Donnell, J.G.; Stahl, L.L.; Wathen, J.B.; Snyder, B.D.; Pitt, J.L.; Perez-Hurtado, P.; et al. Occurrence of Pharmaceuticals and Personal Care Products in Fish: Results of a National Pilot Study in the United States. Environ. Toxicol. Chem. 2009, 28, 2587–2597. [Google Scholar] [CrossRef]
- Baena-Nogueras, R.M.; González-Mazo, E.; Lara-Martín, P.A. Degradation Kinetics of Pharmaceuticals and Personal Care Products in Surface Waters: Photolysis vs Biodegradation. Sci. Total Environ. 2017, 590–591, 643–654. [Google Scholar] [CrossRef]
- McEneff, G.; Barron, L.; Kelleher, B.; Paull, B.; Quinn, B. A Year-Long Study of the Spatial Occurrence and Relative Distribution of Pharmaceutical Residues in Sewage Effluent, Receiving Marine Waters and Marine Bivalves. Sci. Total Environ. 2014, 476–477, 317–326. [Google Scholar] [CrossRef]
- Ojemaye, C.Y.; Petrik, L. Pharmaceuticals in the Marine Environment: A Review. Environ. Rev. 2019, 27, 151–165. [Google Scholar] [CrossRef]
- Togola, A.; Budzinski, H. Multi-Residue Analysis of Pharmaceutical Compounds in Aqueous Samples. J. Chromatogr. A 2008, 1177, 150–158. [Google Scholar] [CrossRef] [PubMed]
- Chitescu, C.L.; Kaklamanos, G.; Nicolau, A.I.; Stolker, A.A.M. (Linda) High Sensitive Multiresidue Analysis of Pharmaceuticals and Antifungals in Surface Water Using U-HPLC-Q-Exactive Orbitrap HRMS. Application to the Danube River Basin on the Romanian Territory. Sci. Total Environ. 2015, 532, 501–511. [Google Scholar] [CrossRef] [PubMed]
- Ebele, A.J.; Abou-Elwafa Abdallah, M.; Harrad, S. Pharmaceuticals and Personal Care Products (PPCPs) in the Freshwater Aquatic Environment. Emerg. Contam. 2017, 3, 1–16. [Google Scholar] [CrossRef]
- Nassef, M.; Matsumoto, S.; Seki, M.; Khalil, F.; Kang, I.J.; Shimasaki, Y.; Oshima, Y.; Honjo, T. Acute Effects of Triclosan, Diclofenac and Carbamazepine on Feeding Performance of Japanese Medaka Fish (Oryzias latipes). Chemosphere 2010, 80, 1095–1100. [Google Scholar] [CrossRef] [PubMed]
- Ribalta, C.; Solé, M. In Vitro Interaction of Emerging Contaminants with the Cytochrome P450 System of Mediterranean Deep-Sea Fish. Environ. Sci. Technol. 2014, 48, 12327–12335. [Google Scholar] [CrossRef]
- Solé, M.; Sanchez-Hernandez, J.C. An in Vitro Screening with Emerging Contaminants Reveals Inhibition of Carboxylesterase Activity in Aquatic Organisms. Aquat. Toxicol. 2015, 169, 215–222. [Google Scholar] [CrossRef] [PubMed]
- Crespo, M.; Solé, M. The Use of Juvenile Solea Solea as Sentinel in the Marine Platform of the Ebre Delta: In Vitro Interaction of Emerging Contaminants with the Liver Detoxification System. Environ. Sci. Pollut. Res. 2016, 23, 19229–19236. [Google Scholar] [CrossRef] [PubMed]
- Morando, M.B.; Medeiros, L.R.; McDonald, M.D. Fluoxetine Treatment Affects Nitrogen Waste Excretion and Osmoregulation in a Marine Teleost Fish. Aquat. Toxicol. 2009, 93, 253–260. [Google Scholar] [CrossRef] [PubMed]
- Fonte, E.; Ferreira, P.; Guilhermino, L. Temperature Rise and Microplastics Interact with the Toxicity of the Antibiotic Cefalexin to Juveniles of the Common Goby (Pomatoschistus microp): Post-Exposure Predatory Behaviour, Acetylcholinesterase Activity and Lipid Peroxidation. Aquat. Toxicol. 2016, 180, 173–185. [Google Scholar] [CrossRef] [PubMed]
- Teles, M.; Fierro-Castro, C.; Na-Phatthalung, P.; Tvarijonaviciute, A.; Soares, A.M.V.M.; Tort, L.; Oliveira, M. Evaluation of Gemfibrozil Effects on a Marine Fish (Sparus aurata) Combining Gene Expression with Conventional Endocrine and Biochemical Endpoints. J. Hazard. Mater. 2016, 318, 600–607. [Google Scholar] [CrossRef] [PubMed]
- Capolupo, M.; Díaz-Garduño, B.; Martín-Díaz, M.L. The Impact of Propranolol, 17α-Ethinylestradiol, and Gemfibrozil on Early Life Stages of Marine Organisms: Effects and Risk Assessment. Environ. Sci. Pollut. Res. 2018, 25, 32196–32209. [Google Scholar] [CrossRef] [PubMed]
- Mimeault, C.; Woodhouse, A.J.; Miao, X.-S.; Metcalfe, C.D.; Moon, T.W.; Trudeau, V.L. The Human Lipid Regulator, Gemfibrozil Bioconcentrates and Reduces Testosterone in the Goldfish, Carassius Auratus. Aquat. Toxicol. 2005, 73, 44–54. [Google Scholar] [CrossRef] [PubMed]
- Barreto, A.; Luis, L.G.; Paíga, P.; Santos, L.H.M.L.M.; Delerue-Matos, C.; Soares, A.M.V.M.; Hylland, K.; Loureiro, S.; Oliveira, M. A Multibiomarker Approach Highlights Effects Induced by the Human Pharmaceutical Gemfibrozil to Gilthead Seabream Sparus aurata. Aquat. Toxicol. 2018, 200, 266–274. [Google Scholar] [CrossRef] [PubMed]
- Key, P.B.; Hoguet, J.; Chung, K.W.; Venturella, J.J.; Pennington, P.L.; Fulton, M.H. Lethal and Sublethal Effects of Simvastatin, Irgarol, and PBDE-47 on the Estuarine Fish, Fundulus Heteroclitus. J. Environ. Sci. Health Part B 2009, 44, 379–382. [Google Scholar] [CrossRef] [PubMed]
- Cabas, I.; Chaves-Pozo, E.; García-Alcázar, A.; Meseguer, J.; Mulero, V.; García-Ayala, A. The Effect of 17α-Ethynylestradiol on Steroidogenesis and Gonadal Cytokine Gene Expression Is Related to the Reproductive Stage in Marine Hermaphrodite Fish. Mar. Drugs 2013, 11, 4973–4992. [Google Scholar] [CrossRef] [PubMed]
- Lee, P.-Y.; Lin, C.-Y.; Chen, T.-H. Environmentally Relevant Exposure of 17α-Ethinylestradiol Impairs Spawning and Reproductive Behavior in the Brackish Medaka Oryzias Melastigma. Mar. Pollut. Bull. 2014, 85, 338–343. [Google Scholar] [CrossRef]
- Qin, X.; Lin, H.; Cao, Y.; Wu, R.S.S.; Lai, K.P.; Kong, R.Y.C. Embryo Developmental Toxicity in Marine Medaka (Oryzias melastigma) Due to Parental and Embryonic 17α-Ethinylestradiol Exposure. Sci. Total Environ. 2023, 861, 160594. [Google Scholar] [CrossRef] [PubMed]
- Wang, J.; Li, X.; Gao, M.; Li, X.; Zhao, L.; Ru, S. Polystyrene Microplastics Increase Estrogenic Effects of 17α-Ethynylestradiol on Male Marine Medaka (Oryzias melastigma). Chemosphere 2022, 287, 132312. [Google Scholar] [CrossRef] [PubMed]
- Ye, R.R.; Peterson, D.R.; Kitamura, S.-I.; Segner, H.; Seemann, F.; Au, D.W.T. Sex-Specific Immunomodulatory Action of the Environmental Estrogen 17α-Ethynylestradiol alongside with Reproductive Impairment in Fish. Aquat. Toxicol. 2018, 203, 95–106. [Google Scholar] [CrossRef] [PubMed]
- Abril, S.I.M.; Pin, A.O.; Schonemann, A.M.; Bellot, M.; Gómez-Canela, C.; Beiras, R. Evaluating the Alterations of the Estrogen-Responsive Genes in Cyprinodon Variegatus Larvae for Biomonitoring the Impacts of Estrogenic Endocrine Disruptors (EEDs). Environ. Toxicol. Pharmacol. 2023, 97, 104042. [Google Scholar] [CrossRef] [PubMed]
- Schönemann, A.M.; Beiras, R.; Diz, A.P. Widespread Alterations upon Exposure to the Estrogenic Endocrine Disruptor Ethinyl Estradiol in the Liver Proteome of the Marine Male Fish Cyprinodon variegatus. Aquat. Toxicol. 2022, 248, 106189. [Google Scholar] [CrossRef] [PubMed]
- Rose, E.; Flanagan, S.P.; Jones, A.G. The Effects of Synthetic Estrogen Exposure on the Sexually Dimorphic Liver Transcriptome of the Sex-Role-Reversed Gulf Pipefish. PLoS ONE 2015, 10, e0139401. [Google Scholar] [CrossRef]
- Seemann, F.; Knigge, T.; Rocher, B.; Minier, C.; Monsinjon, T. 17β-Estradiol Induces Changes in Cytokine Levels in Head Kidney and Blood of Juvenile Sea Bass (Dicentrarchus labrax, L., 1758). Mar. Environ. Res. 2013, 87–88, 44–51. [Google Scholar] [CrossRef] [PubMed]
- Soloperto, S.; Olivier, S.; Poret, A.; Minier, C.; Halm-Lemeille, M.; Jozet-Alves, C.; Aroua, S. Effects of 17α-Ethinylestradiol on the Neuroendocrine Gonadotropic System and Behavior of European Sea Bass Larvae (Dicentrarchus labrax). J. Toxicol. Environ. Health Part A 2023, 86, 198–215. [Google Scholar] [CrossRef]
- Meek, I.L.; Van De Laar, M.A.F.J.; Vonkeman, H.E. Non-Steroidal Anti-Inflammatory Drugs: An Overview of Cardiovascular Risks. Pharmaceuticals 2010, 3, 2146–2162. [Google Scholar] [CrossRef] [PubMed]
- Parolini, M.; Binelli, A.; Provini, A. Chronic Effects Induced by Ibuprofen on the Freshwater Bivalve Dreissena Polymorpha. Ecotoxicol. Environ. Saf. 2011, 74, 1586–1594. [Google Scholar] [CrossRef] [PubMed]
- Fent, K.; Weston, A.; Caminada, D. Ecotoxicology of Human Pharmaceuticals. Aquat. Toxicol. 2006, 76, 122–159. [Google Scholar] [CrossRef] [PubMed]
- Lister, A.L.; Van Der Kraak, G. An Investigation into the Role of Prostaglandins in Zebrafish Oocyte Maturation and Ovulation. Gen. Comp. Endocrinol. 2008, 159, 46–57. [Google Scholar] [CrossRef] [PubMed]
- Flippin, J.L.; Huggett, D.; Foran, C.M. Changes in the Timing of Reproduction Following Chronic Exposure to Ibuprofen in Japanese Medaka, Oryzias Latipes. Aquat. Toxicol. 2007, 81, 73–78. [Google Scholar] [CrossRef] [PubMed]
- Moreno-González, R.; Rodríguez-Mozaz, S.; Huerta, B.; Barceló, D.; León, V.M. Do Pharmaceuticals Bioaccumulate in Marine Molluscs and Fish from a Coastal Lagoon? Environ. Res. 2016, 146, 282–298. [Google Scholar] [CrossRef]
- Nassef, M.; Matsumoto, S.; Seki, M.; Kang, I.J.; Moroishi, J.; Shimasaki, Y.; Oshima, Y. Pharmaceuticals and Personal Care Products Toxicity to Japanese Medaka Fish (Oryzias latipes). J. Fac. Agric. Kyushu Univ. 2009, 54, 407–411. [Google Scholar] [CrossRef] [PubMed]
- Nassef, M.; Kim, S.G.; Seki, M.; Kang, I.J.; Hano, T.; Shimasaki, Y.; Oshima, Y. In Ovo Nanoinjection of Triclosan, Diclofenac and Carbamazepine Affects Embryonic Development of Medaka Fish (Oryzias latipes). Chemosphere 2010, 79, 966–973. [Google Scholar] [CrossRef] [PubMed]
- Corcoran, J.; Winter, M.J.; Tyler, C.R. Pharmaceuticals in the Aquatic Environment: A Critical Review of the Evidence for Health Effects in Fish. Crit. Rev. Toxicol. 2010, 40, 287–304. [Google Scholar] [CrossRef]
- Gambino, D.; Savoca, D.; Sucato, A.; Gargano, V.; Gentile, A.; Pantano, L.; Vicari, D.; Alduina, R. Occurrence of Antibiotic Resistance in the Mediterranean Sea. Antibiotics 2022, 11, 332. [Google Scholar] [CrossRef] [PubMed]
- Sucato, A.; Vecchioni, L.; Savoca, D.; Presentato, A.; Arculeo, M.; Alduina, R. A Comparative Analysis of Aquatic and Polyethylene-Associated Antibiotic-Resistant Microbiota in the Mediterranean Sea. Biology 2021, 10, 200. [Google Scholar] [CrossRef]
- Alduina, R.; Gambino, D.; Presentato, A.; Gentile, A.; Sucato, A.; Savoca, D.; Filippello, S.; Visconti, G.; Caracappa, G.; Vicari, D.; et al. Is Caretta Caretta a Carrier of Antibiotic Resistance in the Mediterranean Sea? Antibiotics 2020, 9, 116. [Google Scholar] [CrossRef]
- Silva, L.J.G.; Lino, C.M.; Meisel, L.M.; Pena, A. Selective Serotonin Re-Uptake Inhibitors (SSRIs) in the Aquatic Environment: An Ecopharmacovigilance Approach. Sci. Total Environ. 2012, 437, 185–195. [Google Scholar] [CrossRef]
- Duarte, I.A.; Reis-Santos, P.; Fick, J.; Cabral, H.N.; Duarte, B.; Fonseca, V.F. Neuroactive Pharmaceuticals in Estuaries: Occurrence and Tissue-Specific Bioaccumulation in Multiple Fish Species. Environ. Pollut. 2023, 316, 120531. [Google Scholar] [CrossRef] [PubMed]
- Hiemke, C.; Härtter, S. Pharmacokinetics of Selective Serotonin Reuptake Inhibitors. Pharmacol. Ther. 2000, 85, 11–28. [Google Scholar] [CrossRef]
- Minagh, E.; Hernan, R.; O’Rourke, K.; Lyng, F.M.; Davoren, M. Aquatic Ecotoxicity of the Selective Serotonin Reuptake Inhibitor Sertraline Hydrochloride in a Battery of Freshwater Test Species. Ecotoxicol. Environ. Saf. 2009, 72, 434–440. [Google Scholar] [CrossRef] [PubMed]
- Caamaño-Tubío, R.I.; Pérez, J.; Ferreiro, S.; Aldegunde, M. Peripheral Serotonin Dynamics in the Rainbow Trout (Oncorhynchus mykiss). Comp. Biochem. Physiol. Part C Toxicol. Pharmacol. 2007, 145, 245–255. [Google Scholar] [CrossRef] [PubMed]
- Mennigen, J.A.; Lado, W.E.; Zamora, J.M.; Duarte-Guterman, P.; Langlois, V.S.; Metcalfe, C.D.; Chang, J.P.; Moon, T.W.; Trudeau, V.L. Waterborne Fluoxetine Disrupts the Reproductive Axis in Sexually Mature Male Goldfish, Carassius Auratus. Aquat. Toxicol. 2010, 100, 354–364. [Google Scholar] [CrossRef] [PubMed]
- Mennigen, J.A.; Sassine, J.; Trudeau, V.L.; Moon, T.W. Waterborne Fluoxetine Disrupts Feeding and Energy Metabolism in the Goldfish Carassius Auratus. Aquat. Toxicol. 2010, 100, 128–137. [Google Scholar] [CrossRef] [PubMed]
- Weinberger, J.; Klaper, R. Environmental Concentrations of the Selective Serotonin Reuptake Inhibitor Fluoxetine Impact Specific Behaviors Involved in Reproduction, Feeding and Predator Avoidance in the Fish Pimephales promelas (Fathead Minnow). Aquat. Toxicol. 2014, 151, 77–83. [Google Scholar] [CrossRef] [PubMed]
- Ashiwaju, B.I.; Uzougbo, C.G.; Orikpete, O.F. Environmental Impact of Pharmaceuticals: A Comprehensive Review. Matrix Sci. Pharma 2023, 7, 85–94. [Google Scholar] [CrossRef]
- Winder, V.L.; Pennington, P.L.; Hurd, M.W.; Wirth, E.F. Fluoxetine Effects on Sheepshead Minnow (Cyprinodon variegatus) Locomotor Activity. J. Environ. Sci. Health Part B 2012, 47, 51–58. [Google Scholar] [CrossRef] [PubMed]
- Jackson, C.; Oakeshott, J.G.; Sanchez-Hernandez, J.; Wheelock, C. Carboxylesterases in the Metabolism and Toxicity of Pesticides. Anticholinesterase Pesticides: Metabolism, Neurotoxicity and Epidemiology; John Wily & Sons: Hoboken, NJ, USA, 2010; pp. 57–76. ISBN 9780470640500. [Google Scholar]
- Andreozzi, R.; Raffaele, M.; Nicklas, P. Pharmaceuticals in STP Effluents and Their Solar Photodegradation in Aquatic Environment. Chemosphere 2003, 50, 1319–1330. [Google Scholar] [CrossRef] [PubMed]
- Calamari, D. Assessment of Persistent and Bioaccumulating Chemicals in the Aquatic Environment. Toxicology 2002, 181–182, 183–186. [Google Scholar] [CrossRef] [PubMed]
- Castiglioni, S.; Fanelli, R.; Calamari, D.; Bagnati, R.; Zuccato, E. Methodological Approaches for Studying Pharmaceuticals in the Environment by Comparing Predicted and Measured Concentrations in River Po, Italy. Regul. Toxicol. Pharmacol. 2004, 39, 25–32. [Google Scholar] [CrossRef] [PubMed]
- Zuccato, E.; Calamari, D.; Natangelo, M.; Fanelli, R. Presence of Therapeutic Drugs in the Environment. Lancet 2000, 355, 1789–1790. [Google Scholar] [CrossRef]
- Ternes, T.A.; Stüber, J.; Herrmann, N.; McDowell, D.; Ried, A.; Kampmann, M.; Teiser, B. Ozonation: A Tool for Removal of Pharmaceuticals, Contrast Media and Musk Fragrances from Wastewater? Water Res. 2003, 37, 1976–1982. [Google Scholar] [CrossRef] [PubMed]
- Huggett, D.B.; Brooks, B.W.; Peterson, B.; Foran, C.M.; Schlenk, D. Toxicity of Select Beta Adrenergic Receptor-Blocking Pharmaceuticals (B-Blockers) on Aquatic Organisms. Arch. Environ. Contam. Toxicol. 2002, 43, 229–235. [Google Scholar] [CrossRef] [PubMed]
- Ferrari, B.; Mons, R.; Vollat, B.; Fraysse, B.; Paxēaus, N.; Giudice, R.L.; Pollio, A.; Garric, J. Environmental Risk Assessment of Six Human Pharmaceuticals: Are the Current Environmental Risk Assessment Procedures Sufficient for the Protection of the Aquatic Environment? Environ. Toxicol. Chem. 2004, 23, 1344–1354. [Google Scholar] [CrossRef] [PubMed]
- Hilton, M.J.; Thomas, K.V. Determination of Selected Human Pharmaceutical Compounds in Effluent and Surface Water Samples by High-Performance Liquid Chromatography–Electrospray Tandem Mass Spectrometry. J. Chromatogr. A 2003, 1015, 129–141. [Google Scholar] [CrossRef] [PubMed]
- Ashton, D.; Hilton, M.; Thomas, K.V. Investigating the Environmental Transport of Human Pharmaceuticals to Streams in the United Kingdom. Sci. Total Environ. 2004, 333, 167–184. [Google Scholar] [CrossRef] [PubMed]
- Godoy, A.A.; Kummrow, F.; Pamplin, P.A.Z. Occurrence, Ecotoxicological Effects and Risk Assessment of Antihypertensive Pharmaceutical Residues in the Aquatic Environment-A Review. Chemosphere 2015, 138, 281–291. [Google Scholar] [CrossRef] [PubMed]
- Lortie, M.B.; Moon, T.W. The Rainbow Trout Skeletal Muscle β-Adrenergic System: Characterization and Signaling. Am. J. Physiol.-Regul. Integr. Comp. Physiol. 2003, 284, R689–R697. [Google Scholar] [CrossRef] [PubMed]
- Nickerson, J.G.; Dugan, S.G.; Drouin, G.; Perry, S.F.; Moon, T.W. Activity of the Unique β-Adrenergic Na +/H + Exchanger in Trout Erythrocytes Is Controlled by a Novel β3-AR Subtype. Am. J. Physiol.-Regul. Integr. Comp. Physiol. 2003, 285, R526–R535. [Google Scholar] [CrossRef] [PubMed]
- Owen, S.; Giltrow, E.; Huggett, D.; Hutchinson, T.; Saye, J.; Winter, M.; Sumpter, J. Comparative Physiology, Pharmacology and Toxicology of β-Blockers: Mammals versus Fish. Aquat. Toxicol. 2007, 82, 145–162. [Google Scholar] [CrossRef]
- Desvergne, B.; Wahli, W. Peroxisome Proliferator-Activated Receptors: Nuclear Control of Metabolism*. Endocr. Rev. 1999, 20, 649–688. [Google Scholar] [CrossRef] [PubMed]
- Gervois, P.; Torra, I.P.; Fruchart, J.-C.; Staels, B. Regulation of Lipid and Lipoprotein Metabolism by PPAR Activators. Clin. Chem. Lab. Med. (CCLM) 2000, 38, 3–11. [Google Scholar] [CrossRef] [PubMed]
- Ruyter, B.; Andersen, Ø.; Dehli, A.; Östlund Farrants, A.-K.; Gjøen, T.; Thomassen, M.S. Peroxisome Proliferator Activated Receptors in Atlantic Salmon (Salmo salar): Effects on PPAR Transcription and Acyl-CoA Oxidase Activity in Hepatocytes by Peroxisome Proliferators and Fatty Acids. Biochim. Biophys. Acta (BBA)-Lipids Lipid Metab. 1997, 1348, 331–338. [Google Scholar] [CrossRef]
- Scarano, L.J.; Calabrese, E.J.; Kostecki, P.T.; Baldwin, L.A.; Leonard, D.A. Evaluation of a Rodent Peroxisome Proliferator in Two Species of Freshwater Fish: Rainbow Trout (Onchorynchus mykiss) and Japanese Medaka (Oryzias latipes). Ecotoxicol. Environ. Saf. 1994, 29, 13–19. [Google Scholar] [CrossRef] [PubMed]
- Prindiville, J.S.; Mennigen, J.A.; Zamora, J.M.; Moon, T.W.; Weber, J.-M. The Fibrate Drug Gemfibrozil Disrupts Lipoprotein Metabolism in Rainbow Trout. Toxicol. Appl. Pharmacol. 2011, 251, 201–208. [Google Scholar] [CrossRef] [PubMed]
- Raldúa, D.; André, M.; Babin, P.J. Clofibrate and Gemfibrozil Induce an Embryonic Malabsorption Syndrome in Zebrafish. Toxicol. Appl. Pharmacol. 2008, 228, 301–314. [Google Scholar] [CrossRef] [PubMed]
- Almeida, Â.; Silva, M.G.; Soares, A.M.V.M.; Freitas, R. Concentrations Levels and Effects of 17alpha-Ethinylestradiol in Freshwater and Marine Waters and Bivalves: A Review. Environ. Res. 2020, 185, 109316. [Google Scholar] [CrossRef] [PubMed]
- Aris, A.Z.; Shamsuddin, A.S.; Praveena, S.M. Occurrence of 17α-Ethynylestradiol (EE2) in the Environment and Effect on Exposed Biota: A Review. Environ. Int. 2014, 69, 104–119. [Google Scholar] [CrossRef] [PubMed]
- Beardmore, J.A.; Mair, G.C.; Lewis, R.I. Monosex Male Production in Finfish as Exemplified by Tilapia: Applications, Problems, and Prospects. In Reproductive Biotechnology in Finfish Aquaculture; Elsevier: Amsterdam, The Netherlands, 2001; pp. 283–301. ISBN 978-0-444-50913-0. [Google Scholar]
- Liu, J.; Lu, G.; Xie, Z.; Zhang, Z.; Li, S.; Yan, Z. Occurrence, Bioaccumulation and Risk Assessment of Lipophilic Pharmaceutically Active Compounds in the Downstream Rivers of Sewage Treatment Plants. Sci. Total Environ. 2015, 511, 54–62. [Google Scholar] [CrossRef] [PubMed]
- Fuentes, N.; Silveyra, P. Estrogen Receptor Signaling Mechanisms. In Advances in Protein Chemistry and Structural Biology; Elsevier: Amsterdam, The Netherlands, 2019; Volume 116, pp. 135–170. ISBN 978-0-12-815561-5. [Google Scholar]
- Milla, S.; Depiereux, S.; Kestemont, P. The Effects of Estrogenic and Androgenic Endocrine Disruptors on the Immune System of Fish: A Review. Ecotoxicology 2011, 20, 305–319. [Google Scholar] [CrossRef] [PubMed]
- Marino, M.; Galluzzo, P.; Ascenzi, P. Estrogen Signaling Multiple Pathways to Impact Gene Transcription. Curr. Genom. 2006, 7, 497–508. [Google Scholar] [CrossRef] [PubMed]
- O’Malley, B.W. A Life-Long Search for the Molecular Pathways of Steroid Hormone Action. Mol. Endocrinol. 2005, 19, 1402–1411. [Google Scholar] [CrossRef] [PubMed]
- Amenyogbe, E.; Chen, G.; Wang, Z.; Lu, X.; Lin, M.; Lin, A.Y. A Review on Sex Steroid Hormone Estrogen Receptors in Mammals and Fish. Int. J. Endocrinol. 2020, 2020, 1–9. [Google Scholar] [CrossRef] [PubMed]
- Paut Kusturica, M.; Jevtic, M.; Ristovski, J.T. Minimizing the Environmental Impact of Unused Pharmaceuticals: Review Focused on Prevention. Front. Environ. Sci. 2022, 10, 1077974. [Google Scholar] [CrossRef]
- Roy, B.; Basak, R.; Rai, U. Impact of Xenoestrogens on Sex Differentiation and Reproduction in Teleosts. Aquac. Fish. 2022, 7, 562–571. [Google Scholar] [CrossRef]
- Jobling, S.; Williams, R.; Johnson, A.; Taylor, A.; Gross-Sorokin, M.; Nolan, M.; Tyler, C.R.; Van Aerle, R.; Santos, E.; Brighty, G. Predicted Exposures to Steroid Estrogens in U.K. Rivers Correlate with Widespread Sexual Disruption in Wild Fish Populations. Environ. Health Perspect. 2006, 114, 32–39. [Google Scholar] [CrossRef]
- Sumpter, J.P.; Johnson, A.C.; Runnalls, T.J. Pharmaceuticals in the Aquatic Environment: No Answers Yet to the Major Questions. Environ. Toxicol. Chem. 2024, 43, 589–594. [Google Scholar] [CrossRef] [PubMed]
- Notch, E.G.; Miniutti, D.M.; Mayer, G.D. 17α-Ethinylestradiol Decreases Expression of Multiple Hepatic Nucleotide Excision Repair Genes in Zebrafish (Danio rerio). Aquat. Toxicol. 2007, 84, 301–309. [Google Scholar] [CrossRef] [PubMed]
- Saaristo, M.; Craft, J.A.; Lehtonen, K.K.; Lindström, K. An Endocrine Disrupting Chemical Changes Courtship and Parental Care in the Sand Goby. Aquat. Toxicol. 2010, 97, 285–292. [Google Scholar] [CrossRef] [PubMed]
- Partridge, C.; Boettcher, A.; Jones, A.G. Short-Term Exposure to a Synthetic Estrogen Disrupts Mating Dynamics in a Pipefish. Horm. Behav. 2010, 58, 800–807. [Google Scholar] [CrossRef]
Disclaimer/Publisher’s Note: The statements, opinions and data contained in all publications are solely those of the individual author(s) and contributor(s) and not of MDPI and/or the editor(s). MDPI and/or the editor(s) disclaim responsibility for any injury to people or property resulting from any ideas, methods, instructions or products referred to in the content. |
© 2024 by the authors. Licensee MDPI, Basel, Switzerland. This article is an open access article distributed under the terms and conditions of the Creative Commons Attribution (CC BY) license (https://creativecommons.org/licenses/by/4.0/).





