Identification of Single-Blade Angle Variation in Axial Flow Pumps Based on the Variational Mode Decomposition Method
Abstract
1. Introduction
2. Test System and Method
2.1. Model Test
2.2. VMD Method
3. Results and Discussion
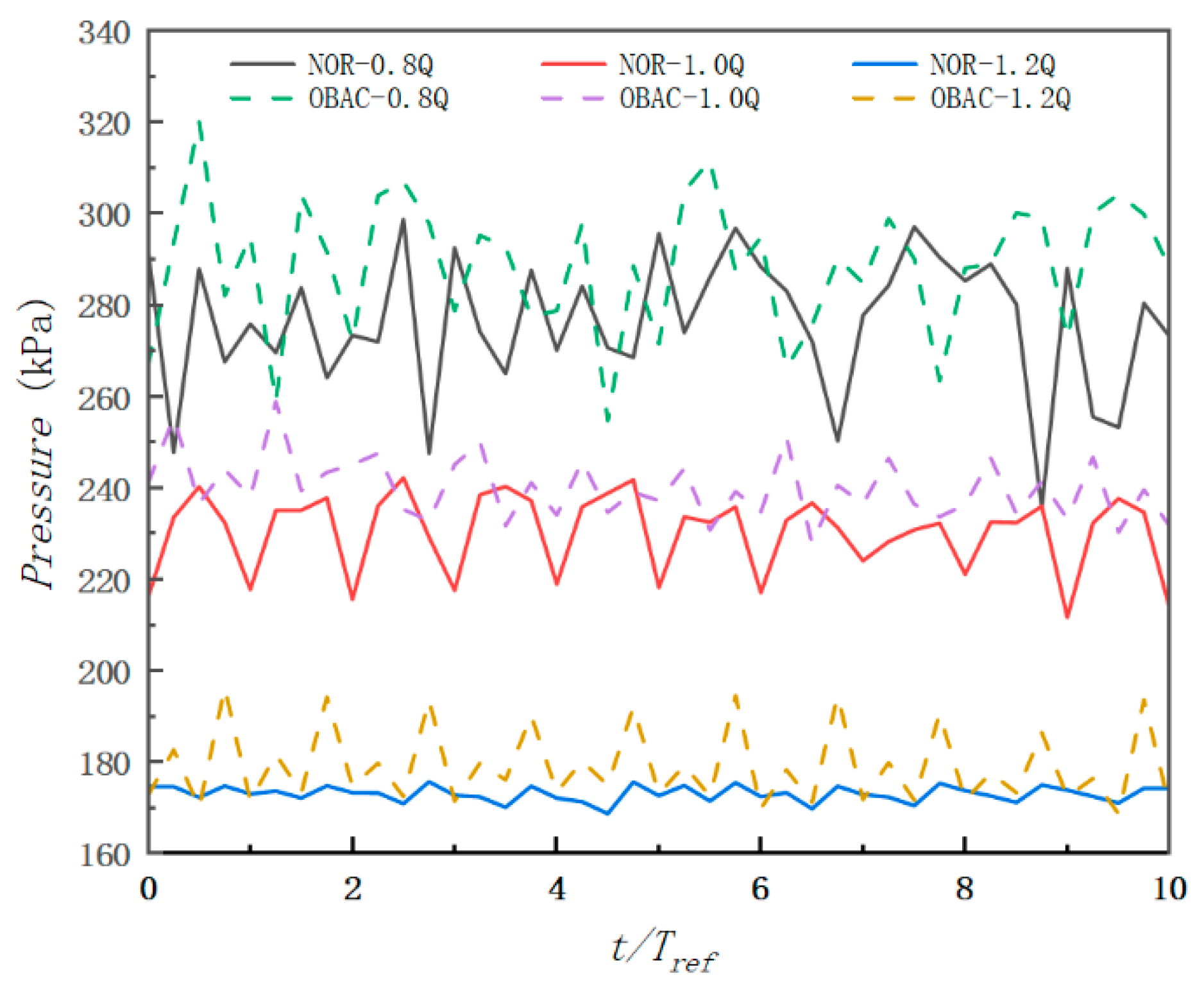
3.1. Pressure Pulsation Time-Domain Analysis
3.2. Peak-to-Peak Value Variation
3.3. Pressure Pulsation after VMD Decomposition
4. Conclusions
- (1)
- When one blade of an axial flow pump changes, it causes both the flow and head to decrease, with the head dropping by up to approximately 9.4% and the efficiency by up to about 3.5%. The effect on the head due to a change in the characteristics of one blade is more pronounced.
- (2)
- Even with the knowledge that one blade condition has changed, it is difficult to directly determine the change in blade condition from the time-domain results of the pressure pulsation. Extracting changes in peak-to-peak values can reveal significant variations at low- and design-flow rates, which interfere with the changes caused by blade alterations. At high-flow conditions, the pressure pulsation is simpler and more stable, allowing for the diagnosis of changes in blade angles through peak-to-peak values.
- (3)
- Decomposing the pressure pulsation using the VMD method yields different Intrinsic Mode Functions (IMFs). By examining the changes in low-frequency pulsations, it is possible to better diagnose changes in blade conditions, and the results can effectively exclude the influence of different flow conditions, making it a preferable diagnostic method.
Author Contributions
Funding
Institutional Review Board Statement
Informed Consent Statement
Data Availability Statement
Conflicts of Interest
References
- Wang, L.; Tang, F.; Liu, H.; Zhang, X.; Sun, Z.; Wang, F. Investigation of Cavitation and Flow Characteristics of Tip Clearance of Bidirectional Axial Flow Pump with Different Clearances. Ocean Eng. 2023, 288, 115960. [Google Scholar] [CrossRef]
- Wang, L.; Tang, F.; Chen, Y.; Liu, H. Evolution Characteristics of Suction-Side-Perpendicular Cavitating Vortex in Axial Flow Pump under Low Flow Condition. J. Mar. Sci. Eng. 2021, 9, 1058. [Google Scholar] [CrossRef]
- Banaszek, A.; Petrović, R. Calculations of the Unloading Operation in Liquid Cargo Service with High Density on Modern Product and Chemical Tankers Equipped with Hydraulic Submerged Cargo Pumps. Stroj. Vestn. J. Mech. Eng. 2010, 56, 186–194. [Google Scholar]
- Büker, J.; Laß, A.; Romig, S.; Werner, P.; Wurm, F.-H. On the effect of an ANC system towards the transient pressure fluctuations caused by smart-grid controlled centrifugal pumps. J. Renew. Sustain. Energy 2017, 9, 064502. [Google Scholar] [CrossRef]
- Kan, K.; Xu, Z.; Chen, H.; Xu, H.; Zheng, Y.; Zhou, D.; Muhirwa, A.; Maxime, B. Energy Loss Mechanisms of Transition from Pump Mode to Turbine Mode of an Axial-Flow Pump under Bidirectional Conditions. Energy 2022, 257, 124630. [Google Scholar] [CrossRef]
- Shi, L.; Yuan, Y.; Jiao, H.; Tang, F.; Cheng, L.; Yang, F.; Jin, Y.; Zhu, J. Numerical Investigation and Experiment on Pressure Pulsation Characteristics in a Full Tubular Pump. Renew. Energy 2021, 163, 987–1000. [Google Scholar] [CrossRef]
- Spence, R.; Amaral-Teixeira, J. Investigation into Pressure Pulsations in a Centrifugal Pump Using Numerical Methods Supported by Industrial Tests. Comput. Fluids 2008, 37, 690–704. [Google Scholar] [CrossRef]
- Fu, X.; Li, D.; Lv, J.; Yang, B.; Wang, H.; Wei, X. High-Amplitude Pressure Pulsations Induced by Complex Inter-Blade Flow during Load Rejection of Ultrahigh-Head Prototype Pump Turbines. Phys. Fluids 2024, 36, 034115. [Google Scholar] [CrossRef]
- Lu, J.; Liu, J.; Qian, L.; Liu, X.; Yuan, S.; Zhu, B.; Dai, Y. Investigation of Pressure Pulsation Induced by Quasi-Steady Cavitation in a Centrifugal Pump. Phys. Fluids 2023, 35, 025119. [Google Scholar] [CrossRef]
- Song, X.; Liu, C. Experimental Investigation of Floor-Attached Vortex Effects on the Pressure Pulsation at the Bottom of the Axial Flow Pump Sump. Renew. Energy 2020, 145, 2327–2336. [Google Scholar] [CrossRef]
- Cao, W.; Liu, Y.; Dong, J.; Niu, Z.; Shi, Y. Research on Pressure Pulsation Characteristics of Gerotor Pump for Active Vibration Damping System. IEEE Access 2019, 7, 116567–116577. [Google Scholar] [CrossRef]
- Zhang, N.; Li, D.; Gao, B.; Ni, D.; Li, Z. Unsteady Pressure Pulsations in Pumps—A Review. Energies 2023, 16, 150. [Google Scholar] [CrossRef]
- Zhang, F.; Xiao, R.; Zhu, D.; Liu, W.; Tao, R. Pressure Pulsation Reduction in the Draft Tube of Pump Turbine in Turbine Mode Based on Optimization Design of Runner Blade Trailing Edge Profile. J. Energy Storage 2023, 59, 106541. [Google Scholar] [CrossRef]
- Wang, W.; Pei, J.; Yuan, S.; Yin, T. Experimental Investigation on Clocking Effect of Vaned Diffuser on Performance Characteristics and Pressure Pulsations in a Centrifugal Pump. Exp. Therm. Fluid Sci. 2018, 90, 286–298. [Google Scholar] [CrossRef]
- Binama, M.; Su, W.-T.; Cai, W.-H.; Li, X.-B.; Muhirwa, A.; Li, B.; Bisengimana, E. Blade Trailing Edge Position Influencing Pump as Turbine (PAT) Pressure Field under Part-Load Conditions. Renew. Energy 2019, 136, 33–47. [Google Scholar] [CrossRef]
- Trivedi, C.; Gogstad, P.J.; Dahlhaug, O.G. Investigation of the unsteady pressure pulsations in the pro-totype Francis turbines during load variation and startup. J. Renew. Sustain. Energy 2017, 9, 064502. [Google Scholar] [CrossRef]
- Sonawat, A.; Kim, S.; Ma, S.-B.; Kim, S.-J.; Lee, J.B.; Yu, M.S.; Kim, J.-H. Investigation of Unsteady Pressure Fluctuations and Methods for Its Suppression for a Double Suction Centrifugal Pump. Energy 2022, 252, 124020. [Google Scholar] [CrossRef]
- Zhang, S.; Chen, H.; Ma, Z.; Wang, D.; Ding, K. Unsteady Flow and Pressure Pulsation Characteristics in Centrifugal Pump Based on Dynamic Mode Decomposition Method. Phys. Fluids 2022, 34, 112014. [Google Scholar] [CrossRef]
- Fang, M.; Zhang, F.; Cao, Z.; Tao, R.; Xiao, W.; Zhu, D.; Gui, Z.; Xiao, R. Prediction Accuracy Improvement of Pressure Pulsation Signals of Reversible Pump-Turbine: A LSTM and VMD-Based Optimization Approach. Energy Sci. Eng. 2024, 12, 102–116. [Google Scholar] [CrossRef]
- Ren, Y.; Zhang, L.; Chen, J.; Liu, J.; Liu, P.; Qiao, R.; Yao, X.; Hou, S.; Li, X.; Cao, C.; et al. Noise Reduction Study of Pressure Pulsation in Pumped Storage Units Based on Sparrow Optimization VMD Combined with SVD. Energies 2022, 15, 2073. [Google Scholar] [CrossRef]
- Zhou, T.; Yu, X.; Zhang, J.; Xu, H. Analysis of Transient Pressure of Pump-Turbine during Load Rejection Based on a Multi-Step Extraction Method. Energy 2024, 292, 130578. [Google Scholar] [CrossRef]
- Zhang, F.; Fang, M.; Tao, R.; Liu, W.; Gui, Z.; Xiao, R. Investigation of Energy Loss Patterns and Pressure Fluctuation Spectrum for Pump-Turbine in the Reverse Pump Mode. J. Energy Storage 2023, 72, 108275. [Google Scholar] [CrossRef]


















| Measurement Item | Measuring Instrument | Equipment Name | Working Range | Calibration Accuracy |
|---|---|---|---|---|
| Head | Differential Pressure Transmitter | EJA110A | 0~100 kPa | ±0.1% |
| Flow rate | Electromagnetic Flow Meter | E-mag | 0~500 L/s | ±0.2% |
| Torque Speed | Torque Speed Sensor | JC2C | 500 N·m | ±0.15% ±0.05% |
| Test Bench | Pump System | ||
|---|---|---|---|
| Volume | 50 m3 | Design head | 4.75 m |
| Flow rate | 0~2160 m3/h | Design flow rate | 1278.7 m3/h |
| Power | 0~80 kW | Maximum efficiency | 76.6% |
| Pressure | 30 kPa~150 kPa | Design power | 21.57 kW |
Disclaimer/Publisher’s Note: The statements, opinions and data contained in all publications are solely those of the individual author(s) and contributor(s) and not of MDPI and/or the editor(s). MDPI and/or the editor(s) disclaim responsibility for any injury to people or property resulting from any ideas, methods, instructions or products referred to in the content. |
© 2024 by the authors. Licensee MDPI, Basel, Switzerland. This article is an open access article distributed under the terms and conditions of the Creative Commons Attribution (CC BY) license (https://creativecommons.org/licenses/by/4.0/).
Share and Cite
Zou, H.; Tang, F.; Yu, M.; Shen, J.; Zhu, Z.; Dai, L.; Liu, H. Identification of Single-Blade Angle Variation in Axial Flow Pumps Based on the Variational Mode Decomposition Method. J. Mar. Sci. Eng. 2024, 12, 1586. https://doi.org/10.3390/jmse12091586
Zou H, Tang F, Yu M, Shen J, Zhu Z, Dai L, Liu H. Identification of Single-Blade Angle Variation in Axial Flow Pumps Based on the Variational Mode Decomposition Method. Journal of Marine Science and Engineering. 2024; 12(9):1586. https://doi.org/10.3390/jmse12091586
Chicago/Turabian StyleZou, Hongmei, Fangping Tang, Miao Yu, Jie Shen, Zezhong Zhu, Liang Dai, and Haiyu Liu. 2024. "Identification of Single-Blade Angle Variation in Axial Flow Pumps Based on the Variational Mode Decomposition Method" Journal of Marine Science and Engineering 12, no. 9: 1586. https://doi.org/10.3390/jmse12091586
APA StyleZou, H., Tang, F., Yu, M., Shen, J., Zhu, Z., Dai, L., & Liu, H. (2024). Identification of Single-Blade Angle Variation in Axial Flow Pumps Based on the Variational Mode Decomposition Method. Journal of Marine Science and Engineering, 12(9), 1586. https://doi.org/10.3390/jmse12091586
