The Characteristics and Mechanism of Changes in the Marine Environmental Capacity of the Estuaries of Haizhou Bay in Northern Jiangsu from 2006 to 2016
Abstract
1. Introduction
2. Materials and Methods
2.1. Overview of the Study Area
2.2. Data Sources and Analytical Method
2.3. Research Method for Environmental Capacity Estimation
2.3.1. Share Ratio Approach
2.3.2. Numerical Simulation
Delft 3D Model
Model Grid and Parameter Setting
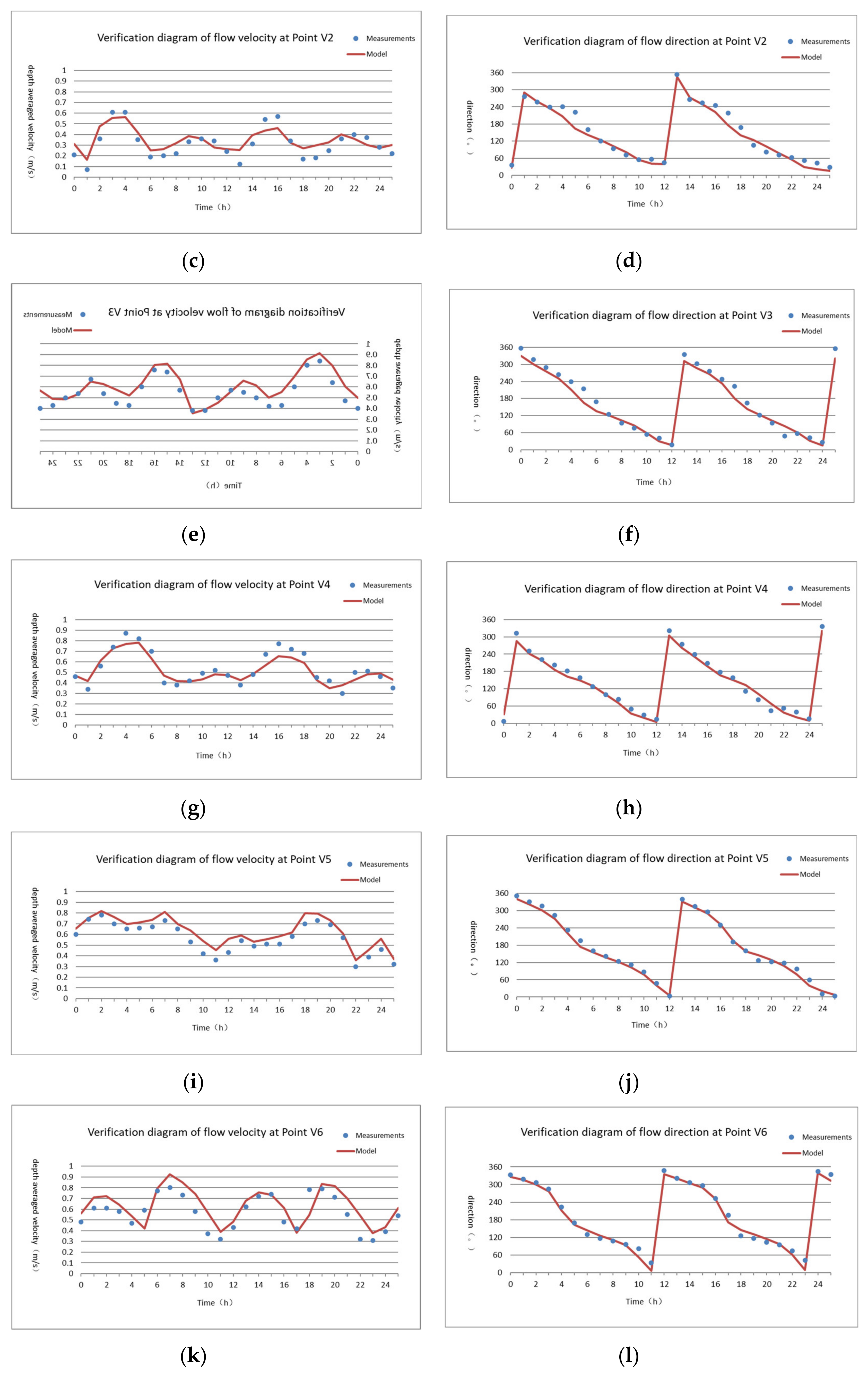
Model Validation
2.3.3. Setting of Boundary Conditions for Calculation and Scenario Simulation
3. Results
3.1. Changes in Natural Conditions
3.2. Determination of Calculation Boundary
3.3. Environmental Capacity of the Estuaries in 2006 and 2016
3.3.1. Response Coefficient
3.3.2. Linear Superposition and Verification
3.3.3. Share Ratio
3.3.4. Calculation of the Environmental Capacity
3.4. Calculation Results for the Hypothetical Scenarios
4. Discussion
4.1. Actual Changes Between 2006 and 2016
4.2. Influencing Factors and Influence Ratio of Changes in Environmental Capacity of the Coastal Estuaries
5. Conclusions
- (1)
- The actual aggregate discharge of the five coastal estuaries in Haizhou Bay was 102.352 tons/day in 2006, and 76.589 tons/day in 2016, reducing by 25.763 tons/day (25.17%). The theoretical environmental capacity was 114.571 tons/day in 2006, and 81.853 tons/day in 2016, reducing by 32.718 tons/day (28.56%). The remaining environmental capacity was 12.219 tons/day in 2006, and 5.264 tons/day in 2016, reducing by 6.955 tons/day (56.92%).
- (2)
- The changes in topography and pollutant discharge into the ocean in the estuaries of Haizhou Bay between 2006 and 2016 reduced the total environmental capacity of the estuaries with an influence ratio of 0.363:0.637. Moreover, the pollutant discharge into the ocean strongly impacted the changes in environmental capacity (1.75 times the impact of land reclamation on average). Land reclamation was not significantly positively or negatively correlated with the impact on coastal estuaries. Land reclamation primarily influenced the structure of the tidal dynamic field through coastal land reclamation projects, hence influencing the capability of hydrodynamics to diffuse and transport and changing the environmental capacity. Runoff into the ocean was positively correlated with the impact on the environmental capacity of coastal estuaries. However, the vast differences in the amount of runoff and in the changes in runoff of different estuaries, as well as the impact of land reclamation projects cause the changes in the environmental capacity of the coastal estuaries to be highly uncertain.
- (3)
- The changes in and the corresponding relationships of the actual COD discharge, theoretical environmental capacity, and remaining environmental capacity of the estuaries of Haizhou Bay from 2006 to 2016 are complex. Estuaries with large actual discharge play a decisive role in the theoretical environmental capacity, so these areas are key for control of aggregate land-based pollutant release into the ocean. The reduction in runoff into the ocean will decrease the theoretical environmental capacity. The remaining environmental capacity is not associated with the theoretical value and the reduction in runoff into the ocean will sometimes reduce the decrease the aggregate discharge of pollutants and increase the remaining environmental capacity.
Author Contributions
Funding
Conflicts of Interest
References
- O’Driscoll, M.; Clinton, S.; Jefferson, A.; Manda, A.; McMillan, S. Urbanization Effects on Watershed Hydrology and In-Stream Processes in the Southern United States. Water 2010, 2, 605–648. [Google Scholar] [CrossRef]
- Pérez, P.; Fernández, E.; Beiras, R. Fuel toxicity on Isochrysis galbana and a coastal phytoplankton assemblage: Growth rate vs. variable fluorescence. Ecotoxicol. Environ. Saf. 2010, 73, 254–261. [Google Scholar] [CrossRef]
- Yu, C.Y.; Liang, B.; Han, G.C.; Huo, C.L.; Zhang, Z.F.; Ma, M.H. Discussion on the procedure and method of Marine oil spill ecological damage assessment. Ocean Dev. Manag. 2015, 32, 92–96. [Google Scholar] [CrossRef]
- Muller, J.R.M.; Chan, Y.-C.; Piersma, T.; Chen, Y.-P.; Aarninkhof, S.G.J.; Hassell, C.J.; Tao, J.-F.; Gong, Z.; Wang, Z.B.; van Maren, D.S. Building for Nature: Preserving Threatened Bird Habitat in Port Design. Water 2020, 12, 2134. [Google Scholar] [CrossRef]
- Benjamins, S.; Masden, E.; Collu, M. Integrating Wind Turbines and Fish Farms: An Evaluation of Potential Risks to Marine and Coastal Bird Species. J. Mar. Sci. Eng. 2020, 8, 414. [Google Scholar] [CrossRef]
- Dong, Z.; Kuang, C.; Gu, J.; Zou, Q.; Zhang, J.; Liu, H.; Zhu, L. Total Maximum Allocated Load of Chemical Oxygen Demand Near Qinhuangdao in Bohai Sea: Model and Field Observations. Water 2020, 12, 1141. [Google Scholar] [CrossRef]
- Yang, J.W. Theory and Practice of Conducting Total-Quantity Control of Pollutants Discharge in the Near shore Sea Area. Mar. Inf. 2001, 2, 24–26. [Google Scholar] [CrossRef]
- Pravdić, V.; Juračić, M. The environmental capacity approach to the control of marine pollution: The case of copper in the Krka River Estuary. Chem. Ecol. 1988, 3, 105–117. [Google Scholar] [CrossRef]
- Krom, M.D.; Hornung, H.; Cohen, Y. Determination of the environmental capacity of Haifa Bay with respect to the input of mercury. Mar. Pollut. Bull. 1990, 21, 349–354. [Google Scholar] [CrossRef]
- Nam, J.; Chang, W.; Kang, D. Carrying capacity of an uninhabited island off the southwestern coast of Korea. Ecol. Model. 2010, 221, 2102–2107. [Google Scholar] [CrossRef]
- Pandolfi, J.M.; Bradbury, R.; Sala, E.; Hughes, D.P.M.; Bjorndal, K.A.; Cooke, R.G.; McArdle, D.; McClenachan, L.; Newman, M.J.H.; Paredes, G.; et al. Global trajectories of the longterm decline of coral reef ecosystems. Science 2003, 301, 955–958. [Google Scholar] [CrossRef] [PubMed]
- Trela, J.; Płaza, E. Innovative technologies in municipal wastewater treatment plants in Sweden to improve Baltic Sea water quality. Proc. E3S Web Conf. 2018, 45, 113. [Google Scholar] [CrossRef]
- Gu, J.; Li, Z.Y.; Mao, X.D.; Hu, C.F.; Kuang, C.P. Study of COD environmental capacity in coastal waters of Beidaihe in summer. Mar. Environ. Sci. 2017, 36, 682–687. [Google Scholar] [CrossRef]
- Yu, Y.; Peng, C.S.; Yu, L.L.; Gu, Q.B.; Chang, J.M. Environmental capacity calculation of petroleum hydrocarbons in Laizhou Bay—The discharge optimization method based on the nonlinear programming. Mar. Environ. Sci. 2014, 33, 293–299. [Google Scholar] [CrossRef]
- Lan, D.D.; Liang, B.; Ma, M.H.; Yu, C.Y.; Bao, C.G.; Xu, Y. Application of marine environmental capacity analysis in planning environmental impact assessment. Ocean Dev. Manag. 2013, 30, 62–65. [Google Scholar]
- Sun, X.M.; Zhang, C.Z.; Shen, X.W. Total amount control of pollutant discharged into sea area around Changxingdao Island. Mar. Environ. Sci. 2009, 28, 399–402. [Google Scholar]
- Zhang, X.Q.; Sun, Y.L. Study on the environmental capacity in Jiaozhou Bay. Mar. Environ. Sci. 2007, 26, 347–350. [Google Scholar]
- Yu, J.; Sun, Y.L.; Zhang, Y.M.; Zhang, Y.; Cai, H.W. Environmental capacity assessment of pollutants in Ningbo-Zhoushan sea area. Environ. Pollut. Control 2006, 28, 21–24. [Google Scholar]
- Guo, L.B.; Jiang, W.S.; Li, F.Q.; Wang, X.L. Environmental Capacity Calculation of COD and PHs in the Bohai Sea. Period. Ocean Univ. China 2007, 37, 310–316. [Google Scholar] [CrossRef]
- Long, Y.X.; Chen, J.; Han, B.X. Research on Marine Environmental Capacity in the Beibu Gulf Economic Zone. Acta Sci. Nat. Univ. Sunyatseni 2014, 53, 83–88. [Google Scholar] [CrossRef]
- Zhai, D.S.; Zhang, K.; Sun, H.Y. Study on the coastal marine water environmental capacity of the Yangpu Economic Development Zone. J. Henan Agric. Univ. 2014, 48, 348–353. [Google Scholar] [CrossRef]
- Shi, P.; Peng, K.L.; Xie, J.; He, G.F. Study on the selection of discharge outlet int the sea of pollutants from coastal industry: With example of Zhanjiang Steel project. Trans. Oceanol. Limnol. 2011, 2, 159–166. [Google Scholar] [CrossRef]
- Wang, C.Y.; Wang, X.L.; Li, K.Q.; Liang, S.K.; Sun, R.G.; Yang, S.P. The estimation of copper, lead, zinc and cadmium fluxes into the sea area of the East China Sea interferenced by terrigenous matter and their environmental capacities. Acta Oceanol. Sin. 2010, 32, 62–76. [Google Scholar] [CrossRef]
- Liu, S.M.; Ye, X.W.; Zhang, J. The silicon balance in Jiaozhou Bay, North China. J. Mar. Syst. 2008, 74, 639–648. [Google Scholar] [CrossRef]
- Cui, J.R.; Zhang, L.P. Determination and Application of Pollutant Transfer and Transformation Modelin the Study of Xiamen Bay Environmental Capacity. Environ. Sci. Manag. 2009, 34, 10–14. [Google Scholar]
- Pan, C.M.; Zhang, L.P.; Huang, J.L.; Cui, J.R. Estimation of marine pollution load in West Sea and Tong’an Bay in Xiamen. Mar. Environ. Sci. 2011, 30, 90–95. [Google Scholar]
- Ke, L.N.; Wang, Q.M.; Xu, L.W.; Jiang, X.; Yang, S.L. The coastwise surplus water environment capacity computing model based on GIS. Mar. Sci. 2015, 39, 112–117. [Google Scholar]
- Wang, W.P. Study on Simulation of the Water Environmental Capacity Change and Controlling Measures of the Total Amount Pollutants Discharge in Jiulong River Watershed. Ph.D. Thesis, Xiamen University, Xiamen, China, 2007. [Google Scholar]
- Ge, S.F. Study on Water Environmental Capacity of Liaohe River in Jilin Province. Ph.D. Thesis, Jilin University, Changchun, China, 2012. [Google Scholar]
- Ou, M.L. Study on Impact of Three Gorges Reservoir Operation on Variation Characteristics of Nitrogen and Phosphorus in Waters of Poyang Lake. Master’s Thesis, East China University of Technology, Nanchang, China, 2012. [Google Scholar]
- Ma, X.X.; Li, C.Y.; Shi, X.H.; Zhao, S.N.; Sun, B.; Zhu, Y.H. Environment Capacity of the Wuliangsuhai Lake. J. Irrig. Drain. 2019, 38, 105–112. [Google Scholar] [CrossRef]
- Tang, J.Y. Research of Volume Control and Emission Reduction of COD, Nitrogen, Phosphorus in Water of Pulandian Bay. Master’s Thesis, Dalian Maritime University, Dalian, China, 2016. [Google Scholar]
- Jiang, H.Z.; Cui, L.; Yu, D.T.; Gao, F.; Wu, L.G. Study on sea area Environmental capacity of Majiazui sewage Outlet on Changxing Island in Dalian. J. Appl. Oceanogr. 2017, 36, 202–209. [Google Scholar] [CrossRef]
- Chen, Y. Environmental Capacity and Total Quantity Control of Nitrogen and Phosphorus in the Northern Part of Liaodong Bay. Master’s Thesis, Shanghai Ocean University, Shanghai, China, 2017. [Google Scholar]
- Lin, L.; Liu, D.Y.; Liu, Z.; Gao, H.W. Impact of land reclamation on marine hydrodynamic and ecological environment. Haiyang Xuebao 2016, 38, 1–11. [Google Scholar] [CrossRef]
- Wang, X. Environmental Capacity Value Loss Evaluation Research of Coastal Reclamation Projects in Bay Based on the Numerical Simulation—Case Study of Shacheng Harbor in Fujian Province. Master’s Thesis, Xiamen University, Xiamen, China, 2014. [Google Scholar]
- Garcia, M.; Ramirez, I.; Verlaan, M.; Castillo, J. Application of a three-dimensional hydrodynamic model for San Quintin Bay, B.C., Mexico. Validation and calibration using OpenDA. J. Comput. Appl. Math. 2015, 273, 428–437. [Google Scholar] [CrossRef]
- Dai, P.; Zhang, J.-s.; Zheng, J.-h.; Hulsbergen, K.; van Banning, G.; Adema, J.; Tang, Z.-x. Numerical study of hydrodynamic mechanism of dynamic tidal power. Water Sci. Eng. 2018, 11, 220–228. [Google Scholar] [CrossRef]
- Putzu, S.; Enrile, F.; Besio, G.; Cucco, A.; Cutroneo, L.; Capello, M.; Stocchino, A. A Reasoned Comparison between Two Hydrodynamic Models: Delft3D-Flow and ROMS (Regional Oceanic Modelling System). J. Mar. Sci. Eng. 2019, 7, 464. [Google Scholar] [CrossRef]
- Rueda-Bayona, J.G.; Osorio, A.F.; Guzman, A. Set-up and input dataset files of the Delft3d model for hydrodynamic modelling considering wind, waves, tides and currents through multidomain grids. Data Brief 2020, 28, 104921. [Google Scholar] [CrossRef] [PubMed]













| River Name | River Length(km) | Drainage Area (km2) | The Amount of Runoff in 2016 (m3/d) |
|---|---|---|---|
| Longwang River | 75 | 151 | 252,603 |
| Xingzhuang River | 27.5 | 162.5 | 220,000 |
| Shawang River | 16 | 43.6 | 1370 |
| Qingkou River | 64 | 493 | 250,685 |
| Zhuji River | 37.5 | 175 | 202,192 |
| Fanhe River | 30 | 268 | 166,575 |
| Xinshu River | 77 | 1970 | 241,370 |
| Qiangwei River | 97 | 1816 | 2,360,000 |
| Dapu River | 7.57 | 122 | 35,890 |
| Name of River | 2006 | 2016 | Variation Value | |||
|---|---|---|---|---|---|---|
| The Amount of Runoff (m3/d) | COD Concentration (mg/L) | The Amount of Runoff (m3/d) | COD Concentration (mg/L) | The Amount of Runoff (m3/d) | COD Concentration (mg/L) | |
| Longwang River | 631,781 | 28.68 | 252,603 | 28.75 | −379,178 | 0.07 |
| Xingzhuang River | 83,562 | 18.53 | 220,000 | 28.67 | 136,438 | 10.14 |
| Shawang River | 2466 | 53.37 | 1370 | 46.84 | −1096 | −6.53 |
| Qingkou River | 443,014 | 25.86 | 250,685 | 27.01 | −192,329 | 1.15 |
| Zhuji River | 99,452 | 16.71 | 202,192 | 27.86 | 102,740 | 11.15 |
| Fanhe River | 139,178 | 7.1 | 166,575 | 26.17 | 27,397 | 19.07 |
| Xinshu River | 699,726 | 21.91 | 241,370 | 17.92 | −458,356 | −3.99 |
| Qiangwei River | 1,866,849 | 21.88 | 2,360,000 | 17.29 | 493,151 | −4.59 |
| Dapu River | 215,890 | 56.83 | 35,890 | 29.62 | −180,000 | −27.21 |
| Totle | 4,181,918 | 3,730,685 | −451,233 | 0 | ||
| 1 | 2 | 3 | 4 | 5 | 6 | 7 | 8 | 9 | 10 | 11 | ||
|---|---|---|---|---|---|---|---|---|---|---|---|---|
| 2006 | Longwang River Estuary | 0.0200 | 0.0700 | 0.0500 | 0.0095 | 0.0010 | / | / | / | / | / | / |
| Xingzhuang River Estuary | 0.0080 | 0.0150 | 0.2000 | 0.0900 | 0.0020 | / | / | / | / | / | / | |
| Shawang River Estuary | / | / | 0.0050 | 0.0080 | / | / | / | / | / | / | / | |
| Qingkou River Estuary | / | / | / | / | / | / | / | 0.0020 | 0.0050 | / | / | |
| Linhong Estuary | / | / | / | / | / | / | / | / | 0.0500 | 0.0090 | 0.0050 | |
| 2016 | Longwang River Estuary | 0.0900 | 0.1000 | 0.0800 | 0.0200 | 0.0020 | 0.0010 | \ | \ | \ | \ | \ |
| Xingzhuang River Estuary | 0.0080 | 0.0210 | 0.5000 | 0.5100 | 0.0060 | 0.0050 | \ | \ | \ | \ | \ | |
| Shawang River Estuary | \ | 0.0010 | 0.0250 | 0.0600 | 0.0020 | 0.0090 | 0.0020 | 0.0015 | \ | \ | \ | |
| Qingkou River Estuary | \ | \ | \ | \ | \ | \ | 0.0001 | 0.0600 | 0.0300 | \ | \ | |
| Linhong Estuary | \ | \ | \ | \ | \ | \ | 0.0090 | 0.0300 | 0.0400 | 0.0500 | ||
| Control Point | Longwang River | Xingzhuang River | Shawang River | Qingkou River | Linhong Estuary | |
|---|---|---|---|---|---|---|
| 2006 | 1 | 0.96694 | 0.03305 | / | / | / |
| 2 | 0.98202 | 0.01798 | / | / | / | |
| 3 | 0.74485 | 0.25461 | 0.00054 | / | / | |
| 4 | 0.55076 | 0.44588 | 0.00337 | / | / | |
| 5 | 0.85389 | 0.14594 | / | / | / | |
| 6 | / | / | / | / | / | |
| 7 | / | / | / | / | / | |
| 8 | / | / | / | 1 | / | |
| 9 | / | / | / | 0.01586 | 0.98414 | |
| 10 | / | / | / | / | 1 | |
| 11 | / | / | / | / | 1 | |
| 2016 | 1 | 0.92833 | 0.07167 | / | / | |
| 2 | 0.84569 | 0.15424 | 0.00007 | / | / | |
| 3 | 0.15550 | 0.84407 | 0.00043 | / | / | |
| 4 | 0.04315 | 0.95570 | 0.00114 | / | / | |
| 5 | 0.27666 | 0.72085 | 0.00244 | / | / | |
| 6 | 0.18442 | 0.80084 | 0.01466 | / | / | |
| 7 | / | / | 0.15843 | 0.83593 | / | |
| 8 | / | / | 0.00011 | 0.44545 | 0.55445 | |
| 9 | / | / | / | 0.10755 | 0.89245 | |
| 10 | / | / | / | / | 1 | |
| 11 | / | / | / | / | 1 |
| Environmental Capacity | Longwang River | Xingzhuang River | Shawang River | Qingkou River | Linhong Estuary | Totle | |
|---|---|---|---|---|---|---|---|
| 2006 | Actual discharge(ton) | 18.119 | 1.548 | 0.132 | 11.456 | 71.097 | 102.352 |
| Theoretical environmental capacity | 42.086 | 3.596 | 0.325 | 9.515 | 59.049 | 114.571 | |
| Remaining environmental capacity | 23.967 | 2.048 | 0.193 | −1.941 | −12.048 | 12.219 | |
| 2016 | Actual discharge(ton) | 7.262 | 6.307 | 0.064 | 6.771 | 56.185 | 76.589 |
| Theoretical environmental capacity | 5.539 | 5.506 | 0.052 | 10.756 | 60.000 | 81.853 | |
| Remaining environmental capacity | −1.723 | −0.801 | −0.012 | 3.985 | 3.815 | 5.264 |
| Scenarios | Environmental Capacity | Longwang River | Xingzhuang River | Shawang River | Qingkou River | Linhong Estuary | Totle |
|---|---|---|---|---|---|---|---|
| Scenario A (Topography in 2006 + Estuaries in 2016) | Actual discharge(ton) | 7.262 | 6.307 | 0.064 | 6.771 | 56.185 | 76.589 |
| Theoretical environmental capacity | 13.408 | 11.645 | 0.118 | 7.145 | 59.285 | 91.601 | |
| Remaining environmental capacity | 6.146 | 5.338 | 0.054 | 0.374 | 3.1 | 15.012 | |
| Scenario B (Estuaries in 2006 + Topography in 2016) | Actual discharge(ton) | 18.119 | 1.548 | 0.132 | 11.456 | 71.097 | 102.352 |
| Theoretical environmental capacity | 24.408 | 2.086 | 0.177 | 13.877 | 60.000 | 100.548 | |
| Remaining environmental capacity | 6.289 | 0.538 | 0.045 | 2.421 | −11.097 | −1.804 |
| Name of River | Longwang River | Xingzhuang River | Shawang River | Qingkou River | Linhong Estuary | Totle |
|---|---|---|---|---|---|---|
| Actual discharge in 2006 | 18.119 | 1.548 | 0.132 | 11.456 | 71.097 | 102.352 |
| Actual discharge in 2016 | 7.262 | 6.307 | 0.064 | 6.771 | 56.185 | 76.589 |
| The change in actual discharge | −10.857 | 4.759 | −0.068 | −4.685 | −14.912 | −25.763 |
| Theoretical environmental capacity in 2006 | 42.086 | 3.596 | 0.325 | 9.515 | 59.049 | 114.571 |
| Theoretical environmental capacity in 2016 | 5.539 | 5.506 | 0.052 | 10.756 | 60.000 | 81.853 |
| The change in theoretical environmental capacity | −36.547 | 1.91 | −0.273 | 1.241 | 0.951 | −32.718 |
| Remaining environmental capacity in 2006 | 23.967 | 2.048 | 0.193 | −1.941 | −12.048 | 12.219 |
| Remaining environmental capacity in 2016 | −1.723 | −0.801 | −0.012 | 3.985 | 3.815 | 5.264 |
| The change in remaining environmental capacity | −25.69 | −2.849 | −0.205 | 5.926 | 15.863 | −6.955 |
| Name of River | Longwang River | Xingzhuang River | Shawang River | Qingkou River | Linhong Estuary | Totle |
|---|---|---|---|---|---|---|
| 2016–2006 | −36.547 | 1.91 | −0.273 | 1.241 | 0.951 | −32.718 |
| 1#−1 Scenario B—2006 (Topography) | −17.678 | −1.51 | −0.148 | 4.362 | 0.951 | −14.023 |
| 1#−2 2016—Scenario B (The amount of runoff) | −18.869 | 3.42 | −0.125 | −3.121 | 0 | −18.695 |
| (1#−1) + (1#−2) | −36.547 | 1.91 | −0.273 | 1.241 | 0.951 | −32.718 |
| Influence ratio (Topography: The amount of runoff) | −0.484/−0.516 | −0.791/1.791 | −0.542/−0.458 | 3.516/−2.516 | 1/0 | −0.429/−0.571 |
| 2#−1 Scenario A—2006 (The amount of runoff) | −28.678 | 8.049 | −0.207 | −2.37 | 0.236 | −22.97 |
| 2#−2 2016—Scenario A (Topography) | −7.869 | −6.139 | −0.066 | 3.611 | 0.715 | −9.748 |
| (2#−1) + (2#−2) | −36.547 | 1.91 | −0.273 | 1.241 | 0.951 | −32.718 |
| Influence ratio (Topography: The amount of runoff) | −0.215/−0.785 | −3.214/4.214 | 0.242/0.758 | 2.912/−1.912 | 0.752/0.248 | −0.298/−0.702 |
| Overall influence ratio (Topography: The amount of runoff) | −0.35/−0.65 | −2/3 | −0.392/−0.608 | 3.212/−2.212 | 0.876/0.124 | −0.363/−0.637 |
| Name of River | Change in COD Concentration (mg/L) | Change in the Amount of Runoff (m3/d) | The Change in Actual Amount of Runoff (t/d) | The Change in Environmental Capacity (t/d) | Influence Ratio (Topography: Pollutant Discharge) |
|---|---|---|---|---|---|
| Longwang River | 0.07 | −379178 | −10.857 | −36.547 | 0.35/0.65 |
| Xingzhuang River | 10.14 | 136438 | 4.759 | 1.91 | −2/3 |
| Shawang River | −6.53 | −1096 | −0.068 | −0.273 | 0.392/0.608 |
| Qingkou River | 1.15 | −192329 | −4.685 | 1.241 | 3.122/−2.212 |
| Linhong Estuary | −4.84 | −15068 | −14.912 | 0.951 | 0.876/0.124 |
| Totle | −451233 | −25.763 | −32.718 | 0.363/0.637 |
Publisher’s Note: MDPI stays neutral with regard to jurisdictional claims in published maps and institutional affiliations. |
© 2020 by the authors. Licensee MDPI, Basel, Switzerland. This article is an open access article distributed under the terms and conditions of the Creative Commons Attribution (CC BY) license (http://creativecommons.org/licenses/by/4.0/).
Share and Cite
Sun, L.; Wang, J.; Zhang, H.; Xu, M. The Characteristics and Mechanism of Changes in the Marine Environmental Capacity of the Estuaries of Haizhou Bay in Northern Jiangsu from 2006 to 2016. J. Mar. Sci. Eng. 2020, 8, 787. https://doi.org/10.3390/jmse8100787
Sun L, Wang J, Zhang H, Xu M. The Characteristics and Mechanism of Changes in the Marine Environmental Capacity of the Estuaries of Haizhou Bay in Northern Jiangsu from 2006 to 2016. Journal of Marine Science and Engineering. 2020; 8(10):787. https://doi.org/10.3390/jmse8100787
Chicago/Turabian StyleSun, Lei, Jing Wang, Haifeng Zhang, and Min Xu. 2020. "The Characteristics and Mechanism of Changes in the Marine Environmental Capacity of the Estuaries of Haizhou Bay in Northern Jiangsu from 2006 to 2016" Journal of Marine Science and Engineering 8, no. 10: 787. https://doi.org/10.3390/jmse8100787
APA StyleSun, L., Wang, J., Zhang, H., & Xu, M. (2020). The Characteristics and Mechanism of Changes in the Marine Environmental Capacity of the Estuaries of Haizhou Bay in Northern Jiangsu from 2006 to 2016. Journal of Marine Science and Engineering, 8(10), 787. https://doi.org/10.3390/jmse8100787
