Typhoon-Triggered Phytoplankton Bloom and Associated Upper-Ocean Conditions in the Northwestern Pacific: Evidence from Satellite Remote Sensing, Argo Profile, and an Ocean Circulation Model
Abstract
1. Introduction
2. Data and Model
2.1. Data
2.1.1. Remote Sensing and Argo Profiles Data
2.1.2. Typhoon Data
2.2. Model
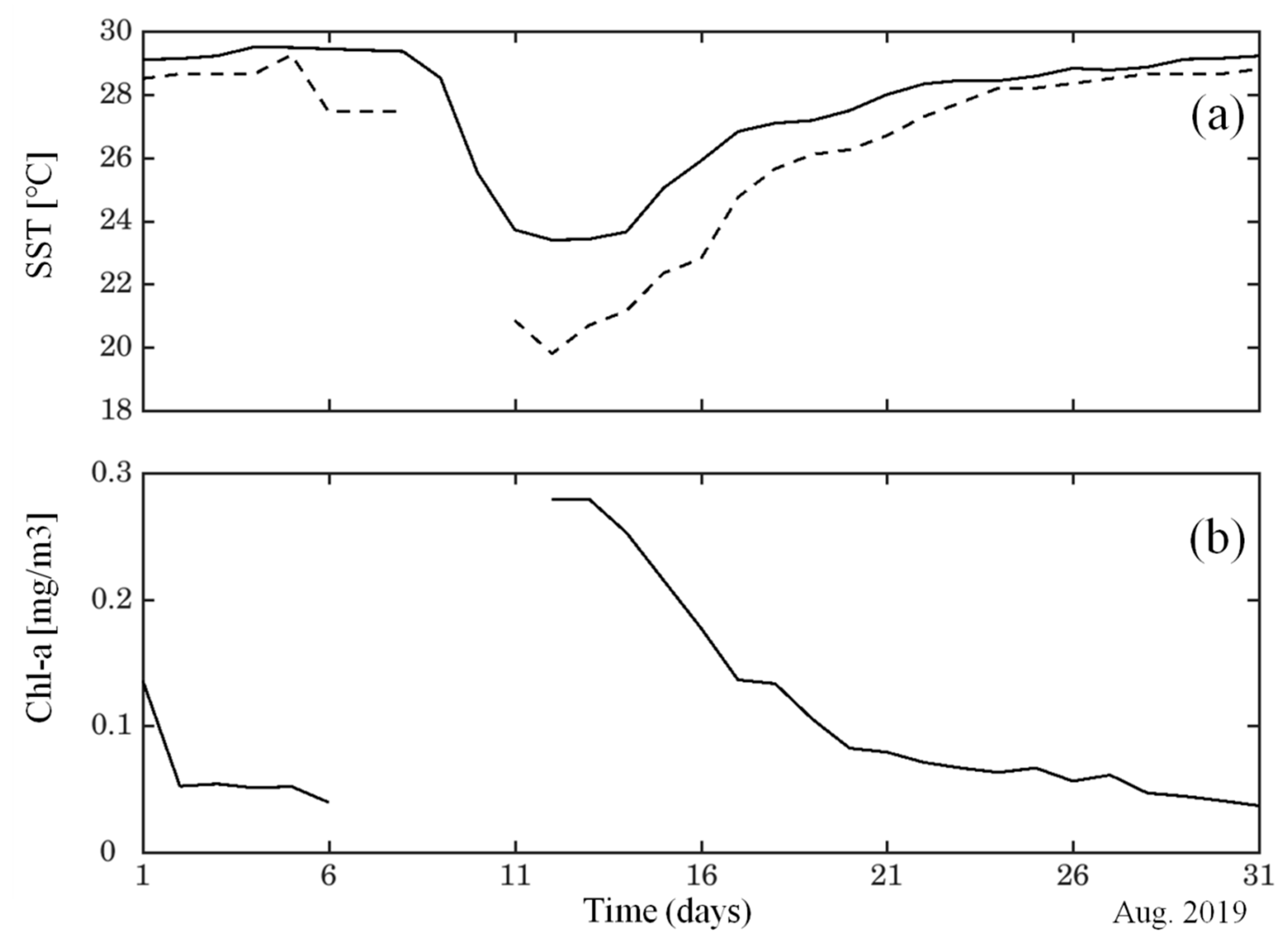
3. Distribution of Surface Chl-a Concentration and SST
4. Upper-Ocean Conditions before and after Typhoon Krosa
4.1. Pre-Existing Cyclonic Circulation
4.2. Vertical Mixing and Upwelling
5. Conclusions
Author Contributions
Funding
Acknowledgments
Conflicts of Interest
References
- Yu, Y.; Xing, X.; Liu, H.; Yuan, Y.; Wang, Y.; Chai, F. The variability of chlorophyll-a and its relationship with dynamic factors in the basin of the South China Sea. J. Mar. Syst. 2019, 200, 103230. [Google Scholar] [CrossRef]
- Ryther, J.H.; Yentsch, C.S. The Estimation of Phytoplankton Production in the Ocean from Chlorophyll and Light Data1. Limnol. Oceanogr. 1957, 2, 281–286. [Google Scholar] [CrossRef]
- Falkowski, P.G. The role of phytoplankton photosynthesis in global biogeochemical cycles. Photosynth. Res. 1994, 39, 235–258. [Google Scholar] [CrossRef] [PubMed]
- Watson, R.A.; Zeller, D.; Pauly, D. Primary productivity demands of global fishing fleets. Fish Fish. 2013, 15, 231–241. [Google Scholar] [CrossRef]
- Price, J.F. Upper ocean response to a hurricane. J. Phys. Oceanogr. 1981, 11, 153–175. [Google Scholar] [CrossRef]
- Emanuel, K.A. Thermodynamic control of hurricane intensity. Nat. Cell Biol. 1999, 401, 665–669. [Google Scholar] [CrossRef]
- Son, S.; Platt, T.; Bouman, H.; Lee, N.; Sathyendranath, S. Satellite observation of chlorophyll and nutrients increase induced by Typhoon Megi in the Japan/East Sea. Geophys. Res. Lett. 2006, 33. [Google Scholar] [CrossRef]
- Zhao, H.; Shao, J.; Han, G.; Yang, D.; Lv, J. Influence of Typhoon Matsa on Phytoplankton Chlorophyll-a off East China. PLoS ONE 2015, 10, e0137863. [Google Scholar] [CrossRef]
- Liu, Y.; Tang, D.; Evgeny, M. Chlorophyll Concentration Response to the Typhoon Wind-Pump Induced Upper Ocean Processes Considering Air–Sea Heat Exchange. Remote Sens. 2019, 11, 1825. [Google Scholar] [CrossRef]
- D’Asaro, E.; Black, P.; Centurioni, L.; Harr, P.; Jayne, S.R.; Lin, I.-I.; Lee, C.; Morzel, J.; Mrvaljevic, R.; Niiler, P.; et al. Typhoon-Ocean Interaction in the Western North Pacific: Part 1. Oceanography 2011, 24, 24–31. [Google Scholar] [CrossRef]
- Shibano, R.; Yamanaka, Y.; Okada, N.; Chuda, T.; Suzuki, S.-I.; Niino, H.; Toratani, M. Responses of marine ecosystem to typhoon passages in the western subtropical North Pacific. Geophys. Res. Lett. 2011, 38, L18608. [Google Scholar] [CrossRef]
- Chen, Y.; Tang, D. Eddy-feature phytoplankton bloom induced by a tropical cyclone in the South China Sea. Int. J. Remote Sens. 2012, 33, 7444–7457. [Google Scholar] [CrossRef]
- Yin, X.; Wang, Z.; Liu, Y.; Xu, Y. Ocean response to Typhoon Ketsana traveling over the northwest Pacific and a numerical model approach. Geophys. Res. Lett. 2007, 34, L21606. [Google Scholar] [CrossRef]
- Cheng, L.; Zhu, J.; Sriver, R.L. Global representation of tropical cyclone-induced short-term ocean thermal changes using Argo data. Ocean Sci. 2015, 11, 719–741. [Google Scholar] [CrossRef]
- Lin, S.; Zhang, W.-Z.; Shang, S.; Hong, H.-S. Ocean response to typhoons in the western North Pacific: Composite results from Argo data. Deep Sea Res. Part I Oceanogr. Res. Pap. 2017, 123, 62–74. [Google Scholar] [CrossRef]
- Haidvogel, D.B.; Arango, H.G.; Hedstrom, K.; Beckmann, A.; Malanotte-Rizzoli, P.; Shchepetkin, A.F. Model evaluation experiments in the North Atlantic Basin: Simulations in nonlinear terrain-following coordinates. Dyn. Atmos. Oceans 2000, 32, 239–281. [Google Scholar] [CrossRef]
- Shchepetkin, A.F.; McWilliams, J.C. The regional oceanic modeling system (ROMS): A split-explicit, free-surface, topography-following-coordinate oceanic model. Ocean Model. 2005, 9, 347–404. [Google Scholar] [CrossRef]
- Seo, S.N. Digital 30 sec gridded bathymetric data of Korea marginal seas-KorBathy30s. J. Korean Soc. Coast. Ocean Eng. 2008, 20, 110–120, (In Korean with English Abstract). [Google Scholar]
- Lee, S.-H.; Beardsley, R.C. Influence of stratification on residual tidal currents in the Yellow Sea. J. Geophys. Res. Space Phys. 1999, 104, 15679–15701. [Google Scholar] [CrossRef]
- Fairall, C.W.; Bradley, E.F.; Rogers, D.P.; Edson, J.B.; Young, G.S. Bulk parameterization of air-sea fluxes for Tropical Ocean-Global Atmosphere Coupled-Ocean Atmosphere Response Experiment. J. Geophys. Res. Space Phys. 1996, 101, 3747–3764. [Google Scholar] [CrossRef]
- Warner, J.C.; Sherwood, C.R.; Arango, H.G.; Signell, R.P. Performance of four turbulence closure models implemented using a generic length scale method. Ocean Model. 2005, 8, 81–113. [Google Scholar] [CrossRef]
- Egbert, G.D.; Erofeeva, S.Y. Efficient inverse modeling of barotropic ocean tides. J. Atmos. Ocean Technol. 2002, 19, 183–204. [Google Scholar] [CrossRef]
- Zheng, Z.-W.; Ho, C.-R.; Kuo, N.-J. Importance of pre-existing oceanic conditions to upper ocean response induced by Super Typhoon Hai-Tang. Geophys. Res. Lett. 2008, 35, 20603. [Google Scholar] [CrossRef]
- Sun, L.; Yang, Y.; Fu, Y.-F. Impacts of Typhoons on the Kuroshio Large Meander: Observation Evidences. Atmos. Ocean. Sci. Lett. 2009, 2, 45–50. [Google Scholar] [CrossRef]
- Stumpf, R.P.; Litaker, R.W.; Lanerolle, L.; Tester, P.A. Hydrodynamic accumulation of Karenia off the west coast of Florida. Cont. Shelf Res. 2008, 28, 189–213. [Google Scholar] [CrossRef]
- Soto, I.M.; Muller-Karger, F.E.; Hu, C.; Wolny, J. Characterization of Karenia brevis blooms on the West Florida Shelf using ocean color satellite imagery: Implications for bloom maintenance and evolution. J. Appl. Remote Sens. 2016, 11, 12002. [Google Scholar] [CrossRef]
- Hu, C.; Luerssen, R.; Muller-Karger, F.E.; Carder, K.L.; Heil, C.A. On the remote monitoring of Karenia brevis blooms of the west Florida shelf. Cont. Shelf Res. 2008, 28, 159–176. [Google Scholar] [CrossRef]
- Tomlinson, M.; Stumpf, R.P.; Ransibrahmanakul, V.; Truby, E.W.; Kirkpatrick, G.J.; A Pederson, B.; A Vargo, G.; A Heil, C. Evaluation of the use of SeaWiFS imagery for detecting Karenia brevis harmful algal blooms in the eastern Gulf of Mexico. Remote Sens. Environ. 2004, 91, 293–303. [Google Scholar] [CrossRef]
- Wang, T.; Li, D.; Gao, L.; Zhu, L. Estimation of biophysical properties of areas in the Western North Pacific with a high frequency of tropical cyclones. Deep Sea Res. Part I Oceanogr. Res. Pap. 2019, 147, 12–21. [Google Scholar] [CrossRef]







© 2020 by the authors. Licensee MDPI, Basel, Switzerland. This article is an open access article distributed under the terms and conditions of the Creative Commons Attribution (CC BY) license (http://creativecommons.org/licenses/by/4.0/).
Share and Cite
Lee, J.-H.; Moon, J.-H.; Kim, T. Typhoon-Triggered Phytoplankton Bloom and Associated Upper-Ocean Conditions in the Northwestern Pacific: Evidence from Satellite Remote Sensing, Argo Profile, and an Ocean Circulation Model. J. Mar. Sci. Eng. 2020, 8, 788. https://doi.org/10.3390/jmse8100788
Lee J-H, Moon J-H, Kim T. Typhoon-Triggered Phytoplankton Bloom and Associated Upper-Ocean Conditions in the Northwestern Pacific: Evidence from Satellite Remote Sensing, Argo Profile, and an Ocean Circulation Model. Journal of Marine Science and Engineering. 2020; 8(10):788. https://doi.org/10.3390/jmse8100788
Chicago/Turabian StyleLee, Joon-Ho, Jae-Hong Moon, and Taekyun Kim. 2020. "Typhoon-Triggered Phytoplankton Bloom and Associated Upper-Ocean Conditions in the Northwestern Pacific: Evidence from Satellite Remote Sensing, Argo Profile, and an Ocean Circulation Model" Journal of Marine Science and Engineering 8, no. 10: 788. https://doi.org/10.3390/jmse8100788
APA StyleLee, J.-H., Moon, J.-H., & Kim, T. (2020). Typhoon-Triggered Phytoplankton Bloom and Associated Upper-Ocean Conditions in the Northwestern Pacific: Evidence from Satellite Remote Sensing, Argo Profile, and an Ocean Circulation Model. Journal of Marine Science and Engineering, 8(10), 788. https://doi.org/10.3390/jmse8100788

