Abstract
An active disturbance rejection control based on fractional calculus is proposed to improve the motion performance and robustness of autonomous underwater vehicle (AUV). The active disturbance rejection control (ADRC) method can estimate and compensate the total disturbance of AUV automatically. The fractional-order PID (proportional integral derivative) has fast dynamic response, which can eliminate the estimation error of extended state observer. The fractional calculus active disturbance rejection strategy combines the advantages of the above two algorithms, and it is designed for AUV heading and pitch subsystems. In addition, the stability of fractional calculus ADRC heading subsystem is proven by Lyapunov stability theorem. The numerical simulations and experimental results document that the superior performance has been achieved. The fractional calculus ADRC strategy has more excellent abilities for disturbance rejection, performs better than ADRC and PID, and has important theoretical and practical value.
1. Introduction
Autonomous underwater vehicles (AUV) are playing an increasingly important role in developing unknown ocean and accomplishing different military missions in recent years. AUV motion control has attracted many researchers’ interest. Nevertheless, the characteristics of strong coupling and high nonlinearity make it more challenging. Different approaches have been implemented to solve this problem, such as adaptive controller [1,2], sliding mode controller [3,4,5], H-infinity controller [6], and PID controller [7,8].
Prof. Han put forward the active disturbance rejection control (ADRC) method in the 1990s [9]. It was independent of model and it could actively reject disturbances. In recent decades, ADRC method has been widely used in motion control of AUV. An ADRC method based on fuzzy adaptive ESO (extended state observer) was proposed for trajectory tracking of AUV. The simulations indicated that the method outperformed others in terms of tracking accuracy and robustness [10]. A depth ADRC method for AUV was feasible and effective [11]. An ADRC method was used to control the speed and heading of AUV. The simulation results showed that the nonlinear extended state observer could effectively observe the position, speed and disturbance [12]. A diving ADRC method based on improved tracking differentiator for AUV was proposed, and the simulations verified the effectiveness [13].
In 1695, Leibniz proposed fractional calculus in a letter to L’Hôpital [14]. The research on fractional calculus and its application in automatic control are increasing. In the 1990s, Podlubny conducted essential research on fractional-order proportional integral derivative (FOPID) strategy and established the beginning of fractional-order control [15]. Subsequently, FOPID controller has been widely applied in robotic manipulator, automatic voltage regulator and hydraulic turbine regulating system, hydraulic-loading system and many other fields [16,17,18].
In the last few years, some achievements have been reported in the theory and application of active disturbance rejection control based on fractional-order PID in engineering, for example the position loop control of servo system [19], the hypersonic vehicle [20,21], the speed servo system of permanent magnet synchronous motor [22], the ship servo system [23], the hydroturbine speed governor system [24], and the linear motor [25]. The mentioned literature inspires fractional calculus ADRC scheme for AUV motion control. However, this strategy has not previously been reported about motion control of AUV in the reviewed literature. The major contributions of this paper are the following:
- The fractional calculus active disturbance rejection strategy is proposed to improve the performance of AUV motion. It combines the advantages of ADRC and fractional calculus;
- The stability of fractional calculus active disturbance rejection system is proven by Lyapunov stability theorem;
- The fractional calculus active disturbance rejection is sufficiently simulated and successfully employed in heading and pitch subsystems. Experimental results and analysis demonstrate the advantages of the proposed strategy.
The rest of this paper is structured as follows. In Section 2, the motion equations of AUV in six degrees of freedom are discussed, and the decoupled equations of horizontal and vertical subsystems are derived. Section 3 is dedicated to the controller design and the stability analysis of fractional calculus ADRC heading and pitch subsystems. In Section 4, a series of numerical simulations and experiments are presented, and the comparison is analyzed and discussed in detail. Finally, Section 5 draws the key conclusions.
2. Materials and Methods
2.1. Reference Frames
The reference frames and notations are sketched in Figure 1 and Table 1. A more detailed explanation of notations and terms is available in the literature [26,27].
Figure 1.
Reference frames of AUV.
Table 1.
The notations for AUV.
2.2. Transformations between Body-Fixed and World-Fixed
The linear velocity transformation and the Euler angle transformation between body-fixed and world-fixed reference frames are defined as Equation (1) [28].
where t(·) represents tan(·), s(·) represents sin(·), c(·) represents cos(·), represents the heading angle, represents the pitch angle, and represents the roll angle. Note that the pitch angle is not defined as .
2.3. Motion Equations in Six Degrees of Freedom
The motion equations have been obtained by combining the rigid-body dynamics and kinematics equations. When deriving the motion equation it will be assumed:
- AUV is rigid;
- The Earth-fixed frame is inertial;
- AUV has homogeneous mass distribution and xz-plane symmetry;
- The origin of the body-fixed coordinate system coincides with the center of gravity.
The AUV equations of motion can be formulated in Equation (2).
The right-hand side of these formulas stands for the external forces and moments acting on the AUV. By contrast, the left-hand side stands for the AUV motion [29].
The yaw equation about the z-axis is described in Equation (8).
where m is AUV mass, L is the length of AUV, W is the gravity of AUV, h is the distance between the center of gravity and the center of buoyancy in z axis, is the propulsion force, are the rudder forces and moments, , , are the moments of inertia about x, y, and z axes, and the hydrodynamic coefficients (, , ) are listed in Appendix A.
The acceleration terms are separated from the motion equations of AUV, as shown in Equation (9) [30].
2.4. Motion Equations in the Horizontal Plane
The motion equations are usually divided into two independent subsystems, the longitudinal one and the lateral one [31]. Omitting the heave, roll, and pitch modes, the motion equations in the horizontal plane are sketched in Equation (10).
Under the assumption that AUV moves at a fixed velocity, the first equation will be eliminated. For the reason that starboard-port and fore-aft of AUV are symmetric, and . The linearized maneuvering equations are generalized in Equation (11).
where is the rudder angle, are the hydrodynamic coefficients [32].
2.5. Motion Equations in the Vertical Plane
It is assumed that u is a constant and the sway, roll, and yaw modes are neglected. Hence, the motion equations in the vertical plane are sketched in Equation (12).
The X equation can be removed since . Accordingly, the linearized maneuvering equation can be generalized in Equation (13) [33].
In view of symmetry of starboard-port, and are zero. Assume that the heave speed w is small. Therefore, a simplified form of linear model is depicted as Equation (14).
where is the stern plane angle, are the hydrodynamic coefficients, is righting moment, h presents the distance from the barycenter to the buoyant center in the z axis.
3. Controller Design
3.1. Fractional Calculus and FOPID
Fractional calculus is an extension of traditional differential and integral to arbitrary (non-integer) order. There are several definitions of fractional calculus such as Riemann–Liouville, Grünwald–Letnikov and Cauchy. Detailed explanation of fractional calculus can be learned from the literature [14]. Owing to the importance of applications, the Grünwald–Letnikov’s definition is taken into consideration, as illustrated in Equation (15). Equation (16) is an approximation of Equation (15). The coefficient is calculated by Equations (17) and (18) [26].
where is the step size, denotes the integer part of , is the integral and differential orders ().
The PID strategy is used widely in engineering, however, it is only a particular control point of the quarter-plane as shown in Figure 2. Clearly, = 1 and = 1 give a traditional PID controller. The description of fractional order PID controller in time domain is given by Equation (19).
where are the proportional, integral, and differential coefficients of fractional order PID controller, respectively. and are the integral and differential order, respectively.
Figure 2.
Fractional order PID vs. PID control plane.
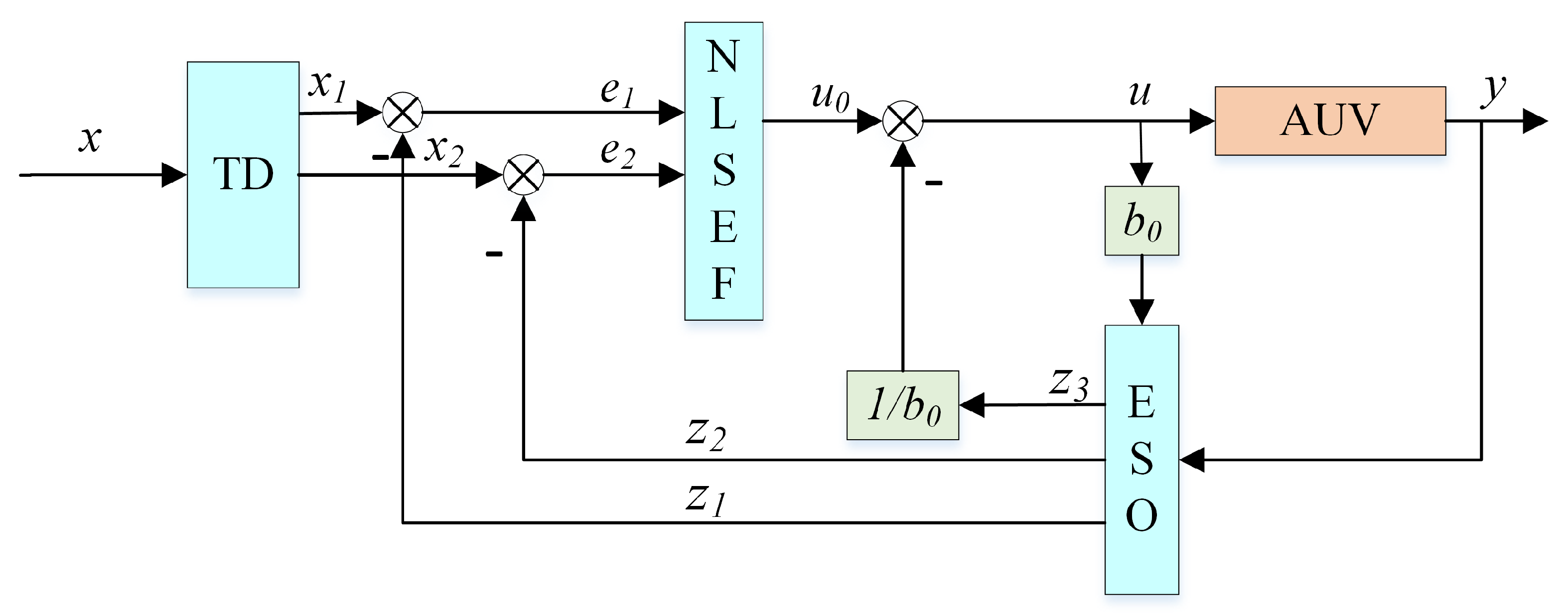
3.2. ADRC Method
ADR controller consists of three parts: tracking differentiator (TD), extended state observer (ESO), and nonlinear state error feedback (NLSEF) [34], as illustrated in Figure 3.
Figure 3.
Basic structure of ADRC.
TD deals with the transition process and attains an approximation of differentiation by solving differential equations (see Equation (21)).
The function of is explained in detail in Equation (22).
where is the sign function, r is the parameter of controller, and is the sampling period. r and can be adjusted separately in terms of the rise time and smoothness.
The system state and total disturbance are estimated according to the input and output information of plant from inside or outside in real time. The description of ESO is given by Equation (23).
where , is employed to evaluate the total disturbance, are the observer coefficients. (, , , ).
The nonlinear function is explained in Equation (24).
where are variable parameters.
Equation (25) presents the nonlinear state error feedback law.
where is the compensation factor; and are the coefficients (, ).
3.3. Fractional Calculus ADRC Strategy
In order to overcome the shortcomings of slow closed-loop response and long adjustment time, the fractional calculus is introduced to the nonlinear state error feedback. The heading and pitch subsystems of fractional calculus ADRC are designed in the following sections.
3.3.1. Heading Subsystem of Fractional Calculus ADRC
The structure of heading system of fractional calculus ADRC is described in Figure 4.
Figure 4.
Block diagram of heading system of fractional calculus ADRC.
The transient process is arranged with respect to desired heading . follows the desired heading and is the differentiation of [12].
According to the output signal and the input signal (rudder angle) of AUV, state is estimated by , state is estimated by , and estimates the total disturbance acting on AUV.
The fractional calculus is introduced into nonlinear state error feedback law due to . is compensated by .
where is the desired heading angle (input), is the nonlinear states error feedback, is the proportional coefficient, is the integral coefficient, is the differential coefficient, and are the integral and differential orders, respectively.
3.3.2. Pitch Subsystem of Fractional Calculus ADRC
It is similar to the heading subsystem. Based on the diving model Equation (14), the pitch subsystem is designed in Figure 5.
where is the desired pitch angle (input), is the nonlinear states error feedback, is the proportional coefficient, is the integral coefficient, is the differential coefficient, and are the integral and differential orders, respectively.
Figure 5.
Block diagram of pitch subsystem of fractional calculus. is the actual pitch angle and is the stern rudder angle.
3.4. Stability of Fractional Calculus ADRC Subsystem
For the heading subsystem of fractional calculus ADRC (see Equation (11)), , the equations of nonlinear state error feedback can be illustrated in Equation (30).
Assuming that , . represents the unknown disturbances ().
Lemma 1.
, is the self-stable region [35].
Proof.
If , such that
. Time differentiation of yields:
□
Hence, Lemma 1 is complete.
Theorem 1.
For the heading subsystem of fractional calculus ADRC, if the system satisfies
then the system is stable.
Proof.
If , time differentiation of yields
Substituting Equation (36) into the above expression yields:
Substituting Equation (35) into the above expression yields . □
Consider the Lyapunove function candidate:
Differentiating with respect to time yields:
If , such that , the heading subsystem of fractional calculus ADRC is stable.
The stability condition of the heading system of fractional calculus ADRC is explained in Equation (38).
The proofs of the pitch subsystem of fractional calculus ADRC are notably similar to that of the heading subsystem, and they are omitted.
4. Experiment Result and Analysis
The computer simulations and experiments have been used to evaluate the performance and robustness of PID, ADRC, and fractional calculus ADRC. A more detailed discussion on these three methods is presented in the following sections.
4.1. Simulations of Heading Subsystem
The comparisons of step response for heading subsystem using PID, ADRC, and fractional calculus ADRC are illustrated in Figure 6. The results are summarized in Table 2. Note that the resulting notions of root mean square and steady-state error will be abbreviated as RMSE and SSE, respectively. The fractional calculus ADRC strategy has shorter settling time and rise time than ADRC and PID. From this, we can see that fractional calculus ADRC can achieve fast response speed under the same overshoot and SSE.
Figure 6.
Step response of heading subsystem via PID, ADRC, and fractional calculus ADRC.
Table 2.
Parameter index of step and pulse for heading subsystem.
The white noise response of heading subsystem is illustrated in Figure 7. When the input signal changes continuously, ADRC and fractional calculus ADRC strategies can rapidly track the desired heading. From the plot of partial enlargement, the results clearly demonstrate that PID cannot satisfy the tracking objective. The performance of ADRC is worse than fractional calculus ADRC.
Figure 7.
Comparisons of white noise of heading subsystem via PID, ADRC, and fractional calculus ADRC.
The disturbances should be considered when designing motion controllers for AUV, which is particularly important to evaluate performance and robustness. Therefore, the wave forces are introduced into the heading subsystem [27]. Figure 8 shows the result of computer simulation of the wave forces.
Figure 8.
Simulation of the wave forces.
Table 3 reports the maximum, minimum, and RMSE of the heading subsystem with these three methods. As shown in Figure 9, the heading angle of PID varies from 7.2291 to 8.7441, which fluctuates by as much as 1.515. PID is more sensitive to the external disturbance. The heading angle of ADRC ranges from 7.6562 to 8.3081, and the heading angle of fractional calculus ADRC ranges from 7.8919 to 8.1169. They fluctuate within a narrow range. The RMSE decreases by approximately and , respectively. ADRC is less sensitive to the external disturbance than PID, whereas fractional calculus ADRC is less sensitive than ADRC. The simulations indicate that both ADRC and fractional calculus ADRC can effectively reject the disturbance.
Table 3.
Parameter index of controllers in presence of disturbance for heading subsystem (Unit: ).
Figure 9.
Comparisons of heading subsystemvia PID, ADRC, and fractional calculus ADRC in presence of disturbance.
4.2. Simulations of Pitch Subsystem
The step response of pitch subsystem using PID, ADRC, and fractional calculus ADRC is sketched in Figure 10. Table 4 lists the overshoot, rise time, settling time, and SSE. To compare with the performance of controllers, the overshoot and SSE should be maintained at the same value. It is easily obtained that the fractional calculus ADRC strategy has the shortest rise time and settling time.
Figure 10.
Step response of pitch subsystem via PID, ADRC, and fractional calculus ADRC.
Table 4.
Parameter index of step response for pitch subsystem.
The white noise response of pitch subsystem using PID, ADRC, and fractional calculus ADRC is illustrated in Figure 11. When the input signal changes continuously, the FOADRC strategy can rapidly track the desired pitch angle. From the plot of partial enlargement, the fractional calculus clearly improves the response speed.
Figure 11.
Comparisons of white noise of pitch subsystem via PID, ADRC, and fractional calculus ADRC.
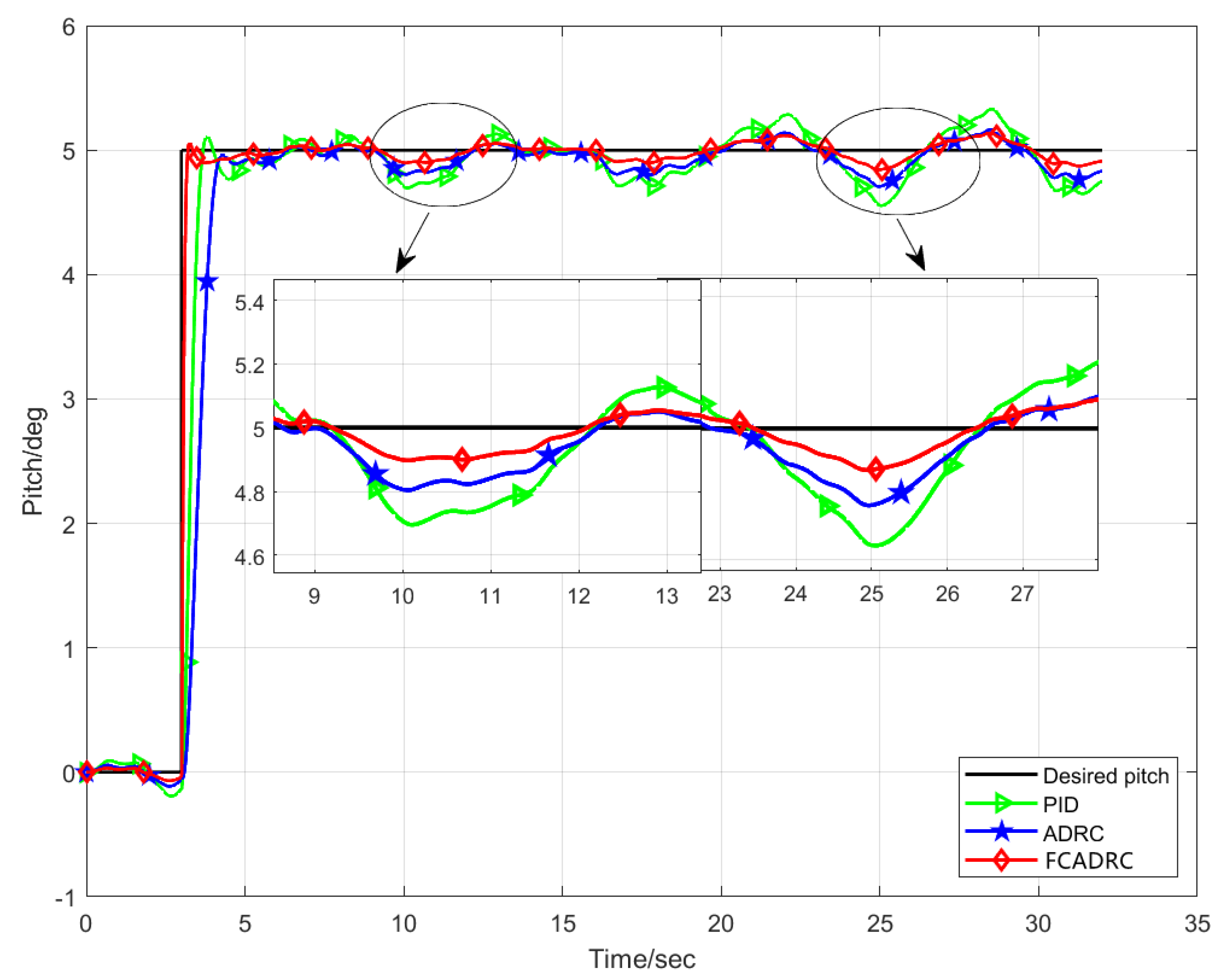
The same disturbance is introduced into pitch subsystem (see Figure 8). The maximum, minimum and RMSE of PID, ADRC, and fractional calculus ADRC are reported in Table 5. The desired pitch angle is 5. Figure 12 provides a whole picture of comparison between controllers. The pitch angle of PID varies from 4.5560 to 5.3304, the pitch angle of ADRC ranges from 4.7102 to 5.1641, and the pitch angle of FOADRC ranges from 4.8422 to 5.1371. The fluctuation of pitch angle decreases by less than and , respectively. The results of pitch and heading subsystems are similar. The fractional calculus ADRC is the least sensitive to the external disturbance. It is further confirmed that fractional calculus ADRC has excellent performance and robustness for pitch subsystems.
Table 5.
Performance index of controllers in the presence of disturbance for pitch subsystem (Unit: ).
Figure 12.
Comparisons of pitch subsystem via PID, ADRC, and fractional calculus ADRC in the presence of disturbance.
4.3. Experiments
According to the computer simulations, the disturbance rejection capability of PID is inferior to ADRC and fractional calculus ADRC. Therefore, the ADRC and fractional calculus ADRC strategies were tested on the AUV in sea state 4. The weight of Sailfish is 260 kg. The length and diameter are 3.8 m and 32.4 cm, respectively. It is equipped with AHRS (Attitude and Heading Reference System), DVL (Doppler Velocity Log), GPS (Global Positioning System), SONAR (Sound Navigation and Ranging), and so on, as shown in Figure 13. The hardware of control system is an Intel(R) core(TM) i7 Industrial Personal Computer CM920 that has 4 GB of ram, Ubuntu 16.04 operating system, and MOOS-IvP (Mission Oriented Operating Suite-Interval Programming) software system. The sea trial was conducted on 29 October 2019, in Qingdao. It was sunny, the velocity of north wind was 10–12 km, and the ocean waves were 1.25–2.5 m high.
Figure 13.
AUV.
4.3.1. Heading Subsystem
The fractional calculus ADRC strategy was validated experimentally in the heading subsystem of AUV. The desired heading angle was 120. The cruise speed of AUV was 1.5 m/s, and the propeller speed was about 3300 r, as shown in Figure 14. The maximum of rudder angles was 115, and the minimum is 35. At the beginning, the rudder reached the maximum and maintained it for a few seconds. The rudder angle decreased to approximately 75 gradually when the current heading closed to the desired heading (see Figure 15). The control parameters of ADRC and fractional calculus ADRC are listed in Table 6 and Table 7.
Figure 14.
Propeller speed.
Figure 15.
Comparison of the rudder angles.
Table 6.
Control parameters of heading angle via ADRC.
Table 7.
Control parameters of heading angle via fractional calculus ADRC.
The results of ADRC and fractional calculus ADRC on sea trial are depicted in Table 8 and Figure 16. There was a decrease in steady-state error of and overshoot of . The results indicate the better performance and robustness of fractional calculus ADRC.
Table 8.
Parameter list of heading angle via ADRC and fractional calculus ADRC.
Figure 16.
Comparison of heading angle via ADRC and fractional calculus ADRC.
Table 9 reports the results of steady-state errors in simulation and sea trial. It is the ideal condition in simulation, but not on sea trial. The assumptions in Section 2.3 cannot be satisfied absolutely. It is similar to depth subsystem.
Table 9.
Steady-state error of heading angle in simulation and sea trial (Unit: ).
4.3.2. Depth Subsystem
The fractional calculus ADRC strategy was validated experimentally in the depth subsystem of AUV. The desired depth is 3 m. The control parameters of ADRC and fractional calculus ADRC are reported in Table 10 and Table 11. The results of fractional calculus ADRC and ADRC on sea trial were sketched in Figure 17. The overshoot, settling time, RMS, and SSE were tabulated in Table 12. The steady-state error of ADRC was more than twice that of fractional calculus ADRC, which decreased by 64%. The sea trial substantiated that fractional calculus ADRC is superior to ADRC.
Table 10.
Control parameters of depth via ADRC.
Table 11.
Control parameters of depth via fractional calculus ADRC.
Figure 17.
Depth via ADRC and fractional calculus ADRC.
Table 12.
Parameter list of depth via ADRC and fractional calculus ADRC.
Figure 18 and Figure 19 show the comparisons of pitch angle and stern rudder using ADRC and FOADRC. For AUV sailing at constant depth, the pitch angle and stern rudder should be kept constant or changed in a small range. In the beginning, the pitch angle should be large enough to dive. However, the pitch angle of ADRC was too small to dive. It cannot reach the desired depth. It is clear that fractional calculus ADRC works better than ADRC.
Figure 18.
Pitch angle via ADRC and fractional calculus ADRC.
Figure 19.
Stern rudder via ADRC and fractional calculus ADRC.
5. Conclusions
This paper proposed a fractional calculus ADRC strategy for AUV heading and pitch subsystems, and the stability of heading system of fractional calculus ADRC is proven by Lyapunov stability theorem. This strategy is sufficiently simulated and successfully employed in heading and pitch subsystems on sea trial. This method has smaller steady-state error, settling time, and overshoot than ADRC and PID. The numerical simulations and experimental result indicated the better performance and robustness of fractional calculus ADRC. It can restrain the disturbance effectively and improve the response speed.
In the future, the fractional calculus ADRC statergy will be designed for path following, and the controller parameters can be adjusted automatically.
Author Contributions
Conceptualization, Y.Z. and J.W.; methodology, J.W. and Y.S.; software, H.L. and J.Y.; validation, J.W., J.Y. and H.L.; writing—original draft preparation, J.W.; writing—review and editing, H.W. and H.Z. All authors have read and agreed to the published version of the manuscript.
Funding
This document is the result of the research project funded by Natural Science Foundation of Shandong (ZR202102180742) and Shandong Key Contribution Projects of Science and Technology (2018YFJH0705).
Institutional Review Board Statement
The study did not involve humans or animals.
Informed Consent Statement
The study did not involve humans.
Data Availability Statement
The study did not report any data.
Conflicts of Interest
The authors declare no conflict of interest.
Abbreviations
The following abbreviations are used in this manuscript:
| AUV | Autonomous Underwater Vehicle |
| FOPID | Fractional-Order Proportional Integral Derivative |
| ADRC | Active Disturbance Rejection Control |
| FCADRC | Fractional Calculus Active Disturbance Rejection Control |
Appendix A
Table A1.
Hydrodynamic coefficients of AUV.
Table A1.
Hydrodynamic coefficients of AUV.
| Coefficient | Value | Coefficient | Value | Coefficient | Value |
|---|---|---|---|---|---|
| −6.6978 × 10 | −6.6483 × 10 | −6.6978 × 10 | |||
| 6.6883 × 10 | 0 | 0 | |||
| −3.0340 × 10 | −1.0291 × 10 | −1.1766 × 10 | |||
| 1.0291 × 10 | 0 | 0 | |||
| −1.1766 × 10 | 0 | 3.0340 × 10 | |||
| 1.199 × 10 | 2.7256 × 10 | 2.2817 × 10 | |||
| 0 | −2.2343 × 10 | 2.6375 × 10 | |||
| 0 | 0 | −5.4042 × 10 | |||
| −1.1 × 10 | −5.4980 × 10 | −3.7794 × 10 | |||
| 0 | −3.7010 × 10 | 0 | |||
| 0 | −5.1604 × 10 | 0 | |||
| 0 | 0 | −5.3394 × 10 | |||
| 0 | 1.1171 × 10 | 3.4854 × 10 | |||
| 0 | 0 | 6.4403 × 10 | |||
| 0 | −6.2280 × 10 | 0 | |||
| 6.6483 × 10 | 3.2467 × 10 | −2.5449 × 10 | |||
| 6.6154 × 10 | −1.7846 × 10 | 0 | |||
| −1.756 × 10 | 0 | 0 | |||
| 0 | 1.3947 × 10 | 0 | |||
| −6.6483 × 10 | −6.2280 × 10 | −1.3979 × 10 | |||
| 0 | −5.4811 × 10 | 5.5969 × 10 | |||
| −3.1629 × 10 | 0 | 0 | |||
| 2.79 × 10 | 0 | 1.1408 × 10 | |||
| 3.1629 × 10 | 0 | 0 | |||
| 1.475 × 10 | 0 | 6.6483 × 10 |
References
- Sarhadi, P.; Noei, A.R.; Khosravi, A. Model reference adaptive autopilot with anti-windup compensator for an autonomous underwater vehicle: Design and hardware in the loop implementation results-ScienceDirect. Appl. Ocean. Res. 2017, 62, 27–36. [Google Scholar] [CrossRef]
- Yu, C.; Xiang, X.; Wilson, P.A.E.A. Guidance-Error-Based Robust Fuzzy Adaptive Control for Bottom Following of a Flight-Style AUV With Saturated Actuator Dynamics. IEEE Trans. Cybern. 2019, 50, 1887–1899. [Google Scholar] [CrossRef]
- Vu, M.T.; Thanh, H.L.N.N.; Huynh, T.T.; Do, Q.T.; Do, T.D.; Hoang, Q.D.; Le, T.H. Station-Keeping Control of a Hovering Over-Actuated Autonomous Underwater Vehicle Under Ocean Current Effects and Model Uncertainties in Horizontal Plane. IEEE Access 2021, 9, 6855–6867. [Google Scholar] [CrossRef]
- Xia, G.; Zhang, Y.; Zhang, W.; Chen, X.; Yang, H. Dual closed-loop robust adaptive fast integral terminal sliding mode formation finite-time control for multi-underactuated AUV system in three dimensional space. Ocean. Eng. 2021, 233, 108903. [Google Scholar] [CrossRef]
- Rojsiraphisal, T.; Mobayen, S.; Asad, J.H.; Vu, M.T.; Chang, A.; Puangmalai, J. Fast Terminal Sliding Control of Underactuated Robotic Systems Based on Disturbance Observer with Experimental Validation. Mathematics 2021, 9, 1935. [Google Scholar] [CrossRef]
- Mashhad, A.M.; Mashhadi, S.K.M. H infinity robust controller comparison with PD like fuzzy logic controller for an AUV control. In Proceedings of the Iranian Joint Congress on Fuzzy & Intelligent Systems, Zahedan, Iran, 9–11 September 2015. [Google Scholar] [CrossRef]
- Khodayari, M.H.; Balochian, S. Modeling and control of autonomous underwater vehicle (AUV) in heading and depth attitude via self-adaptive fuzzy PID controller. J. Mar. Sci. Technol. 2015, 20, 559–578. [Google Scholar] [CrossRef]
- Liu, F.; Shen, Y.; He, B.; Wan, J.; Wang, D.; Yin, Q.; Qin, P. 3DOF Adaptive Line-Of-Sight Based Proportional Guidance Law for Path Following of AUV in the Presence of Ocean Currents. Appl. Sci. 2019, 9, 3518. [Google Scholar] [CrossRef] [Green Version]
- Han, J. From PID to Active Disturbance Rejection Control. IEEE Trans. Ind. Electron. 2009, 56, 900–906. [Google Scholar] [CrossRef]
- Kang, S.; Rong, Y.; Chou, W. Antidisturbance Control for AUV Trajectory Tracking Based on Fuzzy Adaptive Extended State Observer. Sensors 2020, 20, 7084. [Google Scholar] [CrossRef]
- Chen, T.; Zhang, W.; Zhou, J.; Yu, H.E.A. Depth control of AUV using active disturbance rejection controller. In Proceedings of the 33rd Chinese Control Conference, Nanjing, China, 28–30 July 2014. [Google Scholar] [CrossRef]
- Li, J.; Ming, K.; Farouk, N.E.A. Horizontal plane motion control of AUV based on active disturbance rejection controller. In Proceedings of the 2015 27th Chinese Control and Decision Conference (CCDC), Qingdao, China, 23–25 May 2015. [Google Scholar] [CrossRef]
- Shen, Y.; Shao, K.; Ren, W.E.A. Diving control of Autonomous Underwater Vehicle based on improved active disturbance rejection control approach. Neurocomputing 2016, 173, 1377–1385. [Google Scholar] [CrossRef]
- Vilanova, R.; Visioli, A. PID Control in the Third Millennium; Springer: London, UK, 2012. [Google Scholar] [CrossRef]
- Podlubny, I. Fractional-order systems and PIλ Dμ controllers. IEEE Trans. Autom. Control 1999, 44, 208–214. [Google Scholar] [CrossRef]
- Angel, L.; Viola, J. Fractional order PID for tracking control of a parallel robotic manipulator type delta. ISA Trans. 2018, 79, 172–188. [Google Scholar] [CrossRef] [PubMed]
- Dabiri, A.; Moghaddam, B.P.; Machado, J.A.T. Optimal variable-order fractional PID controllers for dynamical systems. J. Comput. Appl. Math. 2018, 339, 40–48. [Google Scholar] [CrossRef]
- Wang, N.; Wang, J.; Li, Z.; Tang, X.; Hou, D. Fractional-Order PID Control Strategy on Hydraulic-Loading System of Typical Electromechanical Platform. Sensors 2018, 18, 3024. [Google Scholar] [CrossRef] [Green Version]
- Huang, J.; Ma, P.; Bao, G.; Gao, F.; Shi, X. Research on Position Servo System Based on Fractional-order Extended State Observer. IEEE Access 2020, 8, 102748–102756. [Google Scholar] [CrossRef]
- Qin, C.; Qi, N.; Lü, R.; Zhu, K. ADRC fractional order PID controller design of hypersonic flight vehicle. Trans. Nanjing Univ. Aeronaut. Astronaut. 2011, 28, 240–245. [Google Scholar]
- Song, J.; Wang, L.; Cai, C.; Qi, X. Nonlinear fractional order proportion-integral-derivative active disturbance rejection control method design for hypersonic vehicle attitude control. Acta Astronaut. 2015, 111, 160–169. [Google Scholar] [CrossRef]
- Wen, J.P. Fractional Order Nonlinear Feedback Controller Design for PMSM Drives. Math. Probl. Eng. 2013, 2013, 301–312. [Google Scholar] [CrossRef]
- Sun, J.F.; Shan, L.; Qi, Z.D.E.A. Fractional order ADRC algorithm to ship servo system. In Proceedings of the 2016 35th Chinese Control Conference (CCC), Chengdu, China, 27–29 July 2016. [Google Scholar] [CrossRef]
- Fang, H.; Yuan, X.; Liu, P. Active-disturbance-rejection-control and fractional-order-proportional-integral-derivative hybrid control for hydroturbine speed governor system. Meas. Control J. Inst. Meas. Control 2018, 51, 192–201. [Google Scholar] [CrossRef] [Green Version]
- Shi, X.; Chen, Y.; Huang, J. Application of fractional-order active disturbance rejection controller on linear motion system. Control Eng. Pract. 2018, 81, 207–214. [Google Scholar] [CrossRef]
- Junhe, W.; Bo, H.; Dianrui, W.E.A. Fractional-order PID Motion Control for AUV Using Cloud-model-based Quantum Genetic Algorithm. IEEE Access 2019, 7, 124828–124843. [Google Scholar] [CrossRef]
- Fossen, T.I. Handbook of Marine Craft Hydrodynamics and Motion Control; John Wiley & Sons, Ltd.: Hoboken, NJ, USA, 2016. [Google Scholar] [CrossRef]
- Fossen, T.I. Mathematical Models of Ships and Underwater Vehicles. In Encyclopedia of Systems and Control; Baillieul, J., Samad, T., Eds.; Springer: London, UK, 2013; pp. 1–9. [Google Scholar] [CrossRef]
- Prestero, T. Development of a six-degree of freedom simulation model for the REMUS autonomous underwater vehicle. In Proceedings of the MTS/IEEE Oceans 2001, An Ocean Odyssey. Conference Proceedings (IEEE Cat. No.01CH37295), Honolulu, HI, USA, 5–8 November 2001. [Google Scholar] [CrossRef]
- Nahon, M. A simplified dynamics model for autonomous underwater vehicles. In Proceedings of the Symposium on Autonomous Underwater Vehicle Technology, Monterey, CA, USA, 2–6 June 1996; pp. 373–379. [Google Scholar] [CrossRef]
- Evans, J.; Nahon, M. Dynamics modeling and performance evaluation of an autonomous underwater vehicle. Ocean. Eng. 2004, 31, 1835–1858. [Google Scholar] [CrossRef] [Green Version]
- Singh, Y.; Bhattacharyya, S.K.; Idichandy, V.G. CFD approach to modelling, hydrodynamic analysis and motion characteristics of a laboratory underwater glider with experimental results. J. Ocean. Eng. Sci. 2017, 2, 90–119. [Google Scholar] [CrossRef]
- Wan, J.; He, B.; Shen, Y. Heading multi-mode control based on soft-switching for autonomous underwater vehicle. Ocean Eng. 2018, 164, 672–682. [Google Scholar] [CrossRef]
- Huang, Y.; Xue, W. Active disturbance rejection control: Methodology and theoretical analysis. ISA Trans. 2014, 53, 963–976. [Google Scholar] [CrossRef] [PubMed]
- Yi, H.; Han, J. The Self-stable Region Approach for Second Order Systems. Syst. Sci. Math. Sci. 1999, 12, 238–245. [Google Scholar]
Publisher’s Note: MDPI stays neutral with regard to jurisdictional claims in published maps and institutional affiliations. |
© 2021 by the authors. Licensee MDPI, Basel, Switzerland. This article is an open access article distributed under the terms and conditions of the Creative Commons Attribution (CC BY) license (https://creativecommons.org/licenses/by/4.0/).


















