Abstract
The Next Generation Subsea Production System (NextGen SPS) is considered as a competitive alternative system used for offshore petroleum production in ultra-deep sea based on the artificial seabed technology. The Immersed Buoyant Platform (IBP), which is located at a constant depth below the free surface of the water to minimize wave loading, provides a buoyant stable platform for supporting the well completion equipment. Therefore, the hydrodynamic characteristics of IBP in the currents play an essential role in determining the global responses of NextGen SPS. In this paper, aiming at acquiring an optimum structural form of IBP, the hydrodynamic characteristics of the flow past the cylindrical IBP with different height-to-diameter ratios are systematically investigated by use of the large eddy simulation (LES) approach. The simulations with fifteen different height-to-diameter ratios () are investigated. The Reynolds numbers are ranged from to . It can be verified that the separated fluid reattaches on the surface of the cylinder when the aspect ratio is between 0.1 and 0.4. Due to the specific shape ratio and obvious 3D effect of the cylindrical IBP, no significant vortex shedding has been clearly observed when the aspect ratio is between 0.1 and 0.4. In the case of , a series of regular and alternating vortex street shedding appear behind the circular cylinder. The simulation results also show that the recirculation region length behind the cylindrical IBP can be significantly reduced with the decreasing aspect ratio. It can be concluded that the cylindrical IBP performs the best hydrodynamic characteristics when the aspect ratio is between 0.3 and 0.4. The research findings will be of great significance to providing valuable reference and foundation to determine the optimum form of underwater structures, such as the buoyancy cans of the hybrid riser system.
1. Introduction
1.1. Background
Currently, offshore oil exploration is gradually developing into ultra-deep sea. Therefore, innovative ocean engineering equipment are naturally required to deal with the great challenges brought by extreme depth and severe environment in ultra-deep sea. In this scenario, Zhen et al. [1,2] put forward the NextGen SPS concept, which can be used to conduct as the Subsurface Well Completion (SWC) system for offshore petroleum production in ultra-deep sea. IBP as the key equipment of this system provides a buoyant stable platform, which is located at 300 m below the mean water level to minimize direct wave loading. Thus, the form of the IBP has an critical effect on the hydrodynamic loads that act on the IBP from current. The initial form of the IBP is circular cylinder. However, it is widely believed that the aspect ratio of the circular cylinder has the main impact on the vortex shedding and the forces acting on cylinders. The drag force, lift force and Strouhal number, which define the hydrodynamic characteristics, vary with the aspect ratio.
NextGen SPS [3] is an innovative concept that can be used to implement the extraction and exporting of subsea oil. This system mainly consists of the following four parts: the IBP that is tethered perpendicularly, SWC equipment, flexible jumpers and rigid risers, as shown in Figure 1. The IBP supplies a buoyant stable platform for carrying the SWC equipment and rigid risers. The IBP [4] is located at a constant depth below the free surface of the water to minimize wave loading and reduce the influence of surface flow field. In addition, the IBP is jointed to the Floating Production Unit (FPU) through flexible jumpers. Flexible jumpers play the role of decoupling the IBP from the motion of FPU with the shape of catenary.
Figure 1.
Sketch of the NextGen SPS.
The mooring system [5] of NextGen SPS consists of four vertically tensioned mooring ropes, which are fixed in the seabed by suction piles. The mooring system provides the stability of the IBP and reduces the tension forces on rigid risers.
As mentioned above, the NextGen SPS offers specific advantages as follows:
(1) The presence of the IBP takes up the huge riser loads and reduces the dynamic loads and the main dimensions of FPU.
(2) The IBP is located at a constant depth below the free surface of the water to circumvent the surface wave and flow.
(3) The joint production of multiple wells on the seabed can be implemented.
(4) The existence of the flexible jumpers reduces the fatigue damage of the structure.
(5) The SWC is mounted on the IBP, which reduces the requirements of the capability for the SWC.
(6) Under extreme sea conditions, the FPU can be disengaged from the IBP quickly to enhance the security of production.
As we can see, the IBP is the most important part of the NextGen SPS. The structural form of the IBP has great influence on the hydrodynamic performance of the system. With regard to the best hydrodynamic behavior of such novel concept, the IBP has been developed featuring cylindrical shape. However, the height-to-diameter ratio of the cylindrical buoy needs to be ascertained and investigated, because the height-to-diameter ratio of the circular cylinder will affect the distribution of wake field and the forces acting on the cylinder. With this background, there is a strong need to study the hydrodynamic behavior of the circular cylinders with different aspect ratios in order to acquire the optimum structural form of the IBP.
1.2. Relevant Research Works and Objective
There are many factors that affect the wake of the circular cylinder, vortex shedding is one of the most significant characteristics which can affect the vibration of the structures. Many researchers have done lots of studies to explore the mechanism of vortex shedding and the wake characteristics. Naudascher and Wang [6] classified and defined vortex shedding generated behind the structures as three types when the direction of the incident flow was zero. However, the aspect ratio of the circular cylinder is the most predominant factor affecting the vortex shedding and the distribution of pressure on the surface of cylinder. In experiments, one of the most important experiments was conducted by Adaramola et al. [7] to study the wake field of circular cylinders with four different aspect ratios. They found that the characteristics of wake were similar when the aspect ratio was 9, 7 and 5, respectively. However, in the case of the aspect ratio of the cylinder was 3, the wake structure was apparently different. Krajnović [8] studied the near wake flow, far wake flow and vortex shedding of the circular cylinder with aspect ratio of 6. He found that the vortices formed behind the cylinder were unstable, and their shape changed as time went on. Okamoto and Yagita [9] measured the surface pressure distributions in order to gain the drag coefficient, by varying the aspect ratio from 1 to 12.5. It is found that the position of the separation point forwarded as the aspect ratio decreased. In addition, the drag coefficient changed greatly when varied from 6 to 7 because a vortex street did not appear at . The frequency of the vortex shedding was depended on both and Reynolds number. Sakamoto and Arie [10] described experimentally the vortex shedding of the rectangular prism and the circular cylinder to study the impact of the aspect ratio on these two structures. They observed that the shape of the vortex shedding changed when the aspect ratio reached a critical value. Okamoto and Sunabashiri [11] carried out experiments to study the drag coefficient, type of vortices and the recirculation region of circular cylinders with aspect ratios of 0.5, 1, 2, 4, 7 and 23.75. The results indicated that the drag coefficient increased with the increasing aspect ratio. The vortices generated behind the circular cylinder were symmetrical when the aspect ratio was in the case of 1 and 2. It was shown that the length of the recirculation region enlarged with the increasing aspect ratio of cylinder.
At present, there are large amount of studies that are conducted to investigate the factors affecting the patterns of vortex behind the cylinder, such as the aspect ratio, the effect of free end surface and the effect of boundary layer. Wang and Zhou [12] investigated the flow structure of near wake of the square cylinder by experimental method. The aspect ratio of the cylinder ranged from 3 to 7. The results indicated that the vortex shedding behind the cylinder was greatly affected by the downwash and upwash of the free end. In addition, the length of the recirculation region varied with the aspect ratio of the cylinder. Wang et al. [13] investigated the impact of the aspect ratio on the drag force of the cylinder under two different states of subcritical and critical. They found that the drag coefficient and the Strouhal number reduced with the decreasing aspect ratio, especially when the aspect ratio was greater than 5. Tsutsui [14] studied the surface pressure distribution, flow visualization and fluid force of a cylindrical structure, by varying the aspect ratio from 0.125 to 1.0. The experimental results gave the empirical formulas of the drag coefficient and the lift coefficient by considering the boundary layer thickness and the aspect ratio.
Afgan et al. [15] investigated the velocity distribution, pressure distribution and the drag and lift forces of the cylinder when the aspect ratio was in the case of 6 and 10. They found that the influence of the downwash became more apparent when the aspect ratio was smaller. In addition, the downwash changed the pressure distribution behind the cylinder, which in turn changed the drag and lift forces of the cylinder. Gonçalves et al. [16,17] carried out experiments to show the force measurements and PIV measurements of the circular cylinders with eight different aspect ratios. It is found that the drag coefficient and the Strouhal number reduced as the aspect ratio decreased. The oscillation force caused by the vortex shedding could no longer be observed when the aspect ratio was less than 0.2. In addition, they conducted other experiments which studied the response amplitudes of the circular cylinders with several different aspect ratios and mass ratios. They found that the transverse response reached its maximum value when the aspect ratio was 2.0 and reduced as the aspect ratio decreased. Zhao and Cheng [18] studied the effect of the aspect ratio on the response amplitude and response frequency of circular cylinders of = 1, 2, 5, 10, and 20 numerically. They found that the vortex shedding was no longer observed when the aspect ratio was in the case of 1 and 2. In addition, the flow characteristics of circular cylinders with aspect ratios of 5, 10, and 20 changed a lot along the downstream direction. Yu and Kareem [19] conducted a study to analysis the velocity field and pressure field of rectangular prisms by numerical method. It was demonstrated that the reattachment of the flow occurred when the aspect ratio was in the case of 1:3 and 1:4. Yeon et al. [20] also focused on numerical method to investigate the mean flow field and instantaneous flow field of the circular cylinder. In their research, the instantaneous flow field performed more complicated for the high aspect ratio ( = 8). The mean flow field became messy and no vortex shedding was observed for the low aspect ratio ( = 2). They also found that the main reason for the variation of the drag force was the redistribution of the pressure on the surface of cylinder. Vakil and Green [21] carried out computer simulations to study the drag and lift coefficients of circular cylinders of = 2, 5, 10, and 20. The results indicated that the lift coefficient increased and the drag coefficient decreased with the increasing aspect ratio when this ratio was less than 10. Rostamy et al. [22] established the PIV method to study the upstream flow field and the near wake flow field of circular cylinders of = 3, 5, 7, and 9. They found that the position of reattachment of the separated flow on the surface of the cylinder varied with the aspect ratio. In addition, significant recirculation zone was observed behind the cylinder for all four aspect ratios. Lee et al. [23] modeled the flow around a cylinder with high aspect ratio and another cylinder with low aspect ratio to study the flow characteristics. The simulation results showed that the intensity of the downwash and the vortex shedding behind the high aspect ratio cylinder was much stronger than that of the low aspect ratio cylinder. Palau-Salvador et al. [24] also presented the vortex shedding, the time averaged flow and the instantaneous flow around the circular cylinder with two aspect ratios. They found that the vortex shedding was observed along the whole length of the high aspect ratio cylinder while for the low aspect ratio cylinder this phenomenon occurred only near the ground.
Although there are abundant previous works on the flows around circular cylinders with different aspect ratios, the optimal value of the aspect ratio has not been studies as yet. Few studies have been done to investigate the flow structure of the circular cylinders with excessive low aspect ratio varies from 0 to 1.0. Therefore, it is necessary to investigate the determination of the optimal value of the aspect ratio. In this scenario, the destination of this paper is to study the hydrodynamic characteristics of the circular cylinders based on NextGen SPS concept to acquire an optimum structural form of the IBP.
1.3. Arrangement of Paper
This article consists of the following parts: Section 1 presents the components and the specific advantages of NextGen SPS. Section 2 describes the numerical model and method which are used in this article in detail. In Section 3, several cases are simulated with different mesh densities for the purpose of ensuring that the mesh independent is achieved, and a comparison between the simulations of this article and the results of previous experiments is made to examine the computational accuracy. The average quantities, the vortex shedding, the flow visualization and the recirculation region length are discussed in Section 4. The main conclusions are summarized in the last section.
2. Numerical Model and Method
2.1. Governing Equations
In this work, the LES is used for the numerical simulation. In the LES approach, the large scale turbulences are spatially computed, while the small scale turbulences are solved by the SGS model. The Navier–Stokes equations for the incompressible viscous flow can be described as:
In the equations, 1,2,3, is the water density, is the time, is the kinematic viscosity, represents the streamwise direction, transverse direction and vertical direction when i is 1, 2 and 3, respectively, is the velocity vector, is the pressure, represents the non-resolvable subgrid stress.
Equations (1) and (2) are the results of filtering of the Navier–Stokes equations. The filtering coefficient is written as:
where stands for ( etc.…), V is the size of geometric space occupied by the control volume.
The quantity , called subgrid scale (SGS) stress tensor, quantifies the effect of the small-scale eddies. In order to model the SGS stress tensor, the Boussinesq approximation is used:
where is the Kronecker delta function and is the SGS viscosity. The takes into account the pressure term. The strain rate tensor can be written as:
where .
The SGS viscosity is modeled by the following expressions:
where is the mixing length for the SGS model, is the von Karman constant , is the minimum distance to the wall, is the Smagorinsky constant, is the filtering grid scale. The value of the Smagorinsky constant is found to vary from 0.1 to 0.12 for good results of a wide range of flows. In this work of simulation, was selected as 0.1 for LES of turbulence. Equations (3)–(9) mentioned above are all dimensionless. The Reynolds number is defined as , where D is the characteristic length of the cylinder. A total of fifteen different aspect ratios of circular cylinders have been simulated in this paper. During this process, the volume of the circular cylinder remains constant. Therefore, these cylinders have different characteristic lengths and hence different Reynolds numbers. The Reynolds numbers are ranged from to .
2.2. Numerical Scheme
In this article, the finite volume method (FVM) is used to discretize the differential equations. The PISO algorithm is proposed to correct the velocity terms and the pressure terms to guarantee the conservation of mass. The method which used for spatial discretization is the bounded central differencing scheme. The least squares cell based algorithm is used for gradient terms. In addition, the pressure and the momentum terms are second order and second order upwind, respectively. All of the schemes mentioned above remain second order accuracy. The time terms are integrated by using the implicit scheme based on the bounded second order accuracy. The bounded central differencing is used for convective terms. The convective terms in Equations (1) and (2) need to be discretized on a spatial scale. The bounded central differencing scheme is to use linear interpolation formula to calculate the physical quantity on the interface; that is, to take the arithmetic average value of the upstream and downstream nodes. This method is based on the normal variable database (NVD) and convective boundedness criterion (CBC). It is a hybrid scheme which includes pure central differencing scheme and second order upwind scheme. The PISO algorithm is proposed to correct the velocity terms and the pressure terms to guarantee the conservation of mass. Equations (1) and (2) are discretized using a finite volume method (FVM) for solving the incompressible Navier–Stokes equations. In this method, the whole computing domain is decomposed into non-overlapping control volumes, and each grid node is guaranteed to have an adjacent control body. Then, the differential equations for each control volume are solved to obtain the discrete equations. Once the governing equations have been discretized by the method described above, they can be calculated. The method which used to calculate the equation is Pressure Implicit with Splitting of Operators (PISO). The principle of this method is that in the unsteady flow calculation, when the time step is very small and the change of the value of solution at two adjacent time points is also very small, the influence of nonlinear lag can be ignored, and the coupling effect of pressure and velocity is mainly considered. The PISO algorithm including one forecast and two corrections, is a process of “forecast—correction—revising”, and this method takes into account the effect of the value of revised speed of neighboring points. The results of the first revision are revised again, and the velocity field and pressure field obtained by solving the pressure correction item twice could better satisfy the continuity equation and momentum equation.
During this process, the Courant number is always remained below 0.2. The simulation flow domain is arranged as , and , the center of gravity of the cylinder is located at , as shown in Figure 2a,b. A uniform flow field with the same velocity of the incoming flow is given as the initial condition of the calculation. The inflow and outflow are specified as the velocity inlet and outflow boundary conditions, respectively. No slip conditions are applied on the cylinder surface by referring to the vortex particle methods to handle the no-slip boundary conditions [25,26]. In order to guarantee the computational accuracy of the boundary layer, the grid near the surface of the cylinder is greatly refined, as shown in Figure 3a–c.
Figure 2.
Simulation flow domain: (a) Top view; (b) Front view.

Figure 3.
(a) The computational mesh; (b) Top view; (c) Detail of mesh near cylinder.
3. Mesh Independence and Validation
3.1. Mesh Independence
The definitions of the drag coefficient and lift coefficient are:
In the equations, is the diameter of the cylinder, is the length of the cylinder, is the velocity, is the drag force, is the lift force.
Several cases were simulated with different mesh densities for the purpose of ensuring that the mesh independent was achieved. Five different cases were simulated with mesh numbers of approximately 150,000, 300,000, 600,000, 1,200,000 and 2,400,000. The simulated results which include computational time, comparison of the time averaged drag coefficient between simulations and experiments [27,28], relative error are exhibited in Table 1, Figure 4 and Figure 5.
Table 1.
Comparison of the computational time, the mean drag coefficient and the relative error.
Figure 4.
Effect of the grid number on computational error.
Figure 5.
Effect of the grid number on computational time.
The results demonstrate that the relative error decreases as the mesh number increases, while the computational time increases significantly with increasing mesh number. As usual, the computational accuracy increases as the number of mesh increases, but the difference between the relative error of the simulation which is computed with 1.2 million mesh numbers and those computed with larger numbers of mesh is within 1.2%. Furthermore, the simulation needs to expend bigger computational costs and computational time with increasing mesh number. Therefore, the number of the mesh used in the simulations is determined between 1.2 and 2 million by considering the computational accuracy and computational time.
3.2. Verification
The mean drag coefficient of the circular cylinder with different Reynolds numbers was calculated in the previous literatures. For the purpose of examining the performance of the numerical simulation for circular cylinders, a comparison between the numerical results of this article and the results of previous experiments is made in Figure 6. In order to compare the difference between our numerical results and previous simulations and experiments more intuitively, the mean drag coefficients were plotted with respect to various Re numbers. The numerical results and the relative error between simulations and experiments are showed in Table 2.
Figure 6.
Comparison of the drag coefficient between simulations and experiments and previous simulations.
Table 2.
Comparison of the drag coefficient between simulations and experiments and previous simulations.
In order to ensure the second order accuracy, mesh independence should be verified. As shown in Section 3.1, several cases have been simulated with different mesh densities for the purpose of ensuring that the mesh independent is achieved. The number of the mesh used in this simulation is determined between 1.2 and 2 million by considering the computational accuracy and computational time. In addition, in order to guarantee the computational accuracy of the boundary layer, the grid near the surface of the cylinder is greatly refined, as shown in Figure 3a–c. As a result, the numerical results of this article agree better with the previous experimental results. The maximum relative error between simulations and experiments is 10.18%, and the same value between simulations and previous numerical simulations is 5.49%. Furthermore, the computational error in this article has been improved comparing with the numerical simulation results in Ref. [27]. Hence, it is concluded that the schemes used in this article have good computational accuracy. In conclusion, the validity of the numerical method in this paper has been verified by the experimental and numerical results. It is concluded that the numerical method used in this article has good computational accuracy, and it is proved that this numerical method is feasible.
4. Results and Discussion
4.1. Average Quantities
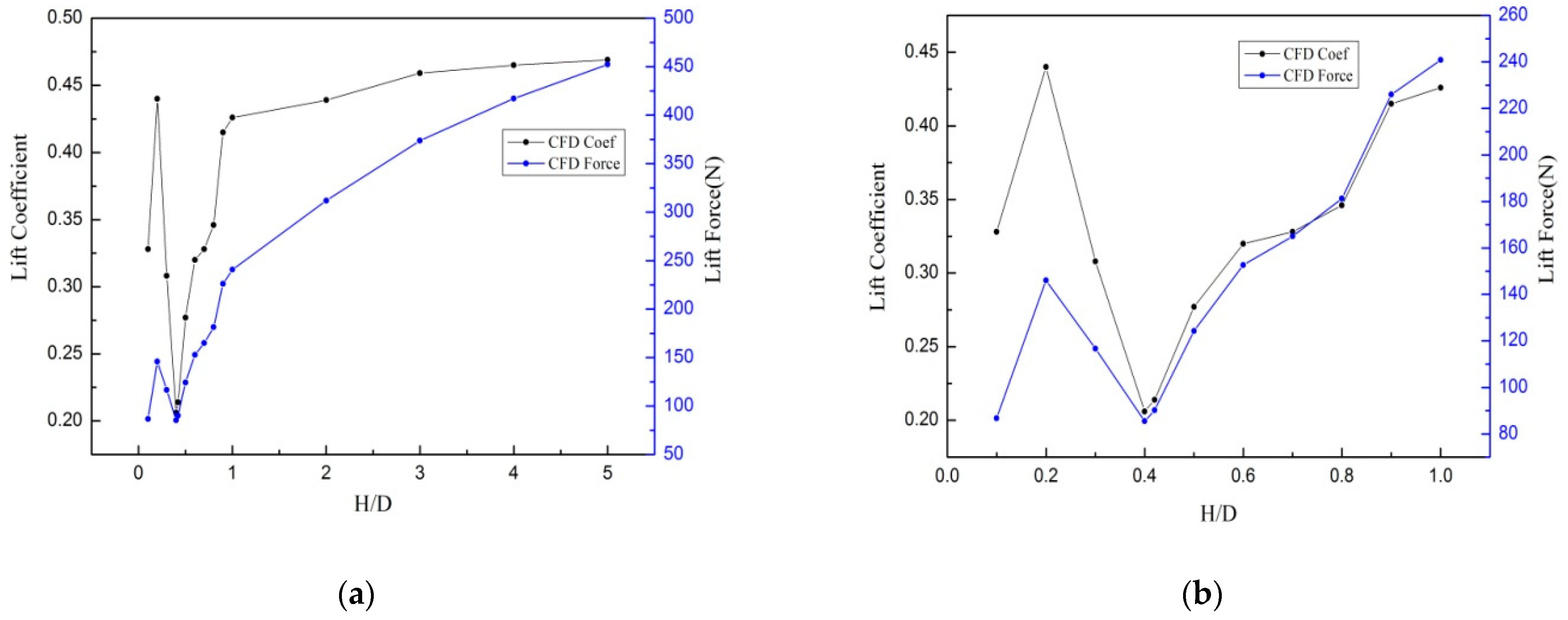
The drag and lift coefficients are regarded as significant parameters that can reflect the hydrodynamic characteristics of the circular cylinder. During this process, the volume of the Immersed Buoyant Platform (IBP) remains constant and the IBP is always fixed without any movement. A total of fifteen different aspect ratios, namely = 0.1, 0.2, 0.3, 0.4, 0.42, 0.5, 0.6, 0.7, 0.8, 0.9, 1.0, 2.0, 3.0, 4.0 and 5.0, have been simulated. Figure 7a,b exhibit the time averaged drag coefficient and the drag force with different aspect ratios of circular cylinder. Figure 8a,b exhibit the time averaged lift coefficient and the lift force with different aspect ratios of circular cylinder. What needs to be emphasized is that Figure 7b and Figure 8b are the partial enlargement of Figure 7a and Figure 8a.
Figure 7.
Time averaged drag coefficient and drag force with different aspect ratios: (a) the whole figure; (b) the partial enlargement figure.
Figure 8.
Time averaged lift coefficient and lift force with different aspect ratios: (a) the whole figure; (b) the partial enlargement figure.
For a given , the time averaged drag coefficient increases monotonically as the aspect ratio decreases, whereas the drag force decreases with decreasing the aspect ratio. The reason for decrease in the drag force is that the dynamic pressure in the wake region rises because of the downstream from the surface of the cylinder. This suggests the reattachment of flow which causes the pressure recovery of the tail end of the cylinder. In addition, spanwise vortex shedding has a pronounced impact on the drag force of the cylinder. The vortex shedding is symmetrical in the case of high aspect ratio, while the antisymmetrical ones occur with low aspect ratio. Furthermore, the fluid around the cylinder is carried to the wake region by the spanwise flow, reduces the difference of the pressure between the front and back of the cylinder and, therefore, reduces the drag force. The influence of the spanwise flow enhances gradually with decreasing the aspect ratio, which results in smaller drag forces for shorter cylinders.
It needs to be noted specifically that the change of the time averaged drag coefficient and the drag force is irregular when the aspect ratio is between 0 and 1.0. On the other hand, the time averaged lift coefficient and lift force increase gradually as the aspect ratio increases. The values of the time averaged lift coefficient and lift force reach the minimum at the same time when the aspect ratio is 0.4. Therefore, it can be concluded that the circular cylinder performs the best hydrodynamic characteristics when the aspect ratio is around 0.4.
4.2. Vortex Formation
In the following, this article studies more about the vortices generated behind the cylinder, the characteristics of the flow and the recirculation region length.
With the focus on the circular cylinder, the flow around it detaches two times. The vortices develop from the body and break away from it, generating a turbulent wake field. The structure of the flow in the wake region is affected by the Reynolds number, but the aspect ratio () has the most important influence on the vortex shedding. The flow separates from the front end of the cylinder at the first time and then moves to both sides of the cylinder. At the same time, the first level of vortices have been generated. Then, the separated flow continues to move downstream and reattaches on the surface of the circular cylinder. Under this situation, the flow separates from the trailing end of the cylinder at the second time. It results in the flow behind the cylinder oscillating violently, and generates the second level of vortices, which shed alternately. In particular, these two different kinds of vortices interact with each other [29], which causes the vortex shedding to become more complex.
Figure 9 shows the contours of vorticity in the vertical center plane at and the horizontal center plane at with different aspect ratios. As shown in the figure, it is concluded that the aspect ratio () has the considerable influence on the vortex shedding. Under the condition of , it is observed that only the primary separation occurs. This is due to the size of the downwash from the free end of the cylinder covering the whole length of the cylinder. The near wake field is made up of the following two parts: the downwash from the free end of the cylinder and the vortex shedding around the cylinder. In addition, the downwash from the top of the cylinder needs to go through several spirals to reach the solid wall. In this process, it will be shocked by the incoming flow from the middle part of the cylinder, thus reducing the turbulence intensity. For this reason, the downwash does not even reach the solid wall for a greater aspect ratio. Under this condition, the cylinder shows typical characteristics of three-dimensional flow around a slender cylinder. A series of regular and alternating vortex street shedding appear behind the circular cylinder. In this range of , the vortices of regular shedding behind the cylinder increase the drag coefficient.



Figure 9.
Contours of vorticity in the vertical center plane at and the horizontal center plane at with different aspect ratios.
For = 0.6 and = 0.5, we can still observe apparent vortex shedding in the rear area of the circular cylinder, but the scale of the shedding vortex is already very small. The vortical structures in this condition are significantly less vigorous than those in the case of .
When the aspect ratio is between 0.1 and 0.42, we can observe no significant vortex shedding in the rear area of the circular cylinder. As we can see, the flow separates from the front end of the cylinder and reattaches at a point on the trailing end of the cylinder. We can also find that the position of this reattachment point moves upstream gradually with the decrease in the aspect ratio. In addition, the scale of the shedding vortex is very small and distributes around the surface of the cylinder on account of the great influence of the downwash from the free end. In this range of , the free end of the cylinder has a significant impact on the hydrodynamic characteristics of the near wake field. The vorticity intensity of the upper and lower ends of the cylinder is greater than that of the middle part, and the vorticity intensity of the near wake field behind the cylinder is also greater than that of the far wake field. In addition, many small scale vortices are generated behind the cylinder, and they become more and more chaotic with the decrease in the aspect ratio. Therefore, due to the influence of the free end, the three-dimensional effect of the cylinder with low aspect ratio is more obvious than that with high aspect ratio.
4.3. Flow Visualization
In this section, instantaneous streamlines and contours of velocity in the horizontal center plane at = 0 are presented and compared for cylinders with all aspect ratios. Table 3 clears up the recirculation region length with different aspect ratios. The length of the recirculation region apparently reduces with the decrease in the aspect ratio, as shown in Table 3.
Table 3.
Recirculation region length with different aspect ratios.
Figure 10 shows streamlines and contours of velocity in the horizontal center plane at = 0 with different aspect ratios. The streamlines for = 5 demonstrate the representative shape of the three-dimensional flow field around the structure; the flow separates at a critical point and forms a recirculation region in the wake field of the circular cylinder. For = 0.4, the visible recirculation region can also be observed, but the length of this district becomes very small. The flow behind the cylinder distributes laterally due to the disturbance of the strong downwash from the upper and lower ends of the cylinder. In addition, the smaller the aspect ratio of cylinder, the more obvious this phenomenon is. For the case of = 0.1, the presence of the recirculation region is rarely observed. The flow field behind the cylinder is extraordinary irregular and chaotic in the case of .

Figure 10.
Instantaneous streamlines and contours of velocity in the horizontal center plane at with different aspect ratios.
Figure 11 and Figure 12 show instantaneous streamlines and contours of velocity in the horizontal plane at = 0.3 and = 5, respectively. Figure 13 and Figure 14 show contour lines of vorticity in the horizontal plane at = 0.3 and = 5, respectively. As we can see from Figure 13, the vorticity magnitude in both sides of the cylinder is bigger than that in the middle part. With regard to = 0.3, due to the small aspect ratio, the vorticity of the selected four transverse planes is all affected by the downwash from the upper and lower ends of the cylinder. Because the effect of the horizontal flow is very small, the wake field of the cylinder is mainly disturbed by the downwash. Therefore, more and more vortices shedding from the cylinder distribute in both sides of the cylinder. However, as to = 5, the attachment of the flow from the top of the cylinder needs to perform several instances of spiral descending. During this process, the impact of the flow from the middle section of the cylinder becomes more and more stronger. The strength of the downwash from the upper and lower ends of the cylinder becomes weaker and weaker, so that the flow cannot approach to the surface of the cylinder. Therefore, we can see from Figure 14 that most of the vortex generated in the case of = 5 appears behind the circular cylinder.

Figure 11.
Instantaneous streamlines and contours of velocity in the horizontal plane at = 0.3: (a) = 0; (b) = 0.25; (c) = 0.5 and (d) = 0.75.
Figure 12.
Instantaneous streamlines and contours of velocity in the horizontal plane at = 5: (a) = 0; (b) = 0.25; (c) = 0.5 and (d) = 0.75.

Figure 13.
Contour lines of vorticity in the horizontal plane at = 0.3: (a) = 0; (b) = 0.25; (c) = 0.5 and (d) = 0.75.
Figure 14.
Contour lines of vorticity in the horizontal plane at = 5: (a) = 0; (b) = 0.25; (c) = 0.5 and (d) = 0.75.
Figure 11 shows instantaneous streamlines and contours of velocity in the horizontal plane at = 0.3. It can be observed that the streamlines of the transverse plane perform more disordered as this plane gets closer to the free end of the cylinder. The distance between the transverse plane and the free end plays a key role in the characteristics of vortex shedding. Moreover, the critical point at which the flow particles move backwards is also closer to the cylinder. Therefore, there is almost no large scale vortex shedding that can be observed and the flow vibrates very weakly. The existence of the downwash destroys the alternating shedding vortices into many irregular small scale vortices. The results show that the oscillations of the velocity in the selected four transverse planes are small. Hence, it can be found that the whole wake field is affected by the downwash when the aspect ratio is between 0.1 and 0.4. Figure 12 shows instantaneous streamlines and contours of velocity in the horizontal plane at = 5. As we can see from Figure 12, the oscillations of the velocity on both sides of the cylinder are very violent in this condition. An obvious area of negative pressure is formed behind the cylinder. The closer the transverse plane is to the middle part of the cylinder, the more its wake field is affected by the horizontal incoming flow. Therefore, the recirculation regions in the calculated transverse planes are bigger than that of the lower aspect ratio.
5. Conclusions
In this paper, aiming at acquiring an optimum structural form of IBP, the hydrodynamic characteristics of the flow past the cylindrical IBP with different height-to-diameter ratios are systematically investigated by use of the LES approach. Following conclusions can be obtained:
(1) The forces acting on the cylinders with low aspect ratios are significantly suppressed compared to those with high aspect ratios. Due to the recovery of the dynamic pressure in the wake region of the cylinders, the drag force and lift force decrease as the aspect ratio decreases.
(2) The vortical structures of the low aspect ratio cylinders are significantly less vigorous compared to those of high aspect ratio. The interplay between the flow coming from both sides of the cylinder and the downwash results in complicated vortex dynamics. In the case of , it is observed that only the primary separation occurs. A series of regular and alternating vortex street shedding appear behind the circular cylinder. The vortex shedding leads to the generation of the area of negative pressure, which causes the increase in the drag force. For = 0.6 and = 0.5, the phenomenon of vortex shedding behind the circular cylinder is also observed, but the scale of the shedding vortex is already very small. In the case of , we can observe no significant vortex shedding in the rear area of the circular cylinder.
(3) The recirculation region length reduces significantly with the decrease in the aspect ratio. The streamlines for = 5 demonstrate the representative shape of the three-dimensional flow field around the structure, the flow separates at a critical point and forms a recirculation region in the wake field of the circular cylinder. For lower aspect ratio, the effects of the free end are already very obvious. In addition, the flow field behind the cylinder is extraordinary irregular and chaotic in the case of .
(4) As far as free-end effects are considered, the whole wake field is affected by the downwash when the aspect ratio is between 0.1 and 0.4. Therefore, there is almost no large scale vortex shedding can be observed and the flow vibrates very weakly. The existence of the downwash destroys the alternating shedding vortices into many irregular small scale vortices. In addition, the oscillations of the velocity in the selected four transverse planes are small. Otherwise, in the case of high aspect ratio, the oscillations of the velocity on both sides of the cylinder are very violent in this condition. Furthermore, the recirculation regions in the calculated transverse planes are bigger than that of the lower aspect ratio.
Finally, it can be concluded that the IBP will perform the best hydrodynamic characteristics when the aspect ratio is between 0.3 and 0.4. In the meantime the present study should be reliable and useful for design work of the IBP. Furthermore, the research findings will be of great significance to provide valuable reference and foundation to determine the optimum form of underwater structures, such as the buoyancy cans of the hybrid riser system.
Author Contributions
Conceptualization, X.Z., J.Y. and Y.H.; methodology, J.Y. and X.Z.; software, J.Y.; validation, X.Z., Y.H. and W.W.; formal analysis, X.Z. and J.Y.; investigation, X.Z.; resources, X.Z. and Y.H.; data curation, X.Z. and J.Y.; writing—original draft preparation, J.Y.; writing—review and editing, X.Z.; visualization, Y.H. and W.W.; supervision, X.Z. and Y.H.; project administration, X.Z.; funding acquisition, X.Z. All authors have read and agreed to the published version of the manuscript.
Funding
This research was funded by the National Natural Science Foundation of China, grant number No.51709041.
Conflicts of Interest
The authors declare no conflict of interest.
References
- Huang, Y.; Zhen, X.; Zhang, Q.; Wang, W.-H. Optimum design and global analysis of flexible jumper for an innovative subsurface production system in ultra-deep water. China Ocean Eng. 2014, 28, 239–247. [Google Scholar] [CrossRef]
- Zhen, X.W.; Huang, Y.; Wang, W.H.; Zhang, Q. Investigation of hydrodynamic coefficients for artificial buoyancy seabed unit. J. Ship. Mech. 2013, 17, 1381–1391. [Google Scholar]
- Wu, J.-H.; Zhen, X.-W.; Liu, G.; Huang, Y. Optimization design on the riser system of next generation subsea production system with the assistance of DOE and surrogate model techniques. Appl. Ocean Res. 2019, 85, 34–44. [Google Scholar] [CrossRef]
- Zhen, X.; Vinnem, J.E.; Han, Y.; Peng, C.; Yang, X.; Huang, Y. New risk control mechanism for innovative deepwater artificial seabed system through online risk monitoring system. Appl. Ocean Res. 2020, 95, 102054. [Google Scholar] [CrossRef]
- Zhen, X.; Wu, J.-H.; Huang, Y.; Han, Y.; Yao, J.-J. Parametric Dimensional Analysis on the Structural Response of An Innovative Subsurface Tension Leg Platform in Ultra-Deep Water. China Ocean Eng. 2018, 32, 482–489. [Google Scholar] [CrossRef]
- Naudascher, E.; Wang, Y. Flow-Induced Vibrations of Prismatic Bodies and Grids of Prisms. J. Fluids Struct. 1993, 7, 341–373. [Google Scholar] [CrossRef]
- Adaramola, M.; Akinlade, O.; Sumner, D.; Bergstrom, D.; Schenstead, A. Turbulent wake of a finite circular cylinder of small aspect ratio. J. Fluids Struct. 2006, 22, 919–928. [Google Scholar] [CrossRef]
- Krajnović, S. Flow around a tall finite cylinder explored by large eddy simulation. J. Fluid. Mech. 2011, 676, 294–317. [Google Scholar] [CrossRef]
- Okamoto, T.; Yagita, M. The Experimental Investigation on the Flow past a Circular Cylinder of Finite Length Placed Normal to the Plane Surface in a Uniform Stream. Bull. JSME 1973, 16, 805–814. [Google Scholar] [CrossRef]
- Sakamoto, H.; Arie, M. Vortex shedding from a rectangular prism and a circular cylinder placed vertically in a turbulent boundary layer. J. Fluid Mech. 1983, 126, 147–165. [Google Scholar] [CrossRef]
- Okamoto, S.; Sunabashiri, Y. Vortex Shedding From a Circular Cylinder of Finite Length Placed on a Ground Plane. J. Fluids Eng. 1992, 114, 512–521. [Google Scholar] [CrossRef]
- Wang, H.F.; Zhou, Y. The finite-length square cylinder near wake. J. Fluid Mech. 2009, 638, 453–490. [Google Scholar] [CrossRef]
- Wang, H.F.; Zhou, Y.; Mi, J. Effects of aspect ratio on the drag of a wall-mounted finite-length cylinder in subcritical and critical regimes. Exp. Fluids 2012, 53, 423–436. [Google Scholar] [CrossRef]
- Tsutsui, T. Flow around a cylindrical structure mounted in a plane turbulent boundary layer. J. Wind. Eng. Ind. Aerodyn. 2012, 104, 239–247. [Google Scholar] [CrossRef]
- Afgan, I.; Moulinec, C.; Prosser, R.; Laurence, D. Large eddy simulation of turbulent flow for wall mounted cantilever cylinders of aspect ratio 6 and 10. Int. J. Heat Fluid Flow 2007, 28, 561–574. [Google Scholar] [CrossRef]
- Gonçalves, R.; Franzini, G.; Rosetti, G.; Meneghini, J.; Fujarra, A. Flow around circular cylinders with very low aspect ratio. J. Fluids Struct. 2015, 54, 122–141. [Google Scholar] [CrossRef]
- Gonçalves, R.T.; Rosetti, G.; Franzini, G.; Meneghini, J.; Fujarra, A. Two-degree-of-freedom vortex-induced vibration of circular cylinders with very low aspect ratio and small mass ratio. J. Fluids Struct. 2013, 39, 237–257. [Google Scholar] [CrossRef]
- Zhao, M.; Cheng, L. Vortex-induced vibration of a circular cylinder of finite length. Phys. Fluids 2014, 26, 015111. [Google Scholar] [CrossRef]
- Yu, D.; Kareem, A. Parametric study of flow around rectangular prisms using LES. J. Wind. Eng. Ind. Aerodyn. 1998, 77, 653–662. [Google Scholar] [CrossRef]
- Yeon, S.M.; Yang, J.; Stern, F. Large-eddy simulation of the flow past a circular cylinder at sub- to super-critical Reynolds numbers. Appl. Ocean Res. 2016, 59, 663–675. [Google Scholar] [CrossRef]
- Vakil, A.; Green, S.I. Drag and lift coefficients of inclined finite circular cylinders at moderate Reynolds numbers. Comput. Fluids 2009, 38, 1771–1781. [Google Scholar] [CrossRef]
- Rostamy, N.; Sumner, D.; Bergstrom, D.; Bugg, J. Local flow field of a surface-mounted finite circular cylinder. J. Fluids Struct. 2012, 34, 105–122. [Google Scholar] [CrossRef]
- Lee, T.; Lin, C.-L.; Friehe, C.A. Large-eddy simulation of air flow around a wall-mounted circular cylinder and a tripod tower. J. Turbul. 2007, 8, N29. [Google Scholar] [CrossRef]
- Palau-Salvador, G.; Stoesser, T.; Fröhlich, J.; Kappler, M.; Rodi, W. Large Eddy Simulations and Experiments of Flow around Finite-Height Cylinders. Flow Turbul. Combust. 2009, 84, 239–275. [Google Scholar] [CrossRef]
- Cai, S.-G.; Ouahsine, A.; Favier, J.; Hoarau, Y. Moving immersed boundary method. Int. J. Numer. Methods Fluids 2017, 85, 288–323. [Google Scholar] [CrossRef]
- Mimeau, C.; Gallizio, F.; Cottet, G.-H.; Mortazavi, I. Vortex penalization method for bluff body flows. Int. J. Numer. Methods Fluids 2015, 79, 55–83. [Google Scholar] [CrossRef]
- Minguez, M.; Luppi, A.; Vivet, R.; Maloberti, R. FSFR-Flat-Buoy stability model tests versus CFD/FSI method. In Proceedings of the Twenty-First International Offshore and Polar Engineering Conference, Maui, HI, USA, 19–24 June 2011; pp. 601–609. [Google Scholar]
- Vivet, R.; Minguez, M.; Berhault, C.; Jacquin, E.; Petrie, F.; Flamand, O. Flat buoy concept for free standing riser application: An improvement of the in-place hydrodynamic behaviour. In Proceedings of the ASME 2011 30th International Conference on Ocean, Offshore and Arctic Engineering, Rotterdam, The Netherlands, 19–24 June 2011; pp. 223–232. [Google Scholar]
- Braza, M.; Chassaing, P.; Minh, H.H. Numerical study and physical analysis of the pressure and velocity fields in the near wake of a circular cylinder. J. Fluid Mech. 1986, 165, 79–130. [Google Scholar] [CrossRef]
Publisher’s Note: MDPI stays neutral with regard to jurisdictional claims in published maps and institutional affiliations. |
© 2021 by the authors. Licensee MDPI, Basel, Switzerland. This article is an open access article distributed under the terms and conditions of the Creative Commons Attribution (CC BY) license (http://creativecommons.org/licenses/by/4.0/).




















