Influence of Sand Trapping Fences on Dune Toe Growth and Its Relation with Potential Aeolian Sediment Transport
Abstract
:1. Introduction
- (1)
- Determination of the porosity of the different sand trapping configurations.
- (2)
- Description of the temporal changes of dune toe volume and dune profiles at the sand trapping fence under consideration of the prevailing boundary conditions.
- (3)
- Evaluation of the different sand trapping fence configurations to trap sand effectively.
- (4)
- Investigation on the relation between dune toe volume changes and potential aeolian sediment transport.
2. Regional Setting and Coastal Protection Measures
3. Sand Trapping Fences
3.1. Description of Studied Sand Trapping Fences
3.2. Sand Trapping Fence Configurations
3.3. Sand Trapping Fence Porosity
4. Materials and Methods
4.1. Experimental Instrumentation
4.2. Structure from Motion Processing of UAV Images and Data Precision
4.3. Analysis Method for Evaluating the Dune Toe Growth
4.4. Calculation Procedure of Potential Aeolian Sediment Transport
5. Results and Discussion of Topographic Data
5.1. Dune Volume Changes
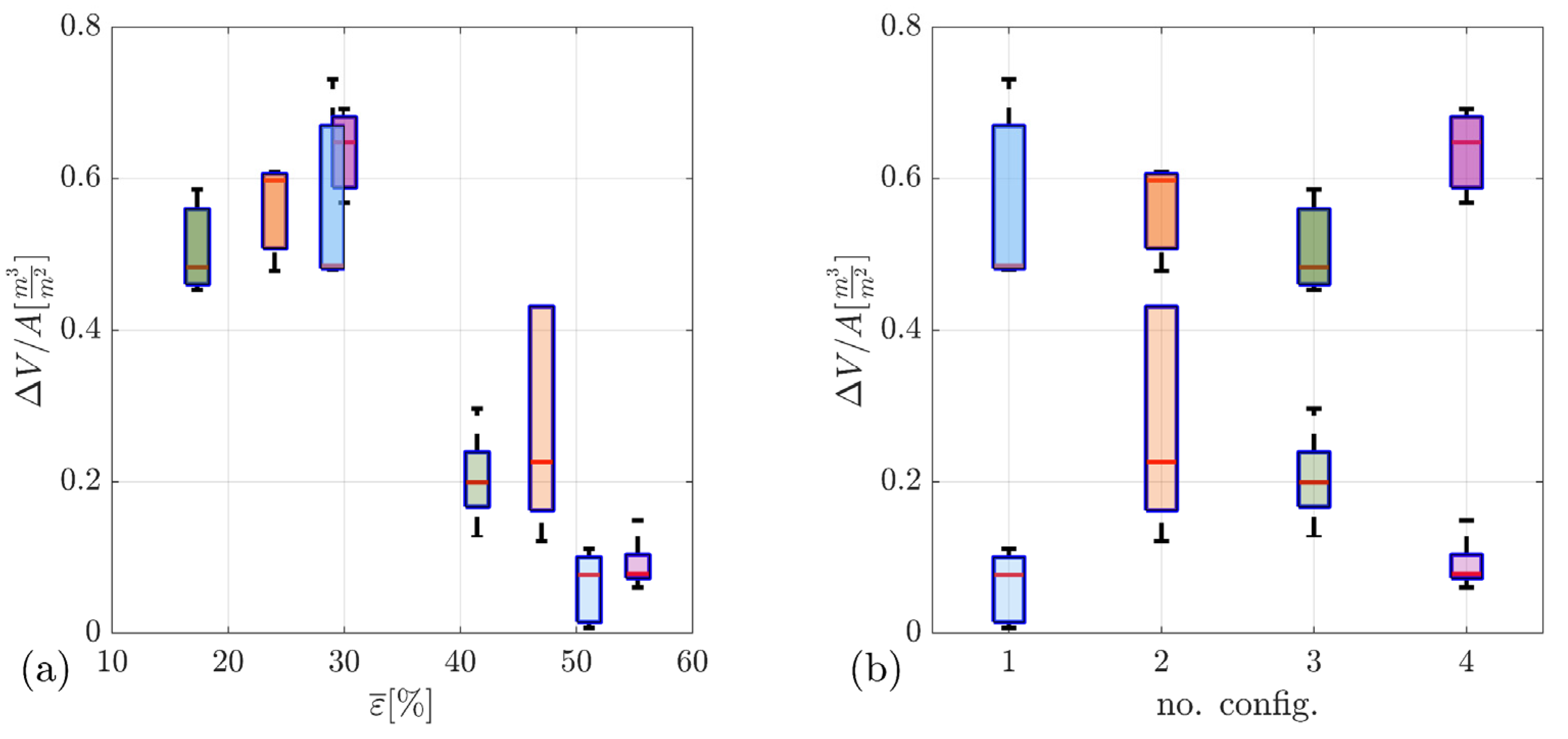
- Configuration 1: In the first three fields to the west, an average sand volume of ΔV/Aconfig.1 ~ 0.71 m³/m² has accumulated over the whole time period, implying that the amount of accumulated sand is 13% higher compared to the mean of all configurations (ΔV/Aconfig.1–4 ~ 0.63 m³/m²). The first field exposed to the west trapped the highest amount of sand with ΔV/Afield1 ~ 0.80 m³/m² (Δhfield1 = + 1.75 m). As time passed, sand has accumulated both at the parallel and orthogonal lines of brushwood and onshore of the sand trapping fence’s deflectors, meaning that the dune toe shifted onshore towards the north.
- For configuration 2, only moderate accumulation of sand up to Δhconfig.2,max = +1.39 m has occurred at and between the orthogonally arranged deflectors and onshore of the sand trapping fence close to the dune toe. An average sand volume of ΔV/Aconfig.2 = 0.60 m³/m² has accumulated over the measuring time.
- Configuration 3: Predominantly, sand has accumulated at the parallel lines of brushwood and the onshore deflectors. There is hardly any accumulation present offshore of the parallel brushwood lines towards the coastal dunes. Thus, areas of erosion are more likely to be found here. This configuration recorded the lowest growth over the whole measuring time with a sand volume of ΔV/Aconfig.3 = 0.56 m³/m². The sand accumulated up to Δhconfig.3 = +1.42 m.
- For configuration 4, extensive growth of the sediment pockets between the orthogonally arranged brushwood bundles offshore of the parallel brushwood line has been recorded, with heights up to Δhconfig.4,max = +1.25 m. The sand volume on the lee side grew faster than the dune volume on the luv side. The configuration has the second-largest growth rate with an accumulated sand volume of ΔV/Aconfig.4 = 0.66 m³/m² over the measured time. However, there are extensive erosion areas on the beach, and the dune toe level has not increased significantly.
- Configuration 3*: The area onshore of the sand trapping fence on the beach and between the two parallel brushwood lines has grown significantly. The areas offshore of the second parallel brushwood lines are essentially unchanged. Only the field exposed to the west shows accumulated sand. The growth for configuration 3* was generally very homogeneous with heights up to Δhconfig.3*= + 1.16 m. A sand volume of ΔV/Aconfig.3* = 0.18 m³/m² has accumulated over the measuring time.
- Configuration 1* recorded the lowest sand volume change with a value of ΔV/Aconfig.3* = 0.04 m³/m² over measuring time. Both onshore and offshore fields have developed very similarly over time. The dune toe level increased significantly over the measuring time.
- Configuration 4*: A sand volume of ΔV/Aconfig.4* = 0.09 m³/m² has accumulated over the whole measuring time. The development of the fields largely corresponds to the development of configuration 1*, whereas the dune toe level increased less.
- In configuration 2*, a sand volume of ΔV/Aconfig.2* = 0.27 m³/m² has accumulated over the measuring time. The dune toe level has grown only a little. The fields between the orthogonal brushwood lines were filled homogenously, whereby the fields exposed to the east recorded the most significant increase with Δhconfig.3* = + 1.20 m.
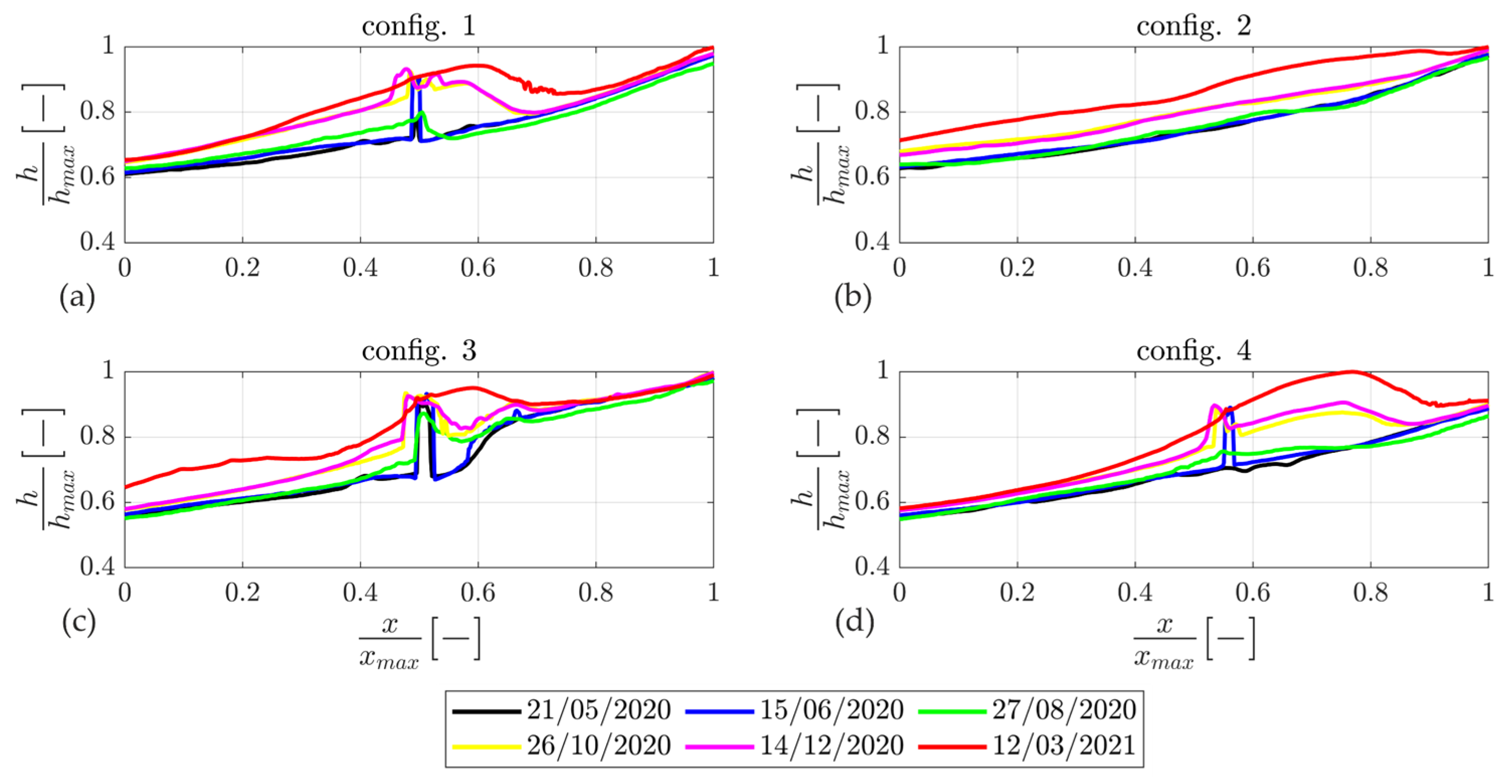
5.2. Development of the Longshore Dune Profile Influenced by Sand Trapping Fences
5.3. Development of the Cross-Shore Dune Profile Influenced by Sand Trapping Fences
6. Discussion
6.1. Trap Efficiency of Different Sand Trapping Fence Configurations
6.2. Correlation between Dune Volume Changes and Potential Aeolian Sediment Transport
- Method 1: Cross-shore onshore aeolian sediment transport rates, see Equation (4), are solely used to explain coastal dune toe growth.
- Method 2: Cross-shore onshore and longshore aeolian sediment transport rates, see Equations (4) and (5), are used to calculate coastal dune toe growth.
- Method 3: Onshore wind conditions initiate dune toe growth, whereas all wind directions offshore lead to dune erosion.
7. Conclusions and Outlook
- It is clearly visible that a particularly large amount of sand accumulated at the individual lines of brushwood of the sand trapping fence.
- In exposed fields of newly constructed sand trapping fences with potentially higher sediment supply from the beach, brushwood lines can trap more sand than in fields in the center of the sand trapping fence.
- The brushwood lines arranged parallel to the coastal dunes with a higher porosity have allowed for growth further towards the coastal dunes. For those with lower porosity, growth has been greatly increased directly at the brushwood lines.
- The orthogonally arranged deflectors at the dune toe can favour an accretion of sand at the dune toe.
- The dune growth potential at the sand trapping fence is greatest shortly after construction of the sand trapping fence and declines over time.
- The growing pattern of coastal dunes follows a sigmoid growth function with a more established coastal dune on Norderney than on Langeoog.
- For the sand trapping fence that has been in place longer, the protruding branch height and the porosity of the remaining branches seem to play a minor role for trapping sediment.
- The prevailing boundary conditions like sediment supply as well as the height and the porosity of the brushwood bundles strongly influencing the effectiveness of the different sand trapping configurations.
- In general, with a sufficiently long measurement period and number of measurements of topographical changes, the calculations of the cross-shore aeolian sediment transport rates according to method 1, or also considering longshore sediment transport rates according to method 2, is an appropriate approach to predict the trend in dune toe volume changes at sand trapping fences, especially for incipient dune formation.
- The dune toe growth of coastal dunes influenced by sand trapping fences is a product of both potential transport and sand trapping.
Author Contributions
Funding
Institutional Review Board Statement
Informed Consent Statement
Data Availability Statement
Acknowledgments
Conflicts of Interest
References
- Kystdirektoratet. Aeolian Sediment Transport and Natural Dune Development, Skodbjerge, Denmark, Skodbjerge, Denmark. Lemvig.: Interreg. North Sea Region. Building with Nature. 2020. Available online: https://northsearegion.eu/media/12719/aeolian-sediment-transport-and-natural-dune-development-skodbjerge-denmark.pdf (accessed on 21 June 2021).
- Generalplan Küstenschutz Niedersachsen: Ostfriesische Inseln, Küstenschutz Band 2.; Niedersächsischer Landesbetrieb für Wasserwirtschaft, Küsten- und Naturschutz (Lower Saxony Water Management, Coastal Protection and Nature Conversation Agency), Ed. 2010. Available online: https://www.nlwkn.niedersachsen.de/startseite/hochwasser_kustenschutz/kustenschutz/generalplane_fur_insel_und_kustenschutz/generalplan-kuestenschutz-45183.html (accessed on 21 June 2021).
- Peters, K.; Pohl, M. Kuratorium für Forschung im Küsteningenieurwesen (German Coastal Engineering Research Council). Die Küste (The Coast), Issue 88, EAK 2020. Empfehlungen für die Ausführung von Küstenschutzwerken durch den Ausschuss für Küstenschutzwerke der Deutschen Gesellschaft für Geotechnik e.V. und der Hafenbautechnischen Gesellschaft e.V. (Recommendations for Coastal Protection Structures. Working Group ’Coastal Protection Structures’ as a Joint Commitee of the German Port Geotechnical Society and the German Port Technology Association), 3rd ed.; Westholsteinische Verlagsanstalt Boyens & Co.: Heide, Germany, 2020. [Google Scholar]
- Hesp, P. Foredunes and blowouts: Initiation, geomorphology and dynamics. Geomorphology 2002, 48, 245–268. [Google Scholar] [CrossRef]
- Strypsteen, G. Monitoring and Modelling Aeolian Sand Transport at the Belgian Coast. Ph.D. Thesis, KU LEUVEN, Brugge, Belgium, 2019. [Google Scholar]
- De Vries, S.; Southgate, H.N.; Kanning, W.; Ranasinghe, R. Dune behavior and aeolian transport on decadal timescales. Coast. Eng. 2012, 67, 41–53. [Google Scholar] [CrossRef]
- Bagnold, R.A. The Physics of Blown Sand and Desert Dunes; Springer: Dordrecht, The Netherlands, 1941. [Google Scholar]
- Van Thiel de Vries, J.S.M. Dune Erosion during Storm Surges. Ph.D. Thesis, Technische Universität Delft, Amsterdam, The Netherlands, 2009. [Google Scholar]
- Staudt, F.; Gijsman, R.; Ganal, C.; Mielck, F.; Wolbring, J.; Hass, H.C.; Goseberg, N.; Schüttrumpf, H.; Schlurmann, T.; Schimmels, S. The sustainability of beach nourishments: A review of nourishment and environmental monitoring practice. J. Coast Conserv. 2021, 25. [Google Scholar] [CrossRef]
- Martínez, M.L.; Hesp, P.A.; Gallego-Fernández, J.B. (Eds.) Coastal Dune Restoration: Trends and Perspectives. In Restoration of Coastal Dunes; Springer: Berlin/Heidelberg, Germany, 2013; pp. 323–339. ISBN 978-3-642-33444-3. [Google Scholar]
- Hanley, M.E.; Hoggart, S.; Simmonds, D.J.; Bichot, A.; Colangelo, M.A.; Bozzeda, F.; Heurtefeux, H.; Ondiviela, B.; Ostrowski, R.; Recio, M.; et al. Shifting sands? Coastal protection by sand banks, beaches and dunes. Coast. Eng. 2014, 87, 136–146. [Google Scholar] [CrossRef]
- Dalyander, P.S.; Mickey, R.C.; Passeri, D.L.; Plant, N.G. Development and Application of an Empirical Dune Growth Model for Evaluating Barrier Island Recovery from Storms. J. Mar. Sci. Eng. 2020, 8, 977. [Google Scholar] [CrossRef]
- Galiforni Silva, F. Beach-Dune Systems Near Inlets: Linking Subtidal and Subaerial Morphodynamics. Ph.D. Thesis, University of Twente, Enschede, The Netherlands, 2019. [Google Scholar]
- Short, A.D.; Hesp, P.A. Wave, Beach and Dune Interactions in Southeastern Australia. Mar. Geol. 1982, 259–284. [Google Scholar] [CrossRef]
- Arens, S.M. Rates of aeolian transport on a beach in a temperate humid climate. Geomorphology 1996, 17, 3–18. [Google Scholar] [CrossRef] [Green Version]
- Van Rijn, L.C. Coastal erosion and control. Ocean Coast. Manag. 2011, 54, 867–887. [Google Scholar] [CrossRef]
- D’Alessandro, F.; Tomasicchio, G.R. Wave–dune interaction and beach resilience in large-scale physical model tests. Coast. Eng. 2016, 116, 15–25. [Google Scholar] [CrossRef]
- Schweiger, C.; Kaehler, C.; Koldrack, N.; Schuettrumpf, H. Spatial and temporal evaluation of storm-induced erosion modelling based on a two-dimensional field case including an artificial unvegetated research dune. Coast. Eng. 2020, 161, 103752. [Google Scholar] [CrossRef]
- Sutton-Grier, A.; Gittman, R.; Arkema, K.; Bennett, R.; Benoit, J.; Blitch, S.; Burks-Copes, K.; Colden, A.; Dausman, A.; DeAngelis, B.; et al. Investing in Natural and Nature-Based Infrastructure: Building Better Along Our Coasts. Sustainability 2018, 10, 523. [Google Scholar] [CrossRef] [Green Version]
- Baas, A.C.W.; Sherman, D.J. Spatiotemporal Variability of Aeolian Sand Transport in a Coastal Dune Environment. J. Coast. Res. 2006, 225, 1198–1205. [Google Scholar] [CrossRef]
- Van Rijn, L.C.; Strypsteen, G. A fully predictive model for aeolian sand transport. Coast. Eng. 2019, 156. [Google Scholar] [CrossRef]
- Sherman, D.J.; Li, B.; Ellis, J.T.; Farrell, E.J.; Maia, L.P.; Granja, H. Recalibrating aeolian sand transport models. Earth Surf. Process. Landf. 2013, 38, 169–178. [Google Scholar] [CrossRef]
- Grafals-Soto, R. Understanding the Effetcs of Sand Fence Usage and the Resulting Landscape, Landforms and Vegetation Patterns: A New Jersey Example. Ph.D. Thesis, University of New Brunswick, New Brunswick, NJ, USA, 2010. [Google Scholar]
- Grafals-Soto, R.; Nordstrom, K. Sand fences in the coastal zone: Intended and unintended effects. Environ. Manag. 2009, 44, 420–429. [Google Scholar] [CrossRef] [PubMed]
- Li, B.; Sherman, D.J. Aerodynamics and morphodynamics of sand fences: A review. Aeolian Res. 2015, 17, 33–48. [Google Scholar] [CrossRef]
- Zhang, N.; Kang, J.-H.; Lee, S.-J. Wind tunnel observation on the effect of a porous wind fence on shelter of saltating sand particles. Geomorphology 2010, 120, 224–232. [Google Scholar] [CrossRef]
- Dong, Z.; Luo, W.; Qian, G.; Wang, H. A wind tunnel simulation of the mean velocity fields behind upright porous fences. Agric. For. Meteorol. 2007, 146, 82–93. [Google Scholar] [CrossRef]
- Dong, Z.; Chen, G.; He, X.; Han, Z.; Wang, X. Controlling blown sand along the highway crossing the Taklimakan Desert. J. Arid Environ. 2004, 57, 329–344. [Google Scholar] [CrossRef]
- Hotta, S.; Horikawa, K. Function of Sand Fence Placed in Front of Embankment. In Proceedings of the 22nd Conference on Coastal Engineering 2–6 July 1990, Delft, The Netherlands, 2–6 July 1990; pp. 2754–2767. [Google Scholar] [CrossRef]
- Adriani, M.J.; Terwindt, J.H.J. Sand Stabilization and Dune Building; Government Publishing Office: Hague, The Netherlands, 1974; ISBN 9012004985.
- Ning, Q.; Li, B.; Ellis, J.T. Fence height control on sand trapping. Aeolian Res. 2020, 46, 100617. [Google Scholar] [CrossRef]
- Yu, Y.; Zhang, K.; An, Z.; Wang, T.; Hu, F. The blocking effect of the sand fences quantified using wind tunnel simulations. J. Mt. Sci. 2020, 17, 2485–2496. [Google Scholar] [CrossRef]
- Lima, I.A.; Araújo, A.D.; Parteli, E.J.R.; Andrade, J.S., Jr.; Herrmann, H.J. Optimal Array of Sand Fences; 2017. Available online: http://arxiv.org/pdf/1702.05114v1 (accessed on 21 June 2021).
- Anthony, E.J.; Vanhee, S.; Ruz, M.-H. An assessment of the impact of experimental brushwood fences on foredune sand accumulation based on digital elelvation models. Ecol. Eng. 2007, 31, 41–46. [Google Scholar] [CrossRef]
- Ruz, M.-H.; Anthony, E.J. Sand trapping by brushwood fences on a beach-foredune contact: The primacy of the local sediment budget. Zeitschrift für Geomorphologie 2008, 52, 179–194. [Google Scholar] [CrossRef]
- Eichmanns, C.; Schüttrumpf, H. Investigating Changes in Aeolian Sediment Transport at Coastal Dunes and Sand Trapping Fences: A Field Study on the German Coast. JMSE 2020, 8, 1012. [Google Scholar] [CrossRef]
- Sanromualdo-Collado, A.; Hernández-Cordero, A.I.; Viera-Pérez, M.; Gallego-Fernández, J.B.; Hernández-Calvento, L. Coastal Dune Restoration in El Inglés Beach (Gran Canaria, Spain): A Trial Study. REA 2021, 187–204. [Google Scholar] [CrossRef]
- Gerhardt, P. Im Auftrage des Kgl. Preuss. In Handbuch des Deutschen Dünenbaues; Johannes, A., Paul, B., Alfred, J., Eds.; Verlagsbuchhandlung Paul Parey: Berlin, Germany, 1990. [Google Scholar]
- Reise, K. Coast of change: Habitat loss and transformations in the Wadden Sea. Helgol. Mar. Res. 2005, 59, 9–21. [Google Scholar] [CrossRef]
- De Groot, A.V.; Oost, A.P.; Veeneklaas, R.M.; Lammerts, E.J.; van Duin, W.E.; van Wesenbeeck, B.K. Tales of island tails: Biogeomorphic development and management of barrier islands. J. Coast Conserv. 2017, 21, 409–419. [Google Scholar] [CrossRef] [Green Version]
- Hillmann, S.; Blum, H.; Thorenz, F. National Analysis—Germany Lower Saxony.: Niedersächsischer Landesbetrieb für Wasserwirtschaft, Küsten und Naturschutz (Lower Saxony Water Management, Coastal Protection and Nature Conservation Agency); NLWKN: Lower Saxony, Germany, 2019. [Google Scholar]
- Federal Agency for Cartography and Geodesy. Geodaten der Deutschen Landesvermessung. Bundesamt für Kartographie und Geodäsie (Federal Agency for Cartography and Geodesy); Federal Agency for Cartography and Geodesy: Leipzig, Germany; Available online: http://sg.geodatenzentrum.de/web_public/nutzungsbedingungen.pdf (accessed on 29 March 2021).
- Bundesamt für Schifffahrt und Hydrographie. Gezeitenkalender 2021: Hoch- und Niedrigwasserzeiten für die Deutsche Bucht und deren Flussgebiete; Bundesamt für Schifffahrt und Hydrographie: Hamburg, Germany, 2020. [Google Scholar]
- Thorenz, F.; Kuratorium für Forschung im Küsteningenieurwesen (German Coastal Engineering Research Council). Die Küste (The Coast), Issue 74, EAK; Coastal Flood Defence and Coastal Protection along the North Sea Coast of Niedersachsen; Kuratorium für Forschung im Küsteningenieurwesen (German Coastal Engineering Research Council): Hamburg, Germany, 2008. [Google Scholar]
- Hayes, M.O. Barrier Island Morphology as a Function of Tidal and Wave regime: Barrier Islands from the Gulf of St. Lawrence to the Gulf of Mexic; Academic Press: New York, NY, USA, 1979; pp. 1–27. [Google Scholar]
- Niemeyer, H.D. Long Term Morphodynamical Development of the East Frisian Island and Coast. In Proceedings of the 24th International Conference on Coastal Engineering, Kobe, Japan, 23–28 October 1994. [Google Scholar]
- Hagen, R.; Freund, J.; Plüß, A.; Ihde, R. (Eds.) Validierungsdokument EasyGSH-DB Nordseemodell. Teil: UnTRIM2–SediMorph–UnK; Federal Waterways Engineering and Research Institute: Karlsruhe, Germany, 2019. [Google Scholar]
- DWD. Climate Data Center. 2021. Available online: https://cdc.dwd.de/portal/ (accessed on 1 April 2021).
- Ladage, F. Vorarbeiten zu Schutzkonzepten für die Ostfriesischen Inseln—Morphologische Entwicklung um Langeoog im Hinblick auf die verstärkten Dünenabbrüche vor dem Pirolatal; NLWKN: Norderney, Germany, 2002. [Google Scholar]
- Donker, J.; van Maarseveen, M.; Ruessink, G. Spatio-Temporal Variations in Foredune Dynamics Determined with Mobile Laser Scanning. JMSE 2018, 6, 126. [Google Scholar] [CrossRef] [Green Version]
- Lower Saxony Water Management, Coastal Protection and Nature Conversation Agency. Documentation of the Configuration of the Installed Sand Trapping Fences on Langeoog and Norderney; Lower Saxony Water Management, Coastal Protection and Nature Conversation Agency: Hannover, Germany, 2020. [Google Scholar]
- MATLAB, Version 9.510.944444 (R2018b); The MathWorks Inc.: Natick, MA, USA, 2018.
- Azzeh, J.; Zahran, B.; Alqadi, Z. Salt and Pepper Noise: Effects and Removal. Int. J. Inform. Vis. 2018, 2, 252. [Google Scholar] [CrossRef] [Green Version]
- Image Analyst. Image Segmentation Tutorial Image Analyst (2021). Image Segmentation Tutorial. MATLAB Central File Exchange 2021. Available online: https://www.mathworks.com/matlabcentral/fileexchange/25157-image-segmentation-tutorial (accessed on 21 June 2021).
- DJI. Phantom 4 RTK: Product Specifications. Available online: https://www.dji.com/de/phantom-4-rtk/info (accessed on 31 March 2021).
- Javad. JAVAD Global Navigation Satellite System (GNSS) Receiver SigmaD-G3D: Data Sheet GNSS Receiver Sigma-3. Available online: http://download.javad.com/manuals/ (accessed on 31 March 2021).
- AgiSoft Metashape Professional. Version 1.6.5 Build 11249, 64 Bit; AgiSoft Metashape Professional: St. Petersburg, Russia, 2020; Available online: https://www.agisoft.com/downloads/installer/ (accessed on 27 July 2021).
- ESRI ArcGIS Desktop. Version 10.5.1, 64 Bit. ESRI: 2017. Available online: https://www.esri.com/en-us/arcgis/products/arcgis-pro/overview/ (accessed on 27 July 2021).
- Van Rijn, L.C. Aeolian Transport over a Flat Sediment Surface. Aeolian Transp. 2019. Available online: www.leovanrijn-sediment.com (accessed on 27 July 2021).
- Nickling, W.G.; McKenna Neumann, C. (Eds.) Aeolian Sediment Transport, 2nd ed.; Springer: Dordrecht, The Netherlands, 2009; ISBN 978-1-4020-5718-2. [Google Scholar]
- Sarre, R.D. Aeolian sand drift from the intertidal zone on a temperate beach: Potential and actual rates. Earth Surf. Process. Landf. 1989, 14, 247–258. [Google Scholar] [CrossRef]
- De Vries, S. Physics of Blown Sand and Coastal Dunes; Delft University of Technology: Delft, The Netherlands, 2013. [Google Scholar]
- Dong, Z.; Liu, X.; Wang, H.; Wang, X. Aeolian sand transport: A wind tunnel model. Sediment. Geol. 2003, 161, 71–83. [Google Scholar] [CrossRef]
- Davidson-Arnott, R.; Yang, Y.; Ollerhead, J.; Hesp, P.; Walker, I.J. The effects of surface moisture on aeolian sediment transport threshold and mass flux on a beach. Earth Surf. Process. Landf. 2007, 33, 55–74. [Google Scholar] [CrossRef]
- Delgado-Fernandez, I. A review of the application of the fetch effect to modelling sand supply to coastal foredunes. Aeolian Res. 2010, 2, 61–70. [Google Scholar] [CrossRef] [Green Version]
- Hoonhout, B.; de Vries, S. Field measurements on spatial variations in aeolian sediment availability at the Sand Motor mega nourishment. Aeolian Res. 2016, 24, 93–104. [Google Scholar] [CrossRef] [Green Version]
- Bauer, B.O.; Davidson-Arnott, R.; Hesp, P.A.; Namikas, S.L.; Ollerhead, J.; Walker, I.J. Aeolian sediment transport on a beach: Surface moisture, wind fetch, and mean transport. Geomorphology 2009, 105, 106–116. [Google Scholar] [CrossRef]
- Bauer, B.O.; Davidson-Arnott, R.G. A general framework for modeling sediment supply to coastal dunes including wind angle, beach geometry, and fetch effects. Geomorphology 2003, 49, 89–108. [Google Scholar] [CrossRef]
- Lynch, K.; Jackson, D.W.T.; Cooper, J.A.G. Aeolian fetch distance and secondary airflow effects: The influence of micro-scale variables on meso-scale foredune development. Earth Surf. Process. Landforms 2008, 33, 991–1005. [Google Scholar] [CrossRef]
- Davidson-Arnott, R.G.; MacQuarrie, K.; Aagaard, T. The effect of wind gusts, moisture content and fetch length on sand transport on a beach. Geomorphology 2005, 68, 115–129. [Google Scholar] [CrossRef]
- Spies, P.-J.; McEwan, I.K. Equilibration of saltation. Earth Surf. Process. Landf. 2000, 25, 437–453. [Google Scholar] [CrossRef]
- Davidson-Arnott, R.; Law, M.N. Measurement and Prediction of Long-Term Sediment Supply to Coastal Foredunes. J. Coast. Res. 1996, 12, 654–663. [Google Scholar]
- Field, J.P.; Pelletier, J.D. Controls on the aerodynamic roughness length and the grain-size dependence of aeolian sediment transport. Earth Surf. Process. Landf. 2018, 43, 2616–2626. [Google Scholar] [CrossRef]
- Hsu, S.A. Computing Eolian sand Transport from routine weather data. In Proceedings of the 14th Conference on Coastal Engineering, Copenhagen, Denmark, 24–28 June 1974; pp. 1619–1626. [Google Scholar] [CrossRef]
- Shao, Y.; Lu, H. A simple expression for wind erosion threshold friction velocity. J. Geophys. Res. 2000, 105, 22437–22443. [Google Scholar] [CrossRef]
- Nickling, W.G.; Davidson-Arnott, R. (Eds.) Aeolian Sediment Transport on Beaches and Coastal Sand Dunes; Canadian Coastal Science and Engineering Association: Guelph, ON, Canada, 1990. [Google Scholar]
- Houser, C.; Wernette, P.; Rentschlar, E.; Jones, H.; Hammond, B.; Trimble, S. Post-storm beach and dune recovery: Implications for barrier island resilience. Geomorphology 2015, 234, 54–63. [Google Scholar] [CrossRef]
- Keijsers, J.; de Groot, A.V.; Riksen, M. Vegetation and sedimentation on coastal foredunes. Geomorphology 2015, 228, 723–734. [Google Scholar] [CrossRef]
- Miri, A.; Dragovich, D.; Dong, Z. Wind-borne sand mass flux in vegetated surfaces—Wind tunnel experiments with live plants. CATENA 2019, 172, 421–434. [Google Scholar] [CrossRef]
- Cohn, N.; Hoonhout, B.; Goldstein, E.; de Vries, S.; Moore, L.; Durán Vinent, O.; Ruggiero, P. Exploring Marine and Aeolian Controls on Coastal Foredune Growth Using a Coupled Numerical Model. JMSE 2019, 7, 13. [Google Scholar] [CrossRef] [Green Version]
- Hacker, S.D.; Zarnetske, P.; Seabloom, E.; Ruggiero, P.; Mull, J.; Gerrity, S.; Jones, C. Subtle differences in two non-native congeneric beach grasses significantly affect their colonization, spread, and impact. Oikos 2012, 121, 138–148. [Google Scholar] [CrossRef]
- Durán, O. Vegetated Dunes and Barchan Dune Fields. Ph.D. Thesis, Universität Stuttgart, Stuttgart, Germany, 2007. [Google Scholar]
- Durán, O.; Moore, L.J. Vegetation controls on the maximum size of coastal dunes. Proc. Natl. Acad. Sci. USA 2013, 110, 17217–17222. [Google Scholar] [CrossRef] [Green Version]
- Arens, S.M.; Baas, A.C.W.; Van Boxel, J.H.; Kalkman, C. Influence of reed stem density on foredune development. Earth Surf. Process. Landf. 2001, 26, 1161–1176. [Google Scholar] [CrossRef]
- Van der Wal, D. Effects of fetch and surface texture on aeolian sand transport on two nourished beaches. J. Arid Environ. 1998, 39, 533–547. [Google Scholar] [CrossRef]
- Jackson, N.L.; Nordstrom, K.F. Aeolian sediment transport and landforms in managed coastal systems: A review. Aeolian Res. 2011, 3, 181–196. [Google Scholar] [CrossRef]
- Jackson, N.L.; Nordstrom, K.F. Aeolian transport of sediment on a beach during and after rainfall, Wildwood, NJ, USA. Geomorphology 1997. [Google Scholar] [CrossRef]
- Delgado-Fernandez, I. Meso-scale modelling of aeolian sediment input to coastal dunes. Geomorphology 2011, 130, 230–243. [Google Scholar] [CrossRef] [Green Version]
- Keijsers, J.G.S.; Poortinga, A.; Riksen, M.J.P.M.; Maroulis, J. Spatio-temporal variability in accretion and erosion of coastal foredunes in the Netherlands: Regional climate and local topography. PLoS ONE 2014, 9, e91115. [Google Scholar] [CrossRef] [Green Version]
- Bundesamt für Schifffahrt und Hydrographie. Berichte zu Sturmfluten und extremen Wasserständen: Nordsee; Bundesamt für Schifffahrt und Hydrographie: Hamburg, Germany, 2021. [Google Scholar]
























| Study Site, Date of Installation | Config. Type | k [-] | L1+ L2 [m] | n [bb/m] | i [bb/m] | Date of Photograph | Section | εn [%] | εi [%] | |
|---|---|---|---|---|---|---|---|---|---|---|
| Langeoog, May 2020 | 1 | 1 | 30 + 24 | ~2 | ~3 | 26/05/2020 * | lower | 33 | 24 | 29 |
| 4 | 30 +15 | ~2 | ~3 | 26/05/2020 * | lower | 33 | 24 | 30 | ||
| 2 | 0 + 24 | ~3 | ~3 | 14/03/2021 | upper | - | 24 | 24 | ||
| 3 | 30 + 24 | ~5 | ~3 | 26/05/2020 * | lower | 12 | 24 | 17 | ||
| Norderney, July 2020 | 1* | 2 | 100 + 96 | ~2 | ~3–4 | 10/03/2021 | upper | 61 | 51 | 51 |
| 01/08/2019 * | lower | 49 | 43 | |||||||
| average | 55 | 47 | ||||||||
| 4* | 100 + 81 | ~2 | ~3–4 | 10/03/2021 | upper | 74 | 51 | 55 | ||
| 01/08/2019 * | lower | 50 | 43 | |||||||
| average | 62 | 47 | ||||||||
| 2* | 0 + 93 | ~3–4 | ~3–4 | 10/03/2021 | upper | - | 51 | 47 | ||
| 01/08/2019 | lower | 43 | ||||||||
| average | 47 | |||||||||
| 3* | 180 + 128 | ~5 | ~3–4 | 10/03/2021 | upper | 42 | 51 | 41 | ||
| 01/08/2019 * | lower | 33 | 43 | |||||||
| average | 37.5 | 47 |
Publisher’s Note: MDPI stays neutral with regard to jurisdictional claims in published maps and institutional affiliations. |
© 2021 by the authors. Licensee MDPI, Basel, Switzerland. This article is an open access article distributed under the terms and conditions of the Creative Commons Attribution (CC BY) license (https://creativecommons.org/licenses/by/4.0/).
Share and Cite
Eichmanns, C.; Schüttrumpf, H. Influence of Sand Trapping Fences on Dune Toe Growth and Its Relation with Potential Aeolian Sediment Transport. J. Mar. Sci. Eng. 2021, 9, 850. https://doi.org/10.3390/jmse9080850
Eichmanns C, Schüttrumpf H. Influence of Sand Trapping Fences on Dune Toe Growth and Its Relation with Potential Aeolian Sediment Transport. Journal of Marine Science and Engineering. 2021; 9(8):850. https://doi.org/10.3390/jmse9080850
Chicago/Turabian StyleEichmanns, Christiane, and Holger Schüttrumpf. 2021. "Influence of Sand Trapping Fences on Dune Toe Growth and Its Relation with Potential Aeolian Sediment Transport" Journal of Marine Science and Engineering 9, no. 8: 850. https://doi.org/10.3390/jmse9080850
APA StyleEichmanns, C., & Schüttrumpf, H. (2021). Influence of Sand Trapping Fences on Dune Toe Growth and Its Relation with Potential Aeolian Sediment Transport. Journal of Marine Science and Engineering, 9(8), 850. https://doi.org/10.3390/jmse9080850

