Abstract
Surface water concentrations of the acid herbicides 2,4-D, dicamba and mecoprop were measured in ten urban Ontario streams before (2003–2008) and after (2009–2012) a ban on the sale and use of pesticides for cosmetic (non-essential) purposes. Frequencies of detection (2003–2012) were 98%, 96% and nearly 100%, respectively for 2,4-D, dicamba and mecoprop. Concentrations were typically in the ng L−1 range, although periodic spikes in the µg L−1 range were observed. Concentrations in a majority of the study streams decreased significantly following the cosmetic pesticides ban. Concentrations decreased from 16% to 92% depending on the stream and herbicide. The presence of these herbicides in urban streams was likely a result of urban applications. Concentrations were significantly related to population density or urban land cover, and the relative proportion of the three herbicides observed in urban stream water approximated the ratios found in pesticide products formulated for urban use. Longer-term trends indicate that decreases in stream water herbicide concentrations may have preceded the ban and may be related to increased public awareness of pesticide issues and voluntary reductions in urban pesticide use.
1. Introduction
Non-agricultural uses of pesticides can be an important source of pesticide loading to streams draining urban watersheds [1]. Monitoring studies show that pesticides commonly used for non-agricultural purposes are routinely detected in urban streams, often at higher concentrations than in streams draining agricultural watersheds [2,3,4], and the number of pesticides detected in urban streams is generally larger as the proportion of urban land cover in the watershed increases [3,5]. Elevated concentrations of pesticides in urban streams have the potential to impact aquatic ecosystems. Eighty-three percent of 30 urban streams monitored as part of National Water Quality Assessment Program in the United States had pesticide concentrations that exceeded one or more water quality guidelines for the protection of aquatic life [4]. In France, Blanchoud et al. [6] showed that loadings of herbicides were relatively greater in urban versus agricultural areas, and the highest herbicide concentrations were attributed to urban applications on impervious surfaces. They concluded that reduced use of herbicides in urban areas is needed to protect urban stream water quality.
Concerns regarding the potential impacts of pesticides on the human health and the environment have prompted government restrictions on pesticide uses in urban settings. In the United States, a federally mandated phase out of urban uses of diazinon and chlorpyrifos in 2001 resulted in declines in the concentrations of these insecticides in urban streams [7,8,9]. In Canada, some provincial and local governments have restricted cosmetic (non-essential) uses of pesticides such as using herbicides to improve the appearance of urban lawns; however, research is lacking on the influence of these restrictions on pesticides concentrations in surface waters.
On 22 April 2009, the Ontario government implemented a province-wide ban on the sale and use of pesticides for cosmetic purposes. More than 180 pesticide products were banned for sale and the cosmetic uses of over 90 pesticide ingredients were prohibited [10]. Nearly half of the banned products contained one or more of the herbicides 2,4-D (2,4-dichlorophenoxy acetic acid), dicamba (2,5-dichloro-6-methoxybenzoic acid) and mecoprop (2-(2-methyl-4-chlorophenoxy) propanoic acid). Prior to the ban, these three herbicides collectively accounted for 51% of the total amount of pesticides used by professional lawn care applicators in Ontario [11]. Prior monitoring studies have shown that these herbicides were amongst the most frequently detected pesticides in urban Ontario streams [12], and that urban stream water concentrations of these herbicides were significantly higher in Ontario compared to other regions of Canada [13].
This study measured surface water concentrations of the herbicides 2,4-D, dicamba and mecoprop in ten urban streams before and after the implementation of the cosmetic pesticides ban in Ontario. The primary objective of the study was to determine whether herbicide concentrations changed significantly after the ban. The results are useful to researchers and government agencies interested in understanding the influence of regulations on environmental concentrations of pesticides and provide a reference point for further hypothesis testing and monitoring.
2. Materials and Methods
2.1. Monitoring Sites
Ten Ontario streams draining watersheds with urban-residential land uses were selected to focus on urban uses of pesticides apart from other uses including agriculture and golf courses (Figure 1). Selected watersheds met the following criteria: high proportion (>35%) of urban land cover; no point source discharges (e.g., sewage treatment plants); limited agriculture; and, no golf courses (with a few exceptions). A sampling site was selected near the outlet of each stream and the upstream contributing area of each site was delineated using a geographic information system and digital elevation models. Watershed attributes including land cover and population, road and stream density were quantified using available geospatial data layers (Table 1). Road density was calculated as the total length of road in the watershed, irrespective of the number of lanes, divided by the watershed area. Population density was estimated from the proportion of each census region (dissemination area) that overlapped with the study watershed. The nearest stream flow monitoring gauge to each site was identified and stream flow data were obtained from Environment Canada [14]. Flow data were unavailable for five of the ten watersheds. Fletcher’s Creek, the only study watershed that had >4% agricultural land cover, was included in the study to represent the many regions of Ontario where urban development has expanded outward from cities into surrounding agricultural areas, but where some agriculture remains in the headwaters.
Figure 1.
(a) Inset map showing the study area in Ontario, Canada. (b) Locations of the ten stream water monitoring sites in urban areas.
Figure 1.
(a) Inset map showing the study area in Ontario, Canada. (b) Locations of the ten stream water monitoring sites in urban areas.

Four of the watersheds (Chippewa, Highland, Mimico and Schneider’s Creeks) were located in regions with existing municipal (local government) bylaws restricting cosmetic pesticide use prior to 2008. The municipal bylaws did not regulate the sale of pesticide products, which is under provincial government authority. Results of homeowner surveys suggest that the bylaws reduced urban pesticide use; however, the ongoing availability of pesticide products in stores limited the effectiveness of the bylaws [15]. The province-wide ban that replaced the bylaws in 2009 is more restrictive. In addition to the ban on product sales, the provincial ban restricts access to remaining pesticide products, limits exemptions for urban pesticide use and tightly restricts remaining uses. For example, the bylaw in the region containing the Schneider’s Creek watershed restricted cosmetic pesticide use in the months of July and August only, whereas the provincial ban applies year-round. Further decreases in urban pesticide use were predicted in regions with pre-existing bylaws in response to the more restrictive provincial ban [15]; therefore, streams in regions with pre-existing bylaws were not excluded from the study.
2.2. Sample Collection
Samples were collected in certified clean 1 L amber glass bottles using grab sampling techniques across a range of stream flow conditions from low flow (dry periods) to high flow (after rain storms). All samples were collected mid-stream at depths ranging between 0.1 m and 1 m below the water surface and stored in coolers with ice packs for shipping to the laboratory. Samples were acidified with sulfuric acid to pH 2 in the field at the time of collection or within 48 hours of collection in the laboratory. Samples were stored at 4 °C prior to extraction and analysis. A portion of the samples from Highland and Mimico Creeks were collected using an auto-sampler during high flow conditions. Samples were pumped from these streams using a peristaltic pump and Teflon tubing into a stainless steel canister rinsed previously with hexane. Samples were then transferred to 1 L sample bottles for transport to the laboratory.
Samples collected in 2003–2008 and 2009–2012, respectively, represent the periods before and after the implementation of the cosmetic pesticides ban on 22 April 2009. Samples were not collected at all sites in all years. All samples were collected between the months of May and October to overlap with the typical pesticide application period for residential lawns, gardens and parks. Additional samples were collected periodically for quality assurance/quality control purposes including field duplicates, triplicates and blanks.
2.3. Laboratory Analyses
Acid herbicide (2,4-D, dicamba, mecoprop) concentrations were measured by AXYS Analytical Services (Sidney, British Columbia, Canada) and the National Laboratory for Environmental Testing (NLET, Environment Canada, Burlington, Ontario, Canada) using methods described in detail in Woudneh et al. [16] and Donald et al. [17]. Samples were analyzed in batches with additional laboratory quality control samples consisting of approximately 5% procedural blanks and 5% spiked reference samples. Detection limits for most analytes and samples were generally <1 ng L−1. Approximately 74% and 26% of 386 samples were analyzed by AXYS and NLET, respectively. Results from the two laboratories were pooled for plotting and statistical analysis. An inter-laboratory comparison was completed in 2012 using split samples from Indian Creek. No significant differences in analytical results between the two laboratories were observed (Wilcoxon signed-rank test; n = 8; α = 0.05).
In 2008 and 2009, samples from Highland, Sawmill and Schneider’s Creeks were analyzed for a broader suite of pesticides using methods described in Woudneh et al. [18], including 53 insecticides, 28 herbicides, six fungicides and 18 degradates. Results for the broader suite of pesticides are not presented herein except to provide context on the relative proportion of 2,4-D, dicamba and mecoprop concentrations compared to other pesticides concentrations. Total concentrations of varying pesticide types (e.g., insecticides) were calculated as the sum of their respective components.
2.4. Data Analyses
Canadian Water Quality Guidelines for the Protection of Aquatic Life [19] were used to assess potential toxicity. The guidelines are based on long-term no-effect concentrations that are protective of all forms of aquatic life and all stages of aquatic life cycles. The guidelines for 2,4-D and dicamba are 4,000 ng L−1 and 10,000 ng L−1, respectively. There is no Canadian guideline for mecoprop. The United Kingdom has proposed a predicted no-effect concentration of 18,000 ng L−1 for long-term exposure to mecoprop [20].
Stream flow data were available for five of the monitoring sites. Linear regressions on log10-transformed data were used to explore the association between stream water herbicide concentrations and stream flow. The regressions showed that herbicide concentrations were generally not related to stream flow (Supplementary Figure S2); therefore, no flow adjustment was applied to the herbicide concentration data prior to statistical testing.
Analytes reported as not detected were assigned the sample detection limit prior to plotting and statistical analysis. Statistical analyses were completed using SYSTAT version 13 with α = 0.05. Detailed results for statistical tests are provided in the Supplementary Materials. The Sharpiro-Wilk test was used to test for normality of datasets prior to statistical testing. The non-parametric Mann-Whitney rank-sum test was used to determine whether significant statistical differences existed between herbicide concentrations before and after the implementation of the cosmetic pesticides ban. The non-parametric Hodges-Lehmann estimator [21] was used to represent the magnitude of the difference in herbicide concentrations before and after the ban. The estimator is the median of all pairwise differences between two independent groups, in this case the pre- and post-ban concentrations. The percent difference in concentration was calculated by dividing the Hodges-Lehmann estimator by the median pre-ban concentration. Detailed pesticide use data were not available on the scale of the study watersheds so the use of watershed attributes (e.g., percent urban) as surrogates for pesticide use was explored. The non-parametric Spearman rank order correlation on untransformed data was used in initial examinations of bivariate relationships among median herbicide concentrations and watershed attributes. Because of multi-collinearity among the variables, forward stepwise regression analyses were used to generate explanatory models for median pre- and post-ban concentrations. Only variables having statistically significant effects were retained in the models. Prior to regression, variable data were log10-transformed, with the exception of percent agriculture and percent golf course which were log10+1-transformed. Locally weighted regression (LOWESS) with a smoothing parameter of 0.8 was used to smooth scatter plots of herbicide concentration versus time to explore general temporal trends.
3. Results
3.1. Detection
Acid herbicide concentrations were measured in 386 stream water samples collected between 2003 and 2012. Detection limits were generally at the sub ng L−1 level. Frequencies of detection were 98% (377/386), 96% (371/386) and nearly 100% (377/378), respectively for 2,4-D, dicamba and mecoprop. Maximum detected concentrations were 8,730 ng L−1 2,4-D (Masonville, August 2008), 601 ng L−1 dicamba (Masonville, August 2008) and 6,590 ng L−1 mecoprop (Indian, July 2004). 2,4-D concentrations exceeded the guideline for protecting aquatic life in 1% (5/386) of samples. There were no detections exceeding the guideline for dicamba or the predicted no-effect concentration for mecoprop.
3.2. Temporal Changes
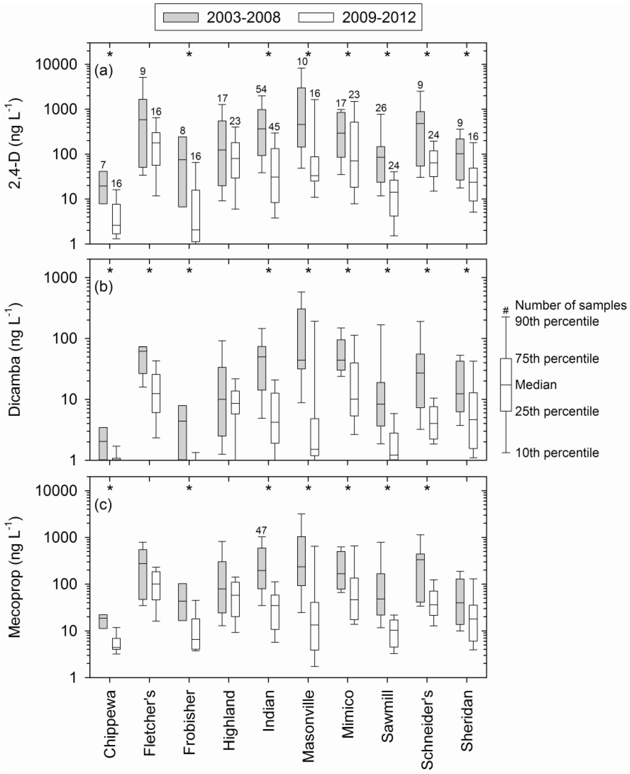
Median 2,4-D concentrations at the ten study sites ranged from 20 ng L−1 (Chippewa) to 585 ng L−1 (Fletcher’s) before the ban, and from 2 ng L−1 (Frobisher) to 178 ng L−1 (Fletcher’s) after the ban (Figure 2a). 2,4-D concentrations decreased significantly (Mann-Whitney test; p < 0.05) after the ban at eight of ten study sites. Decreases in 2,4-D concentrations, as indicated by the Hodges-Lehmann estimator, ranged from 16% to 87% (mean = 64%) for these eight sites. Median dicamba concentrations ranged from 2 ng L−1 (Chippewa) to 62 ng L−1 (Fletcher’s) before the ban, and from 0.1 ng L−1 (Frobisher) to 12 ng L−1 (Fletcher’s) after the ban (Figure 2b). Significant decreases in dicamba concentrations were observed at nine study sites, with decreases ranging from 53% to 91% (mean = 74%). Median mecoprop concentrations ranged from 19 ng L−1 (Chippewa) to 333 ng L−1 (Schneider’s) before the ban, and from 4 ng L−1 (Chippewa) to 101 ng L−1 (Fletcher’s) after the ban (Figure 2c). Significant decreases in mecoprop concentrations were observed at seven study sites, with decreases ranging from 40% to 83% (mean = 69%). None of the sites showed a significant increase in 2,4-D, dicamba or mecoprop concentrations. Highland Creek was the only stream that did not show a significant difference in pre- and post-ban concentrations for at least one of the three herbicides. The combination of 2,4-D, dicamba and mecoprop comprised between 44% (Highland) and 79% (Schneider’s) of the total stream water pesticides concentration in 2008, and 25% (Sawmill) to 39% (Highland) in 2009 (Figure 3).
Plots of herbicide concentrations versus time for Indian and Sawmill Creeks show a step in the trend corresponding with the implementation of the cosmetic pesticides ban in April 2009 (Figure 4). The LOWESS regressions also show a decreasing trend in herbicide concentrations over the period of monitoring.
3.3. Land Use Influences
Watersheds ranged from 1.4 km2 (Masonville) to 75 km2 (Highland) in drainage area (mean 29 km2) (Table 1). Mean annual stream flow ranged from 0.3 m3 s−1 (Sawmill) to 1.2 m3 s−1 (Highland). The proportion of urban land cover ranged from 35% to 97% (mean 72%). Three of the watersheds (Chippewa, Indian and Mimico Creeks) contained golf courses comprising <2% of the watershed area. Agricultural land cover comprised <4% of the watershed area in Indian and Schneider’s Creeks and 38% of the Fletcher’s Creek watershed. Forward stepwise regressions identified the watershed variables that best explained the variation in 2,4-D, dicamba and mecoprop concentrations (Table 2). Population density was the first variable to enter the regression models for pre- and post-ban concentrations of the three herbicides, with the exception of post-ban dicamba where percent urban land cover was the first to enter the model. Population density explained 46%, 36% and 40% of the variation in pre-ban 2,4-D, dicamba and mecoprop concentrations, and 74% and 65% of the variation in post-ban 2,4-D and mecoprop concentrations. No other watershed variables had significant effects in the models for pre-ban 2,4-D and mecoprop concentrations. Percent urban and percent agriculture explained 63% and 20% of the variation in post-ban dicamba concentrations. Percent golf course was the second variable to enter the models for post-ban 2,4-D and mecoprop concentrations, explaining 13% and 20% of the variation, respectively.
Figure 2.
Concentrations of (a) 2,4-D, (b) dicamba and (c) mecoprop for the ten urban stream monitoring sites, 2003–2008 (pre-ban) and 2009–2012 (post-ban). An asterisk (*) indicates a significant (p < 0.05) difference between the pre- and post-ban concentrations based on a Mann-Whitney test.
Figure 2.
Concentrations of (a) 2,4-D, (b) dicamba and (c) mecoprop for the ten urban stream monitoring sites, 2003–2008 (pre-ban) and 2009–2012 (post-ban). An asterisk (*) indicates a significant (p < 0.05) difference between the pre- and post-ban concentrations based on a Mann-Whitney test.

Figure 3.
Percentage of total pesticide concentration by pesticide type for three study sites in 2008 and 2009 (n = 8 samples per year per site).
Figure 3.
Percentage of total pesticide concentration by pesticide type for three study sites in 2008 and 2009 (n = 8 samples per year per site).

Figure 4.
Stream water concentrations of 2,4-D, dicamba and mecoprop versus time for Indian Creek and Sawmill Creek, 2003–2012. LOWESS (solid) line represents the general temporal trend. The vertical (dashed) line denotes the date of the cosmetic pesticides ban.
Figure 4.
Stream water concentrations of 2,4-D, dicamba and mecoprop versus time for Indian Creek and Sawmill Creek, 2003–2012. LOWESS (solid) line represents the general temporal trend. The vertical (dashed) line denotes the date of the cosmetic pesticides ban.

Table 1.
Locations and attributes for the ten study sites.
| Stream | Latitude (°N) | Longitude (°W) | Area (km2) | Urban (%) | Agriculture (%) | Golf Course (%) | Population Density (km km2) | Road Density (km km−2) | Stream Density (km km2) | Mean Flow (m3 s−1) |
|---|---|---|---|---|---|---|---|---|---|---|
| Chippewa | 46.300 | −79.461 | 40.2 | 38 | 0 | 1.2 | 463 | 4.0 | 1.2 | 0.6 |
| Fletcher’s | 43.659 | −79.741 | 31.2 | 58 | 38 | 0 | 2,799 | 4.1 | 2.5 | n/a |
| Frobisher | 46.484 | −80.936 | 4.4 | 35 | 0 | 0 | 869 | 5.0 | 0.6 | n/a |
| Highland | 43.779 | −79.191 | 74.8 | 89 | 0 | 0 | 3,945 | 9.2 | 0.8 | 1.2 |
| Indian | 43.316 | −79.811 | 22.3 | 73 | 4 | 1.7 | 1,466 | 8.2 | 3.2 | n/a |
| Masonville | 43.018 | −81.268 | 1.4 | 69 | 0 | 0 | 1,815 | 5.1 | 2.6 | n/a |
| Mimico | 43.646 | −79.517 | 60.0 | 96 | 0 | 1.6 | 1,525 | 7.8 | 0.9 | 0.8 |
| Sawmill | 45.390 | −75.676 | 21.6 | 71 | 0 | 0 | 1,766 | 8.8 | 1.4 | 0.3 |
| Schneider’s | 43.438 | −80.473 | 30.1 | 91 | 4 | 0 | 2,739 | 8.9 | 0.9 | 0.4 |
| Sheridan | 43.516 | −79.615 | 8.3 | 97 | 0 | 0 | 1,784 | 10.0 | 0.6 | n/a |
Table 2.
Models built from forward stepwise regressions.
| Variable | Equation | r2 a | F | p |
|---|---|---|---|---|
| log102,4-Dpre-ban | −1.65 + 1.21log10(population density) | 0.46 | 6.8 | 0.03 |
| log10dicambapre-ban | −2.31 + 1.07log10(population density) + 0.97log10(stream density) | 0.36, 0.63 | 5.9 | 0.03 |
| log10mecoproppre-ban | −1.31 + 1.03log10(population density) | 0.40 | 5.3 | 0.05 |
| log102,4-Dpost-ban | −7.04 + 1.60log10(population density) + 0.77log10(%golf + 1) − 2.09log10(road density) + 2.67log10(% urban) +0.20log10(%agriculture + 1) | 0.74, 0.87, 0.93, 0.98, 0.99 | 165 | <0.001 |
| log10dicambapost-ban | −5.78 + 3.28log10(%urban) + 0.55log10(% agriculture+1) | 0.63, 0.83 | 17.6 | 0.002 |
| log10mecoproppost-ban | −3.71 + 1.51log10(population density) + 1.03log10(%golf + 1) + 0.26log10(%agriculture + 1) | 0.65, 0.85, 0.93 | 27.9 | <0.001 |
a Cumulative for each variable entered.
3.4. Herbicide Ratios
Ratios of median concentrations of 2,4-D, dicamba and mecoprop were examined at each of the ten study sites before and after the ban. Results from before the ban show that the order of concentration was 2,4-D > mecoprop > dicamba with a median ratio of 10:6:1. Results from after the ban show that the order of concentration remained 2,4-D > mecoprop > dicamba with a median ratio of 10:7:1.
4. Discussion
4.1. Detection
The current study results are consistent with previous studies identifying 2,4-D, dicamba and mecoprop as some of the most frequently detected pesticides in urban streams in Ontario [12,13]. However, concentrations observed in the current study were greater than those previously reported. Glozier et al. [13] reported maximum concentrations of 895 ng L−1, 176 ng L−1 and 641 ng L−1 of 2,4-D, dicamba and mecoprop in 18 samples collected from three urban Ontario streams in 2007. Maximum concentrations observed in the current study were three to ten times greater. The larger sample size in the current study increased the likelihood of sampling an infrequent spike in stream water herbicide concentrations. The inclusion of relatively small watersheds (e.g., Masonville) in the current study may have also been a factor as maximum pesticide concentrations are inversely related to watershed area [22,23].
4.2. Sources
The current study results suggest that herbicide occurrence in the study streams was influenced by land cover and associated pesticide uses. 2,4-D, dicamba and mecoprop collectively comprised between 44% and 79% of the total pesticides concentration in the study streams prior to the ban, which is consistent with a pesticide use survey that showed that these three pesticides accounted for 51% of the total amount of pesticides used by professional lawn care applicators in Ontario [11]. Detailed pesticide use data were not available on the scale of the study watersheds. However, if population density and urban land cover are considered surrogates for urban pesticide use, the forward stepwise regression results suggest that urban uses of herbicides had a significant influence on concentrations in the study streams. Formulations used in pesticide products for urban use in Canada generally consist of a combination of 2,4-D, mecoprop and dicamba with a concentration ratio of approximately 10:3:1 [13]. The ratios of 10:6:1 and 10:7:1 observed at the study sites before and after the ban are relatively consistent with the formulation found in these pesticide products, suggesting an association between herbicide concentrations in urban streams and urban use of pesticide products containing 2,4-D, mecoprop and dicamba.
4.3. Influence of Pesticides Regulation
Statistical analyses of herbicide concentrations in ten urban Ontario streams indicate that concentrations of 2,4-D, dicamba and mecoprop decreased significantly after the ban on the sale and use of pesticides for cosmetic purposes. Concentrations in a majority of the study streams decreased significantly with decreases ranging from 16% to 92% depending on the stream and herbicide. These results are consistent with studies in the United States showing significant decreases in concentrations of diazinon and chlorpyrifos in urban streams following a federally mandated phase out of these insecticides [7,8,9]. Phillips et al. [9] observed decreases of over 50% in summer diazinon concentrations with a corresponding decrease in the frequency of diazinon concentrations exceeding a water quality criterion for aquatic life, from 10% to less than 1% of summer samples before and after the phase out, respectively. In the current study, decreases averaged 64%, 74% and 69% for 2,4-D, dicamba and mecoprop; however, detections exceeding an aquatic life protection guideline remained below 1% of samples before and after the ban.
Differences in pre- and post-ban concentrations of 2,4-D and mecoprop in Fletcher’s Creek were not statistically significant. It’s possible that remaining agricultural uses of pesticides in the headwaters of the watershed masked the influence of urban pesticide uses. Differences in pre- and post-ban concentrations of 2,4-D, dicamba and mecoprop were not significant in the Highland Creek. This could reflect that municipal bylaws were already in place and that some reductions in urban pesticide use were already achieved prior to the provincial ban [15].
Plots of herbicide concentrations versus time for Indian and Sawmill Creeks suggest that a declining trend in herbicide concentrations may have preceded the ban. There were no municipal bylaws restricting pesticide use for cosmetic purposes in the Indian and Sawmill Creek watersheds prior to the Ontario ban. Long term decreases in stream water herbicide concentrations in these watersheds can not be attributed to local pesticides regulation. However, municipal and provincial governments in other regions within and outside Ontario had regulations in place to restrict the use of cosmetic pesticides. These regulations drew media attention, prompted legal action and inspired public debate on the rights of landowners and lawn care companies and the role of governments in regulating pesticide use. Decreases in stream water herbicides concentrations in Indian and Sawmill Creeks prior to the Ontario ban may be related to increased public awareness and voluntary reductions in cosmetic uses of pesticides within these watersheds. Hermosin et al. [24] attributed decreases in surface water herbicide concentrations in southern Spain to a combination of government regulations and education campaigns for farmers on best pesticide management practices. Statistics Canada [25] survey data show that the proportion of households in Ontario that used pesticides on their lawns or garden decreased slightly in the years leading up to the province-wide ban, from 34% in 2005 to 30% in 2007, and decreased substantially after the ban to 10% in 2009. Survey data for Quebec, Ontario’s neighbouring province, show a similar trend [25]. Municipal bylaws restricting cosmetic pesticide use were in place in certain regions of Quebec in the 1990s. The proportion of households in Quebec that used pesticides on their lawns and gardens decreased from 30% in 1994 to 15% in 2005. After Quebec imposed province-wide restrictions on the sale and use of cosmetic pesticides in 2006, the proportion of households that used pesticides on their lawn or garden further decreased to 4% in 2007.
4.4. Influence on Aquatic Ecosystems
Results from the current and previous studies [12,13] show that individual pesticide concentrations in urban Ontario streams infrequently exceeded aquatic life protection guidelines. However, these studies also show that multiple pesticides routinely co-occurred in urban streams. Environmental mixtures of pesticides can have additive or synergistic toxic effects [26,27]. In controlled laboratory experiments, Tierney et al. [28] exposed fish to mixtures of 2,4-D, dicamba, glyphosate and mecoprop at concentrations representative of urban streams in British Columbia, Canada. They found that fish chose to spend more time in pulses of representative herbicide mixtures and concluded that exposure to herbicide mixtures can cause significant behavioural changes at concentrations several orders of magnitude below lethal concentrations. Further study is needed to understand the potential sub-lethal effects of environmental pesticide mixtures on aquatic life. This will be especially challenging in urban environments where water quality impacts are not limited to pesticide loading.
5. Conclusions
Study results show that restrictions on the sale and use of pesticides for cosmetic (non-essential) purposes can result in significant decreases in the concentrations of banned pesticides in urban streams. Increased public awareness of pesticide issues and voluntary reductions in urban pesticides use may also be factors in decreasing stream water pesticides concentrations.
Acknowledgments
The authors gratefully acknowledge John Kraft, Dave Supper, Janis Thomas and Ontario’s Conservation Authorities for sample collection and AXYS Analytical Services and the National Laboratory for Environmental Testing for sample analysis. Tim Fletcher provided input on the study design, Keith Somers provided guidance on statistical methods and Georgina Kaltenecker assisted with geospatial analyses. Two anonymous reviewers and the editor provided helpful comments. This study was funded jointly by the Ontario Ministry of the Environment and Environment Canada’s Pesticides Science Fund.
Supporting Information Available
Inter-laboratory comparison statistical tests (Supplementary Table S1) and plots (Supplementary Figure S1); plots of herbicide concentrations versus stream flow for Highland and Mimico Creeks (Supplementary Figure S2); results of statistical tests for differences in herbicide concentrations before and after the ban (Supplementary Tables S2–S4); correlations between herbicide concentrations and watershed attributes for the pre- and post-ban periods (Supplementary Tables S5 and S6); relative proportions of 2,4-D, dicamba and mecoprop by study site before and after the ban (Supplementary Figure S3).
Author Contributions
Aaron Todd had the original idea for the study. The co-authors collaboratively designed the study, coordinated the collection and laboratory analysis of samples, and managed and quality assured the data. Aaron Todd analyzed the data and drafted the manuscript, which was revised by John Struger. The co-authors read and approved the final manuscript.
Conflicts of Interest
The authors declare no conflict of interest.
References
- Skark, C.; Zullei-Seibert, N.; Willme, U.; Gatzemann, U.; Schlett, C. Contribution of non-agricultural pesticides to pesticide load in surface water. Pest Manag. Sci. 2004, 60, 525–530. [Google Scholar] [CrossRef]
- Hoffman, R.S.; Capel, P.D.; Larson, S.J. Comparison of pesticide use in eight U.S. urban streams. Environ. Toxicol. Chem. 2000, 19, 2249–2258. [Google Scholar] [CrossRef]
- Phillips, P.J.; Bode, R.W. Pesticides in surface water runoff in south-eastern New York State: Seasonal and stormflow effects on concentrations. Pest Manag. Sci. 2004, 60, 531–543. [Google Scholar] [CrossRef]
- Gilliom, R.J.; Barbash, J.E.; Crawford, C.G.; Hamilton, P.A.; Martin, J.D.; Nakagaki, N.; Nowell, L.H.; Scott, J.C.; Stackelberg, P.E.; Thelin, G.P.; et al. The Quality of Our Nation’s Waters—Pesticides in the Nation’s Streams and Ground Water, 1992–2001; Circular 1291; U.S. Geological Survey: Reston, VA, USA, 2006. [Google Scholar]
- Sprague, L.A.; Nowell, L.H. Comparison of pesticide concentrations in streams at low flow in six metropolitan areas of the United States. Environ. Toxicol. Chem. 2008, 27, 288–298. [Google Scholar] [CrossRef]
- Blanchoud, H.; Farrugia, F.; Mouchel, J.M. Pesticide uses and transfers in urbanized catchments. Chemosphere 2004, 55, 905–913. [Google Scholar] [CrossRef]
- Banks, K.E.; Hunter, D.H.; Wachal, D. Chlorpyrifos in surface waters before and after a federally mandated ban. Environ. Int. 2005, 31, 351–356. [Google Scholar] [CrossRef]
- Banks, K.E.; Hunter, D.H.; Wachal, D. Diazinon in surface waters before and after a federally-mandated ban. Sci. Total Environ. 2005, 350, 86–93. [Google Scholar] [CrossRef]
- Phillips, P.J.; Ator, S.W.; Nystrom, E.A. Temporal changes in surface-water insecticide concentrations after the phaseout of diazinon and chlorpyrifos. Environ. Sci. Technol. 2007, 41, 4246–4251. [Google Scholar] [CrossRef]
- Pesticide Product Information System. Available online: http://app.ene.gov.on.ca/pepsis/ (accessed on 14 January 2010).
- Hunter, C.; McGee, B. Survey of Pesticide Use in Ontario, 1993; Ontario Ministry of Agriculture, Food and Rural Affairs: Toronto, ON, Canada, 1994. [Google Scholar]
- Struger, J.; Fletcher, T. Occurrence of lawn care and agricultural pesticides in the Don River and Humber River watersheds (1998–2002). J. Great Lakes Res. 2007, 33, 887–905. [Google Scholar] [CrossRef]
- Glozier, N.E.; Struger, J.; Cessna, A.J.; Gledhill, M.; Rondeau, M.; Ernst, W.R.; Sekela, M.A.; Cagampan, S.J.; Sverko, E.; Murphy, C.; et al. Occurrence of glyphosate and acidic herbicides in select urban rivers and streams in Canada, 2007. Environ. Sci. Pollut. Res. 2011, 19, 821–834. [Google Scholar]
- HYDAT Database. Available online: http://www.ec.gc.ca/rhc-wsc/ (accessed on 11 August 2013).
- Final Evaluation of Toronto’s Pesticide Bylaw and Summary of New Provincial Pesticide Regulation. Available online: http://www.toronto.ca/legdocs/mmis/2009/hl/bgrd/backgroundfile-21099.pdf (accessed on 12 March 2014).
- Woudneh, M.B.; Sekela, M.; Tuominen, T.; Gledhill, M. Isotope dilution high-resolution gas chromatography/high-resolution mass spectrometry method for analysis of selected acidic herbicides in surface water. J. Chromatogr. A 2006, 1133, 293–299. [Google Scholar] [CrossRef]
- Donald, D.B.; Cessna, A.J.; Sverko, E.; Glozier, N.E. Pesticides in surface drinking-water supplies of the northern Great Plains. Environ. Health Perspect. 2007, 115, 1183–1191. [Google Scholar] [CrossRef]
- Woudneh, M.B.; Ou, Z.; Sekela, M.; Tuominen, T.; Gledhill, M. Pesticide multiresidues in waters of the Lower Fraser Valley, British Columbia, Canada. Part II. Groundwater. J. Environ. Qual. 2009, 38, 948–954. [Google Scholar] [CrossRef]
- Canadian Water Quality Guidelines for the Protection of Aquatic Life. Available online: http://ceqg-rcqe.ccme.ca/ (accessed on 12 March 2014).
- Proposed EQS for Water Framework Directive Annex VIII Substances: Mecoprop. Available online: http://a0768b4a8a31e106d8b0-50dc802554eb38a24458b98ff72d550b.r19.cf3.rackcdn.com/scho1110bteo-e-e.pdf (accessed on 12 March 2014).
- Helsel, D.R.; Hirsch, R.M. Statistical Methods in Water Resources, Techniques of Water Resources Investigations of the United States Geological Survey; U.S. Geological Survey: Reston, VA, USA, 2002. [Google Scholar]
- Richards, R.P.; Baker, D.B. Pesticide concentration patterns in agricultural drainage networks in the Lake Erie Basin. Environ. Toxicol. Chem. 1993, 12, 13–26. [Google Scholar] [CrossRef]
- Crawford, C.G. Factors affecting pesticide occurrence and transport in a large midwestern river basin. J. Am. Water Resour. Assoc. 2001, 37, 1–15. [Google Scholar] [CrossRef]
- Hermosin, M.C.; Calderon, M.J.; Real, M.; Cornejo, J. Impact of herbicides uses in olive groves on waters of the Guadalquivir river basin (southern Spain). Agric. Ecosyst. Environ. 2013, 164, 229–243. [Google Scholar] [CrossRef]
- Households and the Environment Survey, 1994, 2006, 2007, 2009. Available online: http://www.statcan.gc.ca/ (accessed on 22 August 2013).
- Battaglin, W.; Fairchild, J. Potential toxicity of pesticides measured in midwestern streams to aquatic organisms. Water Sci. Technol. 2002, 45, 95–103. [Google Scholar]
- Laetz, C.A.; Baldwin, D.H.; Collier, T.K.; Hebert, V.; Stark, J.D.; Scholz, N.L. The synergistic toxicity of pesticide mixtures: Implications for risk assessment and the conservation of endangered Pacific salmon. Environ. Health Perspect. 2009, 117, 348–353. [Google Scholar] [CrossRef]
- Tierney, K.B.; Sekela, M.A.; Cobbler, C.E.; Xhabija, B.; Gledhill, M.; Ananvoranich, S.; Zieleinski, B.S. Evidence for behavioral preference toward environmental concentrations of urban-use herbicides in a model adult fish. Environ. Toxicol. Chem. 2011, 30, 2046–2054. [Google Scholar] [CrossRef]
© 2014 by the authors; licensee MDPI, Basel, Switzerland. This article is an open access article distributed under the terms and conditions of the Creative Commons Attribution license (http://creativecommons.org/licenses/by/3.0/).