Engagement with Optional Formative Feedback in a Portfolio-Based Digital Design Module
Abstract
1. Introduction
RQ1. Does the use of formative feedback on assessment tasks help students improve their performance in summative assessments?RQ2. How does content engagement differ between students who get formative feedback and those who do not?RQ3. What student characteristics are associated with seeking formative feedback?RQ4. How useful do students find formative feedback in relation to the learning objectives of a digital design module? Does this kind of feedback change their attitudes to learning?
2. Literature Review
2.1. Formative Assessment and Feedback
2.2. Leveraging Learning Analytics to Enhance Formative Assessment and Feedback in Computer Science Education
3. Materials and Methods
3.1. General Procedure
3.2. Educational Context/Course Unit
- (1)
- Conduct professional quality stakeholder, context and competitor research using industry-standard methodologies.
- (2)
- Identify and develop creative solutions to a design problem and iterate and select among them for prototyping.
- (3)
- Identify good practices in a particular programming language and use this to implement key features for mobile, web or other digital interfaces.
- (a)
- The module information which includes information about the module aims, the learning outcomes, and the technologies that are utilised in the context of the module;
- (b)
- The learning materials which contain the weekly lecture notes, the pre-recorded lectures, the tutorial notes, and the tutorial activities that students had to complete on a weekly basis;
- (c)
- The reading list which includes various resources for the students (books, journal articles);
- (d)
- The assessment requirements/criteria which include the assignment specification/criteria for each task.
3.3. Sample
3.4. Measures and Data Analysis
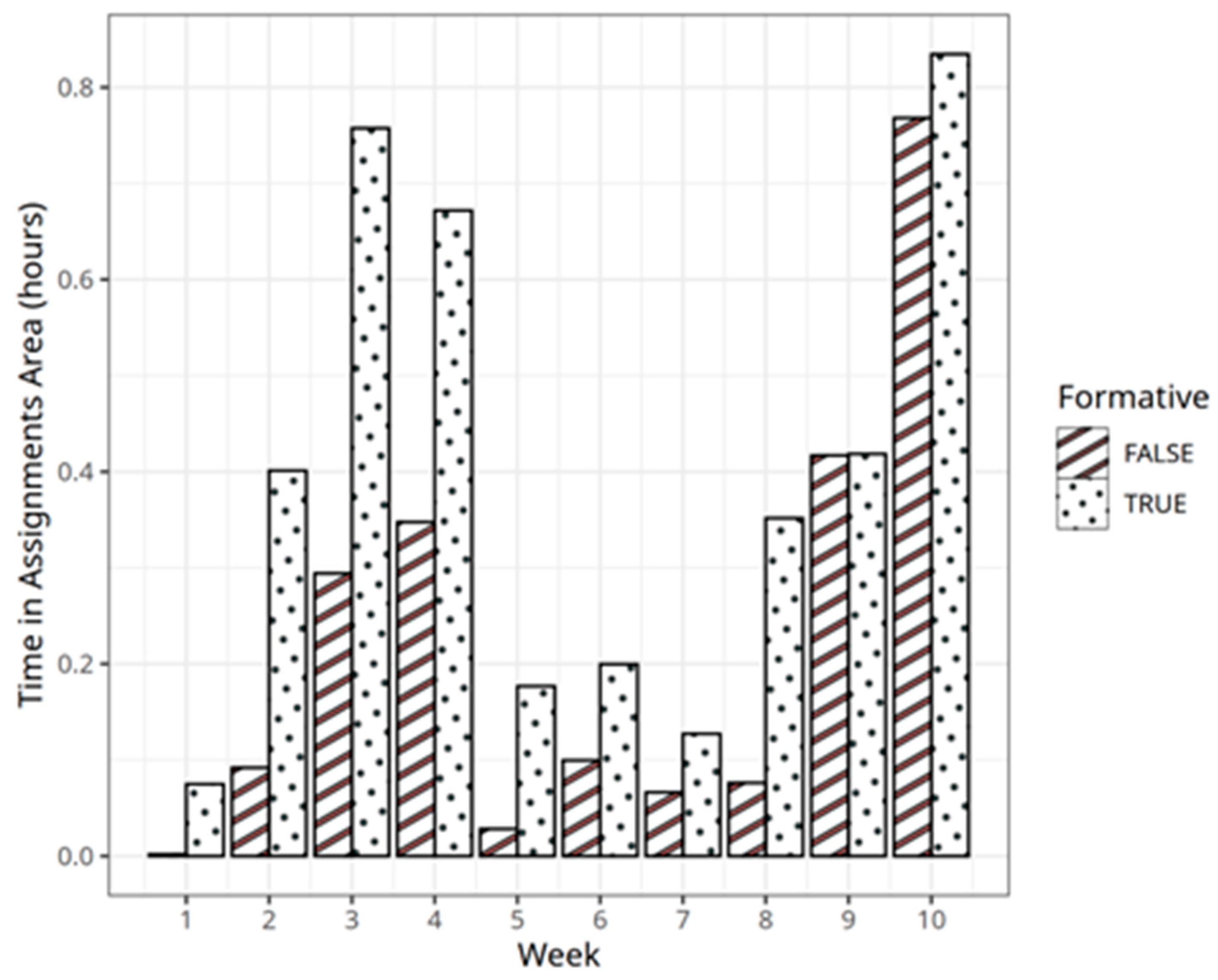
4. Results
- “I will enjoy this module”
- “The formative assessment tasks will be highly effective for my learning”
- “Communication with the instructor will be very frequent”
- “I will be able to identify my strengths and weaknesses within my own work”
- “I will collaborate with others to complete some of the tasks”
- “Formative assessment tasks will help me know how well I am doing”
- “I will be a more independent learner”
- “I will develop my writing skills and my approach to writing coursework as a result of the module”
- “I will adjust my work regularly as I go along”
- “I will stick to my original plan”
- “I will produce an end result which I am proud of”

“feedback helped me to understand what the assessment is asking to do to meet the learning outcomes”;
“The good thing is that I had formative feedback on my tasks for this module, in which I was very happy as I could improve the tasks that went wrong or something was missing”.
“I think using rubrics is more straightforward”.
“Actually, the feedback received has been mentioning comments that were in the rubric and marking criteria. It is more useful if the feedback comes from the marking criteria as this is what the marker sees when marking the assessment”.
5. Discussion
6. Conclusions
7. Limitations and Future Work
Author Contributions
Funding
Data Availability Statement
Acknowledgments
Conflicts of Interest
References
- Boud, D.; Molloy, E. What Is the Problem with Feedback? In Feedback in Higher and Professional Education; Routledge: Oxfordshire, UK, 2012; pp. 1–10. ISBN 0-203-07433-5. [Google Scholar]
- Gikandi, J.W.; Morrow, D.; Davis, N.E. Online Formative Assessment in Higher Education: A Review of the Literature. Comput. Educ. 2011, 57, 2333–2351. [Google Scholar] [CrossRef]
- Boud, D.; Molloy, E. Rethinking Models of Feedback for Learning: The Challenge of Design. Assess. Eval. High. Educ. 2013, 38, 698–712. [Google Scholar] [CrossRef]
- Orr, D.; Weller, M.; Farrow, R. How Is Digitalisation Affecting the Flexibility and Openness of Higher Education Provision? Results of a Global Survey Using a New Conceptual Model. J. Interact. Media Educ. 2019, 2019, 71539. [Google Scholar] [CrossRef]
- Avcı, Ü.; Ergün, E. Online Students’ LMS Activities and Their Effect on Engagement, Information Literacy and Academic Performance. Interact. Learn. Environ. 2022, 30, 71–84. [Google Scholar] [CrossRef]
- Lokkila, E.; Christopoulos, A.; Laakso, M.-J. A Data-Driven Approach to Compare the Syntactic Difficulty of Programming Languages. J. Inf. Syst. Educ. 2023, 34, 84–93. [Google Scholar]
- Helal, S.; Li, J.; Liu, L.; Ebrahimie, E.; Dawson, S.; Murray, D.J.; Long, Q. Predicting Academic Performance by Considering Student Heterogeneity. Knowl.-Based Syst. 2018, 161, 134–146. [Google Scholar] [CrossRef]
- Silvola, A.; Näykki, P.; Kaveri, A.; Muukkonen, H. Expectations for Supporting Student Engagement with Learning Analytics: An Academic Path Perspective. Comput. Educ. 2021, 168, 104192. [Google Scholar] [CrossRef]
- Tsimaras, D.O.; Mystakidis, S.; Christopoulos, A.; Zoulias, E.; Hatzilygeroudis, I. E-Learning Courses Evaluation on the Basis of Trainees’ Feedback on Open Questions Text Analysis. Educ. Sci. 2022, 12, 633. [Google Scholar] [CrossRef]
- Viberg, O.; Hatakka, M.; Bälter, O.; Mavroudi, A. The Current Landscape of Learning Analytics in Higher Education. Comput. Hum. Behav. 2018, 89, 98–110. [Google Scholar] [CrossRef]
- Broadbent, J.; Sharman, S.; Panadero, E.; Fuller-Tyszkiewicz, M. How Does Self-Regulated Learning Influence Formative Assessment and Summative Grade? Comparing Online and Blended Learners. Internet High. Educ. 2021, 50, 100805. [Google Scholar] [CrossRef]
- Fukuda, S.T.; Lander, B.W.; Pope, C.J. Formative Assessment for Learning How to Learn: Exploring University Student Learning Experiences. RELC J. 2022, 53, 118–133. [Google Scholar] [CrossRef]
- Hatzipanagos, S.; Warburton, S. Feedback as Dialogue: Exploring the Links between Formative Assessment and Social Software in Distance Learning. Learn. Media Technol. 2009, 34, 45–59. [Google Scholar] [CrossRef]
- Guay, F.; Vallerand, R.J.; Blanchard, C. On the Assessment of Situational Intrinsic and Extrinsic Motivation: The Situational Motivation Scale (SIMS). Motiv. Emot. 2000, 24, 175–213. [Google Scholar] [CrossRef]
- Ryan, R.M.; Deci, E.L. Intrinsic and Extrinsic Motivation from a Self-Determination Theory Perspective: Definitions, Theory, Practices, and Future Directions. Contemp. Educ. Psychol. 2020, 61, 101860. [Google Scholar] [CrossRef]
- Mystakidis, S. Sustainable Engagement in Open and Distance Learning with Play and Games in Virtual Reality. In Handbook of Research on Gamification Dynamics and User Experience Design; Bernardes, O., Amorim, V., Moreira, A.C., Eds.; IGI Global: Hershey, PA, USA, 2022; pp. 409–424. [Google Scholar]
- Zainuddin, Z.; Shujahat, M.; Haruna, H.; Chu, S.K.W. The Role of Gamified E-Quizzes on Student Learning and Engagement: An Interactive Gamification Solution for a Formative Assessment System. Comput. Educ. 2020, 145, 103729. [Google Scholar] [CrossRef]
- Haugan, J.; Lysebo, M.; Lauvas, P. Mandatory Coursework Assignments Can Be, and Should Be, Eliminated! Eur. J. Eng. Educ. 2017, 42, 1408–1421. [Google Scholar] [CrossRef]
- Pardo, A.; Han, F.; Ellis, R.A. Combining University Student Self-Regulated Learning Indicators and Engagement with Online Learning Events to Predict Academic Performance. IEEE Trans. Learn. Technol. 2017, 10, 82–92. [Google Scholar] [CrossRef]
- Ertmer, P.A.; Koehler, A.A. Facilitated versus Non-Facilitated Online Case Discussions: Comparing Differences in Problem Space Coverage. J. Comput. High. Educ. 2015, 27, 69–93. [Google Scholar] [CrossRef]
- Caspersen, M.; Bennedsen, J. Instructional Design of a Programming Course: A Learning Theoretic Approach. In Proceedings of the Third International Computing Education Research Workshop, ICER’07, Atlanta, GA, USA, 15–16 September 2007; pp. 111–122. [Google Scholar] [CrossRef]
- Hattie, J.; Timperley, H. The Power of Feedback. Available online: https://journals.sagepub.com/doi/abs/10.3102/003465430298487 (accessed on 7 May 2023).
- Shute, V.J. Focus on Formative Feedback. Rev. Educ. Res. 2008, 78, 153–189. [Google Scholar] [CrossRef]
- Nicol, D.J.; Macfarlane-Dick, D. Formative Assessment and Self-regulated Learning: A Model and Seven Principles of Good Feedback Practice. Stud. High. Educ. 2006, 31, 199–218. [Google Scholar] [CrossRef]
- Sadler, I.; Reimann, N.; Sambell, K. Feedforward Practices: A Systematic Review of the Literature. Assess. Eval. High. Educ. 2022, 48, 305–320. [Google Scholar] [CrossRef]
- Morris, R.; Perry, T.; Wardle, L. Formative Assessment and Feedback for Learning in Higher Education: A Systematic Review. Rev. Educ. 2021, 9, e3292. [Google Scholar] [CrossRef]
- Carless, D.; Boud, D. The Development of Student Feedback Literacy: Enabling Uptake of Feedback. Assess. Eval. High. Educ. 2018, 43, 1315–1325. [Google Scholar] [CrossRef]
- Winstone, N.E.; Nash, R.A.; Parker, M.; Rowntree, J. Supporting Learners’ Agentic Engagement with Feedback: A Systematic Review and a Taxonomy of Recipience Processes. Educ. Psychol. 2017, 52, 17–37. [Google Scholar] [CrossRef]
- Tai, J.; Ajjawi, R.; Boud, D.; Dawson, P.; Panadero, E. Developing Evaluative Judgement: Enabling Students to Make Decisions about the Quality of Work. High. Educ. 2018, 76, 467–481. [Google Scholar] [CrossRef]
- Iraj, H.; Fudge, A.; Khan, H.; Faulkner, M.; Pardo, A.; Kovanović, V. Narrowing the Feedback Gap: Examining Student Engagement with Personalized and Actionable Feedback Messages. J. Learn. Anal. 2021, 8, 101–116. [Google Scholar] [CrossRef]
- Chen, Z.; Jiao, J.; Hu, K. Formative Assessment as an Online Instruction Intervention. Int. J. Distance Educ. Technol. 2021, 19, 50–65. [Google Scholar] [CrossRef]
- Colquitt, J.; Simmering, M. Conscientiousness, goal orientation, and motivation to learn during the learning process: A longitudinal study. J. Appl. Psychol. 1998, 83, 654–665. [Google Scholar] [CrossRef]
- Ryan, R.M.; Deci, E.L. Self-Determination Theory and the Facilitation of Intrinsic Motivation, Social Development, and Well-Being. Am. Psychol. 2000, 55, 68–78. [Google Scholar] [CrossRef]
- Deci, E.L.; Ryan, R.M. The “What” and “Why” of Goal Pursuits: Human Needs and the Self-Determination of Behavior. Psychol. Inq. 2000, 11, 227–268. [Google Scholar] [CrossRef]
- Kruger, J.; Dunning, D. Unskilled and Unaware of It: How Difficulties in Recognizing One’s Own Incompetence Lead to Inflated Self-Assessments. J. Personal. Soc. Psychol. 1999, 77, 1121–1134. [Google Scholar] [CrossRef] [PubMed]
- Huizenga, M.; Smidts, D.P.; Ridderinkhof, K.R. Change of Mind: Cognitive Flexibility in the Classroom. Perspect. Lang. Lit. 2014, 40, 31–35. [Google Scholar]

| Portfolio-Assessment | Release Time | Description of What Students Are Required for Each Task. | Submission Deadline | Feedback (One Week after Submitted) |
|---|---|---|---|---|
| Task 1 (Empathise) 25% | Beginning of week 1 | Create a mood board containing representative photos, colours, fonts, and reference designs using Figma and provide a description of the process of creating the mood board. | End of week 2 | Beginning of week 3 |
| Task 2 (Define) 25% | Beginning of week 3 | Define the User Experience (UX) mapping, define a persona and an associated scenario represented as a design map and describe this process. | End of week 4 | Beginning of week 5 |
| Task 3 (Ideate) 25% | Beginning of week 5 | Capture their user interface as a wireframe and provide an analysis of the Information Architecture of the wireframe(s) containing Organisation, Labelling, Navigation, and Search. It also required them to include a blueprint diagram representing the organisational hierarchy to indicate flow between screens and describe this process. | End of week 6 | Beginning of week 7 |
| Task 4 (Prototype) 25% | Beginning of week 7 | Construct an interactive functional prototype of their app. This would be one or more static web pages that run in the browser, created using HTML and CSS. Students also had to provide a walkthrough of the scenario and a description of the CSS styling used | End of week 8 | Beginning of week 9 |
| Task 1 (14 Out of 25) | Task 2 (17 Out of 25) | Task 3 (15 Out of 25) | Task 4 (17 Out of 25) |
|---|---|---|---|
| “Good introduction. Good choice of collage images but more explanation on the choices is needed. Good research and choice of colours, but you could say more about them i.e., what personality/energy do they express? which are the base/accent/neutral colours? Some background research for the font selection would be beneficial. Good set of reference designs and reasons for selecting them.” | “Persona defined and explanation on goals and frustration of the user provided. Scenario describes solutions to the persona’s needs and includes the points that the user interacts with the app.” | “Good grid stylist and good use of wire flow. Good analysis and good blueprint. However, navigation, labelling, search etc. could be further discussed.” | “You Describe the prototype more from a technical perspective. It would be good to return to the user scenario and describe how this plays out. Good work using the Open Data to extract data, this is what a functional app have to do. You are way over your word count but your description of the task is very good.” |
| Task No | Description | Improvement (%) | N |
|---|---|---|---|
| 1 | Empathise | 15 | 17 |
| 2 | Define | 14 | 20 |
| 3 | Ideate | 11 | 15 |
| 4 | Prototype | 18 | 6 |
| Tasks Completed | Overall Improvement (%) | N |
|---|---|---|
| 1 | 4.7 | 3 |
| 2 | 8 | 7 |
| 3 | 9.8 | 7 |
| 4 | 13.6 | 5 |
| Characteristic | Beta | 95% CI * | p | VIF ** |
|---|---|---|---|---|
| Learning Materials | 0.01 | −0.01, 0.04 | 0.3 | 2.4 |
| Assessments | 0.01 | 0.00, 0.02 | 0.015 | 1.4 |
| Reading List | −0.01 | −0.07, 0.04 | 0.6 | 2.2 |
| Module Information | 0.03 | −0.07, 0.01 | 0.13 | 1.1 |
| Engaged Weeks | 0 | −0.02, 0.01 | >0.9 | 1.2 |
| Characteristic | Beta | 95% CI * | p | VIF ** |
|---|---|---|---|---|
| Gender | 0.68 | −0.27, 1.6 | 0.2 | 1.1 |
| Intrinsic | −0.05 | −0.18, 0.07 | 0.4 | 2.7 |
| Identified regulation | −0.22 | −0.37, −0.08 | 0.006 | 2.4 |
| External regulation | 0.13 | 0.05, 0.21 | 0.003 | 1.5 |
| Amotivation | −0.03 | −0.09, 0.02 | 0.2 | 1.5 |
| Agreeableness | 0.05 | −0.13, 0.22 | 0.6 | 1.2 |
| Extroversion | 0.06 | −0.15, 0.27 | 0.6 | 1.3 |
| Openness | 0.03 | −0.19, 0.26 | 0.8 | 1.9 |
| Conscientiousness | −0.35 | −0.56, −0.15 | 0.003 | 1.4 |
Disclaimer/Publisher’s Note: The statements, opinions and data contained in all publications are solely those of the individual author(s) and contributor(s) and not of MDPI and/or the editor(s). MDPI and/or the editor(s) disclaim responsibility for any injury to people or property resulting from any ideas, methods, instructions or products referred to in the content. |
© 2023 by the authors. Licensee MDPI, Basel, Switzerland. This article is an open access article distributed under the terms and conditions of the Creative Commons Attribution (CC BY) license (https://creativecommons.org/licenses/by/4.0/).
Share and Cite
Kalaitzopoulou, E.; Matthews, P.; Mystakidis, S.; Christopoulos, A. Engagement with Optional Formative Feedback in a Portfolio-Based Digital Design Module. Information 2023, 14, 287. https://doi.org/10.3390/info14050287
Kalaitzopoulou E, Matthews P, Mystakidis S, Christopoulos A. Engagement with Optional Formative Feedback in a Portfolio-Based Digital Design Module. Information. 2023; 14(5):287. https://doi.org/10.3390/info14050287
Chicago/Turabian StyleKalaitzopoulou, Eirini, Paul Matthews, Stylianos Mystakidis, and Athanasios Christopoulos. 2023. "Engagement with Optional Formative Feedback in a Portfolio-Based Digital Design Module" Information 14, no. 5: 287. https://doi.org/10.3390/info14050287
APA StyleKalaitzopoulou, E., Matthews, P., Mystakidis, S., & Christopoulos, A. (2023). Engagement with Optional Formative Feedback in a Portfolio-Based Digital Design Module. Information, 14(5), 287. https://doi.org/10.3390/info14050287

