Charging Method Selection of a Public Charging Station Using an Interval-Valued Picture Fuzzy Bidirectional Projection Based on VIKOR Method with Unknown Attribute Weights
Abstract
1. Introduction
2. Preliminary Definitions
- 1.
- ;
- 2.
- ;
- 3.
- if .
3. Literature Review
3.1. Decision-Making Techniques Using IvVPFs
3.2. Application of Schweizer–Sklar Operations on Different Fuzzy Environments
3.3. Application of Projection-Based Method Under Different Fuzzy Environments
3.4. Identified Gaps and Contributions
- Selecting the most effective way to charge an EV in PCS is an important issue. In recent times, several researchers have developed mathematical models related to EVs. However, from the literature, we can see that the selection of the best charging procedure does not exist in the context of IvVPFSs. Thus, we have taken this problem in our work.
- In decision-making problems, subjective weights are considered based on the preferences and judgment of the decision makers. These weights reflect the importance of each criterion as prescribed by the individual. As a result, these vary from one decision maker to another. On the other side, a mathematical method using the data determines the objective weights. Therefore, the second reason is to calculate the combined weights using DBM.
- focuses on finding the compromise solution that balances the best and worst possible outcomes. It handles the conflicting criteria in the decision-making problem and evaluates the optimal alternatives. This method can be applied in both deterministic and fuzzy environments. It is found that in the literature, there is no research applying the method in the IvVPFSs. Therefore, our third motivation is to introduce the method under an IvVPF environment to solve the problem.
- The angle and distance between each alternative and the optimal solution are taken into account by the bidirectional projection measure. This motivates us to consider such type of measure in an IvVPF environment.
- Aggregation operators play an important role in decision making, particularly when multiple contradictory criteria are involved. In the literature, we have found various aggregation operators developed by scholars within the IvVPF environment. Some of these operators are parameter-free, while others include parameters. However, there is no paper addressing SS operations in an IvVPF environment. Therefore, it is essential to introduce the aggregation operators using SS-TN and SS-TCN operations.
- To overcome the problem, a new VIKOR approach based on bidirectional projections is introduced in an IvVPF context. This established strategy allows us to identify the best option.
- An IvVPFSSPWA operator and an IvVPFSSPWG operator are developed. Additionally, different properties of these operators are discussed.
- To ascertain the criteria’s objective weight in the context of the IvVPF setting, the DBM approach is presented. After that, the cumulative weight is calculated and applied to this issue.
- Utilizing the proposed model to find the best possible way to charge EVs in the PCSs.
4. Schweizer–Sklar Operations for IvVPFNs
- 1.
- ,
- 2.
- ,
- 3.
- , ,
- 4.
- , ,
- 5.
- , ,
- 6.
- , .
4.1. IvVPF Power SS Aggregation Operators
4.2. IvPFS Bidirectional Projection Measure
5. Materials and Methods
- Suppose is m alternatives, is n attributes with weight such that , . To evaluate these alternatives under the attributes, there are t decision makers (DMs) with weights such that , .
- Assume that is the linguistic decision matrix provided by the expert, where the linguistic variable represents the evaluation of the concerning the attribute according to the decision expert. Let be the IvVPFNs corresponding to the linguistic variable , which are shown in Table 3.
- Use the following equation to normalize the decision matrices:
- Using decision expert weights and IvVPFSSPWA or IvVPFSSPWG operators, compute the aggregated decision matrix , where .
- The subjective weight of the attributes is obtained by consulting the decision expert. Let represent the attribute’s subjective weight.
- The following phases make up the IvVPF environment-based DBM technique for determining the objective weight of the attributes.
- Let be the combined weight, which is obtained by combining the subjective weight and the objective weight , wherein which the aggregating coefficient, k, can be any value in the range .
- For every criterion, find the negative ideal solution (NIS) and positive ideal solution (PIS). The following formulas are used to calculate the PIS and NIS:For beneficial attributes:For non-beneficial attributes:
- Calculate the compromise evaluation (CE) by using the following Equation (35):where , , , and . Here, is a balancing parameter. It shows how much importance is given to the strategy GUM with the best overall benefit, while , the complement of , shows how much importance is given to the IRM. If is more than , it means that the evaluation will focus more on the overall benefit, which most decision makers agree with. If is less than , it means that the evaluation will focus more on the IRM. To balance both, is set to .
- The most favorable choice satisfies the following criterion and is chosen based on the smaller values of , as follows:
- (a)
- Acceptable advantage: and are the best and second-best options, respectively, ranked by under the conditions .
- (b)
- Acceptable stability in decision making: or must also rank the alternative as the best.
If any of the aforementioned conditions are not met, a set of alternative options can be considered as a compromise solution based on the following rules:- (a)
- If Condition 4b is not met, both and will serve as a compromise solution.
- (b)
- If Condition 4a is not met, then , … will be considered compromise solutions, where r is the maximum value such that .
6. Results
6.1. Definition of Alternatives
6.2. Definition of Attributes
6.3. Implementation of the Method
- This step determines the aggregated decision matrix by using an IvVPFSSWA aggregation operator.
- (a)
- Three decision experts , with weight are consulted, and they choose five alternatives and seven conflicting attributes.
- (b)
- (c)
- Equation (26) should be used to normalize each decision matrix.
- (d)
- We ascertain the attribute’s combined weights in this stage. First, we ask the decision expert for the subjective weights of the attributes. Next, we determine the objective weights in relation to IvVPFNs using the DBM.
- (a)
- The subjective weight of all attributes are considered as
- (b)
- Here, using the DBM, we obtain the following result.
- We utilize Definition 3 of a score function and determine the score matrix as follows:
- The objective weight of the attributes is determined by Equation (29) as follows:
- (c)
- We consider to determine the combined weight of the attribute by the following Equation (30):
- This step determines the method.
7. Discussion
7.1. Sensitivity Analysis
- Analyze the influence of the parameter and k on criterion weights.In step 2b, we introduce a method for determining the criterion weights. Here, we primarily explore how the parameter and k affect the calculation of these criterion weights, and then examine their interrelationship as shown in Figure 3. When varies from to with step size , we can see that there are several changes in the weights. We can observe that , , and gradually increase as and gradually decrease. The values of and are fluctuating as the variation of .Again, when k varies from to with step size , we can observe that , , , and gradually increase and , , and gradually decrease. Thus, we can say that the parameter and k directly affect the criterion weights, as shown in Figure 4.
- Examine how the parameters affect the values of , , and .The GUM and IRM , which are displayed in Figure 5a,b and Figure 6a,b, are indirectly impacted by the values of and k. It has a direct impact on the criterion weights.
- (a)
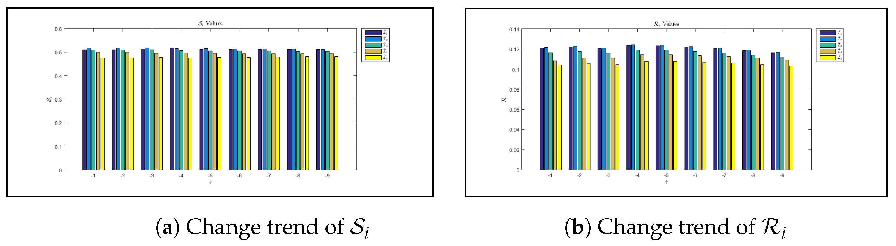
- When we take and and varies from to with step size , we obtain different values of and (Figure 5a,b). We have seen that for , the utility values , , , and are decreased as increases and increases as increases. For , the utility measure values , , , and increase as increases and decreases as increases. For , the IRM values , , , , and increase as increases.
- (b)
- By setting , and varying k from to with step size , we obtain different values of and (Figure 6a,b). We have seen that the values of , , , and are decreasing as the values of k are increasing and the values of are increasing as the values of k are increasing. Again the values of all are increasing as the values of k are increasing.
- (c)
- Figure 7 illustrates the change trend of when we set the parameters k and to start at and raise them step-wise by 0.1. In the range , for k and , the values of declined as k and grew. The values of and declined as k grew for . The values of and rose in proportion to the values of . As k and rose, the values of and remained unchanged.
- (d)
- We set the parameter to start at and decrease it step-wise by and the parameter k to start at and increase it step-wise by . We observe the change trend of the values , as shown in Figure 8 and Figure 9. For , the values of increase as decreases. For and , the values of and decrease, respectively. For , the values of and remain unaltered as decreases.
- Examine how the parameters effect the final sorting.Using the suggested IvVPF decision-making framework, several values of , , and were taken into account to show the dependability of the final ranking result of alternatives. Table 10, Table 11 and Table 12 present the findings of the sensitivity analysis.First, we have investigated the impact of the parameter on the ultimate ranking. We have taken the parameter from up to with and , and we have achieved a distinct compromise evaluation of alternatives. Table 10 presents the findings. The ultimate ranking, as we have seen, is . We did not obtain the final ranking for and . For to , the final ranking is .The ranking of the alternatives stays as indicated in Table 11 when the parameter k is changed from to while keeping and as constants. This suggests that the parameter k has little to no effect on identifying the best course of action.At last, we have examined how the decision coefficient affects the final values of . When the parameter is varied from to while keeping and fixed, the final ranking of the alternatives is (see Table 12). Our finding indicates that for the parameter , there is no change in decision-making result.
7.2. Comparative Analysis
8. Conclusions
- From the beginning, it is assumed that the decision makers are optimistic about the outcome of the decision-making result. Therefore, it is not suitable for every problem.
- This method fails when one decision maker makes decisions, while others disagree.
- The suggested method’s computation procedure is very complex. However, if we are able to make a computer program for this method, then it will be easy to solve and save time.
Author Contributions
Funding
Institutional Review Board Statement
Informed Consent Statement
Data Availability Statement
Acknowledgments
Conflicts of Interest
Abbreviations
| Notations | full form |
| FSs | fuzzy sets |
| IFSs | intuitionistic fuzzy sets |
| PFSs | picture fuzzy sets |
| MD | membership degree |
| PMD | positive membership degree |
| NuMD | neutral membership degree |
| IvVIFSs | interval-valued intuitionistic fuzzy sets |
| IvVPFSs | interval-valued picture fuzzy sets |
| IvVPFNs | interval-valued picture fuzzy numbers |
| SS-TNs | Schweizer—Sklar triangular norms |
| SS-TCNs | Schweizer–Sklar triangular conorms |
| VlseKriterijumska Optimizacija I Kompromisno Resenje | |
| multi-attribute group decision making | |
| IvVPFSSPWA | interval-valued picture fuzzy Schweizer–Sklar power-weighted averaging |
| aggregation | |
| IvVPFSSPWG | interval-valued picture fuzzy Schweizer–Sklar power-weighted geometric |
| aggregation | |
| EVs | electric vehicles |
| PCSs | public charging stations |
| GHG | greenhouse gas |
| Prj | projection |
| Nprj | normalized projection |
| Bprj | bidirectional projection |
References
- Acharige, S.S.; Haque, M.E.; Arif, M.T.; Hosseinzadeh, N.; Hasan, K.N.; Oo, A.M.T. Review of electric vehicle charging technologies, standards, architectures, and converter configurations. IEEE Access 2023, 11, 41218–41255. [Google Scholar] [CrossRef]
- He, L.; He, J.; Zhu, L.; Huang, W.; Wang, Y.; Yu, H. Comprehensive evaluation of electric vehicle charging network under the coupling of traffic network and power grid. PLoS ONE 2022, 17, e0275231. [Google Scholar] [CrossRef] [PubMed]
- Aghajan-Eshkevari, S.; Azad, S.; Nazari-Heris, M.; Ameli, M.T.; Asadi, S. Charging and discharging of electric vehicles in power systems: An updated and detailed review of methods, control structures, objectives, and optimization methodologies. Sustainability 2022, 14, 2137. [Google Scholar] [CrossRef]
- Dahiwale, P.V.; Rather, Z.H.; Mitra, I. A Comprehensive Review of Smart Charging Strategies for Electric Vehicles and Way Forward. IEEE Trans. Intell. Transp. Syst. 2024, 25, 10462–10482. [Google Scholar] [CrossRef]
- Pradana, A.; Haque, M.; Nadarajah, M. Control strategies of electric vehicles participating in ancillary services: A comprehensive review. Energies 2023, 16, 1782. [Google Scholar] [CrossRef]
- Gentili, P.L. Why is Complexity Science valuable for reaching the goals of the UN 2030 Agenda? Rend. Lincei. Sci. Fis. Nat. 2021, 32, 117–134. [Google Scholar] [CrossRef] [PubMed]
- Dong, Y.; Zhang, H.; Herrera-Viedma, E. Consensus reaching model in the complex and dynamic MAGDM problem. Knowl.-Based Syst. 2016, 106, 206–219. [Google Scholar] [CrossRef]
- Hajiagha, S.H.R.; Mahdiraji, H.A.; Hashemi, S.S.; Zavadskas, E.K. Evolving a linear programming technique for MAGDM problems with interval valued intuitionistic fuzzy information. Expert Syst. Appl. 2015, 42, 9318–9325. [Google Scholar] [CrossRef]
- Geng, X.; Qiu, H.; Gong, X. An extended 2-tuple linguistic DEA for solving MAGDM problems considering the influence relationships among attributes. Comput. Ind. Eng. 2017, 112, 135–146. [Google Scholar] [CrossRef]
- Wan, S.; Dong, J.; Wan, S.; Dong, J. A new method for Atanassov’s interval-valued intuitionistic fuzzy MAGDM with incomplete attribute weight information. In Decision Making Theories and Methods Based on Interval-Valued Intuitionistic Fuzzy Sets; Springer: Singapore, 2020; pp. 37–69. [Google Scholar]
- Zulqarnain, R.M.; Siddique, I.; EI-Morsy, S. Einstein-Ordered Weighted Geometric Operator for Pythagorean Fuzzy Soft Set with Its Application to Solve MAGDM Problem. Math. Probl. Eng. 2022, 2022, 5199427. [Google Scholar] [CrossRef]
- Keikha, A.; Garg, H.; Mishmast Nehi, H. An approach based on combining Choquet integral and TOPSIS methods to uncertain MAGDM problems. Soft Comput. 2021, 25, 7181–7195. [Google Scholar] [CrossRef]
- Keikha, A. Introducing a new type of HFSs and its application in solving MAGDM problems. J. Intell. Fuzzy Syst. 2021, 40, 9333–9344. [Google Scholar] [CrossRef]
- Sivaprakasam, P.; Angamuthu, M. Generalized Z-fuzzy soft β-covering based rough matrices and its application to MAGDM problem based on AHP method. Decis. Making Appl. Manag. Eng. 2023, 6, 134–152. [Google Scholar] [CrossRef]
- Jiang, H.; Hu, B.Q. A sequential multiple attribute three-way group decision-making method to heterogeneous MAGDM problems with unknown weight information. Expert Syst. Appl. 2024, 256, 124869. [Google Scholar] [CrossRef]
- Zadeh, L.A. Fuzzy sets. Inf. Control. 1965, 8, 338–353. [Google Scholar] [CrossRef]
- Atanassov, K.T. Intuitionistic Fuzzy Sets; Springer: Berlin/Heidelberg, Germany, 1999. [Google Scholar]
- Atanassov, K.T. Interval Valued Intuitionistic Fuzzy Sets; Springer: Berlin/Heidelberg, Germany, 1999. [Google Scholar]
- Perçin, S. Circular supplier selection using interval-valued intuitionistic fuzzy sets. Environ. Dev. Sustain. 2022, 24, 5551–5581. [Google Scholar] [CrossRef]
- Tiwari, A.; Lohani, Q.D.; Muhuri, P.K. Interval-valued intuitionistic fuzzy TOPSIS method for supplier selection problem. In Proceedings of the 2020 IEEE International Conference on Fuzzy Systems (FUZZ-IEEE), Glasgow, UK, 19–24 July 2020; pp. 1–8. [Google Scholar]
- Afzali, M.; Afzali, A.; Pourmohammadi, H. An interval-valued intuitionistic fuzzy-based CODAS for sustainable supplier selection. Soft Comput. 2022, 26, 13527–13541. [Google Scholar] [CrossRef]
- Luo, X.; Li, W.; Zhao, W. Intuitive distance for intuitionistic fuzzy sets with applications in pattern recognition. Appl. Intell. 2018, 48, 2792–2808. [Google Scholar] [CrossRef]
- Zeng, W.; Cui, H.; Liu, Y.; Yin, Q.; Xu, Z. Novel distance measure between intuitionistic fuzzy sets and its application in pattern recognition. Iran. J. Fuzzy Syst. 2022, 19, 127–137. [Google Scholar]
- Zeraatkar, S.; Afsari, F. Interval–valued fuzzy and intuitionistic fuzzy–KNN for imbalanced data classification. Expert Syst. Appl. 2021, 184, 115510. [Google Scholar] [CrossRef]
- Ali, W.; Shaheen, T.; Haq, I.U.; Toor, H.G.; Alballa, T.; Khalifa, H.A.E.W. A Novel Interval-Valued Decision Theoretic Rough Set Model with Intuitionistic Fuzzy Numbers Based on Power Aggregation Operators and Their Application in Medical Diagnosis. Mathematics 2023, 11, 4153. [Google Scholar] [CrossRef]
- Gohain, B.; Chutia, R.; Dutta, P. A distance measure for optimistic viewpoint of the information in interval-valued intuitionistic fuzzy sets and its applications. Eng. Appl. Artif. Intell. 2023, 119, 105747. [Google Scholar] [CrossRef]
- Büyüközkan, G.; Göçer, F. An extension of ARAS methodology under interval valued intuitionistic fuzzy environment for digital supply chain. Appl. Soft Comput. 2018, 69, 634–654. [Google Scholar] [CrossRef]
- Ayyildiz, E. Interval valued intuitionistic fuzzy analytic hierarchy process-based green supply chain resilience evaluation methodology in post COVID-19 era. Environ. Sci. Pollut. Res. 2023, 30, 42476–42494. [Google Scholar] [CrossRef]
- Cuong, B.C.; Kreinovich, V. Picture fuzzy sets-a new concept for computational intelligence problems. In Proceedings of the 2013 Third World Congress on Information and Communication Technologies (WICT 2013), Hanoi, Vietnam, 15–18 December 2013; pp. 1–6. [Google Scholar]
- Cuong, B.C.; Kreinovich, V. Picture fuzzy sets. J. Comput. Sci. Cybern. 2014, 30, 409–420. [Google Scholar]
- Khalil, A.M.; Li, S.G.; Garg, H.; Li, H.; Ma, S. New operations on interval-valued picture fuzzy set, interval-valued picture fuzzy soft set and their applications. IEEE Access 2019, 7, 51236–51253. [Google Scholar] [CrossRef]
- Naeem, M.; Qiyas, M.; Abdullah, S. An Approach of Interval-Valued Picture Fuzzy Uncertain Linguistic Aggregation Operator and Their Application on Supplier Selection Decision-Making in Logistics Service Value Concretion. Math. Probl. Eng. 2021, 2021, 8873230. [Google Scholar] [CrossRef]
- Azeem, M.; Ali, J.; Syam, M.I. Interval-valued picture fuzzy decision-making framework with partitioned maclaurin symmetric mean aggregation operators. Sci. Rep. 2024, 14, 1–24. [Google Scholar] [CrossRef]
- Bobin, A.; Thangaraja, P.; Prabu, E.; Chinnadurai, V. Interval-valued picture fuzzy hypersoft TOPSIS method based on correlation coefficient. J. Math. Comput. Sci. 2022, 27, 142–163. [Google Scholar] [CrossRef]
- Abolfathi, M.A.; Ebadian, A. Interval-valued picture fuzzy aggregation information based on Frank operators and their application in group decision making. RAIRO-Oper. Res. 2023, 57, 3191–3222. [Google Scholar] [CrossRef]
- Zadeh, L.A. Outline of a new approach to the analysis of complex systems and decision processes. IEEE Trans. Syst. Man Cybern. 1973, SMC-3, 28–44. [Google Scholar] [CrossRef]
- Shahmohammad, F.N.; Pourrahimian, Y.; Akbari-Gharalari, N. Synthesizing Complexity: Trends, Challenges, and Future Directions in Fuzzy-Based Multicriteria Decision-Making (FMCDM) Methods. Appl. Soft Comput. 2024, 112362. [Google Scholar] [CrossRef]
- Ashraf, A.; Ullah, K.; Hussain, A.; Bari, M. Interval-valued picture fuzzy Maclaurin symmetric mean operator with application in multiple attribute decision-making. Rep. Mech. Eng. 2022, 3, 210–226. [Google Scholar] [CrossRef]
- Schweizer, B.; Sklar, A. Probabilistic Metric Spaces; Courier Corporation: Chelmsford, MA, USA, 2011. [Google Scholar]
- Zhu, S.; Liu, Z. Distance measures of picture fuzzy sets and interval-valued picture fuzzy sets with their applications. AIMS Math 2023, 8, 29817–29848. [Google Scholar] [CrossRef]
- Yager, R.R. The power average operator. IEEE Trans. Syst. Man Cybern.-Part A Syst. Humans 2001, 31, 724–731. [Google Scholar] [CrossRef]
- Ma, Q.; Chen, Z.; Tan, Y.; Wei, J. An integrated design concept evaluation model based on interval valued picture fuzzy set and improved GRP method. Sci. Rep. 2024, 14, 8433. [Google Scholar] [CrossRef] [PubMed]
- Liu, P.; Munir, M.; Mahmood, T.; Ullah, K. Some similarity measures for interval-valued picture fuzzy sets and their applications in decision making. Information 2019, 10, 369. [Google Scholar] [CrossRef]
- Shanthi, S.A.; Gayathri, M. Interval valued picture fuzzy soft set in pattern recognition. Adv. Math. Sci. J. 2020, 9, 2019–2029. [Google Scholar] [CrossRef]
- Liu, P.; Wang, P. Some interval-valued intuitionistic fuzzy Schweizer–Sklar power aggregation operators and their application to supplier selection. Int. J. Syst. Sci. 2018, 49, 1188–1211. [Google Scholar] [CrossRef]
- Zhang, L. Intuitionistic fuzzy averaging Schweizer-Sklar operators based on interval-valued intuitionistic fuzzy numbers and its applications. In Proceedings of the 2018 Chinese Control and Decision Conference (CCDC), Shenyang, China, 9–11 June 2018; pp. 2194–2197. [Google Scholar]
- Wei, D.; Meng, D.; Rong, Y.; Liu, Y.; Garg, H.; Pamucar, D. Fermatean Fuzzy Schweizer–Sklar operators and BWM-entropy-based combined compromise solution approach: An application to green supplier selection. Entropy 2022, 24, 776. [Google Scholar] [CrossRef]
- Yang, Y.; Zhang, C. MULTIMOORA method-based Schweizer–Sklar operations for CO2 geological storage site selection under Pythagorean fuzzy environment. Int. J. Comput. Intell. Syst. 2023, 16, 27. [Google Scholar] [CrossRef]
- Gayen, S.; Sarkar, A.; Biswas, A. Schweizer-Sklar operations based hybrid aggregation operator to dual hesitant q-rung orthopair fuzzy set and its application on MCGDM. Expert Syst. 2023, 40, e13257. [Google Scholar] [CrossRef]
- Garg, H.; Ali, Z.; Mahmood, T.; Ali, M.R.; Alburaikan, A. Schweizer-Sklar prioritized aggregation operators for intuitionistic fuzzy information and their application in multi-attribute decision-making. Alex. Eng. J. 2023, 67, 229–240. [Google Scholar] [CrossRef]
- Garg, H.; Liu, X.; Emam, W. Prioritized aggregation operators based on Schweizer-Sklar t-norm for linear Diophantine fuzzy sets and their application in green sustainable chain. Alex. Eng. J. 2023, 82, 587–600. [Google Scholar]
- Kalsoom, U.; Ullah, K.; Akram, M.; Pamucar, D.; Senapati, T.; Naeem, M.; Pilla, F.; Moslem, S. Schweizer–Sklar Power Aggregation Operators Based on Complex Interval-Valued Intuitionistic Fuzzy Information for Multi-attribute Decision-Making. Int. J. Comput. Intell. Syst. 2023, 16, 170. [Google Scholar] [CrossRef]
- Garg, H.; Hussain, A.; Ullah, K. Multi-attribute group decision-making algorithm based on intuitionistic fuzzy rough Schweizer-Sklar aggregation operators. Soft Comput. 2023, 1–12. [Google Scholar] [CrossRef]
- Liu, P.; Ali, Z.; Mahmood, T. Schweizer-Sklar power aggregation operators based on complex intuitionistic fuzzy information and their application in decision-making. Complex Intell. Syst. 2024, 1–18. [Google Scholar] [CrossRef]
- Duckstein, L.; Opricovic, S. Multiobjective optimization in river basin development. Water Resour. Res. 1980, 16, 14–20. [Google Scholar] [CrossRef]
- Meksavang, P.; Shi, H.; Lin, S.M.; Liu, H.C. An extended picture fuzzy VIKOR approach for sustainable supplier management and its application in the beef industry. Symmetry 2019, 11, 468. [Google Scholar] [CrossRef]
- Wang, Q.; Sun, H.; Zhou, L. An intuitionistic fuzzy multi-attribute group decision making method with incomplete weight information based on improved VIKOR. J. Intell. Fuzzy Syst. 2019, 37, 1639–1647. [Google Scholar] [CrossRef]
- Gao, H.; Ran, L.; Wei, G.; Wei, C.; Wu, J. VIKOR method for MAGDM based on q-rung interval-valued orthopair fuzzy information and its application to supplier selection of medical consumption products. Int. J. Environ. Res. Public Health 2020, 17, 525. [Google Scholar] [CrossRef] [PubMed]
- Joshi, R. A novel decision-making method using R-Norm concept and VIKOR approach under picture fuzzy environment. Expert Syst. Appl. 2020, 147, 113228. [Google Scholar] [CrossRef]
- Tian, C.; Peng, J.J.; Zhang, S.; Wang, J.Q.; Goh, M. A sustainability evaluation framework for WET-PPP projects based on a picture fuzzy similarity-based VIKOR method. J. Clean. Prod. 2021, 289, 125130. [Google Scholar] [CrossRef]
- Wang, L.; Zhang, H.Y.; Wang, J.Q.; Li, L. Picture fuzzy normalized projection-based VIKOR method for the risk evaluation of construction project. Appl. Soft Comput. 2018, 64, 216–226. [Google Scholar] [CrossRef]
- Tsao, C.Y.; Chen, T.Y. A projection-based compromising method for multiple criteria decision analysis with interval-valued intuitionistic fuzzy information. Appl. Soft Comput. 2016, 45, 207–223. [Google Scholar] [CrossRef]
- Wei, G.; Alsaadi, F.E.; Hayat, T.; Alsaedi, A. Projection models for multiple attribute decision making with picture fuzzy information. Int. J. Mach. Learn. Cybern. 2018, 9, 713–719. [Google Scholar] [CrossRef]
- Wei, G.; Zhang, S.; Lu, J.; Wu, J.; Wei, C. An extended bidirectional projection method for picture fuzzy MAGDM and its application to safety assessment of construction project. IEEE Access 2019, 7, 166138–166147. [Google Scholar] [CrossRef]
- Narayanamoorthy, S.; Geetha, S.; Rakkiyappan, R.; Joo, Y.H. Interval-valued intuitionistic hesitant fuzzy entropy based VIKOR method for industrial robots selection. Expert Syst. Appl. 2019, 121, 28–37. [Google Scholar] [CrossRef]
- Krishankumar, R.; Premaladha, J.; Ravichandran, K.; Sekar, K.; Manikandan, R.; Gao, X. A novel extension to VIKOR method under intuitionistic fuzzy context for solving personnel selection problem. Soft Comput. 2020, 24, 1063–1081. [Google Scholar] [CrossRef]
- Oztaysi, B.; Onar, S.C.; Gündogdu, F.K.; Kahraman, C. Location Based Advertisement Selection using Spherical Fuzzy AHP-VIKOR. J.-Mult.-Valued Log. Soft Comput. 2020, 35, 5. [Google Scholar]
- Yue, C. An interval-valued intuitionistic fuzzy projection-based approach and application to evaluating knowledge transfer effectiveness. Neural Comput. Appl. 2019, 31, 7685–7706. [Google Scholar] [CrossRef]
- Yue, C. Picture fuzzy normalized projection and extended VIKOR approach to software reliability assessment. Appl. Soft Comput. 2020, 88, 106056. [Google Scholar] [CrossRef]
- Peng, J.J.; Chen, X.G.; Long, Q.Q.; Zhang, S.Z. A picture fuzzy evaluation framework based on a novel approach incorporating bidirectional projection measures and the VIKOR method. Artif. Intell. Rev. 2023, 56, 2235–2261. [Google Scholar] [CrossRef]
- Peng, X.; Krishankumar, R.; Ravichandran, K.S. Generalized orthopair fuzzy weighted distance-based approximation (WDBA) algorithm in emergency decision-making. Int. J. Intell. Syst. 2019, 34, 2364–2402. [Google Scholar] [CrossRef]
- Jabeen, K.; Ullah, K.; Akram, M.; Haleemzai, I. Interval valued picture fuzzy Aczel–Alsina aggregation operators and their application by using the multiattribute decision making problem. J. Math. 2023, 2023, 1707867. [Google Scholar] [CrossRef]
- Masmali, I.; Hassan, R.; Shuaib, U.; Razaq, A.; Razzaque, A.; Alhamzi, G. Stock reordering decision making under interval valued picture fuzzy knowledge. Symmetry 2023, 15, 898. [Google Scholar] [CrossRef]











| References | Methods | Developed Operators/Measures | Application | |
|---|---|---|---|---|
| [31] | … | … | Investment opportunity selection | |
| [43] | … | Similarity measures | Company strategy selection | |
| [44] | … | … | Pattern recognition | |
| [32] | … | Linguistic averaging and geometric operators | MCGDM | Supplier selection |
| [34] | TOPSIS | IVPFHSWAO and IVPFHSWGO operators | Employee selection | |
| [35] | … | Weighted arithmetic and geometric operators | MDGAM | Air quality index |
| [42] | AHP | … | Kano’s customer satisfaction model | |
| [33] | … | IVPFPMSM and WIVPFPMSM operators | Enterprise resource management |
| References | Methods | Developed Operators/Measures | Application | |
|---|---|---|---|---|
| [45] | … | IVIFSSPWA and IVIFSSPWG operators | Supplier selection | |
| [46] | … | IVIFSSWA operator | Supplier selection | |
| [47] | CoCoSo | FFSSWA, FFSSOWA, FFSSWG, and FFSSOWG operators | Green supplier selection | |
| [48] | MULTIMOORA | PFSSPWA and PFSSPWG operators | CO2 geological storage site selection | |
| [49] | … | DHq-ROFSSHA and DHq-ROFSSHG operators | MCGDM | Investment company selection |
| [50] | … | IFSSPA, IFSSPG, IFSSWPA, and IFSSWPG operators | Employee selection | |
| [51] | … | LDFSSPoA, LDFSSWPoA, LDFSSPoG, and LDFSSWPoG operators | Green sustainable chain | |
| [52] | … | CIVIFSSPA, CIVIFSSPG, CIVIFSSPOA, and CIVIFSSPOG operators | Green supplier selection | |
| [53] | … | IFRSSWA and IFRSSWG operators | Investment in foreign stock | |
| [54] | … | and | Logistics facilitator selection |
| Linguistic Term | Mark | IvVPFN |
|---|---|---|
| Very good | ||
| Good | ||
| Medium good | ||
| Medium | ||
| Medium poor | ||
| Poor | ||
| Very poor |
| Alternatives | Description |
|---|---|
| : Level 1 charging (120 volts AC) | This is the simplest form of charging. This charging system is using a standard household electrical outlet. Level 1 charging technology is incredibly slow, with a charging range of only two to five miles per hour. When fast charging options are few in rural locations, this technique can be used for overnight charging at home. |
| : Level 2 charging (240 volts AC) | This is the dedicated form of charging. This facility is installed by a certified electrician. These charging stations are typically located in public spaces like parking lots, office buildings, and apartment complexes. In comparison with Level 1 charging, Level 2 chargers offer faster charging. This technique provides electricity with approximately 10 to 25 miles each charging hour. |
| : DC fast charging | This technology, also known as rapid charging, operates at a higher voltage (480 volts DC). These technologies can charge an EV faster than Level 1 or Level 2. These chargers can provide up to 60–80% battery charge in just 20–30 min. Generally, these charging stations are found along highways and in commercial areas. |
| : Wireless charging | Generally, this technology is known as inductive charging, which is free from physical cables and plugs. These stations use electromagnetic fields to transfer energy. |
| : Solar-powered charging | Solar energy is used in certain EV charging stations to produce electricity, offering EV users a sustainable and renewable energy source. These systems can either connect to the grid, sending extra energy back into it, or store it in batteries for use when the weather is cloudy. |
| Attributes | Description |
|---|---|
| : Accessibility | EV users should be able to find public charging stations easily along their journey. The stations should be near places where people are already moving, like shopping malls, offices, and highways. |
| : Compatibility | EV charging stations should have different types of cords that plug into all kinds of EVs. In this way, no confusion arises with regard to what kind of EV users have. They will be able to plug it in and charge it up. There are different types of cords, like CHAdeMO, CCS, and even Tesla super chargers. |
| : Power capacity | EV charging should have sufficient power capacity to charge an EV at a minimum amount of time. Fast charging reduces the waiting time of EV users. |
| : Reliability | For EV users, it is crucial that charging stations are available whenever they need to charge up their EV. Regular maintenance and servicing are essential to minimize the damage of EV. |
| : Safety | EV charging stations should follow the safety standards to protect users, EVs, and the surrounding infrastructure from electrical hazards. |
| : User experience | Charging stations should be user-friendly with an easy and clear picture or words showing users what to do. The sign should be easy to understand to users. There should also be light, a place to sit, a washroom, and a roof to keep users out of the rain or sun. |
| : Environmentally friendly | Charging stations should be powered by renewable energy so that greenhouse gas emissions are minimized. |
| Matrix | Alternative | |||||||
|---|---|---|---|---|---|---|---|---|
| 0.5104 | 0.5177 | 0.5085 | 0.4987 | 0.4748 | |
| 0.1221 | 0.1227 | 0.1177 | 0.1110 | 0.1055 | |
| 0.8969 | 1.0000 | 0.7489 | 0.4394 | 0.0000 |
| Index | Ranking Order |
|---|---|
| Final Ranking | ||||||
|---|---|---|---|---|---|---|
| 0.8964 | 1 | 0.7564 | 0.4211 | 0 | ||
| 0.8969 | 1 | 0.7489 | 0.4394 | 0 | ||
| 0.9168 | 1 | 0.7525 | 0.3868 | 0 | ||
| 0.9391 | 1 | 0.7417 | 0.4501 | 0 | ||
| 0.9521 | 1 | 0.7300 | 0.4442 | 0 | ||
| 0.9617 | 1 | 0.7180 | 0.4346 | 0 | ||
| 0.9706 | 1 | 0.7069 | 0.4235 | 0 | ||
| 0.9780 | 1 | 0.6966 | 0.4124 | 0 | ||
| 0.9838 | 0.9997 | 0.6879 | 0.4025 | 0 | ||
| 0.9839 | 0.9953 | 0.6743 | 0.3894 | 0 | ||
| 0.9854 | 0.9624 | 0.0.5886 | 0.0.2935 | 0 | ||
| 1 | 0.9065 | 0.4011 | 0.0753 | 0.1326 | Not evaluated | |
| 1 | 0.7320 | 0.3447 | 0.0662 | 0.2456 | Not evaluated | |
| 1 | 0.7404 | 0.2928 | 0.0542 | 0.2704 | ||
| 1 | 0.7406 | 0.2882 | 0.0490 | 0.2740 | ||
| 1 | 0.7409 | 0.2874 | 0.0450 | 0.2770 | ||
| 1 | 0.7414 | 0.2870 | 0.0418 | 0.2785 | ||
| 1 | 0.7417 | 0.2866 | 0.0395 | 0.2801 | ||
| 1 | 0.7423 | 0.2867 | 0.0379 | 0.2812 | ||
| k | Final Ranking | |||||
|---|---|---|---|---|---|---|
| 0.9130 | 1 | 0.7550 | 0.4517 | 0 | ||
| 0.9065 | 1 | 0.7534 | 0.4483 | 0 | ||
| 0.9040 | 1 | 0.7522 | 0.4453 | 0 | ||
| 0.9002 | 1 | 0.7497 | 0.4396 | 0 | ||
| 0.8975 | 1 | 0.7474 | 0.4384 | 0 | ||
| 0.8904 | 1 | 0.7449 | 0.4354 | 0 | ||
| 0.8903 | 1 | 0.7454 | 0.4339 | 0 | ||
| 0.8856 | 1 | 0.7447 | 0.4285 | 0 | ||
| 0.8795 | 1 | 0.7430 | 0.4245 | 0 | ||
| Final Ranking | ||||||
|---|---|---|---|---|---|---|
| 0.9516 | 1 | 0.7169 | 0.3435 | 0 | ||
| 0.9381 | 1 | 0.7246 | 0.3672 | 0 | ||
| 0.9245 | 1 | 0.7322 | 0.3910 | 0 | ||
| 0.9110 | 1 | 0.7398 | 0.4147 | 0 | ||
| 0.8975 | 1 | 0.7474 | 0.4384 | 0 | ||
| 0.8839 | 1 | 0.7550 | 0.4622 | 0 | ||
| 0.8704 | 1 | 0.7627 | 0.4859 | 0 | ||
| 0.8569 | 1 | 0.7703 | 0.5096 | 0 | ||
| 0.8434 | 1 | 0.7779 | 0.5334 | 0 | ||
| Method | Operator | Score Values | Ranking | ||||
|---|---|---|---|---|---|---|---|
| [35] | IVPFFWA | 0.3365 | 0.3705 | 0.3311 | 0.2615 | 0.1461 | |
| IVPFFWG | 0.1214 | 0.1491 | 0.1536 | 0.0319 | −0.0550 | ||
| [72] | IVPFAAWA | 0.2995 | 0.3140 | 0.2965 | 0.2670 | 0.2198 | |
| IVPFAAWG | 0.1955 | 0.2082 | 0.2113 | 0.1661 | 0.1410 | ||
| [73] | IVPFWA | 0.3451 | 0.3788 | 0.3380 | 0.2711 | 0.1555 | |
| IVPFWG | 0.0965 | 0.1238 | 0.1320 | 0.0045 | −0.0757 | ||
| Method | Operator | Index | Ranking | ||||
| Proposed operator | IvVPFSSPA | 0.8969 | 1 | 0.7489 | 0.4394 | 0 | |
| IvVPFSSPG | 0.9384 | 1 | 0.7253 | 0.2632 | 0 | ||
| Projection | Index | Ranking | ||||
|---|---|---|---|---|---|---|
| IvVPF projection measure | 0.6923 | 1 | 0.6997 | 0.4935 | 0 | |
| IvVPF normalized projection measure | 0.8611 | 1 | 0.7549 | 0.4641 | 0 | |
| IvVPF bidirectional projection measure | 0.8969 | 1 | 0.7489 | 0.4394 | 0 | |
Disclaimer/Publisher’s Note: The statements, opinions and data contained in all publications are solely those of the individual author(s) and contributor(s) and not of MDPI and/or the editor(s). MDPI and/or the editor(s) disclaim responsibility for any injury to people or property resulting from any ideas, methods, instructions or products referred to in the content. |
© 2025 by the authors. Licensee MDPI, Basel, Switzerland. This article is an open access article distributed under the terms and conditions of the Creative Commons Attribution (CC BY) license (https://creativecommons.org/licenses/by/4.0/).
Share and Cite
Shit, C.; Ghorai, G. Charging Method Selection of a Public Charging Station Using an Interval-Valued Picture Fuzzy Bidirectional Projection Based on VIKOR Method with Unknown Attribute Weights. Information 2025, 16, 94. https://doi.org/10.3390/info16020094
Shit C, Ghorai G. Charging Method Selection of a Public Charging Station Using an Interval-Valued Picture Fuzzy Bidirectional Projection Based on VIKOR Method with Unknown Attribute Weights. Information. 2025; 16(2):94. https://doi.org/10.3390/info16020094
Chicago/Turabian StyleShit, Chittaranjan, and Ganesh Ghorai. 2025. "Charging Method Selection of a Public Charging Station Using an Interval-Valued Picture Fuzzy Bidirectional Projection Based on VIKOR Method with Unknown Attribute Weights" Information 16, no. 2: 94. https://doi.org/10.3390/info16020094
APA StyleShit, C., & Ghorai, G. (2025). Charging Method Selection of a Public Charging Station Using an Interval-Valued Picture Fuzzy Bidirectional Projection Based on VIKOR Method with Unknown Attribute Weights. Information, 16(2), 94. https://doi.org/10.3390/info16020094

