Abstract
Hyperthermia, an alternative medical approach aiming at locally increasing the temperature of a tumor, can cause the “death” of cancer cells or the sensitization of them to chemotherapeutic drugs and radiation. In contrast with the conventional treatments, hyperthermia provokes no injury to normal tissues. In particular, magnetic hyperthermia can utilize iron oxide nanoparticles, which can be administered intravenously to heat tumors under an alternating magnetic field. Currently, there is no theoretical model in the relative literature for the effective thermal conductivity of blood and magnetic nanoparticles. The scope of the present study is twofold: (a) development of a theoretical relationship, based on experimental findings and blood structure and (b) study of the laminar natural convection in a simplified rectangular porous enclosure, by using the asymptotic expansions method for deriving ordinary differential equations of the mass, momentum and energy balances, as a first approach of investigating heat transfer and providing theoretical guidelines. In short, the thermal conductivity of the resulting bio-nanofluid tends to increase by both increasing the concentration of the nanoparticles and the temperature. Furthermore, the heat transfer is enhanced for more intense internal heating (large Rayleigh numbers) and more permeable media (large Darcy numbers), while larger nanoparticle concentrations tend to suppress the flow.
1. Introduction
Cancer is, undoubtedly, one of the deadliest diseases in the world [1]. The scientific community is particularly interested in discovering more innovative ways to handle it. Surgery, chemotherapy and radiotherapy are the most common ways to treat cancer. In brief, surgery, which is also called “excision” or “resection”, aims at improving the quality of life and prolonging patient’s survival while, in parallel, contributes to the diagnosis confirmation (biopsy). Radiotherapy relies on free radicals through ionizing radiation, whereas chemotherapy uses certain medicines. Remarkably, surgery is usually followed by damage of nearby tissues and organs. Radiotherapy includes the likelihood of resistance of certain kinds of tumors and chemotherapy is limited by adverse side effects such as infertility, nausea, and hair loss [2].
On the other hand, hyperthermia, an alternative treatment known since the time of Hippocrates, aims at inducing cancer cell death by increasing the temperature of the cancerous regions. Generally, cells die by necrosis when they are exposed to high dose-time combinations, whereas cells submitted to relatively mild exposures undergo apoptosis. When the heat is not able to cause either necrosis or apoptosis, it can sensitize cancer cells to radiation and many chemotherapeutic drugs [3]. One of the shortcomings of conventional hyperthermia is that all cells are heated; both malignant and non-malignant ones. As a result, more targeted efforts are required for the optimal treatment. Among the proposed treatments, targeted magnetic hyperthermia, by using magnetic iron oxide nanoparticles so as to heat cancer cells under an alternating magnetic field, has gained increasing attention. Magnetic hyperthermia was first proposed by Gilchrist et al. [4], while recent clinical studies in tandem with radiotherapy have shown encouraging results [5]. The most commonly utilized materials for this treatment are ferrite nanoparticles of nanometer size. Fe3O4, for example, can be subject to strong magnetization. When exposed to alternative magnetic fields, magnetic nanoparticles can produce heat through hysteresis and relaxational losses [6]. Moreover, magnetic nanoparticles do not create toxicity and exhibit long term chemical stability, ease of functionalization and surface modification; in contrast with other types of metals or metal alloys [7]. A schematic describing magnetic hyperthermia can be seen in Figure 1. Hyperthermia takes advantage of the tremendous progress in heat transfer applications with the use of nanoparticles [8,9,10].
Figure 1.
Schematic of the magnetic nanoparticle-based hyperthermia concept.
Modeling magnetic hyperthermia can play a crucial role in the treatment. In essence, finding the temperature profile and information about the flow constitute key parameters that can be considered for optimizing the treatment. To simulate the heat transfer and flow occurring within the porous tumor [11,12], effective physical properties of the bio-nanofluid, consisting of the blood and the magnetic nanoparticles, can be used in a manner similar to studies such as [13,14]. This approach results in simplification of the problem, as the mixture of the base fluid and nanoparticles can be modeled as a single nanofluid [15]. However, when the base fluid is blood, the problem of defining effective properties is complicated again, since blood consists of several components. More specifically, plasma constitutes almost 55% of blood and it represents its liquid component. Plasma also contains water, fat, sugar, electrolytes and other macromolecules. Plasma can be derived when all the blood cells, namely red and white blood cells as well as platelets (also called erythrocytes, leukocytes, and thrombocytes, respectively), are separated from blood. The only study, at least to our knowledge, was that of Benos et al. [16], who developed a theoretical model for the effective thermal conductivity of blood with carbon nanotubes (CNTs) in the framework of the treatment of glioblastoma multiforme, a very invasive cancer of the brain. In particular, based on the blood structure and design parameters of CNTs, like their shape and size, Benos et al. suggested possible ways of optimizing hyperthermia.
The aim of the present study is to develop a new theoretical model for estimating the effective thermal conductivity of blood–Fe3O4 bio-nanofluid by taking into account blood plasma, erythrocytes and leukocytes, and experimental measurements concerning water–Fe3O4 nanofluid. Subsequently, the developed relationship is used for studying the two-dimensional flow and heat transfer within a horizontal rectangular porous enclosure of large aspect ratio, representing a simplified geometry of a tumor. In general, a tumor may have a fractal shape [3]. Nevertheless, ideal Euclidean shapes have also been used as geometry simplifications, thus, allowing for analytical expressions to be derived. Indicatively, spherical tumors have been investigated [17,18,19] as well as ellipsoidal [20] and rectangular shapes [21]. Finally, internal heating is applied in the present analysis for modeling the heating of the tumor due to exposing magnetic nanoparticles to an alternating magnetic field. In this first-principle study, asymptotic solutions are obtained towards avoiding the computational time required for such kinds of simulations [22].
2. Materials and Methods
2.1. Estimation of Effective Properties
2.1.1. Thermal Conductivity
In this study, the methodology developed in [16] is mainly followed. In particular, since there is no known thermal conductivity for blood cells, , the parallel mixture rule is used for estimating the only unknown parameter:
In this relationship, is the thermal conductivity and the nanoparticle volume fraction, while the subscripts indicate to which element the parameter is referred (“pl” stands for plasma and “BC” for blood cells). As a result, is approximately 0.4 W/mK when the following values are considered from the literature [16,23]; = 0.492 W/mK = 0.55, = 0.57 W/mK, and = 0.45.
Next, the thermal conductivity of plasma–Fe3O4 is calculated based on the curve-fitting of experimental findings in [24], where represents the nanoparticle volume fraction. Although the experiments pertained to water-based nanofluid, they can also be used for blood plasma (similar to [16]), since the latter consists of almost 92% water.
After calculating the above thermal conductivity, the thermal conductivity of the resulting bio-nanofluid, kBio, consisting of plasma, magnetic nanoparticles and blood cells, can be estimated based on the Maxwell equation, which provides reliable results for micrometer sized particles [16]:
It should be stressed that using Equation (3), the accuracy of the estimation of kBC can be proven, as it is one of the assumptions of this study, similar to [16]. Hence, by assuming blood plasma as the base fluid and the blood cells as the nanoparticles:
which is very close to 0.492 reported in [25].
2.1.2. Dynamic Viscosity
In general, blood viscosity is a measure of the blood’s ability to flow through the vessels and soft tissues. It is a non-Newtonian shear thinning fluid and its viscosity depends on numerous factors, including plasma viscosity, deformation of erythrocytes, hematocrit and aggregation–disaggregation properties, and various diseases, to mention but a few. Newtonian nature can be assumed in cases where the shear rate is above 100 s−1 [26]. To simplify our model, only plasma was considered, which is a Newtonian fluid with an average viscosity of 1.25 cP [16]. Using the Brinkman model, similar to many recent studies [27,28], the effective dynamic viscosity can be obtained from:
2.1.3. The Rest of the Physical Properties
Similar to recent literature, [29,30], the following effective properties can be calculated:
Finally, the properties of blood plasma and Fe3O4, according to the relevant literature, are summarized in Table 1.
Table 1.
Thermophysical properties of blood plasma and Fe3O4, based on [13,26,31,32].
2.2. Flow Configuration and Boundary Conditions
A two-dimensional horizontal rectangular porous enclosure with large aspect ratio (width (L)/height (h)) was considered saturated with the investigated bio-nanofluid, as illustrated in Figure 2. These boundary conditions were selected for the sake of directly using the solutions of Benos et al. [33], who investigated this flow configuration by also considering a volumetric internal heat source, Q, and a constant magnetic field, B0. To simplify our study, we incorporated this work by neglecting the Lorentz force term and using the Oberbeck–Boussinesq approximation, while the subscripts of nanofluid were converted to bio-nanofluid (bio). The equations characterizing the present flow were continuity and momentum in both directions, and energy conservation:
where, u and w are the horizontal and vertical velocities, respectively. P is the pressure, ΔΤ is the temperature difference and the thermal diffusivity of the bio-nanofluid is given by . In addition, v corresponds to the kinematic viscosity (v = μ/ρ), g is the gravity acceleration and K is the permeability of the porous medium. As can be depicted in Figure 2, the horizontal line is called the x-axis, whereas the vertical one is called the z-axis. The origin of the axes is in the middle of the left vertical boundary. The rest of the variables are defined in Table 1.
Figure 2.
Flow configuration and boundary conditions.
The analysis of Benos et al. [33] resulted in the following dimensionless stream function (ψ) and energy equations and boundary conditions:
where: is the Prandtl number, is the Darcy number, is the Rayleigh number. In the derivation of the above equations, the following magnitudes were considered [33]: . However, the circumflex “~” was omitted for the sake of convenience.
The above dimensionless numbers are widely used in fluid mechanics and heat transfer to express the ratio of momentum to thermal diffusivity () and the relative effect of the permeability versus the medium cross-sectional area (). Finally, by definition, Ra is the ratio of the time scale for diffusive thermal transport to the corresponding scale for convective thermal transport.
In the case of pure conduction, the temperature at z = 0 can be given through [34]. Finally, by introducing as well as the scaled Ra, Rs = Ra∙L, Benos et al. [33] derived the following solutions for stream function (ψ0), vertical velocity (w0) and temperature in the core region:
For the purpose of investigating the heat transfer, the ratio of heat transfer by convection to the corresponding one by conduction was used. This ratio can be expressed by Nusselt number, Nu. In particular, similar to the relevant literature, [22,35], the average Nusselt number was utilized, which is given by:
In Equation (16a–c), the following variables are presented:
The rest of the presented variables, along with a full description of the asymptotic analysis, are described in the Appendix section of [33]. In conclusion, the set of Equation (16a–c) is used for this analysis.
3. Results and Discussion
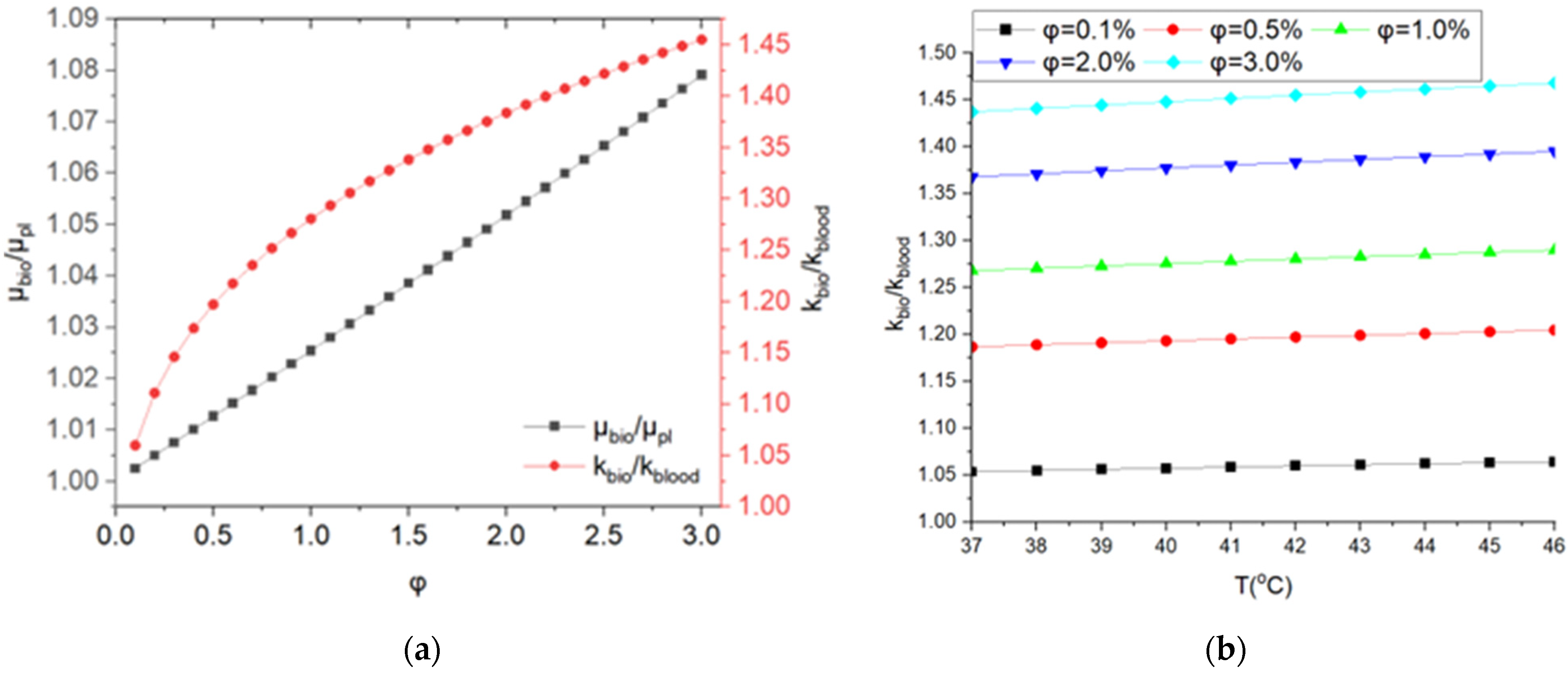
Taking into account Equations (3) and (5), the effective thermal conductivity and dynamic viscosity can be seen in Figure 3. In particular, the relative viscosity, μbio/μpl, and the relative conductivity, kbio/kblood, are plotted in Figure 3a as a function of the Fe3O4 nanoparticle volume fraction. As was anticipated, both parameters increased as the number of nanoparticles increased. For instance, by increasing the nanoparticle volume fraction, φ, from 0.1% to 1.5%, the thermal conductivity of the bio-nanofluid increased 26.23%, while as φ further increased from 1.5% to 3% the corresponding increase was about 8.74%. In contrast, the increase of the effective viscosity was almost linear with the volume fraction. In Figure 3b, the relative thermal conductivity can be seen as a function of temperature, from 37 °C to 46 °C, and for different values of φ. As can be gleaned from this graph, both the increase of temperature and concentration of nanoparticles enhanced the thermal conductivity. Clearly, the effect of temperature on thermal conductivity was not very important, as shown in Equation (2), which is based on the experimental findings of [24]. In contrast, the corresponding effect of the concentration of nanoparticles was observed to be crucial, influencing the flow and heat transfer problems, as is elaborated next.
Figure 3.
(a) Relative dynamic viscosity and thermal conductivity as a function of the nanoparticle volume fraction (%) for T = 42 °C and (b) Effect of temperature on relative thermal conductivity for a range of φ.
As far as the problem of the heat transfer and flow of the bio-nanofluid within the porous enclosure was concerned, the dimensionless numbers Da and Rsnf seemed to determine the whole process. The main characteristic of the present hydrodynamic flow was that a symmetric double-cell Hadley circulation was observed with the fluid ascending in the hot core region of the cavity and descending in the vicinity of the vertical cold walls. As was also stressed in [16,22,34], the heat transfer was enhanced as the Rayleigh number increased. This can be observed when noticing the increase of the streamfunction, ψ0, and vertical velocity, w0, in the core region (Figure 4a,b, respectively). This increase, in turn, resulted in smaller temperature values, θ0, in the core region (Figure 4c) and also larger values of average Nusselt numbers, Nuav (Figure 5a). In this fashion, it should be pointed out that the scaled Rayleigh number could be increased as a result of the increase in the volumetric internal heating, Q. Consequently, when heating a tumor in the framework of hyperthermia, it is expected to accelerate the flow in favor of the heat transfer. On the other hand, the scaled Rayleigh number was also a function of nanoparticle volume fraction, as can be noticed in Figure 5c. More specifically, it was observed that the Rayleigh number could be decreased up to 50.7%, when the volume fraction changed from 0.1% to 3% for this example. Hence, an increase in the number of nanoparticles channeled into the tumor tended to decrease the heat transfer. This trend can also be observed in Figure 6a–c, where, similar to the above description, as φ increased, the Rayleigh number decreased (Figure 5c) and, thus, the heat transfer deteriorated. This was obvious from the lower values of streamfunction (Figure 6a) and vertical velocities (Figure 6b), which led to larger values of temperature in the core region (Figure 6c) and, therefore, lower Nusselt numbers (Figure 5a).

Figure 4.
Effect of scaled Rayleigh number on (a) Stream function, (b) Vertical velocity and (c) Temperature in the core region for φ = 1%, Da = 10−2 and T = 42 °C.
Figure 5.
Average Nusselt number for T = 42 °C as a function of (a) Both Rayleigh and nanoparticle volume fraction for Da = 10−2 and (b) Darcy number for Rs = 2500, and (c) Scaled Rayleigh number as a function of nanoparticle volume fraction.
Figure 6.
Effect of the nanoparticle volume fraction on (a) Streamfunction, (b) Vertical velocity and (c) Temperature in the core region for Rs = 2500, Da = 10−2 and T = 42 °C.
In contrast with the above trend, a decrease in the Darcy number was anticipated to decelerate the bio-nanofluid, which resulted in the deterioration of the cooling process. For the sake of brevity, only the average Nusselt number was given as a function of Darcy number by considering a logarithmic scale in the horizontal axis (Figure 5b) for the purpose of displaying in a compact way the wide range of Da values. As a consequence, the scaled Rayleigh number could be increased through enhancing the volumetric internal heating, Q, and nanoparticle volume fraction, φ, whereas Da was independent of the nanoparticle concentration. Finally, the core region solutions were not affected by the Prandtl number for these relatively small values of Rayleigh numbers. These values (200 ≤ Rs ≤ 5000) assured that a laminar regime existed, which also constituted the regime where these solutions were valid, as was ascertained in [22].
4. Conclusions
In the present study, the natural convection of a bio-nanofluid in a two-dimensional horizontal porous cavity of rectangular shape was investigated, which was subject to internal heating. The asymptotic expansion method was applied to derive the streamfunction, the vertical velocity and temperature profiles in the core region, as described in detail in [33]. The range of the dimensionless numbers used in the present analysis was 200 ≤ Rs ≤ 5000 to ensure the laminar flow before unstable flows took place [22]. It should be pointed out that, considering a porous medium enhances the laminar nature, as it tends to reduce bio-nanofluid velocities. In addition, in order to describe the thermal conductivity of the resulting bio-nanofluid, a new relationship was derived, based on the methodology of Benos et al. [16] and also Afrand et al. [24]. The latter study provided an optimal fitting of their experimental data for a range of nanoparticle concentrations and temperatures. In brief, concerning the present investigation, larger values of the scaled Rayleigh number, which were equivalent to smaller nanoparticle volume fraction and more intense internal heating, had a tendency to accelerate the heat transfer. Furthermore, the Darcy number is a function of the permeability of the medium. Hence, a decrease in the permeability, Κ, turned out to enhance the flow resistance, resulting in the deceleration of the bio-nanofluid flow in favor of conduction. For very large values of Darcy number, the present asymptotic solutions were the same as the solutions of the non-porous medium derived in [35], while very small values resulted in purely conductive solutions (Figure 5b).
The key advantage of this asymptotic analysis, which is accurate for describing the core region at the laminar regime, is definitely the rough investigation of how some design parameters can impact the overall natural convection. It is very important to examine the natural convection of such suspensions, as it can be the main mode of the heat transfer. Consequently, although this study is very simple compared with the real cancer treatment and tumor geometries, and focuses only on the core region, it is expected to be an advantageous theoretical tool, given the increasing interest in the field of nanofluids and cancer treatment through hyperthermia. Possible future work includes the expansion of the present analysis to also investigate the vicinity of the walls, as well as how nanoparticle length, interfacial nanolayer, aggregations and Brownian motion may influence the effective thermal conductivity, similar to previous studies [15,36,37]. Finally, more realistic tumor geometries like ellipse [20] or fractals [3] are currently being investigated by the authors, while 3D patient-specific modeling [38,39] constitutes an emerging field confirming anatomical accuracy.
Author Contributions
Conceptualization, L.B. and I.S.; methodology, L.B., G.N. and M.-A.E.; validation, G.N. and N.D.P.; visualization, G.N. and M.-A.E.; writing—original draft preparation, L.B.; writing—review and editing, L.B., G.N. and N.D.P.; supervision, I.S. All authors have read and agreed to the published version of the manuscript.
Funding
This research received no external funding.
Conflicts of Interest
The authors declare no conflict of interest.
References
- Bray, F.; Ferlay, J.; Soerjomataram, I.; Siegel, R.L.; Torre, L.A.; Jemal, A. Global cancer statistics 2018: GLOBOCAN estimates of incidence and mortality worldwide for 36 cancers in 185 countries. CA Cancer J. Clin. 2018, 68, 394–424. [Google Scholar] [CrossRef] [PubMed]
- Senapati, S.; Mahanta, A.K.; Kumar, S.; Maiti, P. Controlled drug delivery vehicles for cancer treatment and their performance. Signal Transduct. Target. Ther. 2018, 3, 7. [Google Scholar] [CrossRef] [PubMed]
- Samioti, S.E.; Benos, L.T.; Sarris, I.E. Effect of fractal-shaped outer boundary of glioblastoma multiforme on drug delivery. Comput. Methods Programs Biomed. 2019, 178, 191–199. [Google Scholar] [CrossRef] [PubMed]
- Gilchrist, R.; Medal, R.; Shorey, W.; Hancelman, R.; Parrot, J.C.; Taylor, C.B. Selective Inductive Heating of Lymph Nodes. Ann. Surg. 1957, 146, 596. [Google Scholar] [CrossRef] [PubMed]
- Skandalakis, G.P.; Rivera, D.R.; Rizea, C.D.; Bouras, A.; Jesu Raj, J.G.; Bozec, D.; Hadjipanayis, C.G. Hyperthermia treatment advances for brain tumors. Int. J. Hyperth. 2020, 37, 3–19. [Google Scholar] [CrossRef] [PubMed]
- Ruta, S.; Chantrell, R.; Hovorka, O. Unified model of hyperthermia via hysteresis heating in systems of interacting magnetic nanoparticles. Sci. Rep. 2015, 5, 9090. [Google Scholar] [CrossRef] [PubMed]
- Dunn, A.E.; Dunn, D.J.; Lim, M.; Boyer, C.; Thanh, N.T.K. Chapter 8 Recent developments in the design of nanomaterials for photothermal and magnetic hyperthermia induced controllable drug delivery. In Nanoscience: Volume 2; The Royal Society of Chemistry: London, UK, 2014; Volume 2, pp. 225–254. ISBN 978-1-84973-582-7. [Google Scholar]
- Okonkwo, E.C.; Wole-Osho, I.; Almanassra, I.W.; Abdullatif, Y.M.; Al-Ansari, T. An updated review of nanofluids in various heat transfer devices. J. Therm. Anal. Calorim. 2021, 145, 2817–2872. [Google Scholar] [CrossRef]
- Gkountas, A.A.; Benos, L.T.; Nikas, K.S.; Sarris, I.E. Heat transfer improvement by an Al2O3-water nanofluid coolant in printed-circuit heat exchangers of supercritical CO2 Brayton cycle. Therm. Sci. Eng. Prog. 2020, 20, 100694. [Google Scholar] [CrossRef]
- Sajid, M.U.; Ali, H.M. Recent advances in application of nanofluids in heat transfer devices: A critical review. Renew. Sustain. Energy Rev. 2019, 103, 556–592. [Google Scholar] [CrossRef]
- Sciumè, G.; Shelton, S.E.; Gray, W.G.; Millers, C.T.; Hussain, F.; Ferrari, M.; Decuzzi, P.; Schrefler, B.A. Tumor growth modeling from the perspective of multiphase porous media mechanics. Mol. Cell. Biomech. 2012, 9, 193–212. [Google Scholar] [PubMed]
- Mascheroni, P.; Carfagna, M.; Grillo, A.; Boso, D.P.; Schrefler, B.A. An avascular tumor growth model based on porous media mechanics and evolving natural states. Math. Mech. Solids 2017, 23, 686–712. [Google Scholar] [CrossRef]
- Sheikholeslami, M.; Shehzad, S.A. Numerical analysis of Fe3O4–H2O nanofluid flow in permeable media under the effect of external magnetic source. Int. J. Heat Mass Transf. 2018, 118, 182–192. [Google Scholar] [CrossRef]
- Dogonchi, A.S. Hashim Heat transfer by natural convection of Fe3O4-water nanofluid in an annulus between a wavy circular cylinder and a rhombus. Int. J. Heat Mass Transf. 2019, 130, 320–332. [Google Scholar] [CrossRef]
- Benos, L.T.; Sarris, I.E. The interfacial nanolayer role on magnetohydrodynamic natural convection of an Al2O3-water nanofluid. Heat Transf. Eng. 2019, 42, 89–105. [Google Scholar] [CrossRef]
- Benos, L.; Spyrou, L.A.; Sarris, I.E. Development of a new theoretical model for blood-CNTs effective thermal conductivity pertaining to hyperthermia therapy of glioblastoma multiform. Comput. Methods Programs Biomed. 2019, 172, 79–85. [Google Scholar] [CrossRef] [PubMed]
- Lahonian, M.; Golneshan, A.A. Numerical Study of Temperature Distribution in a Spherical Tissue in Magnetic Fluid Hyperthermia Using Lattice Boltzmann Method. IEEE Trans. Nanobiosci. 2011, 10, 262–268. [Google Scholar] [CrossRef] [PubMed]
- Zomordikhani, Z.; Attar, M.; Jahangiri, A.; Barati, F. Analysis of nonlinear bioheat transfer equation in magnetic fluid hyperthermia. J. Mech. Sci. Technol. 2020, 34, 3911–3918. [Google Scholar] [CrossRef]
- Suleman, M.; Riaz, S. 3D in silico study of magnetic fluid hyperthermia of breast tumor using Fe3O4 magnetic nanoparticles. J. Therm. Biol. 2020, 91, 102635. [Google Scholar] [CrossRef] [PubMed]
- Polychronopoulos, N.D.; Gkountas, A.A.; Sarris, I.E.; Spyrou, L.A. A Computational Study on Magnetic Nanoparticles Hyperthermia of Ellipsoidal Tumors. Appl. Sci. 2021, 11, 9526. [Google Scholar] [CrossRef]
- Stinchcomb, T.G.; Durham, J.S.; Fisher, D.R. Obtaining S values for rectangular–solid tumors inside rectangular–solid host organs. Med. Phys. 1991, 18, 555–558. [Google Scholar] [CrossRef] [PubMed]
- Benos, L.T.; Kakarantzas, S.C.; Sarris, I.E.; Grecos, A.P.; Vlachos, N.S. Analytical and numerical study of MHD natural convection in a horizontal shallow cavity with heat generation. Int. J. Heat Mass Transf. 2014, 75, 19–30. [Google Scholar] [CrossRef]
- Nahirnyak, V.M.; Yoon, S.W.; Holland, C.K. Acousto-mechanical and thermal properties of clotted blood. J. Acoust. Soc. Am. 2006, 119, 3766–3772. [Google Scholar] [CrossRef] [PubMed]
- Afrand, M.; Toghraie, D.; Sina, N. Experimental study on thermal conductivity of water-based Fe3O4 nanofluid: Development of a new correlation and modeled by artificial neural network. Int. Commun. Heat Mass Transf. 2016, 75, 262–269. [Google Scholar] [CrossRef]
- Kreith, F.; Goswami, D.Y.; Sandor, B.I. Part 4 of the CRC Handbook of Mechanical Engineering: Appendix A “Thermal Conductivity Data for Specific Tissues and Organs for Humans and Other Mammalian Species” by Kenneth. R. Holmes; CRC Press: Boca Raton, FL, USA, 2004. [Google Scholar]
- Nader, E.; Skinner, S.; Romana, M.; Fort, R.; Lemonne, N.; Guillot, N.; Gauthier, A.; Antoine-Jonville, S.; Renoux, C.; Hardy-Dessources, M.-D.; et al. Blood Rheology: Key Parameters, Impact on Blood Flow, Role in Sickle Cell Disease and Effects of Exercise. Front. Physiol. 2019, 10, 1329. [Google Scholar] [CrossRef] [PubMed]
- Abu-Libdeh, N.; Redouane, F.; Aissa, A.; Mebarek-Oudina, F.; Almuhtady, A.; Jamshed, W.; Al-Kouz, W. Hydrothermal and Entropy Investigation of Ag/MgO/H2O Hybrid Nanofluid Natural Convection in a Novel Shape of Porous Cavity. Appl. Sci. 2021, 11, 1722. [Google Scholar] [CrossRef]
- Al-Farhany, K.; Al-Chlaihawi, K.K.; Al-dawody, M.F.; Biswas, N.; Chamkha, A.J. Effects of fins on magnetohydrodynamic conjugate natural convection in a nanofluid-saturated porous inclined enclosure. Int. Commun. Heat Mass Transf. 2021, 126, 105413. [Google Scholar] [CrossRef]
- Alshare, A.; Abderrahmane, A.; Guedri, K.; Younis, O.; Fayz-Al-Asad, M.; Ali, H.M.; Al-Kouz, W. Hydrothermal and Entropy Investigation of Nanofluid Natural Convection in a Lid-Driven Cavity Concentric with an Elliptical Cavity with a Wavy Boundary Heated from Below. Nanomaterials 2022, 12, 1392. [Google Scholar] [CrossRef] [PubMed]
- Benos, L.T.; Karvelas, E.G.; Sarris, I.E. A theoretical model for the magnetohydrodynamic natural convection of a CNT-water nanofluid incorporating a renovated Hamilton-Crosser model. Int. J. Heat Mass Transf. 2019, 135, 548–560. [Google Scholar] [CrossRef]
- Upadhyay, V.; Chandra, H.; Pandey, P.N. A mathematical model of two phase, non-Newtonian renal blood flows in venules, remote from the heart and proximate to the kidney with special reference to diabetes. Pharma Innov. 2012, 1, 93–111. [Google Scholar]
- Hinghofer-Szalkay, H. Volume and density changes of biological fluids with temperature. J. Appl. Physiol. 1985, 59, 1686–1689. [Google Scholar] [CrossRef] [PubMed]
- Benos, L.T.; Polychronopoulos, N.D.; Mahabaleshwar, U.S.; Lorenzini, G.; Sarris, I.E. Thermal and flow investigation of MHD natural convection in a nanofluid-saturated porous enclosure: An asymptotic analysis. J. Therm. Anal. Calorim. 2019, 143, 751–765. [Google Scholar] [CrossRef]
- Benos, L.; Karvelas, E.G.; Sarris, I.E. Crucial effect of aggregations in CNT-water nanofluid magnetohydrodynamic natural convection. Therm. Sci. Eng. Prog. 2019, 11, 263–271. [Google Scholar] [CrossRef]
- Daniels, P.G.; Jones, O.K. Convection in a shallow rectangular cavity due to internal heat generation. Int. J. Heat Mass Transf. 1998, 41, 3979–3987. [Google Scholar] [CrossRef]
- Karvelas, E.G.; Lampropoulos, N.K.; Benos, L.T.; Karakasidis, T.; Sarris, I.E. On the magnetic aggregation of Fe3O4 nanoparticles. Comput. Methods Programs Biomed. 2021, 198, 105778. [Google Scholar] [CrossRef]
- Benos, L.; Sarris, I.E. Analytical study of the magnetohydrodynamic natural convection of a nanofluid filled horizontal shallow cavity with internal heat generation. Int. J. Heat Mass Transf. 2019, 130, 862–873. [Google Scholar] [CrossRef]
- Cartiaux, O.; Paul, L.; Francq, B.G.; Banse, X.; Docquier, P.-L. Improved Accuracy with 3D Planning and Patient-Specific Instruments During Simulated Pelvic Bone Tumor Surgery. Ann. Biomed. Eng. 2014, 42, 205–213. [Google Scholar] [CrossRef] [PubMed]
- Neal, M.L.; Kerckhoffs, R. Current progress in patient-specific modeling. Brief. Bioinform. 2010, 11, 111–126. [Google Scholar] [CrossRef] [PubMed]
Publisher’s Note: MDPI stays neutral with regard to jurisdictional claims in published maps and institutional affiliations. |
© 2022 by the authors. Licensee MDPI, Basel, Switzerland. This article is an open access article distributed under the terms and conditions of the Creative Commons Attribution (CC BY) license (https://creativecommons.org/licenses/by/4.0/).






