Heterostructure Composites of CoS Nanoparticles Decorated on Ti3C2Tx Nanosheets and Their Enhanced Electromagnetic Wave Absorption Performance
Abstract
1. Introduction
2. Materials and Methods
2.1. Materials
2.2. Synthesis of Ti3C2Tx MXene
2.3. Synthesis of CoS@Ti3C2Tx Hybrids
2.4. Characterization
3. Results and Discussion
3.1. Characterization of Samples
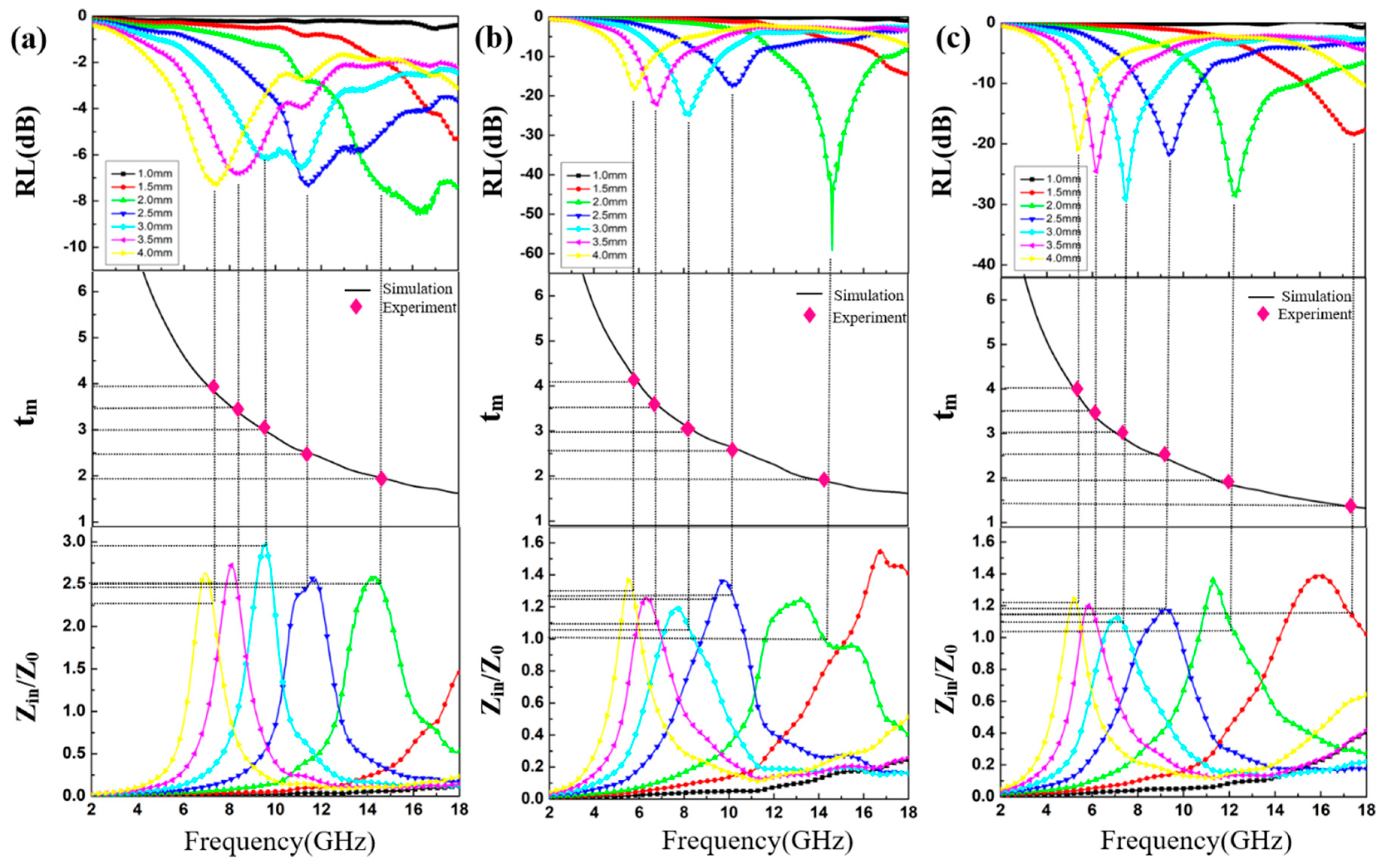
3.2. Electromagnetic Parameters and Absorption Property
4. Conclusions
Author Contributions
Funding
Conflicts of Interest
References
- Zhang, Y.; Huang, Y.; Zhang, T.F.; Chang, H.C.; Xiao, P.S.; Chen, H.H.; Huang, Z.Y.; Chen, Y.S. Broadband and Tunable High-Performance Microwave Absorption of an Ultralight and Highly Compressible Graphene Foam. Adv. Mater. 2015, 27, 2049–2053. [Google Scholar] [CrossRef] [PubMed]
- Sun, G.B.; Dong, B.X.; Cao, M.H.; Wei, B.Q.; Hu, C.W. Hierarchical Dendrite-Like Magnetic Materials of Fe3O4, gamma-Fe2O3, and Fe with High Performance of Microwave Absorption. Chem. Mater. 2011, 23, 1587–1593. [Google Scholar] [CrossRef]
- Qin, F.; Brosseau, C. A review and analysis of microwave absorption in polymer composites filled with carbonaceous particles. J. Appl. Phys. 2012, 111, 24. [Google Scholar] [CrossRef]
- Sun, X.; He, J.P.; Li, G.X.; Tang, J.; Wang, T.; Guo, Y.X.; Xue, H.R. Laminated magnetic graphene with enhanced electromagnetic wave absorption properties. J. Mater. Chem. C 2013, 1, 765–777. [Google Scholar] [CrossRef]
- Du, Y.C.; Liu, W.W.; Qiang, R.; Wang, Y.; Han, X.J.; Ma, J.; Xu, P. Shell Thickness-Dependent Microwave Absorption of Core-Shell Fe3O4@C Composites. ACS Appl. Mater. Interfaces 2014, 6, 12997–13006. [Google Scholar] [CrossRef] [PubMed]
- Bose, S.; Kuila, T.; Uddin, M.E.; Kim, N.H.; Lau, A.K.T.; Lee, J.H. In-situ synthesis and characterization of electrically conductive polypyrrole/graphene nanocomposites. Polymer 2010, 51, 5921–5928. [Google Scholar] [CrossRef]
- Zhang, X.J.; Wang, G.S.; Cao, W.Q.; Wei, Y.Z.; Liang, J.F.; Guo, L.; Cao, M.S. Enhanced Microwave Absorption Property of Reduced Graphene Oxide (RGO)-MnFe2O4 Nanocomposites and Polyvinylidene Fluoride. ACS Appl. Mater. Interfaces 2014, 6, 7471–7478. [Google Scholar] [CrossRef]
- Najim, M.; Modi, G.; Mishra, Y.K.; Adelung, R.; Singh, D.; Agarwala, V. Ultra-wide bandwidth with enhanced microwave absorption of electroless Ni-P coated tetrapod-shaped ZnO nano- and microstructures. Phys. Chem. Chem. Phys. 2015, 17, 22923–22933. [Google Scholar] [CrossRef]
- Wang, X.; Lu, Y.; Zhu, T.; Chang, S.; Wang, W. CoFe2O4/N-doped reduced graphene oxide aerogels for high-performance microwave absorption. Chem. Eng. J. 2020, 388, 124317. [Google Scholar] [CrossRef]
- Li, X.L.; Yin, X.W.; Song, C.Q.; Han, M.K.; Xu, H.L.; Duan, W.Y.; Cheng, L.F.; Zhang, L.T. Self-Assembly Core-Shell Graphene-Bridged Hollow MXenes Spheres 3D Foam with Ultrahigh Specific EM Absorption Performance. Adv. Funct. Mater. 2018, 28, 8. [Google Scholar] [CrossRef]
- Zhao, L.; Dong, B.L.; Li, S.Z.; Zhou, L.J.; Lai, L.F.; Wang, Z.W.; Zhao, S.L.; Han, M.; Gao, K.; Lu, M.; et al. Interdiffusion Reaction-Assisted Hybridization of Two-Dimensional Metal-Organic Frameworks and Ti3C2Tx Nanosheets for Electrocatalytic Oxygen Evolution. ACS Nano 2017, 11, 5800–5807. [Google Scholar] [CrossRef] [PubMed]
- Yan, J.; Ren, C.E.; Maleski, K.; Hatter, C.B.; Anasori, B.; Urbankowski, P.; Sarycheva, A.; Gogotsi, Y. Flexible MXene/Graphene Films for Ultrafast Supercapacitors with Outstanding Volumetric Capacitance. Adv. Funct. Mater. 2017, 27, 10. [Google Scholar] [CrossRef]
- Shahzad, F.; Alhabeb, M.; Hatter, C.B.; Anasori, B.; Hong, S.M.; Koo, C.M.; Gogotsi, Y. Electromagnetic interference shielding with 2D transition metal carbides (MXenes). Science 2016, 353, 1137–1140. [Google Scholar] [CrossRef] [PubMed]
- Dai, B.Z.; Zhao, B.; Xie, X.; Su, T.T.; Fan, B.B.; Zhang, R.; Yang, R. Novel two-dimensional Ti3C2Tx MXenes/nano- carbon sphere hybrids for high-performance microwave absorption. J. Mater. Chem. C 2018, 6, 5690–5697. [Google Scholar] [CrossRef]
- Halim, J.; Kota, S.; Lukatskaya, M.R.; Naguib, M.; Zhao, M.Q.; Moon, E.J.; Pitock, J.; Nanda, J.; May, S.J.; Gogotsi, Y.; et al. Synthesis and Characterization of 2D Molybdenum Carbide (MXene). Adv. Funct. Mater. 2016, 26, 3118–3127. [Google Scholar] [CrossRef]
- Jiang, X.T.; Liu, S.X.; Liang, W.Y.; Luo, S.J.; He, Z.L.; Ge, Y.Q.; Wang, H.D.; Cao, R.; Zhang, F.; Wen, Q.; et al. Broadband Nonlinear Photonics in Few-Layer MXene Ti3C2Tx (T. = F., O., or OH). Laser Photon. Rev. 2018, 12, 10. [Google Scholar] [CrossRef]
- Naguib, M.; Kurtoglu, M.; Presser, V.; Lu, J.; Niu, J.J.; Heon, M.; Hultman, L.; Gogotsi, Y.; Barsoum, M.W. Two-Dimensional Nanocrystals Produced by Exfoliation of Ti3AlC2. Adv. Mater. 2011, 23, 4248–4253. [Google Scholar] [CrossRef]
- Sang, X.H.; Xie, Y.; Lin, M.W.; Alhabeb, M.; Van Aken, K.L.; Gogotsi, Y.; Kent, P.R.C.; Xiao, K.; Unocic, R.R. Atomic Defects in Monolayer Titanium Carbide (Ti3C2Tx) MXene. ACS Nano 2016, 10, 9193–9200. [Google Scholar] [CrossRef]
- Zhang, J.Y.; Xue, W.; Chen, X.Y. Ti3C2Tx MXenes as thin broadband absorbers. Nanotechnology 2020, 31, 8. [Google Scholar] [CrossRef]
- Wang, L.B.; Liu, H.; Lv, X.L.; Cui, G.Z.; Gu, G.X. Facile synthesis 3D porous MXene Ti3C2Tx@RGO composite aerogel with excellent dielectric loss and electromagnetic wave absorption. J. Alloys Compd. 2020, 828, 10. [Google Scholar] [CrossRef]
- Li, N.; Xie, X.; Lu, H.X.; Fan, B.B.; Wang, X.H.; Zhao, B.; Zhang, R.; Yang, R. Novel two-dimensional Ti3C2Tx/Ni-spheres hybrids with enhanced microwave absorption properties. Ceram. Int. 2019, 45, 22880–22888. [Google Scholar] [CrossRef]
- Li, X.L.; Zhu, J.F.; Wang, L.; Wu, W.L.; Fang, Y. In-situ growth of carbon nanotubes on two-dimensional titanium carbide for enhanced electrochemical performance. Electrochim. Acta 2017, 258, 291–301. [Google Scholar] [CrossRef]
- Liu, R.; Li, W.H. High-Thermal-Stability and High-Thermal-Conductivity Ti3C2Tx MXene/Poly(vinyl alcohol) (PVA) Composites. ACS Omega 2018, 3, 2609–2617. [Google Scholar] [CrossRef] [PubMed]
- Liu, P.; Yao, Z.; Ng, V.M.H.; Zhou, J.; Kong, L.B.; Yue, K. Facile synthesis of ultrasmall Fe3O4 nanoparticles on MXenes for high microwave absorption performance. Compos. Part. A Appl. Sci. Manuf. 2018, 115, 371–382. [Google Scholar] [CrossRef]
- Cui, G.; Wang, L.; Li, L.; Xie, W.; Gu, G. Synthesis of CuS nanoparticles decorated Ti3C2Tx MXene with enhanced microwave absorption performance. Prog. Nat. Sci. Mater. Int. 2020. [Google Scholar] [CrossRef]
- Luo, Y.D.; Shen, J.; Cheng, R.; Chen, X.H.; Chen, Y.W.; Sun, Z.; Huang, S.M. Facile synthesis of mixed-phase cobalt sulfide counter electrodes for efficient dye sensitized solar cells. J. Mater. Sci. Mater. Electron. 2015, 26, 42–48. [Google Scholar] [CrossRef]
- Gurumoorthy, G.; Rani, P.J.; Thirumaran, S.; Ciattini, S. Cobalt (III) dithiocarbamates for anion sensing and preparation of cobalt sulfide and cobalt-iron sulfide nanoparticles: Photocatalytic degradation of dyes with as-prepared nanoparticles. Inorg. Chim. Acta 2017, 455, 132–139. [Google Scholar] [CrossRef]
- Yang, J.; Bao, C.X.; Zhu, K.; Yu, T.; Li, F.M.; Liu, J.G.; Li, Z.S.; Zou, Z.G. High catalytic activity and stability of nickel sulfide and cobalt sulfide hierarchical nanospheres on the counter electrodes for dye-sensitized solar cells. Chem. Commun. 2014, 50, 4824–4826. [Google Scholar] [CrossRef]
- Li, L.L.; Ding, Y.H.; Huang, H.J.; Yu, D.S.; Zhang, S.Y.; Chen, H.Y.; Ramakrishna, S.; Peng, S.J. Controlled synthesis of unique Co9S8 nanostructures with carbon coating as advanced electrode for solid-state asymmetric supercapacitors. J. Colloid Interface Sci. 2019, 540, 389–397. [Google Scholar] [CrossRef]
- Huang, T.Y.; He, M.; Zhou, Y.M.; Pan, W.L.; Li, S.W.; Ding, B.B.; Huang, S.; Tong, Y. Fabrication and microwave absorption of multiwalled carbon nanotubes anchored with CoS nanoplates. J. Mater. Sci. Mater. Electron. 2017, 28, 7622–7632. [Google Scholar] [CrossRef]
- Liu, H.; Cui, G.Z.; Li, L.; Zhang, Z.; Lv, X.L.; Wang, X.X. Polypyrrole Chains Decorated on CoS Spheres: A Core-Shell Like Heterostructure for High-Performance Microwave Absorption. Nanomaterials 2020, 10, 166. [Google Scholar] [CrossRef] [PubMed]
- Zhang, Y.; Zhan, R.; Xu, Q.; Liu, H.; Tao, M.; Luo, Y.; Bao, S.; Li, C.; Xu, M. Circuit board-like CoS/MXene composite with superior performance for sodium storage. Chem. Eng. J. 2019, 357, 220–225. [Google Scholar] [CrossRef]
- Sun, R.H.; Zhang, H.B.; Liu, J.; Xie, X.; Yang, R.; Li, Y.; Hong, S.; Yu, Z.Z. Highly Conductive Transition Metal Carbide/Carbonitride(MXene) polystyrene Nanocomposites Fabricated by Electrostatic Assembly for Highly Efficient Electromagnetic Interference Shielding. Adv. Funct. Mater. 2017, 27, 11. [Google Scholar] [CrossRef]
- Ghidiu, M.; Halim, J.; Kota, S.; Bish, D.; Gogotsi, Y.; Barsourm, M.W. Ion-Exchange and Cation Solvation Reactions in Ti3C2 MXene. Chem. Mater. 2016, 28, 3507–3514. [Google Scholar] [CrossRef]
- Han, M.K.; Yin, X.W.; Li, X.L.; Anasori, B.; Zhang, L.T.; Cheng, L.F.; Gogotsi, Y. Laminated and Two-Dimensional Carbon-Supported Microwave Absorbers Derived from MXenes. ACS Appl. Mater. Interfaces 2017, 9, 20038–20045. [Google Scholar] [CrossRef]
- Wilhelmsson, O.; Palmquist, J.P.; Lewin, E.; Emmerlich, J.; Eklund, P.; Persson, P.O.A.; Hogberg, H.; Li, S.; Ahuja, R.; Eriksson, O.; et al. Deposition and characterization of ternary thin films within the Ti-Al-C system by DC magnetron sputtering. J. Cryst. Growth 2006, 291, 290–300. [Google Scholar] [CrossRef]
- Dang, B.H.Q.; Rahman, M.; MacElroy, D.; Dowling, D.P. Evaluation of microwave plasma oxidation treatments for the fabrication of photoactive un-doped and carbon-doped TiO2 coatings. Surf. Coat. Technol. 2012, 206, 4113–4118. [Google Scholar] [CrossRef]
- Fan, B.; Li, N.; Dai, B.; Shang, S.; Guan, L.; Zhao, B.; Wang, X.; Bai, Z.; Zhang, R. Investigation of adjacent spacing dependent microwave absorption properties of lamellar structural Ti3C2Tx MXenes. Adv. Powder Technol. 2020, 31, 808–815. [Google Scholar] [CrossRef]
- Miao, X.H.; Pan, K.; Wang, G.F.; Liao, Y.P.; Wang, L.; Zhou, W.; Jiang, B.J.; Pan, Q.J.; Tian, G.H. Well-Dispersed CoS Nanoparticles on a Functionalized Graphene Nanosheet Surface: A Counter Electrode of Dye-Sensitized Solar Cells. Chem. Eur. J. 2014, 20, 474–482. [Google Scholar] [CrossRef]
- Li, Z.X.; Li, X.H.; Zong, Y.; Tan, G.G.; Sun, Y.; Lan, Y.Y.; He, M.; Ren, Z.Y.; Zheng, X.L. Solvothermal synthesis of nitrogen-doped graphene decorated by superparamagnetic Fe3O4 nanoparticles and their applications as enhanced synergistic microwave absorbers. Carbon 2017, 115, 493–502. [Google Scholar] [CrossRef]
- Nicolson, A.M.; Ross, G.F. Measurement of the intrinsic properties of materials by time-domain techniques. IEEE Trans. Instrum. Meas. 1970, 19, 377–382. [Google Scholar] [CrossRef]
- Wu, H.J.; Qu, S.H.; Lin, K.J.; Qing, Y.C.; Wang, L.D.; Fan, Y.C.; Fu, Q.H.; Zhang, F.L. Enhanced low-frequency microwave absorbing property of SCFs@TiO2 composite. Powder Technol. 2018, 333, 153–159. [Google Scholar] [CrossRef]
- Weissker, H.C.; Furthmuller, J.; Bechstedt, F. Validity of effective-medium theory for optical properties of embedded nanocrystallites from ab initio supercell calculations. Phys. Rev. B 2003, 67, 5. [Google Scholar] [CrossRef]
- Lu, B.; Huang, H.; Dong, X.L.; Zhang, X.F.; Lei, J.P.; Sun, J.P.; Dong, C. Influence of alloy components on electromagnetic characteristics of core/shell-type Fe-Ni nanoparticles. J. Appl. Phys. 2008, 104, 6. [Google Scholar] [CrossRef]
- Wu, T.; Liu, Y.; Zeng, X.; Cui, T.T.; Zhao, Y.T.; Li, Y.N.; Tong, G.X. Facile Hydrothermal Synthesis of Fe3O4/C Core-Shell Nanorings for Efficient Low-Frequency Microwave Absorption. ACS Appl. Mater. Interfaces 2016, 8, 7370–7380. [Google Scholar] [CrossRef] [PubMed]
- Kong, L.; Yin, X.W.; Yuan, X.Y.; Zhang, Y.J.; Liu, X.M.; Cheng, L.F.; Zhang, L.T. Electromagnetic wave absorption properties of graphene modified with carbon nanotube/poly(dimethyl siloxane) composites. Carbon 2014, 73, 185–193. [Google Scholar] [CrossRef]
- Yu, L.; Yu, L.; Dong, Y.; Zhu, Y.; Fu, Y.; Ni, Q. Compressible polypyrrole aerogel as a lightweight and wideband electromagnetic microwave absorber. J. Mater. Sci. Mater. Electron. 2019, 30, 5598–5608. [Google Scholar] [CrossRef]
- Wang, P.; Cheng, L.F.; Zhang, Y.N.; Zhang, L.T. Synthesis of SiC nanofibers with superior electromagnetic wave absorption performance by electrospinning. J. Alloys Compd. 2017, 716, 306–320. [Google Scholar] [CrossRef]
- Liu, J.; Cao, W.Q.; Jin, H.B.; Yuan, J.; Zhang, D.Q.; Cao, M.S. Enhanced permittivity and multi-region microwave absorption of nanoneedle-like ZnO in the X-band at elevated temperature. J. Mater. Chem. C 2015, 3, 4670–4677. [Google Scholar] [CrossRef]
- Coleman, J.N.; Lotya, M.; O’Neill, A.; Bergin, S.D.; King, P.J.; Khan, U.; Young, K.; Gaucher, A.; De, S.; Smith, R.J.; et al. Two-Dimensional Nanosheets Produced by Liquid Exfoliation of Layered Materials. Science 2011, 331, 568–571. [Google Scholar] [CrossRef]
- Naguib, M.; Mochalin, V.N.; Barsoum, M.W.; Gogotsi, Y. 25th Anniversary Article: MXenes: A New Family of Two-Dimensional Materials. Adv. Mater. 2014, 26, 992–1005. [Google Scholar] [CrossRef] [PubMed]
- Xiang, J.; Li, J.L.; Zhang, X.H.; Ye, Q.; Xu, J.H.; Shen, X.Q. Magnetic carbon nanofibers containing uniformly dispersed Fe/Co/Ni nanoparticles as stable and high-performance electromagnetic wave absorbers. J. Mater. Chem. A 2014, 2, 16905–16914. [Google Scholar] [CrossRef]
- Che, R.C.; Peng, L.M.; Duan, X.F.; Chen, Q.; Liang, X.L. Microwave absorption enhancement and complex permittivity and permeability of Fe encapsulated within carbon nanotubes. Adv. Mater. 2004, 16, 401. [Google Scholar] [CrossRef]
- Ren, Y.L.; Wu, H.Y.; Lu, M.M.; Chen, Y.J.; Zhu, C.L.; Gao, P.; Cao, M.S.; Li, C.Y.; Ouyang, Q.Y. Quaternary Nanocomposites Consisting of Graphene, Fe3O4@Fe Core@Shell, and ZnO Nanoparticles: Synthesis and Excellent Electromagnetic Absorption Properties. ACS Appl. Mater. Interfaces 2012, 4, 6436–6442. [Google Scholar] [CrossRef] [PubMed]
- Zhang, X.; Zhu, W.; Zhang, W.; Zheng, S.; Qi, S. Preparation of TiO2/Fe3O4/CF composites for enhanced microwave absorbing performance. J. Mater. Sci. Mater. Electron. 2018, 29, 7194–7202. [Google Scholar] [CrossRef]
- He, P.; Cao, M.S.; Shu, J.C.; Cai, Y.Z.; Wang, X.X.; Zhao, Q.L.; Yuan, J. Atomic Layer Tailoring Titanium Carbide MXene To Tune Transport and Polarization for Utilization of Electromagnetic Energy beyond Solar and Chemical Energy. ACS Appl. Mater. Interfaces 2019, 11, 12535–12543. [Google Scholar] [CrossRef]
- Hong, C.S.; Chu, S.Y.; Tsai, C.C.; Su, W.C. Manganese effect on the relaxation behaviors of the space charge polarization in Pb (Fe2/3W1/3) (0.9) Ti0.1O3 ceramics. Ceram. Int. 2011, 37, 3405–3411. [Google Scholar] [CrossRef]
- Okatan, M.B.; Mantese, J.V.; Alpay, S.P. Effect of space charge on the polarization hysteresis characteristics of monolithic and compositionally graded ferroelectrics. Acta Mater. 2010, 58, 39–48. [Google Scholar] [CrossRef]
- Cao, M.S.; Song, W.L.; Hou, Z.L.; Wen, B.; Yuan, J. The effects of temperature and frequency on the dielectric properties, electromagnetic interference shielding and microwave-absorption of short carbon fiber/silica composites. Carbon 2010, 48, 788–796. [Google Scholar] [CrossRef]
- Han, M.K.; Yin, X.W.; Wu, H.; Hou, Z.X.; Song, C.Q.; Li, X.L.; Zhang, L.T.; Cheng, L.F. Ti3C2 MXenes with Modified Surface for High-Performance Electromagnetic Absorption and Shielding in the X-Band. ACS Appl. Mater. Interfaces 2016, 8, 21011–21019. [Google Scholar] [CrossRef]
- Khazaei, M.; Arai, M.; Sasaki, T.; Chung, C.Y.; Venkataramanan, N.S.; Estili, M.; Sakka, Y.; Kawazoe, Y. Novel Electronic and Magnetic Properties of Two-Dimensional Transition Metal Carbides and Nitrides. Adv. Funct. Mater. 2013, 23, 2185–2192. [Google Scholar] [CrossRef]












© 2020 by the authors. Licensee MDPI, Basel, Switzerland. This article is an open access article distributed under the terms and conditions of the Creative Commons Attribution (CC BY) license (http://creativecommons.org/licenses/by/4.0/).
Share and Cite
Liu, H.; Li, L.; Cui, G.; Wang, X.; Zhang, Z.; Lv, X. Heterostructure Composites of CoS Nanoparticles Decorated on Ti3C2Tx Nanosheets and Their Enhanced Electromagnetic Wave Absorption Performance. Nanomaterials 2020, 10, 1666. https://doi.org/10.3390/nano10091666
Liu H, Li L, Cui G, Wang X, Zhang Z, Lv X. Heterostructure Composites of CoS Nanoparticles Decorated on Ti3C2Tx Nanosheets and Their Enhanced Electromagnetic Wave Absorption Performance. Nanomaterials. 2020; 10(9):1666. https://doi.org/10.3390/nano10091666
Chicago/Turabian StyleLiu, Hui, Ling Li, Guangzhen Cui, Xinxin Wang, Zhi Zhang, and Xuliang Lv. 2020. "Heterostructure Composites of CoS Nanoparticles Decorated on Ti3C2Tx Nanosheets and Their Enhanced Electromagnetic Wave Absorption Performance" Nanomaterials 10, no. 9: 1666. https://doi.org/10.3390/nano10091666
APA StyleLiu, H., Li, L., Cui, G., Wang, X., Zhang, Z., & Lv, X. (2020). Heterostructure Composites of CoS Nanoparticles Decorated on Ti3C2Tx Nanosheets and Their Enhanced Electromagnetic Wave Absorption Performance. Nanomaterials, 10(9), 1666. https://doi.org/10.3390/nano10091666
 
        

