Investigation of the Rheological Properties of Zn-Ferrite/Perfluoropolyether Oil-Based Ferrofluids
Abstract
1. Introduction
2. Materials and Methods
2.1. Preparation of Zn-Ferrite Nanoparticles and PFPE Oil-Based Ferrofluid
2.2. Characterization Methods
3. Results
3.1. The Internal Structures and Magnetism of Zn-Ferrite Nanoparticles
3.2. The Dispersion Stability of Ferrofluids
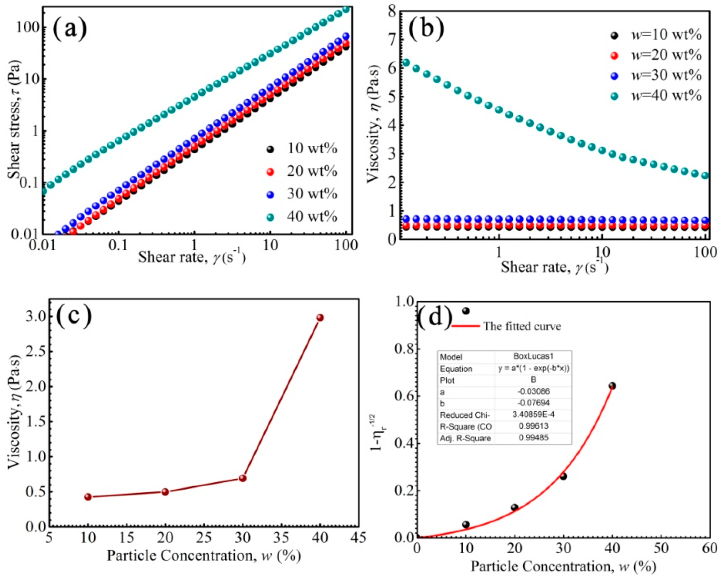
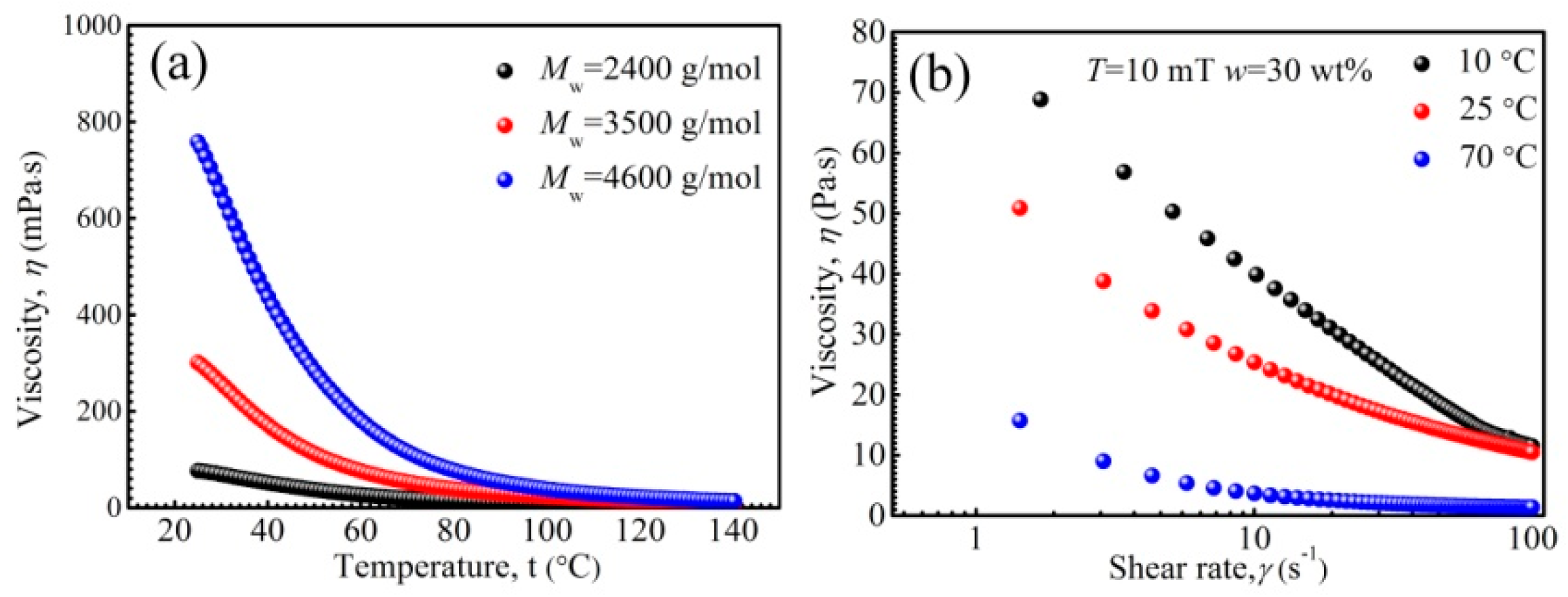
3.3. The Rheological Properties of PFPE Oil-Based Ferrofluids
4. Conclusions
Author Contributions
Funding
Data Availability Statement
Conflicts of Interest
Appendix A
| w | ρ (g/cm3) | Φ % |
|---|---|---|
| 10 | 1.986 | 16.30 |
| 20 | 2.068 | 29.15 |
| 30 | 2.105 | 35.03 |
| 40 | 2.201 | 49.99 |
References
- Joseph, A.; Mathew, S. Frontispiece: Ferrofluids: Synthetic strategies, stabilization, physicochemical features, characterization, and applications. ChemPlusChem 2015, 79, 1382–1420. [Google Scholar] [CrossRef]
- Schinteie, G.; Palade, P.; Vekas, L.; Iacob, N.; Bartha, C.; Kuncser, V. Volume fraction dependent magnetic behaviour of ferrofluids for rotating seal applications. J. Phys. D Appl. Phys. 2013, 46, 395501–395508. [Google Scholar] [CrossRef]
- Bohara, R.A.; Thorat, N.D.; Chaurasia, A.K.; Pawar, S.H. Cancer cells extinction through magnetic fluid hyperthermia treatment produced by superparamagnetic Co-Zn Ferrite nanoparticles. RSC Adv. 2015, 5, 47225–47234. [Google Scholar] [CrossRef]
- Candiani, A.; Argyros, A.; Leon-saval, S.G.; Lwin, R.; Selleri, S.; Pissadakis, S. A loss-based, magnetic field sensor implemented in a ferrofluid infiltrated microstructured polymer optical fiber. App. Phys. Lett. 2014, 104, 111106. [Google Scholar] [CrossRef]
- Hejazian, M.; Phan, D.T.; Nguyen, N.T. Mass transport improvement in microscale using diluted ferrofluid and a non-uniform magnetic field. RSC Adv. 2016, 6, 62439–62444. [Google Scholar] [CrossRef]
- Li, Z.K.; Li, D.C. Study of the thixotropic behaviors of ferrofluids. Soft Matter 2018, 14, 3858–3869. [Google Scholar] [CrossRef]
- Torres-Díaz, I.; Rinaldi, C. Recent progress in ferrofluids research: Novel applications of magnetically controllable and tunable fluids. Soft Matter 2014, 10, 8584–8602. [Google Scholar] [CrossRef] [PubMed]
- Long, Y.X.; Cai, L.D. Experimental investigation of diverging stepped magnetic fluid seals with large sealing gap. Int. J. Appl. Electromagn. Mech. 2016, 50, 407–415. [Google Scholar]
- Pinho, M.; Génevaux, J.M.; Dauchez, N. Damping induced by ferrofluid seals in ironless loudspeaker. J. Magn. Magn. Mater. 2014, 356, 125–130. [Google Scholar] [CrossRef]
- Shah, K.; Upadhyay, R.V.; Aswal, V.K. Influence of large size magnetic particles on the magneto-viscous properties of ferrofluid. Smart Mater. Struct. 2012, 21, 416–422. [Google Scholar] [CrossRef]
- IIg, P.; Kröger, M.; Hess, S. Anisotropy of the magnetoviscous effect in ferrofluids. Phys. Rev. E 2005, 71, 051201. [Google Scholar]
- Parekh, K.; Upadhyay, R.V.; Mehta, R.V. Magnetic and rheological characterization of Fe3O4 ferrofluid. Hyperfine Interact. 2005, 160, 211–217. [Google Scholar] [CrossRef]
- Li, Z.; Li, D.; Chen, Y. Study on the yielding behaviors of ferrofluids: A very shear thinning phenomenon. Soft Matter 2020, 16, 8202–8212. [Google Scholar] [CrossRef] [PubMed]
- Lira, S.A.; Miranda, J.A. Adhesion properties of chain-forming ferrofluids. Phys. Rev. E 2009, 79, 046303. [Google Scholar] [CrossRef] [PubMed]
- Wang, S.H.; Yang, C.C.; Bian, X.F. Magnetoviscous properties of Fe3O4 silicon oil based ferrofluid. J. Magn. Magn. Mater. 2012, 324, 3361–3365. [Google Scholar] [CrossRef]
- Bădescu, R.; Condurache, D.; Ivanoiu, M. Ferrofluid with modified stabilisant. J. Magn. Magn. Mater. 1999, 202, 197–200. [Google Scholar] [CrossRef]
- Hosseini, S.M.; Ghasemi, E.; Fazlali, A. The effect of nanoparticle concentration on the rheological properties of paraffin-based Co3O4 ferrofluids. J. Nanopart. Res. 2012, 14, 1–7. [Google Scholar] [CrossRef]
- Hong, C.Y.; Jang, I.J.; Horng, H.E.; Hsu, C.J.; Yao, Y.D.; Yang, H.C. Ordered Structures in Fe3O4 Kerosene-Based Ferrofluids. J. Appl. Phys. 1997, 81, 4275–4277. [Google Scholar] [CrossRef]
- Andhariya, N.; Chudasama, B.; Patel, R.; Upadhyay, R.V.; Mehta, R.V. Field induced rotational viscosity of ferrofluid: Effect of capillary size and magnetic field direction. J. Colloid Interface Sci. 2008, 323, 153–157. [Google Scholar] [CrossRef]
- Hosseini, S.M.; Vafajoo, L.; Ghasemi, E. Experimental investigation the effect of nanoparticle concentration on the rheological behavior of paraffin-based nickel ferrofluid. Int. J. Heat Mass Transf. 2016, 93, 228. [Google Scholar] [CrossRef]
- Chand, M.; Kumar, S.; Shankar, A.; Porwal, R.; Pant, R.P. The size induced effect on rheological properties of Co-ferrite based ferrofluid. J. Non-Cryst. Solids 2013, 361, 38–42. [Google Scholar] [CrossRef]
- Odenbach, S.; Raj, K. The Influence of Large Particles and Agglomerates on the Magnetoviscous Effect in Ferrofluids. Magnetohydrodynamics 2000, 36, 312–319. [Google Scholar] [CrossRef]
- Ivanov, A.O.; Zubarev, A. Chain Formation and Phase Separation in Ferrofluids: The Influence on Viscous Properties. Materials 2020, 13, 3956. [Google Scholar] [CrossRef]
- Abareshi, M.; Sajjadi, S.H.; Zebarjad, S.M.; Goharshadi, E.K. Fabrication, characterization, and measurement of viscosity of α-Fe2O3-glycerol nanofluids. J. Mol. Liq. 2011, 163, 27–32. [Google Scholar] [CrossRef]
- Butter, K.; Bomans, P.H.H.; Frederik, P.M.; Vroege, G.J.; Philipse, A.P. Direct observation of dipolar chains in iron ferrofluids by cryogenic electron microscopy. Nat. Mater. 2003, 2, 88–91. [Google Scholar] [CrossRef] [PubMed]
- Zubarev, A.Y.; Odenbach, S.; Fleischer, J. Rheological properties of dense ferrofluids. Effect of chain-like aggregates. J. Magn. Magn. Mater. 2002, 252, 241–243. [Google Scholar] [CrossRef]
- Li, Z.K.; Li, D.C.; Cui, H.C. Influence of the carrier fluid viscosity on the rotational and oscillatory rheological properties of ferrofluids. J. Nanosci. Nanotechnol. 2019, 19, 5572–5581. [Google Scholar] [CrossRef]
- Savitha, S.; Iyengar, S.S.; Ananthamurthy, S.; Bhattacharya, S. Studying effect of carrier fluid viscosity in magnetite based ferrofluids using optical tweezers. Mat. Sci. Eng. 2018, 310, 012098. [Google Scholar] [CrossRef]
- Kim, J.H.; Park, K.B. Properties of Polyalphaolefin-Based Ferrofluids. J. Magn. 2015, 20, 371–376. [Google Scholar] [CrossRef]
- Shliomis, M.I. Effective Viscosity Of Magnetic Suspensions. J. Exp. Theor. Phys. 1972, 34, 1291–1294. [Google Scholar]
- Varón, M.; Beleggia, M.; Kasama, T.; Harrison, R.; Dunin-Borkowski, R.; Puntes, V.; Frandsen, C. Dipolar magnetism in ordered and disordered low-dimensional nanoparticle assemblies. Sci. Rep. 2013, 3, 1234. [Google Scholar] [CrossRef] [PubMed]
- Wei, A.; Kasama, T.; Dunin-Borkowski, R.E. Self-assembly and flux closure studies of magnetic nanoparticle rings. J. Mater. Chem. 2011, 21, 16686. [Google Scholar] [CrossRef]
- Zubarev, A.Y.; Iskakova, L.Y. Rheological properties of ferrofluids with drop-like aggregates. Physica A 2007, 376, 38–50. [Google Scholar] [CrossRef]
- Klokkenburg, M.; Erne, B.H.; Meedldijk, J.D.; Wiedenmann, A.; Petukhov, A.V.; Dullens, R.P.A.; Philipse, A.P. In situ imaging of field-induced hexagonal columns in magnetite ferrofluids. Phys. Rev. Lett. 2006, 97, 185702. [Google Scholar] [CrossRef]
- Islam, M.F.; Lin, K.H.; Lacoste, D.; Lubensky, T.C. Field-induced structures in miscible ferrofluid suspensions with and without latex spheres. Phys. Rev. E 2003, 67, 021402. [Google Scholar] [CrossRef] [PubMed]
- Pop, L.M.; Odenbach, S. Investigation of the microscopic reason for the magnetoviscous effect in ferrofluids studied by small angle neutron scattering. J Phys. Condens. Matter 2006, 18, 2785–2802. [Google Scholar] [CrossRef][Green Version]
- Zubarev, A.Y.; Iskakova, L.Y. To the theory of rheological properties of ferrofluids: Influence of drop-like aggregates. Phys. A 2004, 343, 65–80. [Google Scholar] [CrossRef]
- Zubarev, A.Y.; Iskakova, L.Y. Structural transformations in ferrofluids. Phys. Rev E 2003, 68, 061203. [Google Scholar] [CrossRef]
- Zubarev, A.Y.; Iskakova, L.Y. Rheological properties of ferrofluids with microstructures. J Phys. Condens. Matter 2006, 18, 2771–2784. [Google Scholar] [CrossRef]
- Hosseini, S.M.; Fazlali, A.; Ghasemi, E.; Moghaddam, H.A.; Salehi, M. Rheological properties of a γ-Fe2O3 paraffin-based ferrofluid. J. Magn. Magn. Mater. 2010, 322, 3792–3796. [Google Scholar] [CrossRef]
- Elkady, A.S.; Iskakova, L.; Zubarev, A. On the self-assembly of net-like nanostructures in ferrofluids. Phys. A 2015, 428, 257–265. [Google Scholar] [CrossRef]
- Teixeira, C.B.; Olavo, L.; Neto, K.S. Magnetic investigation of iron-nitride-based magnetic fluid. Hyperfine Interact. 2007, 175, 113–120. [Google Scholar] [CrossRef]
- Ivanov, A.O.; Wang, Z.; Holm, C. Applying the chain formation model to magnetic properties of aggregated ferrofluids. Phys. Rev. E 2004, 69, 031206. [Google Scholar] [CrossRef]
- Borbth, I.; Kacs, Z. Convergence of Micro- and Nanoengineering; Romanian Academy Publishing House: Bucharest, Romania, 2006; pp. 200–210. [Google Scholar]
- Wang, Z.; Holm, C.; Müller, H.W. Molecular dynamics study on the equilibrium magnetization properties and structure of ferrofluids. Phys. Rev. E 2002, 66, 021405. [Google Scholar] [CrossRef]
- Klokkenburg, M.; Vonk, C.; Claesson, E.M. Direct imaging of zero-field dipolar structures in colloidal dispersions of synthetic magnetite. J. Am. Chem. Soc. 2004, 126, 16706. [Google Scholar] [CrossRef]
- Sun, W.M. Researches on Preparation of Fluorocarbon Oil-based Magnetic Liquid. Res. Exp. Lab. 2017, 36, 62–64. [Google Scholar]
- Cantow, M.J.R.; Barrall, E.M. Temperature and pressure dependence of the viscosities of perfluoropolyether fluids. J. Polym. Sci. Polym. Phys. 1987, 25, 603–609. [Google Scholar] [CrossRef]
- Li, Z.K.; Yao, J.; Li, D.C. Research on the rheological properties of a perfluoropolyether based ferrofluid. J. Magn. Magn. Mater. 2017, 424, 33–38. [Google Scholar] [CrossRef]
- Chen, F.; Liu, Y.; Yan, Z.Q. Influence of various parameters on the performance of superior PFPE-oil-based ferrofluids. Chem. Phys. 2018, 513, 67–72. [Google Scholar] [CrossRef]
- Srivastava, M.; Alla, S.K.; Meena, S.S. ZnxFe3−xO4 (0.01 ≤ x ≤ 0.8) nanoparticles for controlled magnetic hyperthermia application. New J. Chem. 2018, 42, 7144–7153. [Google Scholar] [CrossRef]
- Pei, L.; Pang, H.M.; Ruan, X.H.; Gong, X.L. Magnetorheology of a magnetic fluid based on Fe3O4 immobilized SiO2 core-shell nanospheres: Experiments and molecular dynamics simulations. RSC Adv. 2017, 7, 8142–8150. [Google Scholar] [CrossRef]
- Chirikov, D.N.; Fedotov, S.P.; Iskakova, L.Y.; Zubarev, A.Y. Viscoelastic properties of ferrofluids. Phys. Rev. E 2010, 82, 051405. [Google Scholar] [CrossRef]
- Liu, D.M. Particle packing and rheological property of highly-concentrated ceramic suspensions: φm determination and viscosity prediction. J. Mater. Sci. 2000, 35, 5503–5507. [Google Scholar] [CrossRef]
- Furst, E.M.; Gast, A.P. Dynamics and lateral interactions of dipolar chains. Phys. Rev. E 2000, 62, 6916–6925. [Google Scholar] [CrossRef] [PubMed]
- Cui, H.C.; Li, D.C. Preparation and Property Research of Perfluoropolyether Oil-Based Ferrofluid. J. Superconduct. Novel Magn. 2018, 31, 3607–3624. [Google Scholar] [CrossRef]
- Pakhomov, A.B.; Bao, Y.; Krishnan, K.M. Effects of surfactant friction on Brownian magnetic relaxation in nanoparticle ferrofluids. J. Appl. Phys. 2005, 97, 10Q305. [Google Scholar] [CrossRef]
- Fortin, T.J.; Laesecke, A.; Widegren, J.A. Measurement and correlation of densities and dynamic viscosities of perfluoropolyether oils. Ind. Eng. Chem. Res. 2016, 55, 8460–8471. [Google Scholar] [CrossRef]
- Namburu, P.K.; Kulkarni, D.P.; Misra, D. Viscosity of copper oxide nanoparticles dispersed in ethylene glycol and water mixture. Exp. Therm. Fluid Sci. 2008, 32, 397–402. [Google Scholar] [CrossRef]
- Kulkarni, D.P.; Das, D.K.; Chukwu, G.A. Temperature dependent rheological property of copper oxide nanoparticles suspension (nanofluid). J. Nanosci. Nanotechnol. 2006, 6, 1150–1154. [Google Scholar] [CrossRef]
- Li, Y.Q.; Bu, D.C.; Li, X.H. Magnetic field induced chain alignment of ferroparticles in magnetic fluid. J. Inorg. Mater. 2013, 28, 745–750. [Google Scholar] [CrossRef]
- Odenbach, S.; Störkb, H. Shear dependence of field-induced contributions to the viscosity of magnetic fluids at low shear rates. J. Magn. Magn. Mater. 1998, 183, 188–194. [Google Scholar] [CrossRef]
- Hong, R.Y.; Ren, Z.Q.; Han, Y.P. Rheological properties of water-based Fe3O4 ferrofluids. Chem. Eng. Sci. 2007, 62, 5912–5924. [Google Scholar] [CrossRef]







Publisher’s Note: MDPI stays neutral with regard to jurisdictional claims in published maps and institutional affiliations. |
© 2021 by the authors. Licensee MDPI, Basel, Switzerland. This article is an open access article distributed under the terms and conditions of the Creative Commons Attribution (CC BY) license (https://creativecommons.org/licenses/by/4.0/).
Share and Cite
Chen, F.; Liu, X.; Li, Z.; Yan, S.; Fu, H.; Yan, Z. Investigation of the Rheological Properties of Zn-Ferrite/Perfluoropolyether Oil-Based Ferrofluids. Nanomaterials 2021, 11, 2653. https://doi.org/10.3390/nano11102653
Chen F, Liu X, Li Z, Yan S, Fu H, Yan Z. Investigation of the Rheological Properties of Zn-Ferrite/Perfluoropolyether Oil-Based Ferrofluids. Nanomaterials. 2021; 11(10):2653. https://doi.org/10.3390/nano11102653
Chicago/Turabian StyleChen, Fang, Xiaobing Liu, Zhenggui Li, Shengnan Yan, Hao Fu, and Zhaoqiang Yan. 2021. "Investigation of the Rheological Properties of Zn-Ferrite/Perfluoropolyether Oil-Based Ferrofluids" Nanomaterials 11, no. 10: 2653. https://doi.org/10.3390/nano11102653
APA StyleChen, F., Liu, X., Li, Z., Yan, S., Fu, H., & Yan, Z. (2021). Investigation of the Rheological Properties of Zn-Ferrite/Perfluoropolyether Oil-Based Ferrofluids. Nanomaterials, 11(10), 2653. https://doi.org/10.3390/nano11102653

