Fabrication of Enzyme-Free and Rapid Electrochemical Detection of Glucose Sensor Based on ZnO Rod and Ru Doped Carbon Nitride Modified Gold Transducer
Abstract
:1. Introduction
2. Experimental Sections
2.1. Materials and Method
2.2. One-Pot Synthesis of Ruthenium-Doped Graphitic Carbon Nitride (g–Ru–C3N4)
2.3. Sensor Device Fabrication
2.4. Preparation of Analyte and Real Sample
3. Results and Discussion
3.1. Electrochemical Characterization of the ZnO–g–Ru–C3N4 Composite
3.2. Physical Characterization of ZnO–g–Ru–C3N4 Composite
3.3. Enzyme-Free Glucose Sensing at ZnO–g–Ru–C3N4 Modified Sensor Device
3.4. Effect of the Scan Rate and pH on the ZnO–g–Ru–C3N4 Modified Sensor Device
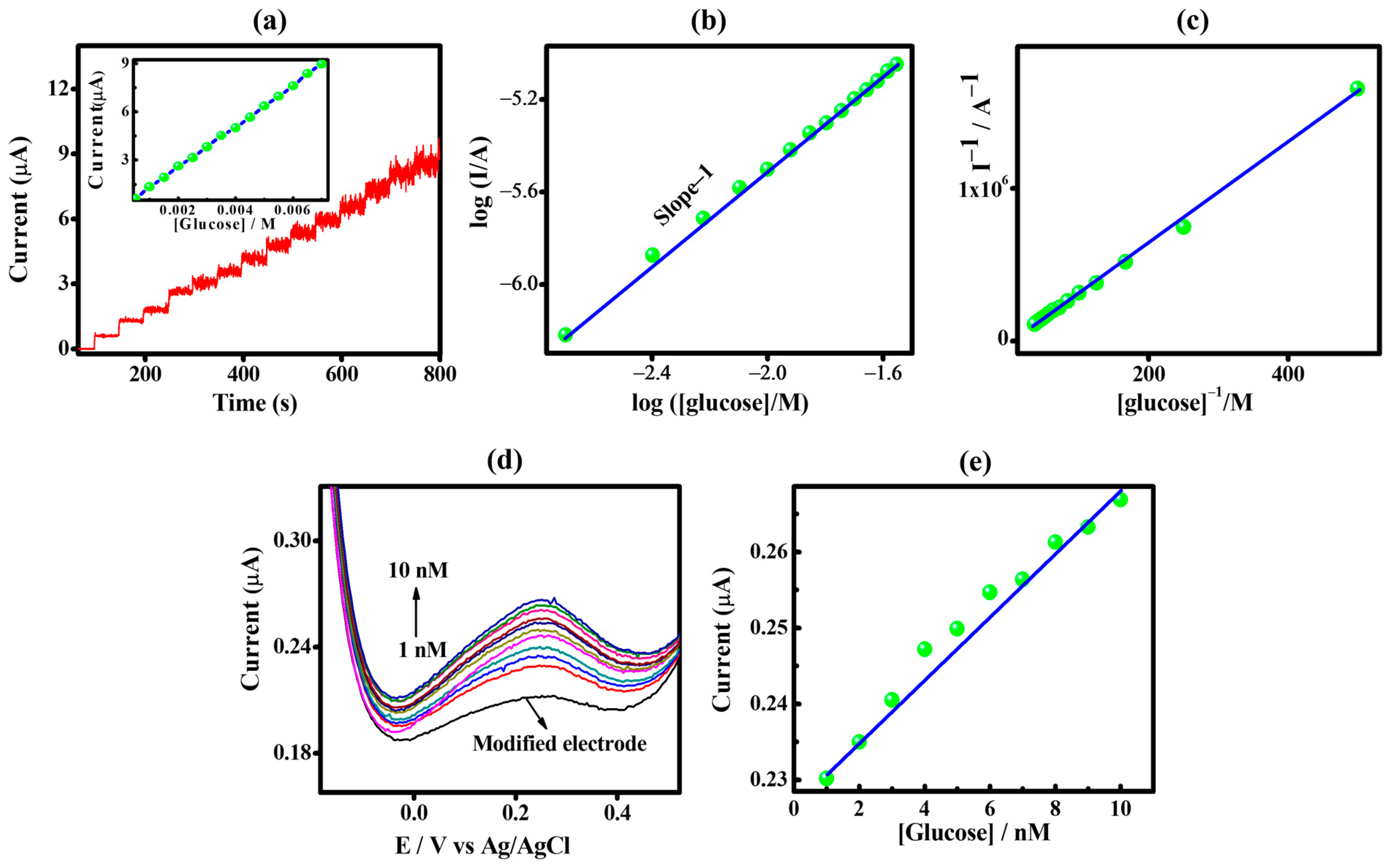
3.5. Effect of Glucose Concentration on the ZnO–g–Ru–C3N4 Modified Sensor Device
3.6. Selectivity, Stability and Reproducibility of the ZnO–g–Ru–C3N4 Modified Sensor Device
3.7. Reusability of the ZnO–g–Ru–C3N4 Modified Sensor Device
3.8. Practical Application
4. Conclusions
Supplementary Materials
Author Contributions
Funding
Institutional Review Board Statement
Informed Consent Statement
Data Availability Statement
Conflicts of Interest
References
- IDF DIABETES ATLAS 10th Edition 2021 (PDF). Available online: www.diabetesatlas.org (accessed on 7 July 2021).
- Steiner, M.S.; Duerkop, A.; Wolfbeis, O.S. Optical methods for sensing glucose. Chem. Soc. Rev. 2011, 40, 4805–4839. [Google Scholar] [CrossRef] [PubMed]
- Tian, J.; Liu, S.; Luo, Y.; Sun, X. Fe (III)-based coordination polymer nanoparticles: Peroxidase-like catalytic activity and their application to hydrogen peroxide and glucose detection. Catal. Sci. Technol. 2012, 2, 432–436. [Google Scholar] [CrossRef]
- Close, N.J.; Ronkainen, H.B.; Halsall, W.R. Heineman Electrochemical biosensors. Chem. Soc. Rev. 2010, 39, 1747–1763. [Google Scholar]
- Luo, J.; Luo, P.; Xie, M.; Du, K.; Zhao, B.; Pan, F.; Fan, P.; Zeng, F.; Zhang, Z.; Liang, G. A new type of glucose biosensor based on surface acoustic wave resonator using Mn-doped ZnO multilayer structure. Biosens. Bioelectron. 2013, 49, 512–518. [Google Scholar] [CrossRef]
- Adeel, M.; Asif, K.; Rahman, M.; Daniele, S.; Canzonieri, V.; Rizzolio, F. Glucose Detection Devices and Methods Based on Metal–Organic Frameworks and Related Materials. Adv. Funct. Mater. 2021, 31, 2106023. [Google Scholar] [CrossRef]
- Imran, H.; Vaishali, K.; Francy, S.A.; Manikandan, P.N.; Dharuman, V. Platinum and zinc oxide modified carbon nitride electrode as non-enzymatic highly selective and reusable electrochemical diabetic sensor in human blood. Bioelectrochemistry. 2021, 137, 107645. [Google Scholar] [CrossRef]
- Imran, H.; Manikandan, P.N.; Dharuman, V. Highly selective and rapid non-enzymatic glucose sensing at ultrathin layered Nb doped C3N4 for extended linearity range. Microchem. J. 2021, 160, 105774. [Google Scholar] [CrossRef]
- Adeel, M.; Rahman, M.; Caligiuri, I.; Canzonieri, V.; Rizzolio, F.; Daniele, S. Recent advances of electrochemical and optical enzyme-free glucose sensors operating at physiological conditions. Biosens. Bioelectron. 2020, 165, 112331. [Google Scholar] [CrossRef]
- Juska, V.B.; Pemble, M.E. A Critical Review of Electrochemical Glucose Sensing: Evolution of Biosensor Platforms Based on Advanced Nanosystems. Sensors 2020, 20, 6013. [Google Scholar] [CrossRef]
- Wang, L.; Wang, K.; He, T.; Zhao, Y.; Song, H.; Wang, H. Graphitic Carbon Nitride-Based Photocatalytic Materials: Preparation Strategy and Application. Chem. Eng. 2020, 8, 16048–16085. [Google Scholar] [CrossRef]
- Shinde, S.S.; Samia, A.; Lee, J.-H. Electrocatalytic hydrogen evolution using graphitic carbon nitride coupled with nanoporous graphene co-doped by S and Se†. J. Mater. Chem. A 2015, 3, 12810–12819. [Google Scholar] [CrossRef]
- Lin, Z.; Wang, K.; Wang, X.; Wang, S.; Pan, H.; Liu, Y.; Xu, S.; Cao, S. Carbon-Coated Graphitic Carbon Nitride Nanotubes for Supercapacitor Applications. ACS Appl. Nano Mater. 2020, 3, 7016–7028. [Google Scholar] [CrossRef]
- Wang, H.; Li, X.; Ruan, Q.; Tang, J. Ru and RuOx decorated carbon nitride for efficient ammonia photosynthesis. Nanoscale 2020, 12, 12329–12335. [Google Scholar] [CrossRef] [PubMed]
- Chen, Y.; Liu, Y.; Ma, Z. Graphitic C3N4 modified by Ru (II)-based dyes for photocatalytic H2 evolution. Colloids Surf. A Physicochem. Eng Asp. 2021, 614, 126119. [Google Scholar] [CrossRef]
- Shcherban, N.D.; Mäki-Arvela, P.; Aho, A.; Sergiienko, S.A.; Skoryk, M.A.; Kolobova, E.; Simakova, I.L.; Eränen, K.; Smeds, A.; Hemming, J.; et al. Preparation of betulone via betulin oxidation over Ru nanoparticles deposited on graphitic carbon nitride. Catal. Lett. 2019, 149, 723–732. [Google Scholar] [CrossRef] [Green Version]
- Peng, Y.; Pan, W.; Wang, N.; Lu, J.-E.; Chen, S. Ruthenium ion-complexed graphitic carbon nitride nanosheets supported on reduced graphene oxide as high-performance catalysts for electrochemical hydrogen evolution. ChemSusChem 2018, 11, 130–136. [Google Scholar] [CrossRef]
- Hao, D.; Ren, J.; Wang, Y.; Arandiyan, H.; Garbrecht, M.; Bai, X.; Shon, H.K.; Wei, W.; Ni, B.-J. A green synthesis of Ru modified g-C3N4 nanosheets for enhanced photocatalytic ammonia synthesis. Energy Mater. Adv. 2021, 12, 9761263. [Google Scholar] [CrossRef]
- Tian, J.; Liu, Q.; Ge, C.; Xing, Z.; Asiri, A.M.; Al-Youbi, A.O.; Sun, X. Ultrathin graphitic carbon nitride nanosheets: A low-cost, green, and highly efficient electrocatalyst toward the reduction of hydrogen peroxide and its glucose biosensing application. Nanoscale 2012, 5, 8921–8924. [Google Scholar] [CrossRef]
- Liu, L.; Wang, J.; Wang, C.; Wang, G. Facile synthesis of graphitic carbon nitride/nanostructured α-Fe2O3 composites and their excellent electrochemical performance for supercapacitor and enzyme-free glucose detection applications. Appl. Surf. Sci. 2016, 390, 303–310. [Google Scholar] [CrossRef]
- Zheng, W.; Li, Y.; Liu, M.; Tsang, C.-S.; Yoon, L.; Lee, S.; Wong, K.-Y. Cu2+ doped carbon nitride/MWCNT as an electrochemical glucose sensor. Electroanalysis 2018, 30, 1446–1454. [Google Scholar] [CrossRef]
- Doyle, R.L.; Godwin, I.J.; Brandon, M.P.; Lyons, M.E.G. Redox and electrochemical water splitting catalytic properties of hydrated metal oxide modified electrodes. Phys. Chem. Chem. Phys. 2013, 15, 13737–13783. [Google Scholar] [CrossRef] [PubMed]
- Bojdys, M.J.; Muller, J.-O.; Antonietti, M.; Thomas, A. Ionothermal synthesis of crystalline condensed graphitic carbon nitride. Chem.– Eur. J. 2008, 14, 8177–8182. [Google Scholar] [CrossRef] [PubMed]
- Mink, J.; Kristof, J.; Battisti, A.D.; Daalio, S.; Nemeth, C. Investigation on the formation of RuO2 based mixed oxide coatings by spectroscopic methods. Surf. Sci. 1995, 335, 252–257. [Google Scholar] [CrossRef]
- Borah, G.; Sharma, P. A novel route to size and shape controlled synthesis of DMSO capped ruthenium dioxide nanoparticles. Indian J. Chem. 2011, 50, 41–45. [Google Scholar]
- Jin, C.; Bigdeli, F.; Jin, Z.-M.; Xie, Y.-R.; Hu, M.-L.; Morsali, A. Ultrasonic effect on RuO2 nanostructures prepared by direct calcination of two new Ru(II)-organic supramolecular polymers. Ultrason. Sonochem. 2017, 39, 420–429. [Google Scholar] [CrossRef]
- Saranya, M.; Ramachandran, R.; Wang, F. Graphene-zinc oxide (G-ZnO) nanocomposite for electrochemical supercapacitor applications. J. Sci. Adv. Mater. Devices 2016, 1, 454–460. [Google Scholar] [CrossRef] [Green Version]
- Zhang, G.; Zhang, J.; Zhang, M.; Wang, X. Polycondensation of thiourea into carbon nitride semiconductors as visible light photocatalysts. J. Mater. Chem. 2012, 22, 8083–8091. [Google Scholar] [CrossRef]
- Imran, H.; Manikandan, P.N.; Dharuman, V. Ultra-sensitive and selective label free electrochemical DNA detection at layer-by-layer self-assembled graphene oxide and vesicle liposome nano-architecture. J. Electroanal. Chem. 2019, 835, 10–21. [Google Scholar] [CrossRef]
- Gu, S.; Xie, J.; Li, C.M. Hierarchically porous graphitic carbon nitride large-scale facile synthesis and its application toward photocatalytic dye degradation. RSC Adv. 2014, 4, 59436. [Google Scholar] [CrossRef]
- Wang, P.; Liu, H.; Tan, Q.; Yang, J. Ruthenium oxide-based nanocomposites with high specific surface area and improved capacitance as a supercapacitor. RSC Adv. 2014, 4, 42839. [Google Scholar] [CrossRef]
- Kalisamy, P.; Lallimathi, M.; Suryamathi, M.; Palanivel, B.; Venkatachalam, M. ZnO- embedded S-doped g-C3N4 heterojunction: Mediator-free Z-scheme mechanism for enhanced charge separation and photocatalytic degradation. RSC Adv. 2020, 10, 28365. [Google Scholar] [CrossRef] [PubMed]
- Pasta, M.; La Mantia, F.; Cui, Y. Mechanism of glucose electrochemical oxidation on gold surface. Electrochim. Acta 2010, 55, 5561–5568. [Google Scholar] [CrossRef]
- Hsiao, M.W.; Adzic, R.R.; Yeager, E.B. Electrochemical oxidation of glucose on single crystal and polycrystalline gold surfaces in phosphate buffer. J. Electrochem. Soc. 1996, 143, 759–767. [Google Scholar] [CrossRef]
- Bhat, K.S.; Byun, S.; Alam, A.; Ko, M.; An, J.; Lim, S. A fast and label-free detection of hydroxymethylated DNA using a nozzle-jet printed AuNPs@Ti3C2 MXene-based electrochemical sensor. Talanta 2022, 244, 123421. [Google Scholar] [CrossRef]
- Saeed, G.; Alam, A.; Bandyopadhyay, P.; Jeong, S.M.; Kim, K.H.; Lim, S. Metal-organic framework-derived (Mn-1)CoxSy@(Ni–Cu)OHs marigold flower-like core@shell as cathode and (Mn–Fe10)Sx@graphene–foam as anode materials for ultra-high energy-density asymmetric supercapacitor. Mater. Today Chem. 2022, 23, 100758. [Google Scholar] [CrossRef]
- Alam, A.; Saeed, G.; Lim, S. One-step synthesis of 2D–2D Co(OH)2–MoSe2 hybrid nanosheets as an efficient electrode material for high-performance asymmetric supercapacitor. J. Electroanal. Chem. 2020, 879, 114775. [Google Scholar] [CrossRef]
- Alam, A.; Saeed, G.; Hong, S.M.; Lim, S. Development of 3D-Printed MWCNTs/AC/BNNTs Ternary Composite Electrode Material with High-Capacitance Performance. Appl. Sci. 2021, 11, 2636. [Google Scholar] [CrossRef]
- Bhat, K.S.; Kim, H.; Alam, A.; Ko, M.; An, J.; Lim, S. Rapid and Label-Free Detection of 5Hydroxymethylcytosine in Genomic DNA Using an Au/ZnO Nanorods Hybrid Nanostructure-Based Electrochemical Sensor. Adv. Healthc. Mater. 2021, 10, 2101193. [Google Scholar] [CrossRef]
- Alam, A.; Saeed, G.; Kim, K.H.; Lim, S. Sonochemical synthesis of welded titanium dioxide-silver nanocomposite as a 3-dimensional direct ink writing printed cathode electrode material for high-performance supercapacitor. J. Energy Storage 2022, 45, 103524. [Google Scholar] [CrossRef]
- Pereira, S.O.; Santos, N.F.; Carvalho, A.F.; Fernandes, A.J.S.; Costa, F.M. Electrochemical Response of Glucose Oxidase Adsorbed on Laser-Induced Graphene. Nanomaterials 2021, 11, 1893. [Google Scholar] [CrossRef]
- Ksenzhek, O.S.; Petrova, S.A. Electrochemical properties of flavins in aqueous solutions. J. Electroanal. Chem. Interfacial Electrochem. 1983, 11, 105–127. [Google Scholar] [CrossRef]






| Surface | Method | Electrolyte | Limit of Detection (LOD) | Reference |
|---|---|---|---|---|
| ZnO–g–Pt–C3N4 | Electrochemical method | PBS | 0.1 µM | [7] |
| g–Nb–C3N4 | Electrochemical method | PBS | 1 µM | [8] |
| g–C3N4–GOx/GCE | Electrochemical method | PBS | 11 µM | [19] |
| g–C3N4/α–Fe2O3 | Electrochemical method | KOH | 0.58 µM | [20] |
| Cu2+–C3N4/MWCNT | Electrochemical method | NaOH | 0.35 µM | [21] |
| ZnO–g–Ru–C3N4 | Electrochemical method | PBS | 3.5 nM | This work |
Publisher’s Note: MDPI stays neutral with regard to jurisdictional claims in published maps and institutional affiliations. |
© 2022 by the authors. Licensee MDPI, Basel, Switzerland. This article is an open access article distributed under the terms and conditions of the Creative Commons Attribution (CC BY) license (https://creativecommons.org/licenses/by/4.0/).
Share and Cite
Imran, H.; Alam, A.; Dharuman, V.; Lim, S. Fabrication of Enzyme-Free and Rapid Electrochemical Detection of Glucose Sensor Based on ZnO Rod and Ru Doped Carbon Nitride Modified Gold Transducer. Nanomaterials 2022, 12, 1778. https://doi.org/10.3390/nano12101778
Imran H, Alam A, Dharuman V, Lim S. Fabrication of Enzyme-Free and Rapid Electrochemical Detection of Glucose Sensor Based on ZnO Rod and Ru Doped Carbon Nitride Modified Gold Transducer. Nanomaterials. 2022; 12(10):1778. https://doi.org/10.3390/nano12101778
Chicago/Turabian StyleImran, Habibulla, Asrar Alam, Venkataraman Dharuman, and Sooman Lim. 2022. "Fabrication of Enzyme-Free and Rapid Electrochemical Detection of Glucose Sensor Based on ZnO Rod and Ru Doped Carbon Nitride Modified Gold Transducer" Nanomaterials 12, no. 10: 1778. https://doi.org/10.3390/nano12101778
APA StyleImran, H., Alam, A., Dharuman, V., & Lim, S. (2022). Fabrication of Enzyme-Free and Rapid Electrochemical Detection of Glucose Sensor Based on ZnO Rod and Ru Doped Carbon Nitride Modified Gold Transducer. Nanomaterials, 12(10), 1778. https://doi.org/10.3390/nano12101778

