Double Fano Resonance and Independent Regulation Characteristics in a Rectangular-like Nanotetramer Metasurface Structure
Abstract
1. Introduction
2. Structure and Method
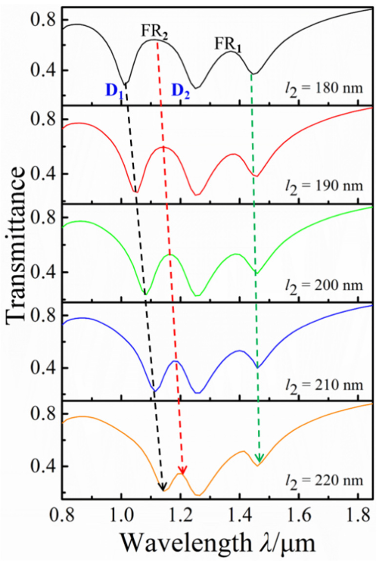
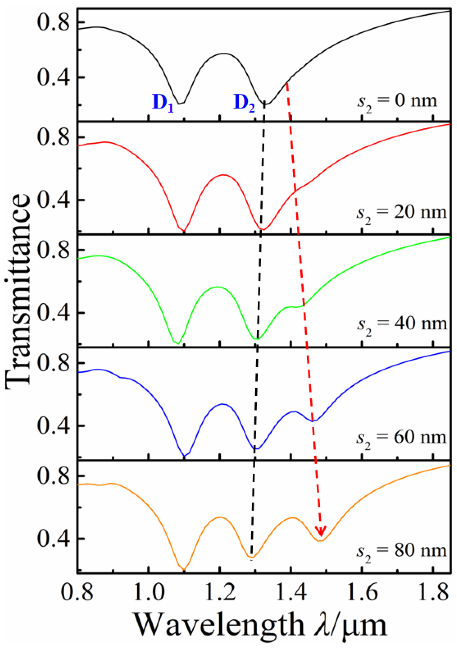
3. Results and Discussion
4. Conclusions
Author Contributions
Funding
Data Availability Statement
Conflicts of Interest
References
- Barnes, W.L.; Dereux, A.; Ebbesen, T.W. Surface Plasmon Subwavelength Optics. Nature 2003, 424, 824–830. [Google Scholar] [CrossRef] [PubMed]
- Stern, E.A.; Ferrell, R.A. Surface Plasma Oscillations of a Degenerate Electron Gas. Phys. Rev. 1960, 120, 130–136. [Google Scholar] [CrossRef]
- Chen, H.; Chen, Z.H.; Hua, Y.; Wen, L.H.; Yi, Z.; Zhou, Z.G.; Dai, B.; Zhang, J.G.; Wu, X.W.; Wu, P.H. Multi-mode Surface Plasmon Resonance Absorber Based on Dart-type single-layer Graphene. RSC Adv. 2022, 12, 7821–7829. [Google Scholar] [CrossRef] [PubMed]
- Hutter, E.; Fendler, J.H. Exploitation of Localized Surface Plasmon Resonance. Adv. Mater. 2004, 16, 1685–1706. [Google Scholar] [CrossRef]
- Ye, J.; Wen, F.F.; Sobhani, H.; Lassiter, J.B.; Van Dorpe, P.; Nordlander, P.; Halas, N.J. Plasmonic Nanoclusters: Near Field Properties of the Fano Resonance Interrogated with SERS. Nano Lett. 2012, 12, 1660–1667. [Google Scholar] [CrossRef]
- Zhang, Y.; Zhen, Y.R.; Neumann, O.; Day, J.K.; Nordlander, P.; Halas, N.J. Coherent Anti-Stokes Raman Scattering with Single-Molecule Sensitivity Using a Plasmonic Fano Resonance. Nat. Commun. 2014, 5, 4424. [Google Scholar] [CrossRef]
- Wu, X.L.; Zheng, Y.; Luo, Y.; Zhang, J.G.; Yi, Z.; Wu, X.W.; Cheng, S.B.; Yang, W.X.; Yu, Y.; Wu, P.H. A Four-band and Polarization-independent BDS-based Tunable Absorber with High Refractive Index Sensitivity. Phys. Chem. Chem. Phys. 2021, 23, 26864–26873. [Google Scholar] [CrossRef] [PubMed]
- Kvasnicka, P.; Homola, J. Optical Sensors Based on Spectros-Copy of Locialized Surface Plasmons on Metallic Nanoparticles:Sensitivity Considerations. Bionterphases 2008, 3, FD4–FD11. [Google Scholar] [CrossRef] [PubMed]
- Ahmadivand, A.; Gerislioglu, B.; Manickam, P.; Kaushik, A.; Bhansali, S.; Nair, M.; Pala, N. Rapid Detection of Infectious Envelope Proteins by Magnetoplasmonic Toroidal Metasensors. ACS Sens. 2017, 2, 1359–1368. [Google Scholar] [CrossRef] [PubMed]
- Zhao, F.; Lin, J.; Lei, Z.; Yi, Z.; Qin, F.; Zhang, J.; Liu, L.; Wu, X.; Yang, W.; Wu, P. Realization of 18.97% Theoretical Efficiency of 0.9 µm Thick c-Si/ZnO Heterojunction Ultrathin-film Solar Cells via Surface Plasmon Resonance Enhancement. Phys. Chem. Chem. Phys 2022, 24, 4871–4880. [Google Scholar] [CrossRef] [PubMed]
- Fan, J.A.; Bao, K.; Wu, C.; Bao, J.; Bardhan, R.; Halas, N.J.; Manoharan, V.N.; Shvets, G.; Nordlander, P.; Capasso, F. Fano-like Interference in Self-Assembled Plasmonic Quadrumer Clusters. Nano Lett. 2010, 11, 4680–4685. [Google Scholar] [CrossRef] [PubMed]
- Zhang, L.; Dong, Z.G.; Wang, Y.M.; Liu, Y.J.; Zhang, S.; Yang, J.K.W.; Qiu, C.W. Dynamically Configurable Hybridization of Plasmon Modes in Nanoring Dimer Arrays. Nanoscale 2015, 28, 12018–12022. [Google Scholar] [CrossRef] [PubMed]
- Coenen, T.; Schoen, D.T.; Mann, S.A.; Rodriguez, S.R.K.; Brenny, B.J.M.; Polman, A.; Brongersma, M.L. Nanoscale Spatial Coherent Control over the Modal Excitation of a Coupled Plasmonic Resonator System. Nano Lett. 2015, 11, 7666–7670. [Google Scholar] [CrossRef] [PubMed]
- Prodan, E.; Radloff, C.; Halas, N.J.; Nordlander, P. A Hybridization Model for the Plasmon Response of Complex Nanostructures. Science 2003, 5644, 419–422. [Google Scholar] [CrossRef] [PubMed]
- Zhang, S.; Li, G.C.; Chen, Y.Q.; Zhu, X.P.; Liu, S.D.; Lei, D.Y.; Duan, H.G. Pronounced Fano Resonance in Single Gold Split Nanodisks with 15 nm Split Gaps for Intensive Second Harmonic Generation. ACS Nano 2016, 12, 11105–11114. [Google Scholar] [CrossRef]
- Piao, X.; Yu, S.; Park, N. Control of Fano Asymmetry in Plasmon Induced Transparency and Its Application to Plasmonic Waveguide Modulator. Opt. Express 2012, 17, 18994–18999. [Google Scholar] [CrossRef]
- Haes, A.J.; Van Duyne, R.P. A Nanoscale Optical Biosensor: Sensitivity and Selectivity of An Approach Based on The Localized Surface Plasmon Resonance Spectroscopy of Triangular Silver Nanoparticles. J. Am. Chem. Soc. 2002, 35, 10596–10604. [Google Scholar] [CrossRef]
- Xue, T.Y.; Liang, W.Y.; Li, Y.W.; Sun, Y.H.; Xiang, Y.J.; Zhang, Y.P.; Dai, Z.G.; Duo, Y.H.; Wu, L.M.; Qi, K.; et al. Ultrasensitive Detection of MiRNA with an Antimonene-based Surface Plasmon Resonance Sensor. Nat. Commun. 2019, 10, 28. [Google Scholar] [CrossRef]
- Duan, Q.L.; Liu, Y.N.; Chang, S.S.; Chen, H.Y.; Chen, J.H. Surface Plasmonic Sensors: Sensing Mechanism and Recent Applications. Sensors 2021, 21, 5262. [Google Scholar] [CrossRef]
- Yi, Z.; Liu, L.; Wang, L.; Cen, C.; Chen, X.; Zhou, Z.; Ye, X.; Yi, Y.; Tang, Y.; Yi, Y.; et al. Tunable Dual-Band Perfect Absorber Consisting of Periodic Cross-Cross Monolayer Graphene Arrays. Results Phys. 2019, 13, 102217. [Google Scholar] [CrossRef]
- Wang, Q.; Ouyang, Z.B.; Sun, Y.L.; Lin, M.; Liu, Q. Linearly Tunable Fano Resonance Modes in a Plasmonic Nanostructure with a Waveguide Loaded with Two Rectangular Cavities Coupled by a Circular Cavity. Nanomaterials 2019, 9, 678. [Google Scholar] [CrossRef] [PubMed]
- Kurt, H. All-dielectric Periodic Media Engineered for Slow Light Studies. Int. J. Mod. Phys. B 2013, 27, 1330020. [Google Scholar] [CrossRef]
- Kim, K.H.; Husakou, A.; Herrmann, J. Slow Light in Dielectric Composite Materials of Metal Nanoparticles. Opt. Express 2012, 23, 25790–25797. [Google Scholar] [CrossRef] [PubMed][Green Version]
- Gunay, M.; Cicek, A.; Korozlu, N.; Bek, A.; Tasgin, M.E. Fano Enhancement of Unlocalized Nonlinear Optical Processes. Phys. Rev. B 2021, 104, 235407. [Google Scholar] [CrossRef]
- Czaplicki, R.; Makitalo, J.; Siikanen, R.; Husu, H.; Lehtolahti, J.; Kuittinen, M.; Kauranen, M. Second-Harmonic Generation from Metal Nanoparticles: Resonance Enhancement versus Particle Geometry. Nano Lett. 2015, 1, 530–534. [Google Scholar] [CrossRef]
- Metzger, B.; Gui, L.L.; Fuchs, J.; Floess, D.; Hentschel, M.; Giessen, H. Strong Enhancement of Second Harmonic Emission by Plasmonic Resonances at the Second Harmonic Wavelength. Nano Lett. 2015, 6, 3917–3922. [Google Scholar] [CrossRef]
- Black, L.J.; Wiecha, P.R.; Wang, Y.D.; de Groot, C.H.; Paillard, V.; Girard, C.; Muskens, O.L.; Arbouet, A. Tailoring Second Harmonic Generation in Single L-Shaped Plasmonic Nanoantennas from the Capacitive to Conductive Coupling Regime. ACS Photonics 2015, 11, 1592–1601. [Google Scholar] [CrossRef]
- Zhou, Y.J.; Dai, L.H.; Li, Q.Y.; Xiao, Z.Y. Two-Way Fano Resonance Switch in Plasmonic Metamaterials. Front. Phys. 2020, 8, 576419. [Google Scholar] [CrossRef]
- Ou, J.; Luo, X.Q.; Luo, Y.L.; Zhu, W.H.; Chen, Z.Y.; Liu, W.M.; Wang, X.L. Near-infrared Dual-wavelength Plasmonic Switching and Digital Metasurface Unveiled by Plasmonic Fano Resonance. Nanophotonics 2021, 10, 947–957. [Google Scholar] [CrossRef]
- Ogawa, S.; Kimata, M. Wavelength or Polarization-Selective Thermal Infrared Detectors for Multi-Color or Polarimetric Imaging Using Plasmonics and Metamaterials. Materials 2017, 10, 493. [Google Scholar] [CrossRef]
- Liu, X.L.; Yu, Y.; Zhang, X.L. Tunable Fano Resonance with a High Slope Rate in a Microring-Resonator-Coupled Mach-Zehnder Interferometer. Opt. Lett. 2019, 44, 251–254. [Google Scholar] [CrossRef]







Publisher’s Note: MDPI stays neutral with regard to jurisdictional claims in published maps and institutional affiliations. |
© 2022 by the authors. Licensee MDPI, Basel, Switzerland. This article is an open access article distributed under the terms and conditions of the Creative Commons Attribution (CC BY) license (https://creativecommons.org/licenses/by/4.0/).
Share and Cite
Zhang, Z.; Zhang, Q.; Li, B.; Zang, J.; Cao, X.; Zhao, X.; Xue, C. Double Fano Resonance and Independent Regulation Characteristics in a Rectangular-like Nanotetramer Metasurface Structure. Nanomaterials 2022, 12, 3479. https://doi.org/10.3390/nano12193479
Zhang Z, Zhang Q, Li B, Zang J, Cao X, Zhao X, Xue C. Double Fano Resonance and Independent Regulation Characteristics in a Rectangular-like Nanotetramer Metasurface Structure. Nanomaterials. 2022; 12(19):3479. https://doi.org/10.3390/nano12193479
Chicago/Turabian StyleZhang, Zhidong, Qingchao Zhang, Bo Li, Junbin Zang, Xiyuan Cao, Xiaolong Zhao, and Chenyang Xue. 2022. "Double Fano Resonance and Independent Regulation Characteristics in a Rectangular-like Nanotetramer Metasurface Structure" Nanomaterials 12, no. 19: 3479. https://doi.org/10.3390/nano12193479
APA StyleZhang, Z., Zhang, Q., Li, B., Zang, J., Cao, X., Zhao, X., & Xue, C. (2022). Double Fano Resonance and Independent Regulation Characteristics in a Rectangular-like Nanotetramer Metasurface Structure. Nanomaterials, 12(19), 3479. https://doi.org/10.3390/nano12193479

