Rheological and Thermal Conductivity Study of Two-Dimensional Molybdenum Disulfide-Based Ethylene Glycol Nanofluids for Heat Transfer Applications
Abstract
:1. Introduction
2. Materials and Methods
2.1. Materials
2.2. Methods
2.2.1. Material Characterization Techniques
2.2.2. Nanofluids Preparation
2.2.3. Rheological Measurements of Nanofluids
Shear Flow and Temperature Sweep Measurements
Viscoelastic Measurements
Thixotropic Measurements
2.2.4. Thermal Conductivity Measurements
2.2.5. Statistical Analysis
3. Results
3.1. Material Characterization
3.2. Rheological Analysis
3.2.1. Steady-State (Temperature) Shear Flow Behavior Analysis
3.2.2. Influence of Steady State Temperature and Concentration on Viscosity
3.2.3. Arrhenius Plot and Activation Energy from Steady State Viscosity Data
3.2.4. Temperature Sweep Heating/Cooling Cycle Analysis
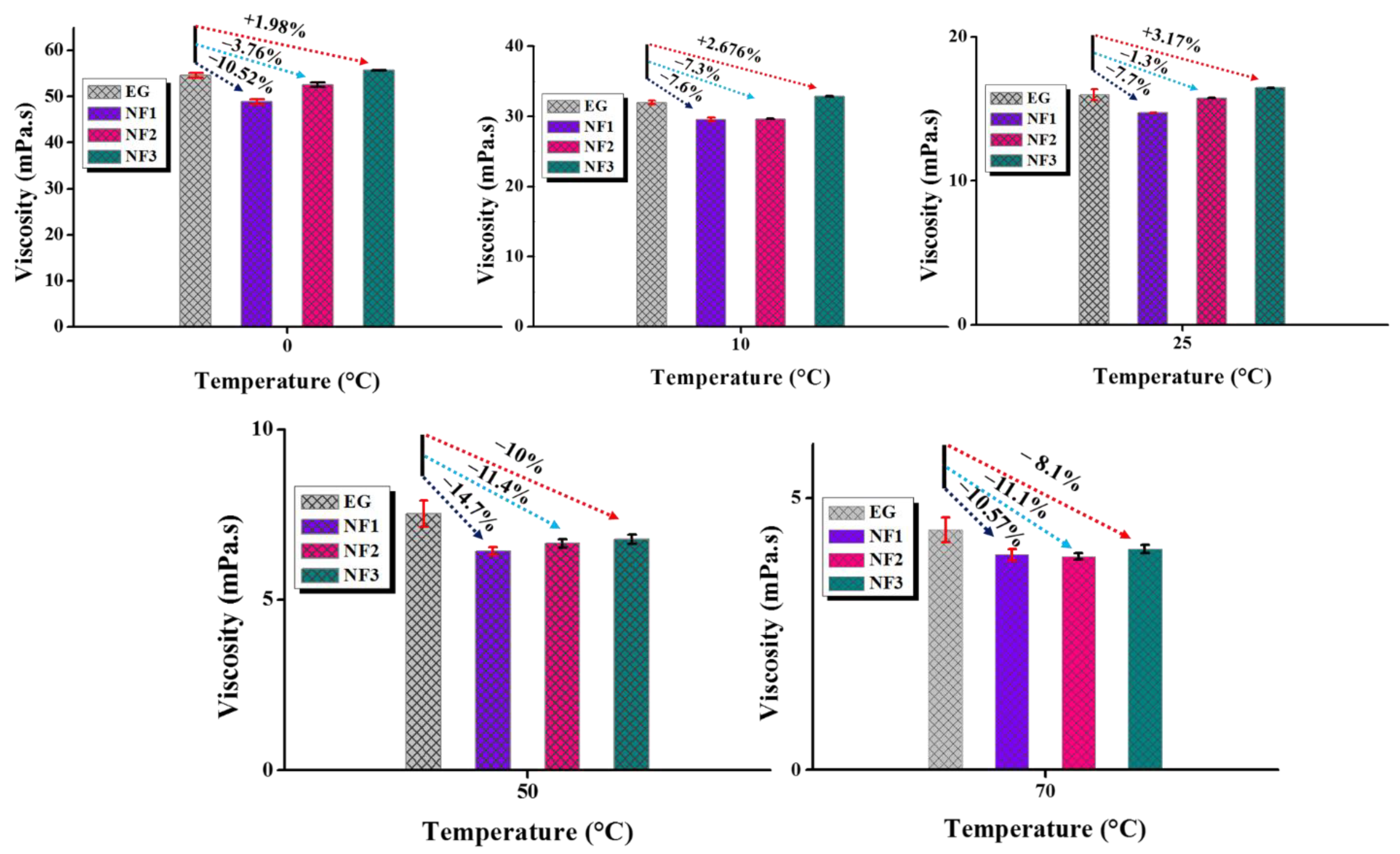
3.2.5. Viscosity Enhancement and Reduction Mechanisms
3.2.6. Strain Sweep Analysis
ITT and Hysteresis Loop Analysis
3.3. Thermal Conductivity
4. Performance Criteria
5. Conclusions
Author Contributions
Funding
Institutional Review Board Statement
Informed Consent Statement
Data Availability Statement
Acknowledgments
Conflicts of Interest
References
- Bahiraei, M.; Rahmani, R.; Yaghoobi, A.; Khodabandeh, E.; Mashayekhi, R.; Amani, M. Recent research contributions concerning use of nanofluids in heat exchangers: A critical review. Appl. Therm. Eng. 2018, 133, 137–159. [Google Scholar] [CrossRef]
- Kabeel, A.E.; Abou El Maaty, T.; El Samadony, Y. The effect of using nano-particles on corrugated plate heat exchanger performance. Appl. Therm. Eng. 2013, 52, 221–229. [Google Scholar] [CrossRef]
- Salahuddin, T.; Siddique, N.; Arshad, M.; Tlili, I. Internal energy change and activation energy effects on Casson fluid. AIP Adv. 2020, 10, 025009. [Google Scholar] [CrossRef] [Green Version]
- Messaâdi, A.; Dhouibi, N.; Hamda, H.; Belgacem, F.B.M.; Adbelkader, Y.H.; Ouerfelli, N.; Hamzaoui, A.H. A New Equation Relating the Viscosity Arrhenius Temperature and the Activation Energy for Some Newtonian Classical Solvents. J. Chem. 2015, 2015, 163262. [Google Scholar] [CrossRef] [Green Version]
- Kumar, V.; Sarkar, J. Particle ratio optimization of Al2O3-MWCNT hybrid nanofluid in minichannel heat sink for best hydrothermal performance. Appl. Therm. Eng. 2020, 165, 114546. [Google Scholar] [CrossRef]
- Mukesh Kumar, P.C.; Chandrasekar, M. Heat transfer and friction factor analysis of MWCNT nanofluids in double helically coiled tube heat exchanger. J. Therm. Anal. Calorim. 2020, 144, 219–231. [Google Scholar] [CrossRef]
- Jumpholkul, C.; Asirvatham, L.G.; Dalkılıç, A.S.; Mahian, O.; Ahn, H.S.; Jerng, D.-W.; Wongwises, S. Experimental investigation of the heat transfer and pressure drop characteristics of SiO2/water nanofluids flowing through a circular tube equipped with free rotating swirl generators. Heat Mass Transf. 2020, 56, 1613–1626. [Google Scholar] [CrossRef]
- Azizi, M.; Honarvar, B. Synthesis of highly stable nanofluids including polyvinyl alcohol-treated graphene oxide for improved heat dissipation in a tubular heat exchanger. J. Therm. Anal. Calorim. 2020, 145, 13–25. [Google Scholar] [CrossRef]
- Kuang, Y.; Wang, W.; Miao, J.; Yu, X.; Zhang, H. Pressure drop instability analysis in mini-channel evaporators under different magnitudes of gravity. Int. J. Therm. Sci. 2020, 147, 105952. [Google Scholar] [CrossRef]
- Ghanbari, S.; Javaherdeh, K. Thermal performance enhancement in perforated baffled annuli by nanoporous graphene non-Newtonian nanofluid. Appl. Therm. Eng. 2020, 167, 114719. [Google Scholar] [CrossRef]
- Thapliyal, P.; Thakre, G.D. Investigation of flow behaviour and lubrication capabilities of MoS2. Bull. Mater. Sci. 2020, 43, 19. [Google Scholar] [CrossRef]
- Hussien, A.A.; Yusop, N.M.; Abdullah, M.Z.; Al-Nimr, M.A.; Khavarian, M. Study on convective heat transfer and pressure drop of MWCNTs/water nanofluid in mini-tube. J. Therm. Anal. Calorim. 2019, 135, 123–132. [Google Scholar] [CrossRef]
- Sarafraz, M.; Dareh Baghi, A.; Safaei, M.; Leon, A.; Ghomashchi, R.; Goodarzi, M.; Lin, C.-X. Assessment of Iron Oxide (III)–Therminol 66 Nanofluid as a Novel Working Fluid in a Convective Radiator Heating System for Buildings. Energies 2019, 12, 4327. [Google Scholar] [CrossRef] [Green Version]
- Khan, S.A.; Khan, M.I.; Hayat, T.; Alsaedi, A. Darcy-Forchheimer hybrid (MoS2, SiO2) nanofluid flow with entropy generation. Comput. Methods Programs Biomed. 2020, 185, 105152. [Google Scholar] [CrossRef]
- Żyła, G. Nanofluids containing low fraction of carbon black nanoparticles in ethylene glycol: An experimental study on their rheological properties. J. Mol. Liq. 2020, 297, 111732. [Google Scholar] [CrossRef]
- Yu, L.; Bian, Y.; Liu, Y.; Xu, X. Experimental investigation on rheological properties of water based nanofluids with low MWCNT concentrations. Int. J. Heat Mass Transf. 2019, 135, 175–185. [Google Scholar] [CrossRef]
- Kazemi, I.; Sefid, M.; Afrand, M. A novel comparative experimental study on rheological behavior of mono & hybrid nanofluids concerned graphene and silica nano-powders: Characterization, stability and viscosity measurements. Powder Technol. 2020, 366, 216–229. [Google Scholar] [CrossRef]
- Vallejo, J.; Żyła, G.; Fernández-Seara, J.; Lugo, L. Influence of Six Carbon-Based Nanomaterials on the Rheological Properties of Nanofluids. Nanomaterials 2019, 9, 146. [Google Scholar] [CrossRef] [Green Version]
- Qiu, L.; Zhu, N.; Feng, Y.; Michaelides, E.E.; Żyła, G.; Jing, D.; Zhang, X.; Norris, P.M.; Markides, C.N.; Mahian, O. A review of recent advances in thermophysical properties at the nanoscale: From solid state to colloids. Phys. Rep. 2020, 843, 1–81. [Google Scholar] [CrossRef]
- Huminic, G.; Huminic, A. Entropy generation of nanofluid and hybrid nanofluid flow in thermal systems: A review. J. Mol. Liq. 2020, 302, 112533. [Google Scholar] [CrossRef]
- Babar, H.; Sajid, M.; Ali, H. Viscosity of hybrid nanofluids: A critical review. Therm. Sci. 2019, 23, 1713–1754. [Google Scholar] [CrossRef] [Green Version]
- Wang, H.; Li, C.; Fang, P.; Zhang, Z.; Zhang, J.Z. Synthesis, properties, and optoelectronic applications of two-dimensional MoS2 and MoS2 -based heterostructures. Chem. Soc. Rev. 2018, 47, 6101–6127. [Google Scholar] [CrossRef] [PubMed]
- Navas, J.; Martínez-Merino, P.; Sánchez-Coronilla, A.; Gallardo, J.J.; Alcántara, R.; Martín, E.I.; Piñero, J.C.; León, J.R.; Aguilar, T.; Toledo, J.H.; et al. MoS2 nanosheets vs. nanowires: Preparation and a theoretical study of highly stable and efficient nanofluids for concentrating solar power. J. Mater. Chem. A 2018, 6, 14919–14929. [Google Scholar] [CrossRef]
- Mousavi, S.B.; Zeinali Heris, S.; Hosseini, M.G. Experimental investigation of MoS2 /diesel oil nanofluid thermophysical and rheological properties. Int. Commun. Heat Mass Transf. 2019, 108, 104298. [Google Scholar] [CrossRef]
- Nikkam, N.; Toprak, M.S.; Dutta, J.; Al-Abri, M.; Myint, M.T.Z.; Souayeh, M.; Mohseni, S.M. Fabrication and thermo-physical properties characterization of ethylene glycol—MoS2 heat exchange fluids. Int. Commun. Heat Mass Transf. 2017, 89, 185–189. [Google Scholar] [CrossRef]
- Holman, J.P. Heat Transfer, 10th ed.; McGraw-Hill: New York, NY, USA, 2010; ISBN 9780073529363. [Google Scholar]
- Yadav, D.; Kumar, R.; Tiwary, B.; Singh, P.K. Rheological characteristics of CeO2, Al2O3 and their hybrid mixture in ethylene glycol base fluid in the wide range of temperature and concentration. J. Therm. Anal. Calorim. 2020, 143, 1003–1019. [Google Scholar] [CrossRef]
- Shah, S.N.A.; Shahabuddin, S.; Sabri, M.F.M.; Salleh, M.F.M.; Ali, M.A.; Hayat, N.; Sidik, N.A.C.; Samykano, M.; Saidur, R. Experimental investigation on stability, thermal conductivity and rheological properties of rGO/ethylene glycol based nanofluids. Int. J. Heat Mass Transf. 2020, 150, 118981. [Google Scholar] [CrossRef]
- Shah, S.N.A.; Shahabuddin, S.; Sabri, M.F.M.; Salleh, M.F.M.; Said, S.M.; Khedher, K.M.; Sridewi, N. Two-Dimensional Tungsten Disulfide-Based Ethylene Glycol Nanofluids: Stability, Thermal Conductivity, and Rheological Properties. Nanomaterials 2020, 10, 1340. [Google Scholar] [CrossRef]
- Ike, E. The study of viscosity-temperature dependence and activation energy for palm oil and soybean oil. Glob. J. Pure Appl. Sci. 2019, 25, 209–217. [Google Scholar] [CrossRef] [Green Version]
- Elis Josna Mary, E.; Suganthi, K.S.; Manikandan, S.; Anusha, N.; Rajan, K.S. Cerium oxide–ethylene glycol nanofluids with improved transport properties: Preparation and elucidation of mechanism. J. Taiwan Inst. Chem. Eng. 2015, 49, 183–191. [Google Scholar] [CrossRef]
- Kim, E.J.; Desforges, A.; Speyer, L.; Ghanbaja, J.; Gleize, J.; Estellé, P.; Vigolo, B. Graphene for Water-Based Nanofluid Preparation: Effect of Chemical Modifications on Dispersion and Stability. J. Nanofluids 2017, 6, 603–613. [Google Scholar] [CrossRef]
- Soleymaniha, M.; Amiri, A.; Shanbedi, M.; Chew, B.T.; Wongwises, S. Water-based graphene quantum dots dispersion as a high-performance long-term stable nanofluid for two-phased closed thermosyphons. Int. Commun. Heat Mass Transf. 2018, 95, 147–154. [Google Scholar] [CrossRef]
- Goharshadi, E.K.; Niyazi, Z.; Shafaee, M.; Moghaddam, M.B.; Ludwig, R.; Namayandeh-Jorabchi, M. Transport properties of graphene quantum dots in glycerol and distilled water. J. Mol. Liq. 2017, 241, 831–838. [Google Scholar] [CrossRef]
- Esfahani, M.R.; Languri, E.M.; Nunna, M.R. Effect of particle size and viscosity on thermal conductivity enhancement of graphene oxide nanofluid. Int. Commun. Heat Mass Transf. 2016, 76, 308–315. [Google Scholar] [CrossRef]
- Qing, S.H.; Rashmi, W.; Khalid, M.; Gupta, T.C.S.M.; Nabipoor, M.; Hajibeigy, M.T. Thermal conductivity and electrical properties of hybrid SiO2-graphene naphthenic mineral oil nanofluid as potential transformer oil. Mater. Res. Express 2017, 4, 015504. [Google Scholar] [CrossRef]
- Jin, J.; Wang, X.; Hu, S.; Geng, J.; Jing, D. Unusual photorheological properties of TiO2 nanoparticle suspensions under UV light irradiation. J. Phys. D Appl. Phys. 2019, 52, 275301. [Google Scholar] [CrossRef]
- Bao, L.; Zhong, C.; Jie, P.; Hou, Y. The effect of nanoparticle size and nanoparticle aggregation on the flow characteristics of nanofluids by molecular dynamics simulation. Adv. Mech. Eng. 2019, 11, 1687814019889486. [Google Scholar] [CrossRef] [Green Version]
- Manasrah, A.D.; Laoui, T.; Zaidi, S.J.; Atieh, M.A. Effect of PEG functionalized carbon nanotubes on the enhancement of thermal and physical properties of nanofluids. Exp. Therm. Fluid Sci. 2017, 84, 231–241. [Google Scholar] [CrossRef]
- Abdullah, A.; Mohamad, I.S.; Bani Hashim, A.Y.; Abdullah, N.; Wei, P.B.; Isa, M.H.M.; Zainal Abidin, S. Thermal conductivity and viscosity of deionised water and ethylene glycol-based nanofluids. J. Mech. Eng. Sci. 2016, 10, 2249–2261. [Google Scholar] [CrossRef]
- Zhao, J.-F.; Luo, Z.-Y.; Ni, M.-J.; Cen, K.-F. Dependence of Nanofluid Viscosity on Particle Size and pH Value. Chin. Phys. Lett. 2009, 26, 066202. [Google Scholar] [CrossRef]
- Beheshti, A.; Shanbedi, M.; Heris, S.Z. Heat transfer and rheological properties of transformer oil-oxidized MWCNT nanofluid. J. Therm. Anal. Calorim. 2014, 118, 1451–1460. [Google Scholar] [CrossRef]
- Taha-Tijerina, J.; Peña-Paras, L.; Narayanan, T.N.; Garza, L.; Lapray, C.; Gonzalez, J.; Palacios, E.; Molina, D.; García, A.; Maldonado, D.; et al. Multifunctional nanofluids with 2D nanosheets for thermal and tribological management. Wear 2013, 302, 1241–1248. [Google Scholar] [CrossRef]
- Guo, J.F.; Guo, Z.Q.; Wang, X.F.; Li, Y.J.; Lv, Q.J. Experimental Investigation on Thermophysical Performance of BN/EG Nanofluids Influenced by Dispersant. Appl. Mech. Mater. 2015, 757, 7–12. [Google Scholar] [CrossRef]
- Vajjha, R.S.; Das, D.K.; Kulkarni, D.P. Development of new correlations for convective heat transfer and friction factor in turbulent regime for nanofluids. Int. J. Heat Mass Transf. 2010, 53, 4607–4618. [Google Scholar] [CrossRef]
- Wang, N.; Xu, G.; Li, S.; Zhang, X. Thermal Properties and Solar Collection Characteristics of Oil-based Nanofluids with Low Graphene Concentration. Energy Procedia 2017, 105, 194–199. [Google Scholar] [CrossRef]
- Zhou, J.; Hu, M.; Jing, D. The synergistic effect between surfactant and nanoparticle on the viscosity of water-based fluids. Chem. Phys. Lett. 2019, 727, 1–5. [Google Scholar] [CrossRef]
- Guo, Y.; Surblys, D.; Kawagoe, Y.; Matsubara, H.; Ohara, T. A molecular dynamics study of heat transfer over an ultra-thin liquid film with surfactant between solid surfaces. J. Appl. Phys. 2019, 126, 185302. [Google Scholar] [CrossRef]
- Bair, S.; Yamaguchi, T.; Brouwer, L.; Schwarze, H.; Vergne, P.; Poll, G. Oscillatory and steady shear viscosity: The Cox–Merz rule, superposition, and application to EHL friction. Tribol. Int. 2014, 79, 126–131. [Google Scholar] [CrossRef]
















| Sample (s) | Temperature (°C) | ||||
|---|---|---|---|---|---|
| 0 | 10 | 25 | 50 | 70 | |
| Uncertainty on Apparent Viscosity (%) | |||||
| EG | 0.627 | 0.621 | 2.443 | 5.089 | 5.116 | 
| NF1 | 1.513 | 0.909 | 0.084 | 1.862 | 2.625 | 
| NF2 | 0.934 | 0.193 | 0.185 | 1.782 | 1.438 | 
| NF3 | 0.232 | 0.250 | 0.133 | 2.028 | 1.888 | 
| Sample (s) | Temperature (°C) | DoF | ||
|---|---|---|---|---|
| 5 | ||||
| t-Stat | p-Value | Remarks | ||
| NF1 | 0 | 12.86 | 5.06 × 10−5 | Significant | 
| NF2 | 4.13 | 0.009008 | Significant | |
| NF3 | 5.62 | 0.002459 | Significant | |
| NF1 | 10 | 10.06 | 0.000166 | Significant | 
| NF2 | 16.77 | 1.38 × 10−5 | Significant | |
| NF3 | 10.75 | 0.00012 | Significant | |
| NF1 | 25 | 13.28 | 4.32 × 10−5 | Significant | 
| NF2 | 4.74 | 0.0051 | Significant | |
| NF3 | −2.16 | 0.0831 | Not significant | |
| NF1 | 50 | 3.87 | 0.0117 | Significant | 
| NF2 | 2.90 | 0.0336 | Significant | |
| NF3 | 2.38 | 0.0627 | Not significant | |
| NF1 | 70 | 3.68 | 0.0142 | Significant | 
| NF2 | 3.50 | 0.0171 | Significant | |
| NF3 | 2.43 | 0.0593 | Not significant | |
| Sample Description | Temperature | Model Fitting Parameters | ||||||
|---|---|---|---|---|---|---|---|---|
| H-B | Bingham | |||||||
| (°C) | τ0 (mPa) | K (mPa·sn) | n (−) | R2 | τ0 (mPa) | μ (mPa·s) | R2 | |
| EG | 0 | −1.2902 | 57.832 | 0.98963 | 0.99999 | 13.733 | 55.208 | 0.99998 | 
| NF1 | −1.7728 | 50.273 | 0.99623 | 1 | 3.0693 | 49.434 | 1 | |
| NF2 | −3.6035 | 52.799 | 0.9931 | 1 | 5.6223 | 51.193 | 0.99999 | |
| NF3 | 89.42 | 58.17 | 0.98835 | 1 | 135.33 | 53.86 | 0.99997 | |
| EG | 10 | 4.6871 | 31.746 | 1.0029 | 0.99999 | 0.3406 | 31.831 | 1 | 
| NF1 | 2.3201 | 29.223 | 1.001 | 1 | 1.579 | 29.351 | 1 | |
| NF2 | 0.14655 | 30.128 | 0.99557 | 1 | 3.5528 | 29.537 | 1 | |
| NF3 | 81.15 | 33.28 | 0.99264 | 1 | 98.14 | 31.7 | 0.99999 | |
| EG | 25 | 3.2682 | 16.499 | 1.0001 | 0.99999 | 4.8633 | 16.486 | 0.99999 | 
| NF1 | −0.29122 | 14.761 | 1.0003 | 1 | −0.40126 | 14.781 | 1 | |
| NF2 | −2.0878 | 16.148 | 0.99437 | 1 | 0.031177 | 15.755 | 1 | |
| NF3 | −1.3611 | 16.67 | 0.99697 | 1 | −0.04554 | 16.447 | 1 | |
| EG | 50 | 3.6218 | 7.082 | 1.0041 | 0.99998 | 4.5747 | 7.2856 | 0.99994 | 
| NF1 | 1.1426 | 6.333 | 0.99904 | 0.99999 | 1.2875 | 6.3063 | 0.99999 | |
| NF2 | 2.9969 | 6.246 | 1.0103 | 0.99998 | 1.2447 | 6.5379 | 0.99998 | |
| NF3 | −0.68001 | 6.9255 | 0.99116 | 0.99998 | 0.73365 | 6.6623 | 0.99998 | |
| EG | 70 | 0.80308 | 4.7863 | 0.99623 | 0.99993 | 1.3488 | 4.7187 | 0.99993 | 
| NF1 | 7.2659 | 4.23 | 0.97375 | 0.99989 | 9.759 | 3.7666 | 0.99981 | |
| NF2 | −0.7373 | 4.2266 | 0.98109 | 0.99993 | 1.0563 | 3.8898 | 0.99985 | |
| NF3 | −1.1814 | 4.2835 | 0.98369 | 0.99994 | 0.39501 | 3.9876 | 0.99989 | |
| Sample Name | Viscosity Enhancement/Reduction [%] | ||||
|---|---|---|---|---|---|
| 0 °C | 10 °C | 25 °C | 50 °C | 70 °C | |
| NF1 | −10.52 | −7.59 | −7.70 | −14.66 | −10.51 | 
| NF2 | −3.76 | −7.34 | −1.28 | −11.64 | −11.14 | 
| NF3 | 1.97 | 2.67 | 3.17 | −10.05 | −8.10 | 
| Sample (s) | Temperature (°C) | DoF | ||
|---|---|---|---|---|
| 9 | ||||
| t-Stat | p Value | Remarks | ||
| NF1 | 25 | −2.3 | 0.04 | Significant | 
| NF2 | −7.1 | 5.45 × 10−5 | Significant | |
| NF3 | −5.2 | 5.29 × 10−5 | Significant | |
| NF1 | 30 | −7.6 | 3.02 × 10−5 | Significant | 
| NF2 | −11.1 | 1.45 × 10−6 | Significant | |
| NF3 | −6.1 | 1.69 × 10−4 | Significant | |
| NF1 | 40 | −8.6 | 1.12 × 10−5 | Significant | 
| NF2 | −5.2 | 0.0005 | Significant | |
| NF3 | −2.1 | 0.06 | Not Significant | |
| NF1 | 50 | 3.3 | 0.0082 | Significant | 
| NF2 | −4.3 | 0.0018 | Significant | |
| NF3 | −3.9 | 3.27 × 10−3 | Significant | |
| Samples | Vol % | Temperature (°C) | |||
|---|---|---|---|---|---|
| 25 | 30 | 40 | 50 | ||
| Thermal Conductivity Enhancement [%] | |||||
| NF1 | 0.005 | 2.3396 | 4.3512 | 11.1458 | 4.4874 | 
| NF2 | 0.0075 | 4.8003 | 4.0348 | 7.4305 | 4.9903 | 
| NF3 | 0.01 | 3.6748 | 3.28322 | 3.5588 | 6.5764 | 
| Publisher’s Note: MDPI stays neutral with regard to jurisdictional claims in published maps and institutional affiliations. | 
© 2022 by the authors. Licensee MDPI, Basel, Switzerland. This article is an open access article distributed under the terms and conditions of the Creative Commons Attribution (CC BY) license (https://creativecommons.org/licenses/by/4.0/).
Share and Cite
Shah, S.N.A.; Shahabuddin, S.; Khalid, M.; Mohd Sabri, M.F.; Mohd Salleh, M.F.; Muhamad Sarih, N.; Rahman, S. Rheological and Thermal Conductivity Study of Two-Dimensional Molybdenum Disulfide-Based Ethylene Glycol Nanofluids for Heat Transfer Applications. Nanomaterials 2022, 12, 1021. https://doi.org/10.3390/nano12061021
Shah SNA, Shahabuddin S, Khalid M, Mohd Sabri MF, Mohd Salleh MF, Muhamad Sarih N, Rahman S. Rheological and Thermal Conductivity Study of Two-Dimensional Molybdenum Disulfide-Based Ethylene Glycol Nanofluids for Heat Transfer Applications. Nanomaterials. 2022; 12(6):1021. https://doi.org/10.3390/nano12061021
Chicago/Turabian StyleShah, Syed Nadeem Abbas, Syed Shahabuddin, Mohammad Khalid, Mohd Faizul Mohd Sabri, Mohd Faiz Mohd Salleh, Norazilawati Muhamad Sarih, and Saidur Rahman. 2022. "Rheological and Thermal Conductivity Study of Two-Dimensional Molybdenum Disulfide-Based Ethylene Glycol Nanofluids for Heat Transfer Applications" Nanomaterials 12, no. 6: 1021. https://doi.org/10.3390/nano12061021
APA StyleShah, S. N. A., Shahabuddin, S., Khalid, M., Mohd Sabri, M. F., Mohd Salleh, M. F., Muhamad Sarih, N., & Rahman, S. (2022). Rheological and Thermal Conductivity Study of Two-Dimensional Molybdenum Disulfide-Based Ethylene Glycol Nanofluids for Heat Transfer Applications. Nanomaterials, 12(6), 1021. https://doi.org/10.3390/nano12061021
 
         
                                                



 
                         
       