Aqueous Solution-Processed Nanometer-Thin Crystalline Indium Ytterbium Oxide Thin-Film Transistors
Abstract
:1. Introduction
2. Materials and Methods
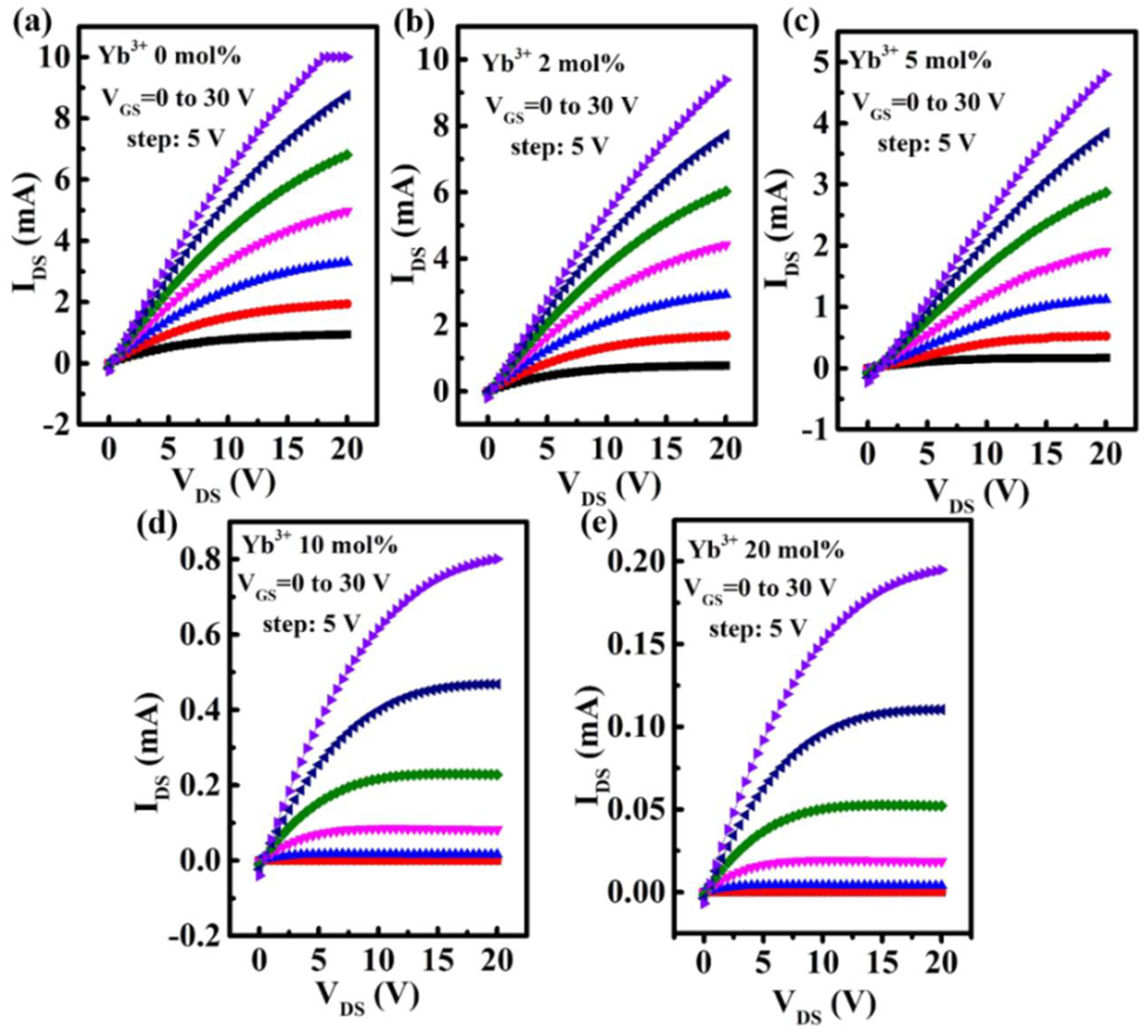
3. Results and Discussion
4. Conclusions
Supplementary Materials
Author Contributions
Funding
Conflicts of Interest
References
- Fortunato, E.; Barquinha, P.; Martins, R. Oxide Semiconductor Thin-Film Transistors: A Review of Recent Advances. Adv. Mater. 2012, 24, 2945–2986. [Google Scholar] [CrossRef] [PubMed]
- Kamiya, T.; Hosono, H. Material characteristics and applications of transparent amorphous oxide semiconductors. NPG Asia Mater. 2010, 2, 15–22. [Google Scholar] [CrossRef] [Green Version]
- Xu, W.; Li, H.; Xu, J.-B.; Wang, L. Recent Advances of Solution-Processed Metal Oxide Thin-Film Transistors. ACS Appl. Mater Interfaces 2018, 10, 25878–25901. [Google Scholar] [CrossRef] [PubMed]
- Zhang, X.; Wang, B.; Huang, W.; Chen, Y.; Wang, G.; Zeng, L.; Zhu, W.; Bedzyk, M.J.; Zhang, W.; Medvedeva, J.E.; et al. Synergistic Boron Doping of Semiconductor and Dielectric Layers for High-Performance Metal Oxide Transistors: Interplay of Experiment and Theory. J. Am. Chem. Soc. 2018, 140, 12501–12510. [Google Scholar] [CrossRef]
- Xu, W.; Wang, H.; Xie, F.; Chen, J.; Cao, H.; Xu, J.-B. Facile and Environmentally Friendly Solution-Processed Aluminum Oxide Dielectric for Low-Temperature, High-Performance Oxide Thin-Film Transistors. ACS Appl. Mater. Interfaces 2015, 7, 5803–5810. [Google Scholar] [CrossRef]
- Lee, J.; Moon, J.; Pi, J.-E.; Ahn, S.-D.; Oh, H.; Kang, S.-Y.; Kwon, K.-H. High mobility ultra-thin crystalline indium oxide thin film transistor using atomic layer deposition. Appl. Phys. Lett. 2018, 113, 112102. [Google Scholar] [CrossRef]
- Li, S.; Tian, M.; Gao, Q.; Wang, M.; Li, T.; Hu, Q.; Li, X.; Wu, Y. Nanometre-thin indium tin oxide for advanced high-performance electronics. Nat. Mater. 2019, 18, 1091–1097. [Google Scholar] [CrossRef]
- Chen, L.; Xu, W.; Liu, W.; Han, S.; Cao, P.; Fang, M.; Zhu, D.; Lu, Y. Polymer-Assisted Deposition of Gallium Oxide for Thin-Film Transistor Applications. ACS Appl. Mater. Interfaces 2019, 11, 29078–29085. [Google Scholar] [CrossRef]
- Hwan Hwang, Y.; Seo, J.-S.; Moon Yun, J.; Park, H.; Yang, S.; Ko Park, S.-H.; Bae, B.-S. An ’aqueous route’ for the fabrication of low-temperature-processable oxide flexible transparent thin-film transistors on plastic substrates. NPG Asia Mater. 2013, 5, e45. [Google Scholar] [CrossRef] [Green Version]
- Li, Y.; Xu, W.; Liu, W.; Han, S.; Cao, P.; Fang, M.; Zhu, D.; Lu, Y. High-Performance Thin-Film Transistors with Aqueous Solution-Processed NiInO Channel Layer. ACS Appl. Electron. Mater. 2019, 1, 1842–1851. [Google Scholar] [CrossRef]
- Chen, R.; Lan, L. Solution-processed metal-oxide thin-film transistors: A review of recent developments. Nanotechnology 2019, 30, 312001. [Google Scholar] [CrossRef] [PubMed]
- Hennek, J.W.; Smith, J.; Yan, A.; Kim, M.G.; Zhao, W.; Dravid, V.P.; Facchetti, A.; Marks, T.J. Oxygen ″getter″ effects on microstructure and carrier transport in low temperature combustion-processed a-InXZnO (X = Ga, Sc, Y, La) transistors. J. Am. Chem. Soc. 2013, 135, 10729–10741. [Google Scholar] [CrossRef] [PubMed]
- Parthiban, S.; Kwon, J.-Y. Role of dopants as a carrier suppressor and strong oxygen binder in amorphous indium-oxide-based field effect transistor. J. Mater. Res. 2014, 29, 1585–1596. [Google Scholar] [CrossRef] [Green Version]
- Liu, A.; Liu, G.; Zhu, H.; Shin, B.; Fortunato, E.; Martins, R.; Shan, F. Eco-Friendly, Solution-Processed in-W-O Thin Films and Their Applications in Low-Voltage, High-Performance Transistors. J. Mater. Chem. C 2016, 4, 4478–4484. [Google Scholar] [CrossRef]
- Lee, S.-H.; Kim, T.; Lee, J.; Avis, C.; Jang, J. Solution-Processed Gadolinium Doped Indium-Oxide Thin-Film Transistors with Oxide Passivation. Appl. Phys. Lett. 2017, 110, 122102. [Google Scholar] [CrossRef]
- Lin, Z.; Lan, L.; Sun, S.; Li, Y.; Song, W.; Gao, P.; Song, E.; Zhang, P.; Li, M.; Wang, L.; et al. Solution-processed high-mobility neodymium-substituted indium oxide thin-film transistors formed by facile patterning based on aqueous precursors. Appl. Phys. Lett. 2017, 110, 133502. [Google Scholar] [CrossRef]
- Zhao, C.-Y.; Li, J.; Zhong, D.-Y.; Huang, C.-X.; Zhang, J.-H.; Li, X.-F.; Jiang, X.-Y.; Zhang, Z.-L. Effect of La Addition on the Electrical Characteristics and Stability of Solution-Processed LaInO Thin-Film Transistors With High-k ZrO2 Gate Insulator. IEEE Trans. Electron. Devices 2018, 65, 526–532. [Google Scholar] [CrossRef]
- Song, W.; Lan, L.; Li, M.; Wang, L.; Lin, Z.; Sun, S.; Li, Y.; Song, E.; Gao, P.; Li, Y.; et al. High-performance thin-film transistors with solution-processed ScInO channel layer based on environmental friendly precursor. J. Phys. D Appl. Phys. 2017, 50, 385108. [Google Scholar] [CrossRef]
- Ting, C.C.; Fan, H.Y.; Tsai, M.K.; Li, W.Y.; Yong, H.E.; Lin, Y.F. Improvement of electrical characteristics in the solution-processed nanocrystalline indium oxide thin-film transistors depending on yttrium doping concentration. Phys. Status Solidi A 2014, 211, 800. [Google Scholar] [CrossRef]
- Li, Y.; Zhu, D.; Xu, W.; Han, S.; Fang, M.; Liu, W.; Cao, P.; Lu, Y. High-mobility nanometer-thick crystalline In–Sm–O thin-film transistors via aqueous solution processing. J. Mater. Chem. C 2020, 8, 310–318. [Google Scholar] [CrossRef]
- Hong, L.; Xu, W.; Liu, W.; Han, S.; Cao, P.; Fang, M.; Zhu, D.; Lu, Y. High performance indium dysprosium oxide thin-film transistors grown from aqueous solution. Appl. Surf. Sci. 2020, 504, 144499. [Google Scholar] [CrossRef]
- Smith, J.; Zeng, L.; Khanal, R.; Stallings, K.; Facchetti, A.; Medvedeva, J.E.; Bedzyk, M.J.; Marks, T.J. Cation Size Effects on the Electronic and Structural Properties of Solution-Processed In-X-O Thin Films. Adv. Electron. Mater. 2015, 1, 1500146. [Google Scholar] [CrossRef]
- Choi, Y.; Kim, G.H.; Jeong, W.H.; Bae, J.H.; Kim, H.J.; Hong, J.-M.; Yu, J.-W. Carrier-suppressing effect of scandium in InZnO systems for solution-processed thin film transistors. Appl. Phys. Lett. 2010, 97, 162102. [Google Scholar] [CrossRef]
- Luo, Y.-R.; Luo, Y.-R. Comprehensive Handbook of Chemical Bond Energies; CRC Press: Boca Raton, FL, USA, 2007; 1655p. [Google Scholar]
- Pan, T.-M.; Huang, W.-S. Effects of Oxygen Content on the Structural and Electrical Properties of Thin Yb[sub 2]O[sub 3] Gate Dielectrics. J. Electrochem. Soc. 2009, 156, G6. [Google Scholar] [CrossRef]
- Jun, L.; Chen, Q.; Fu, W.; Yang, Y.; Zhu, W.; Zhang, J. Electrospun Yb-Doped In2O3 Nanofiber Field-Effect Transistors for Highly Sensitive Ethanol Sensors. ACS Appl. Mater. Interfaces 2020, 12, 38425–38434. [Google Scholar] [CrossRef] [PubMed]
- Jia, J.; Suko, A.; Shigesato, Y.; Okajima, T.; Inoue, K.; Hosomi, H. Evolution of Defect Structures and Deep Subgap States during Annealing of Amorphous In-Ga-Zn Oxide for Thin-Film Transistors. Phys. Rev. Appl. 2018, 9, 014018. [Google Scholar] [CrossRef]
- Jeong, H.-J.; Ok, K.-C.; Park, J.; Lim, J.; Cho, J.; Park, J.-S. Stability Improvement of In-Sn-Ga-O Thin-Film Transistors at Low Annealing Temperatures. IEEE Electron. Device Lett. 2015, 36, 1160–1162. [Google Scholar] [CrossRef]
- Cochran, E.A.; Woods, K.N.; Johnson, D.W.; Page, C.J.; Boettcher, S.W. Unique chemistries of metal-nitrate precursors to form metal-oxide thin films from solution: Materials for electronic and energy applications. J. Mater. Chem. A 2019, 7, 24124–24149. [Google Scholar] [CrossRef]










| Yb Ratios (%) | RMS (nm) | Lattice Constant (Å) | Eg (eV) |
|---|---|---|---|
| 0 | 0.225 | 10.102 | 3.71 |
| 2 | 0.239 | 10.120 | 4.04 |
| 5 | 0.248 | 10.124 | 4.14 |
| 10 | 0.260 | 10.127 | 4.43 |
| 20 | 0.334 | 10.159 | 4.78 |
| Yb Ratio (%) | Ion/Ioff | S (V/dec) | Vth (V) | |
|---|---|---|---|---|
| 0 | 21.99 5.37 | 7.24 103 | 4.87 1.58 | −15.47 5.56 |
| 2 | 19.63 5.08 | 9.87 104 | 3.68 1.32 | −6.62 3.76 |
| 5 | 10.92 3.26 | 1.01 106 | 1.90 0.81 | 0.82 2.84 |
| 10 | 8.00 1.17 | 6.19 × 107 | 0.95 0.08 | 5.61 1.82 |
| 20 | 1.10 0.35 | 1.66 × 105 | 2.13 0.30 | 5.82 1.55 |
Publisher’s Note: MDPI stays neutral with regard to jurisdictional claims in published maps and institutional affiliations. |
© 2022 by the authors. Licensee MDPI, Basel, Switzerland. This article is an open access article distributed under the terms and conditions of the Creative Commons Attribution (CC BY) license (https://creativecommons.org/licenses/by/4.0/).
Share and Cite
Xu, W.; Xu, C.; Hong, L.; Xu, F.; Zhao, C.; Zhang, Y.; Fang, M.; Han, S.; Cao, P.; Lu, Y.; et al. Aqueous Solution-Processed Nanometer-Thin Crystalline Indium Ytterbium Oxide Thin-Film Transistors. Nanomaterials 2022, 12, 1216. https://doi.org/10.3390/nano12071216
Xu W, Xu C, Hong L, Xu F, Zhao C, Zhang Y, Fang M, Han S, Cao P, Lu Y, et al. Aqueous Solution-Processed Nanometer-Thin Crystalline Indium Ytterbium Oxide Thin-Film Transistors. Nanomaterials. 2022; 12(7):1216. https://doi.org/10.3390/nano12071216
Chicago/Turabian StyleXu, Wangying, Chuyu Xu, Liping Hong, Fang Xu, Chun Zhao, Yu Zhang, Ming Fang, Shun Han, Peijiang Cao, Youming Lu, and et al. 2022. "Aqueous Solution-Processed Nanometer-Thin Crystalline Indium Ytterbium Oxide Thin-Film Transistors" Nanomaterials 12, no. 7: 1216. https://doi.org/10.3390/nano12071216
APA StyleXu, W., Xu, C., Hong, L., Xu, F., Zhao, C., Zhang, Y., Fang, M., Han, S., Cao, P., Lu, Y., Liu, W., & Zhu, D. (2022). Aqueous Solution-Processed Nanometer-Thin Crystalline Indium Ytterbium Oxide Thin-Film Transistors. Nanomaterials, 12(7), 1216. https://doi.org/10.3390/nano12071216

