Next Article in Journal
Atomistic Simulation of Physical Vapor Deposition of Optical Thin Films
Next Article in Special Issue
A Comparative Study of Electronic, Optical, and Thermoelectric Properties of Zn-Doped Bulk and Monolayer SnSe Using Ab Initio Calculations
Previous Article in Journal
Recent Advances in Light-Conversion Phosphors for Plant Growth and Strategies for the Modulation of Photoluminescence Properties
Previous Article in Special Issue
Ferromagnetism in Defected TMD (MoX2, X = S, Se) Monolayer and Its Sustainability under O2, O3, and H2O Gas Exposure: DFT Study
 
 
Font Type:
Arial Georgia Verdana
Font Size:
Aa Aa Aa
Line Spacing:
Column Width:
Background:
Article

A Voltage-Tuned Terahertz Absorber Based on MoS2/Graphene Nanoribbon Structure

1
College of Engineering, United Arab University, Al Ain P.O. Box 15551, United Arab Emirates
2
International Iberian Nanotechnology Laboratory, INL, Av. Mestre José Veiga s/n, 4715-330 Braga, Portugal
3
Research Institute of Electrical Communication, Tohoku University, 2-1-1 Katahira, Aoba-ku, Sendai 980-8577, Japan
*
Author to whom correspondence should be addressed.
Nanomaterials 2023, 13(11), 1716; https://doi.org/10.3390/nano13111716
Submission received: 18 April 2023 / Revised: 7 May 2023 / Accepted: 19 May 2023 / Published: 24 May 2023
(This article belongs to the Special Issue Advances in Nanomaterials for Optoelectronics)

Abstract

Terahertz frequency has promising applications in communication, security scanning, medical imaging, and industry. THz absorbers are one of the required components for future THz applications. However, nowadays, obtaining a high absorption, simple structure, and ultrathin absorber is a challenge. In this work, we present a thin THz absorber that can be easily tuned through the whole THz range (0.1–10 THz) by applying a low gate voltage (<1 V). The structure is based on cheap and abundant materials (MoS2/graphene). Nanoribbons of MoS2/graphene heterostructure are laid over a SiO2 substrate with an applied vertical gate voltage. The computational model shows that we can achieve an absorptance of approximately 50% of the incident light. The absorptance frequency can be tuned through varying the structure and the substrate dimensions, where the nanoribbon width can be varied approximately from 90 nm to 300 nm, while still covering the whole THz range. The structure performance is not affected by high temperatures (500 K and above), so it is thermally stable. The proposed structure represents a low-voltage, easily tunable, low-cost, and small-size THz absorber that can be used in imaging and detection. It is an alternative to expensive THz metamaterial-based absorbers.

1. Introduction

THz frequency is the range of frequencies lying between 300 GHz and 10 THz that are characterized by their low energy and high penetration. The characteristics of these frequencies have enabled them to be preferable in medical applications, imaging, security scanning, the food industry, and communication [1,2,3]. THz frequencies are promising in biomedical detection (cancer diagnosis), imaging, and sensing, since they represent a label-free, nondestructive detecting technique [4]. From an economic perspective, the global market investment in THz applications is rapidly increasing and is expected to hit USD 2.87 billion by 2030 at a growth rate of about 23.8% [5]. Research is directed towards developing THz emitters, receivers, and detectors with good performance and quality. Studies are concerned with using cheap and abundant materials such as graphene, instead of III-V semiconductors that require expensive and complicated fabrication techniques [6,7].
Graphene, the 2D allotrope of carbon, has a monolayer thickness of approximately 0.34 nm. It is a zero-band-gap semiconductor that has high electron mobility (~200,000 cm2/Vs) and high optical transparency (97.4%) [8,9]. Graphene has plasma oscillations in the THz frequency range that can be modulated through applying an electric field [10,11]. It has absorption in the THz region [10] and it is a broadband transmitter at higher frequencies [12,13,14]. When graphene is excited with perpendicular electromagnetic waves, the surface plasmons interact with the incident waves producing surface plasmon polaritons (SPPs). This leads to a transverse TM (TE) electromagnetic mode that does not exist in conventional 2D systems with parabolic electron dispersion. Despite these favourable electronic and optical characteristics, the zero bandgap of graphene hinders its applications. Possible ways to increase the bandgap of graphene are stripping it into nanoribbons or developing heterostructures. MoS2/graphene heterostructure has desirable electronic properties and a high on/off ratio (~108) that open the way for different electronic applications [15,16].
MoS2 is a transition metal dichalcogenide (TMD) with a bulk indirect bandgap of 1.2 eV and a monolayer direct bandgap of 1.89 eV. This specific bandgap endows MoS2 with unique photoluminescence characteristics where it can be used as a biomarker for cancer and DNA detection [17,18,19,20,21]. Since MoS2’s bandgap is larger than the energy of the THz spectrum, no photocarriers are generated when it is excited with THz frequencies [22]; however, it can have very small absorption peaks due to intraband transitions [23]. A MoS2/graphene heterostructure has more desirable properties than the monostructures of graphene or MoS2. The heterostructure has a larger bandgap than graphene and an enhanced carrier mobility compared to MoS2 [15,24]. The high transparency of MoS2 in the THz region and the Fermi level tunability of graphene enable MoS2/graphene heterostructures to have promising electronic and optoelectronic applications [25,26,27]. The absorption behaviour of the heterostructure resembles that of graphene in the THz range. The vertical bias has nearly no influence on MoS2’s optical properties at low energy frequencies [28,29], but it enhances the charge transfer between MoS2 and graphene.
Due to the favourable characteristics of graphene and MoS2, a lot of work has been carried out to investigate the behaviour of this heterostructure. The MoS2/graphene heterostructure has better absorptance than graphene [30]. Applying an electric field to graphene only or the MoS2/graphene heterostructure affects its bandgap and its optical properties [27,31]. Vertical electromagnetic waves excite the surface plasmons in graphene nanoribbons which are in the THz range, as described by [11]. Local surface plasmons are also excited in MoS2 under electromagnetic excitation. These surface plasmons play an important role in wave absorption. Moreover, the charge transfer through the heterojunction MoS2/graphene enhances the generation recombination process, resulting in better absorption. MoS2/graphene heterostructures are favourable in field effect transistors (FETs) in electronics. In [32], a FET sensor based on the MoS2/graphene heterostructure was proposed where the charge transfer through the heterojunction results in better chemical sensing and the FET has better stability in dry air. It also has higher sensitivity and better signal-to-noise ratio (SNR). A new transistor based on MoS2/graphene in [33] showed a steep SS of 37.9 mV/dec at ambient temperature, which can be enhanced by modifying the transistor structure to a gate all around (GAA) FET. The FET has a current on/off ratio of 10 8 , which opens the way for low-power and high-performance electronics applications that can substitute silicon-based FETs. Graphene can reduce the contact resistivity in MoS2 FETs. A graphene/MoS2 heterojunction FET with a 30 nm channel length has no short channel effects and a has drain-induced barrier lowering of 0.92 V/V. When graphene electrodes were doped with nitrogen, an increase in the device current by 214% was detected and the field effect mobility was four times that of undoped graphene electrodes [34]. The absorption of graphene and MoS2 was previously studied, where low THz absorption peaks were detected in graphene–MoS2 microribbon grating [30]. The absorption frequency depends on the microribbon width and the grating spacing. The absorption of MoS2 with other materials such as black phosphorous was investigated in [23], where a MoS2/BP structure had six absorption bands in the THz region.
None of the previous studies discussed the absorptance of the heterostructure in the THz region under the effect of direct voltage application. Tunable THz absorbers can also be developed using metamaterials [35]; however, here, we are concerned with using low-cost and abundant materials. In this work, we investigate the absorption of infinite MoS2/graphene nanoribbons under vertical gate bias. The heterostructure has enhanced absorptance in the whole THz region. The frequency of absorptance is easily tuned by varying the applied voltage. It is a cheap alternative for metamaterial THz absorbers. It can be utilized in many applications such as the sensing and detection of THz radiations [36].

2. Materials and Methods

The proposed nanoribbon structure is based on the schematic in Figure 1. Infinite nanoribbons of monolayer graphene with 0.345 nm thickness were laid over a SiO2 substrate with 5 nm thickness. A monolayer of MoS2 with 0.65 nm thickness stripped into nanoribbons was laid over the graphene nanoribbons to have an infinite array of MoS2/graphene nanoribbons in the horizontal direction. The nanoribbon width, w n , was 90 nm and the spacing, d, between the nanoribbons was 10 nm. A vertical electromagnetic field was applied in the vertical direction to excite the SPPs [30]. The incident wave had an electric field in the x-direction and a gate voltage, Vg, was applied to the MoS2 nanoribbons through Au metal contacts which have good compatibility with graphene and MoS2 [37,38]. The metal contacts only served as a means of voltage application. They did not have any effect on the characteristics of the design. Since they were very thin (less than 1 nm), they transmitted all the incident light and did not reflect any. A thin layer of h-BN was then laid over the structure. The calculations were based on the finite element method (FEM) used by COMSOL Multiphysics software. The structure was built and simulated using 2D simulation with applying periodic conditions on the vertical sides to solve for an infinite periodic array structure. The wave optics module, electromagnetic wave frequency domain (EWFD), was used.
The unique band structure of graphene leads to the excitation of specific surface plasmons when they are subjected to electromagnetic waves, as compared to conventional 2D electron systems [39,40]. To ensure the formation of the SPPs and the propagation of TM (TE) modes along graphene nanoribbons, the imaginary part of optical conductivity must exist, whether positive for TM or negative for TE. The best way to solve for the conductivity of graphene is using the Kubo formalism, which accounts for both interband and intraband transitions. The optical conductivity of graphene is represented by Equations (1)–(3) [41,42].
σ intra ( ω ) = i q 2 π 2 ( ω + i τ 1 ) × ( μ c + 2 K B T × ln ( e μ c K B T + 1   ) )
σ inter ( ω ) = i q 2 4 π ln 2 | μ c | ( ω + i τ 1 ) 2 | μ c | + ( ω + i τ 1 )
σ total ( ω ) = σ intra ( ω ) + σ inter ( ω )
where q is the electronic charge,   is the reduced Planck’s constant ( h / 2 π ), ω is the angular frequency,   K B is the Boltzmann constant, T is the temperature, μ c is the chemical potential, and τ is the momentum relaxation time, defined as
μ c = v f π n g  
τ = μ c m u q   v f 2
and v f is the Fermi velocity, taken as 10 6 m/s; m u is the impurity-limited direct current mobility, taken as 1   m 2 / V ; and n g is the carrier concentration of graphene and is defined by
n g = V g ϵ o ϵ r q   d sub
where ϵ o ϵ r is the vacuum and relative substrate permittivities, respectively, and d sub is the substrate thickness. In our case, we can adopt a capacitor model for the charge concentration of graphene by
n g = V g ϵ o q   ( d MoS 2 ϵ MoS 2 + d Gr ϵ Gr )
where d MoS 2 ,   d Gr are the MoS2 and graphene thickness, taken as 0.65 nm and 0.34 nm, respectively; ϵ MoS 2 ,   ϵ Gr are the static relative permittivities of MoS2 and graphene, taken as 3.7 and 5.6, respectively. Since monolayer MoS2 has a large bandgap with respect to THz waves, its optical conductivity is represented by the Drude model in Equation (8), where only intraband transitions dominate.
σ MoS 2 = iq 2 n MoS 2 m MoS 2 * ( ω + i τ 1 )
where n MoS 2 = 1.2 × 10 12   cm 2 is the carrier concentration of undoped monolayer MoS2 and m MoS 2 * = 0.53 m e is the effective mass, τ = 0.17 × 10 12 s is the carrier relaxation time [43,44]. The complex permittivity of MoS2 ( ϵ MoS 2 ) is then calculated from Equation (9)
ϵ MoS 2 = ϵ MoS 2 + i σ MoS 2 ϵ 0 ω d MoS 2 = ϵ r + i ϵ i
where ϵ r and ϵ i are the real and imaginary parts of MoS2 permittivity, the real part of the refractive index is n = ϵ r 2 + 1 2 ϵ r 2 + ϵ i 2 , and the extinction coefficient is κ = ϵ i 2 n . In the case of Drude model representation, we only have a positive imaginary conductivity term that accounts for a TM mode. The complex permittivities of Au and SiO2 in the THz region were calculated from [45,46], respectively. Since there is little variation in the real and imaginary parts of the refractive index of SiO2 and Au in the THz range, we used average constant values of 2.15 for SiO2 and 160 + i600 for Au.
MoS2 has high transmission in the THz region, and it has a plasmon frequency outside the THz region at approximately 16.77 THz [47]. The transmission of a monolayer MoS2 nanoribbon over SiO2 is plotted in Figure 2a which agrees with the values in [47] for monolayer MoS2. Equations (3) and (8) were used to plot the absorption and transmittance of graphene-only nanoribbons and MoS2-only nanoribbons over the SiO2 substrate, as illustrated in Figure 2. The absorption peaks of graphene and MoS2 in Figure 2b,d can be interpreted due to the excitation of surface plasmons with the same propagation mode as the incident wave. In the case of MoS2, local surface plasmons are excited and a very small absorption peak exists at a low THz frequency, which is due to the low carrier concentration of MoS2. In graphene, the strong excitation of surface plasmons occurs, resulting in higher peaks attributed to its higher carrier concentration. The absorption peak is tuned with voltage due to graphene’s optical conductivity tunability through varying its chemical potential.

3. Results and Discussion

3.1. The Effect of Vertical Bias

Graphene absorption can be tuned using vertical bias, but MoS2 is slightly affected. The gate bias had no effect on MoS2 bilayer absorption, and in the monolayer, an increase in absorption was reported at 1.85 eV which was far from the THz region (gate bias applied from 50 to 50 V) [48]. That is why applying a gate voltage on MoS2 in the THz range does not affect its performance. Monolayer MoS2 can have absorption peaks at the THz region when doped as n-type or p-type (high carrier concentration) and applying a spin–orbit coupling effect [49]; however, we here are concerned with intrinsic MoS2 and the simple application of a gate voltage. The refractive index of MoS2 was found to be independent on the vertical gate bias, which is attributed to its large bandgap compared to the THz range and its low carrier concentration [28].
In the case of the MoS2/graphene heterostructure, the bandgap increased, forming mini bandgaps [24,50] with a possible charge transfer between MoS2 and graphene. When applying a positive vertical gate bias on MoS2, holes were encouraged to migrate from the MoS2 to the graphene, which means a wider bandgap for the MoS2/graphene heterostructure and a higher absorptance frequency (the absorptance frequency was shifted to the right) as in Figure 3. The absorption of the graphene-only nanoribbons is compared to that of the heterostructure at different gate voltages in Figure 3. The graphene nanoribbons (marked lines) showed low absorption peaks that slightly moved to the right when increasing the applied voltage. For the MoS2/graphene nanoribbons, there was a remarkable increase in the absorption peak that can be finely tuned through the whole THz region by applying voltage. The absorption peak at Vg = 0 is nearly the same for graphene-only and the MoS2/graphene heterostructure but it obviously increased with higher gate voltages, indicating that the charge transfer between MoS2 and graphene can be neglected at zero bias, as suggested by [50]. The enhancement in absorption can also be attributed to the surface plasmon excitation in graphene and MoS2. Graphene can have TE and TM modes, while MoS2 has only TM modes. The unity between the TM surface plasmon modes of both graphene and MoS2 (the imaginary terms of conductivity of graphene and MoS2 are positive) results in frequency resonance. When this resonance frequency matches the frequency of the incident light, an increase in absorption frequency is detected.
Figure 4 shows the electric field distribution across the thickness of the nanoribbon heterostructure at the absorption frequency. The electric field is mostly concentrated at the edges of the nanoribbons and its magnitude increases when increasing the applied voltages. Graphene nanoribbon edges have higher electric field magnitudes than MoS2 due to its higher carrier concentration, which increases when increasing the applied voltage. It is to be noted that the electric field will be high at the corners regardless of the graphene orientation because the conductivity tensor for graphene is the same for both zigzag and armchair [42], and also, the edge effect will not be obvious for large finite size sheets (more than 125 nm width) [40,51].

3.2. The Effect of the Nanoribbon Width and Substrate Thickness

When sectioning graphene into nanoribbons, its bandgap opens up, and when decreasing the nanoribbon width, we obtain larger bandgaps [52]. Here, we varied the nanoribbon width, w n , from 90 nm to 300 nm while keeping the same spacing, d   , between the nanoribbons (10 nm). A shift in the absorption frequency towards low energy frequencies (low THz frequencies) occurred when increasing the nanoribbon width. Decreasing the widths to less than 90 nm blue-shifted the absorptance spectrum, outside the THz region in Figure 5c. Decreasing the nanoribbon width increased the bandgap; thus, we can have electron transitions at higher energies (frequencies). Increasing the substrate thickness of SiO2 ( d sub ) shifted the absorption frequency to higher frequencies and caused a little increase in absorption for different gate voltages, as shown in Figure 6. The blue shift in the absorption frequency with the substrate thickness is best described by the argument in [53], where a larger d sub indicates a low capacitance value and low carrier concentration n g (Equation (6)), and since the resonance frequency or the absorption peak frequency follows the rule, ω 1 L C , where L and C are the equivalent inductance and capacitance of the structure, respectively; the resonance (absorption) frequency increases or shifts towards higher frequencies when the capacitance decreases. In order to have a good voltage tunable absorber for small nanoribbon widths (90 nm) in the THz region, we have to use a small substrate thickness in the range of 5 nm. This can be attributed to the fact that the carrier concentration of graphene is related to the substrate thickness according to Equation (6). We need a small d sub (high equivalent capacitance) to have enough carrier concentration at the THz frequency.

3.3. The Effect of Temperature

Temperature can greatly affect the carrier concentrations in graphene nanoribbons; however, this effect will not be obvious for nanoribbon widths greater than 100 nm [26]. When increasing the temperature, the increase in carrier concentration was very low, especially in the presence of an applied voltage. At the same time, the transmittance of the MoS2 sheets slightly decreased with the increase in temperature [54]; that is why we could not see a great effect of temperature on the structure absorptance, especially at higher voltages. The experimental work in [55] showed that both the refractive index, n, and the extinction coefficient, κ , curves of MoS2 are not affected when varying the temperature from 4.5 K to 500 K as we go towards the THz region. The proposed nanoribbon structure is stable against temperature variations. Figure 7 shows a slight variation in absorptance above 300 K that vanishes at higher gate voltages, as in Figure 8.

4. Discussion

We have presented an ultrathin simple design for a monochromatic, narrow-bandwidth THz absorber with a thickness of approximately 7 nm. The absorptance frequency can be adjusted through the device dimensions (the nanoribbon width) or the applied voltage. When applying 0.4 V, we could achieve ~50% absorptivity at an absorptance frequency of 7.83 THz, a bandwidth of 0.8 THz, and a fractional bandwidth of 0.8 7.83 = 10.2 % , which is a narrow bandwidth (Figure 8b). We could maintain the same absorptivity and bandwidth by varying the nanoribbon width (Figure 5c). On the other side, absorptance frequency tunability was achieved through the applied vertical voltage, but in this case, the absorptance decreased at lower voltages. It is to be noted that there are other absorbers that have achieved high absorptance from 70% to 99%, but they are intended for other applications, such as the multiband absorber in [56] where the maximum absorption was only achieved in a very small range of 0.1–2.0 THz; moreover, the structure is a complex metamaterial structure. The broadband absorbers in [57,58] had a broadband absorption from 2 to 6 THz and from 1 to 3 THz, respectively. However, varying the Fermi level of graphene affects the absorptivity and can decrease it below 40%. Still, these structures have a complicated design, and their dimensions are in the range of μ m   . Their high absorptance is limited to a certain band in the THz region. We summarize some of the previous work of THz absorbers in Table 1. In summary, the proposed work is a low-cost, easily fabricated, tunable narrowband absorber. Based on the graphene nanoribbon widths used, the structure is polarization-insensitive [42]. Future work could include modifying the structure for increased absorptivity while maintaining the simplicity of the structure.

5. Conclusions

Graphene nanoribbons have low absorption peaks in the THz range, where the absorption peaks can be slightly tuned through applying a gate voltage. MoS2 has high transmittance in the THz range and very low absorption governed by intraband transitions. Graphene-only or MoS2-only nanoribbons cannot achieve good absorptance and tunability in the THz range. Since a MoS2/graphene heterostructure has a wider bandgap than that of graphene and more carrier concentration than MoS2, it can afford better absorption. In this work, we studied the absorption of a large array of infinite MoS2/graphene nanoribbons on a SiO2 substrate in the THz range. The structure showed better absorption than that of graphene-only nanoribbons. The absorption frequency can be easily tuned through the whole THz range by varying the vertical gate voltage based on the optical conductivity tunability of graphene with its chemical potential. The absorption frequency is affected by the nanoribbon width and substrate thickness. The temperature has little effect on shifting the absorption frequency, so the structure performance is stable at different temperatures. The proposed structure represents a cheap, easily fabricated, and tunable THz frequency absorber that can be used in many applications such as sensing, cancer diagnosis [62], and communication.

Author Contributions

Conceptualization, T.O. and A.E.M.; Formal analysis, O.S. and M.B.; Funding acquisition, T.O. and A.E.M.; Investigation, O.S.; Methodology, M.B., T.O. and A.E.M.; Project administration, A.E.M.; Resources, A.E.M.; Software, O.S.; Supervision, A.E.M.; Validation, M.B., T.O. and A.E.M.; Writing—original draft, O.S.; Writing—review and editing, A.E.M. All authors have read and agreed to the published version of the manuscript.

Funding

This research was partly funded by the United Arab Emirates University project, grant number 31N393. Part of this work was carried out under the Cooperative Research Project Program No. R04/A05 of the Research Institute of Electrical Communication, Tohoku University.

Institutional Review Board Statement

Not applicable.

Informed Consent Statement

Not applicable.

Data Availability Statement

Not applicable.

Conflicts of Interest

The authors declare no conflict of interest.

References

  1. Pawar, A.Y.; Sonawane, D.D.; Erande, K.B.; Derle, D.V. Terahertz technology and its applications. Drug Invent. Today 2013, 5, 157–163. [Google Scholar] [CrossRef]
  2. Kleine-Ostmann, T.; Nagatsuma, T. A Review on Terahertz Communications Research. J. Infrared Millim. Terahz. Waves 2011, 32, 143–171. [Google Scholar] [CrossRef]
  3. Son, J.-H.; Oh, S.J.; Cheon, H. Potential clinical applications of terahertz radiation. J. Appl. Phys. 2019, 125, 190901. [Google Scholar] [CrossRef]
  4. Markelz, A.G.; Mittleman, D.M. Perspective on Terahertz Applications in Bioscience and Biotechnology. ACS Photonics 2022, 9, 1117–1126. [Google Scholar] [CrossRef]
  5. Terahertz Market Size|Industry Report by 2028. Available online: https://www.adroitmarketresearch.com/industry-reports/terahertz-market?utm_source=AD (accessed on 3 November 2022).
  6. Ryzhii, V.; Ryzhii, M.; Mitin, V.; Otsuji, T. Toward the creation of terahertz graphene injection laser. J. Appl. Phys. 2011, 110, 094503. [Google Scholar] [CrossRef]
  7. Kostakis, I.; Saeedkia, D.; Missous, M. Efficient terahertz devices based on III–V semiconductor photoconductors. IET Optoelectron. 2014, 8, 33–39. [Google Scholar] [CrossRef]
  8. Urade, A.R.; Lahiri, I.; Suresh, K.S. Graphene Properties, Synthesis and Applications: A Review. JOM 2022, 75, 614–630. [Google Scholar] [CrossRef]
  9. Moutaouakil, A.E.; Kang, H.-C.; Handa, H.; Fukidome, H.; Suemitsu, T.; Sano, E.; Suemitsu, M.; Otsuji, T. Room Temperature Logic Inverter on Epitaxial Graphene-on-Silicon Device. Jpn. J. Appl. Phys. 2011, 50, 070113. [Google Scholar] [CrossRef]
  10. Bonaccorso, F.; Sun, Z.; Hasan, T.; Ferrari, A.C. Graphene photonics and optoelectronics. Nat. Photon 2010, 4, 611–622. [Google Scholar] [CrossRef]
  11. Popov, V.V.; Bagaeva, T.Y.; Otsuji, T.; Ryzhii, V. Oblique terahertz plasmons in graphene nanoribbon arrays. Phys. Rev. B 2010, 81, 073404. [Google Scholar] [CrossRef]
  12. Zhuang, S.; Li, X.; Yang, T.; Sun, L.; Kosareva, O.; Gong, C.; Liu, W. Graphene-Based Absorption–Transmission Multi-Functional Tunable THz Metamaterials. Micromachines 2022, 13, 1239. [Google Scholar] [CrossRef]
  13. Moutaouakil, A.E.; Fukidome, H.; Otsuji, T. Investigation of Terahertz properties in Graphene ribbons. In Proceedings of the 2020 45th International Conference on Infrared, Millimeter, and Terahertz Waves (IRMMW-THz), Buffalo, NY, USA, 8–13 November 2020; pp. 1–2. [Google Scholar]
  14. Moutaouakil, A.E. Two-Dimensional Electronic Materials for Terahertz Applications: Linking the Physical Properties with Engineering Expertise. In Proceedings of the 2018 6th International Renewable and Sustainable Energy Conference (IRSEC), Rabat, Morocco, 5–8 December 2018; pp. 1–4. [Google Scholar]
  15. Kim, T.; Fan, S.; Lee, S.; Joo, M.-K.; Lee, Y.H. High-mobility junction field-effect transistor via graphene/MoS2 heterointerface. Sci. Rep. 2020, 10, 13101. [Google Scholar] [CrossRef] [PubMed]
  16. Hijazi, A.; Moutaouakil, A.E. Graphene and MoS2 Structures for THz Applications. In Proceedings of the 2019 44th International Conference on Infrared, Millimeter, and Terahertz Waves (IRMMW-THz), Paris, France, 1–6 September 2019; pp. 1–2. [Google Scholar]
  17. Catalán-Gómez, S.; Briones, M.; Cortijo-Campos, S.; García-Mendiola, T.; de Andrés, A.; Garg, S.; Kung, P.; Lorenzo, E.; Pau, J.L.; Redondo-Cubero, A. Breast cancer biomarker detection through the photoluminescence of epitaxial monolayer MoS2 flakes. Sci. Rep. 2020, 10, 16039. [Google Scholar] [CrossRef]
  18. Huang, Y.; Shi, Y.; Yang, H.Y.; Ai, Y. A novel single-layered MoS 2 nanosheet based microfluidic biosensor for ultrasensitive detection of DNA. Nanoscale 2015, 7, 2245–2249. [Google Scholar] [CrossRef] [PubMed]
  19. Samy, O.; Birowosuto, D.; El Moutaouakil, A. A short review on Molybdenum disulfide (MoS2) applications and challenges. In Proceedings of the 2021 6th International Conference on Renewable Energy: Generation and Applications (ICREGA), Al Ain, United Arab Emirates, 2–4 February 2021; pp. 220–222. [Google Scholar]
  20. Samy, O.; El Moutaouakil, A. A Review on MoS2 Energy Applications: Recent Developments and Challenges. Energies 2021, 14, 4586. [Google Scholar] [CrossRef]
  21. Samy, O.; Zeng, S.; Birowosuto, M.D.; El Moutaouakil, A. A Review on MoS2 Properties, Synthesis, Sensing Applications and Challenges. Crystals 2021, 11, 355. [Google Scholar] [CrossRef]
  22. Kumar, S.; Singh, A.; Nivedan, A.; Kumar, S.; Yun, S.J.; Lee, Y.H.; Tondusson, M.; Degert, J.; Oberle, J.; Freysz, E. Sub-bandgap activated charges transfer in a graphene-MoS2-graphene heterostructure. Nano Sel. 2021, 2, 2019–2028. [Google Scholar] [CrossRef]
  23. Zheng, S.; Huang, Q. Design of a tunable monolayer MoS2/BP based terahertz absorber with six absorption bands. Opt. Mater. 2022, 123, 111958. [Google Scholar] [CrossRef]
  24. Qiu, B.; Zhao, X.; Hu, G.; Yue, W.; Ren, J.; Yuan, X. Optical Properties of Graphene/MoS2 Heterostructure: First Principles Calculations. Nanomaterials 2018, 8, 962. [Google Scholar] [CrossRef]
  25. Wang, H.; Liang, H.; Qian, Z. Tunable Conductivity and Dielectric Constant of Graphene in Microwave, Millimeter wave and Terahertz Band. In Proceedings of the 2020 13th UK-Europe-China Workshop on Millimetre-Waves and Terahertz Technologies (UCMMT), Tianjin, China, 29 August–1 September 2020; pp. 1–3. [Google Scholar]
  26. Fang, T.; Konar, A.; Xing, H.; Jena, D. Carrier Statistics and Quantum Capacitance of Graphene Sheets and Ribbons. Appl. Phys. Lett. 2007, 91, 092109. [Google Scholar] [CrossRef]
  27. Liu, X.; Li, Z. Electric Field and Strain Effect on Graphene-MoS2 Hybrid Structure: Ab Initio Calculations. J. Phys. Chem. Lett. 2015, 6, 3269–3275. [Google Scholar] [CrossRef]
  28. Kravets, V.G.; Wu, F.; Auton, G.H.; Yu, T.; Imaizumi, S.; Grigorenko, A.N. Measurements of electrically tunable refractive index of MoS2 monolayer and its usage in optical modulators. NPJ 2d Mater. Appl. 2019, 3, 36. [Google Scholar] [CrossRef]
  29. Xiao, J.; Zhao, M.; Wang, Y.; Zhang, X. Excitons in atomically thin 2D semiconductors and their applications. Nanophotonics 2017, 6, 1309–1328. [Google Scholar] [CrossRef]
  30. Reshetnyak, V.Y.; Zadorozhnii, V.I.; Pinkevych, I.P.; Bunning, T.J.; Evans, D.R. Surface plasmon absorption in MoS2 and graphene-MoS2 micro-gratings and the impact of a liquid crystal substrate. AIP Adv. 2018, 8, 045024. [Google Scholar] [CrossRef]
  31. Novoselov, K.S.; Geim, A.K.; Morozov, S.V.; Jiang, D.; Zhang, Y.; Dubonos, S.V.; Grigorieva, I.V.; Firsov, A.A. Electric Field Effect in Atomically Thin Carbon Films. Science 2004, 306, 666–669. [Google Scholar] [CrossRef] [PubMed]
  32. Pham, T.; Ramnani, P.; Villarreal, C.C.; Lopez, J.; Das, P.; Lee, I.; Neupane, M.R.; Rheem, Y.; Mulchandani, A. MoS2-graphene heterostructures as efficient organic compounds sensing 2D materials. Carbon 2019, 142, 504–512. [Google Scholar] [CrossRef]
  33. Tang, Z.; Liu, C.; Huang, X.; Zeng, S.; Liu, L.; Li, J.; Jiang, Y.-G.; Zhang, D.W.; Zhou, P. A Steep-Slope MoS2/Graphene Dirac-Source Field-Effect Transistor with a Large Drive Current. Nano Lett. 2021, 21, 1758–1764. [Google Scholar] [CrossRef]
  34. Wang, C.; Song, Y.; Huang, H. Evolution Application of Two-Dimensional MoS2-Based Field-Effect Transistors. Nanomaterials 2022, 12, 3233. [Google Scholar] [CrossRef]
  35. Liu, M.; Susli, M.; Silva, D.; Putrino, G.; Kala, H.; Fan, S.; Cole, M.; Faraone, L.; Wallace, V.P.; Padilla, W.J.; et al. Ultrathin tunable terahertz absorber based on MEMS-driven metamaterial. Microsyst. Nanoeng. 2017, 3, 17033. [Google Scholar] [CrossRef]
  36. Cong, L.; Singh, R. Sensing with THz metamaterial absorbers. arXiv 2014, arXiv:1408.3711. [Google Scholar] [CrossRef]
  37. Yuan, H.; Cheng, G.; You, L.; Li, H.; Zhu, H.; Li, W.; Kopanski, J.J.; Obeng, Y.S.; Hight Walker, A.R.; Gundlach, D.J.; et al. Influence of Metal–MoS 2 Interface on MoS 2 Transistor Performance: Comparison of Ag and Ti Contacts. ACS Appl. Mater. Interfaces 2015, 7, 1180–1187. [Google Scholar] [CrossRef] [PubMed]
  38. Gahoi, A.; Passi, V.; Kataria, S.; Wagner, S.; Bablich, A.; Lemme, M.C. Systematic comparison of metal contacts on CVD graphene. In Proceedings of the 2015 45th European Solid State Device Research Conference (ESSDERC), Graz, Austria, 14–18 September 2015; pp. 184–187. [Google Scholar]
  39. Mikhailov, S.A.; Ziegler, K. A new electromagnetic mode in graphene. Phys. Rev. Lett. 2007, 99, 016803. [Google Scholar] [CrossRef] [PubMed]
  40. Hanson, G.W. Dyadic Green’s functions and guided surface waves for a surface conductivity model of graphene. J. Appl. Phys. 2008, 103, 064302. [Google Scholar] [CrossRef]
  41. Paul Gollapalli, R.; Wei, T.; Reid, J. Application of Electric Bias to Enhance the Sensitivity of Graphene-Based Surface Plasmon Resonance Sensors. In Graphene—Recent Advances, Future Perspective and Applied Applications [Working Title]; IntechOpen: Licko-Senjska, Croatia, 2022. [Google Scholar]
  42. Hanson, G.W. Dyadic Green’s Functions for an Anisotropic, Non-Local Model of Biased Graphene. IEEE Trans. Antennas Propagat. 2008, 56, 747–757. [Google Scholar] [CrossRef]
  43. Chen, S.; Fan, F.; Miao, Y.; He, X.; Zhang, K.; Chang, S. Ultrasensitive terahertz modulation by silicon-grown MoS2 nanosheets. Nanoscale 2016, 8, 4713–4719. [Google Scholar] [CrossRef]
  44. Dagan, R.; Vaknin, Y.; Henning, A.; Shang, J.Y.; Lauhon, L.J.; Rosenwaks, Y. Two-dimensional charge carrier distribution in MoS2 monolayer and multilayers. Appl. Phys. Lett. 2019, 114, 101602. [Google Scholar] [CrossRef]
  45. Davies, C.L.; Patel, J.B.; Xia, C.Q.; Herz, L.M.; Johnston, M.B. Temperature-Dependent Refractive Index of Quartz at Terahertz Frequencies. J. Infrared Millim. Terahertz Waves 2018, 39, 1236–1248. [Google Scholar] [CrossRef]
  46. Yasuda, H.; Hosako, I. Measurement of Terahertz Refractive Index of Metal with Terahertz Time-Domain Spectroscopy. Jpn. J. Appl. Phys. 2008, 47, 1632–1634. [Google Scholar] [CrossRef]
  47. Deng, X.-Y.; Deng, X.-H.; Su, F.-H.; Liu, N.-H.; Liu, J.-T. Broadband ultra-high transmission of terahertz radiation through monolayer MoS2. J. Appl. Phys. 2015, 118, 224304. [Google Scholar] [CrossRef]
  48. Newaz, A.K.M.; Prasai, D.; Ziegler, J.I.; Caudel, D.; Robinson, S.; Haglund, R.F., Jr.; Bolotin, K.I. Electrical Control of Optical Properties of Monolayer MoS2. Solid. State Commun. 2013, 155, 49–52. [Google Scholar] [CrossRef]
  49. Xiao, Y.M.; Xu, W.; Van Duppen, B.; Peeters, F.M. Infrared to terahertz optical conductivity of n-type and p-type monolayer MoS2 in the presence of Rashba spin-orbit coupling. Phys. Rev. B 2016, 94, 155432. [Google Scholar] [CrossRef]
  50. Pierucci, D.; Henck, H.; Avila, J.; Balan, A.; Naylor, C.H.; Patriarche, G.; Dappe, Y.J.; Silly, M.G.; Sirotti, F.; Johnson, A.T.C.; et al. Band Alignment and Minigaps in Monolayer MoS2 -Graphene van der Waals Heterostructures. Nano Lett. 2016, 16, 4054–4061. [Google Scholar] [CrossRef] [PubMed]
  51. Panchal, V.; Lartsev, A.; Manzin, A.; Yakimova, R.; Tzalenchuk, A.; Kazakova, O. Visualisation of edge effects in side-gated graphene nanodevices. Sci. Rep. 2014, 4, 5881. [Google Scholar] [CrossRef] [PubMed]
  52. Han, M.Y.; Özyilmaz, B.; Zhang, Y.; Kim, P. Energy Band-Gap Engineering of Graphene Nanoribbons. Phys. Rev. Lett. 2007, 98, 206805. [Google Scholar] [CrossRef] [PubMed]
  53. Ullah, Z.; Nawi, I.; Witjaksono, G.; Tansu, N.; Khattak, M.I.; Junaid, M.; Siddiqui, M.A.; Magsi, S.A. Dynamic Absorption Enhancement and Equivalent Resonant Circuit Modeling of Tunable Graphene-Metal Hybrid Antenna. Sensors 2020, 20, 3187. [Google Scholar] [CrossRef] [PubMed]
  54. Li, T.; Zhou, J.; Zheng, Y.; Zhu, Z.; Zhou, L.; Rao, X.; Wang, J. Temperature Dependent Sheet Conductivity of MoS2 Measured by Terahertz Time-Domain Spectroscopy. In Proceedings of the 2019 44th International Conference on Infrared, Millimeter, and Terahertz Waves (IRMMW-THz), Paris, France, 1–6 September 2019; pp. 1–2. [Google Scholar]
  55. Liu, H.-L.; Yang, T.; Chen, J.-H.; Chen, H.-W.; Guo, H.; Saito, R.; Li, M.-Y.; Li, L.-J. Temperature-dependent optical constants of monolayer MoS2,MoSe2, WS2, and WSe2: Spectroscopic ellipsometry and first-principles calculations. Sci. Rep. 2020, 10, 15282. [Google Scholar] [CrossRef]
  56. Islam, M.S.; Sultana, J.; Biabanifard, M.; Vafapour, Z.; Nine, M.J.; Dinovitser, A.; Cordeiro, C.M.B.; Ng, B.W.-H.; Abbott, D. Tunable localized surface plasmon graphene metasurface for multiband superabsorption and terahertz sensing. Carbon 2020, 158, 559–567. [Google Scholar] [CrossRef]
  57. Chen, F.; Cheng, Y.; Luo, H. A Broadband Tunable Terahertz Metamaterial Absorber Based on Single-Layer Complementary Gammadion-Shaped Graphene. Materials 2020, 13, 860. [Google Scholar] [CrossRef]
  58. Zhong, Y.; Huang, Y.; Zhong, S.; Lin, T.; Luo, M.; Shen, Y.; Ding, J. Tunable terahertz broadband absorber based on MoS2 ring-cross array structure. Opt. Mater. 2021, 114, 110996. [Google Scholar] [CrossRef]
  59. Gong, C.; Zhan, M.; Yang, J.; Wang, Z.; Liu, H.; Zhao, Y.; Liu, W. Broadband terahertz metamaterial absorber based on sectional asymmetric structures. Sci. Rep. 2016, 6, 32466. [Google Scholar] [CrossRef]
  60. Mohsen Daraei, O.; Goudarzi, K.; Bemani, M. A tunable ultra-broadband terahertz absorber based on two layers of graphene ribbons. Opt. Laser Technol. 2020, 122, 105853. [Google Scholar] [CrossRef]
  61. Wang, J.; Jiang, Y. A phosphorene-based metasurface absorber operating in ultra-wideband terahertz regime. Eur. Phys. J. D 2019, 73, 255. [Google Scholar] [CrossRef]
  62. Tan, C.; Wang, S.; Li, S.; Liu, X.; Wei, J.; Zhang, G.; Ye, H. Cancer Diagnosis Using Terahertz-Graphene-Metasurface-Based Biosensor with Dual-Resonance Response. Nanomaterials 2022, 12, 3889. [Google Scholar] [CrossRef] [PubMed]
Figure 1. The schematic of the infinite nanoribbon structure with a SiO2 substrate and nanoribbons of graphene and MoS2 with applied gate voltage, Vg, and incident THz electromagnetic wave.
Figure 1. The schematic of the infinite nanoribbon structure with a SiO2 substrate and nanoribbons of graphene and MoS2 with applied gate voltage, Vg, and incident THz electromagnetic wave.
Nanomaterials 13 01716 g001
Figure 2. The transmittance and absorptance of MoS2 monolayer nanoribbon over SiO2 and graphene nanoribbon over SiO2: (a) The transmittance of MoS2; (b) The absorptance of MoS2; (c) The transmittance of graphene; (d) The absorptance of graphene. dsub = 5 nm.
Figure 2. The transmittance and absorptance of MoS2 monolayer nanoribbon over SiO2 and graphene nanoribbon over SiO2: (a) The transmittance of MoS2; (b) The absorptance of MoS2; (c) The transmittance of graphene; (d) The absorptance of graphene. dsub = 5 nm.
Nanomaterials 13 01716 g002
Figure 3. The nanoribbon structure absorptance in case of graphene only (marked lines) and MoS2/graphene heterostructure (solid lines) at different gate voltages Vg = 0, 0.1, 0.4 V.
Figure 3. The nanoribbon structure absorptance in case of graphene only (marked lines) and MoS2/graphene heterostructure (solid lines) at different gate voltages Vg = 0, 0.1, 0.4 V.
Nanomaterials 13 01716 g003
Figure 4. The electric field amplitude across one nanoribbon: (a,b) The electric field amplitude of a 90 nm width nanoribbon structure at V g = 0 and   0.4   V , respectively; (c) The zoom in of the nano-ribbon edges at V g = 0.4   V .
Figure 4. The electric field amplitude across one nanoribbon: (a,b) The electric field amplitude of a 90 nm width nanoribbon structure at V g = 0 and   0.4   V , respectively; (c) The zoom in of the nano-ribbon edges at V g = 0.4   V .
Nanomaterials 13 01716 g004
Figure 5. The effect of the nanoribbon width, w n , on the absorptance frequency: (a) at Vg = 0 V; (b) at Vg = 0.1 V; (c) at Vg = 0.4 V.
Figure 5. The effect of the nanoribbon width, w n , on the absorptance frequency: (a) at Vg = 0 V; (b) at Vg = 0.1 V; (c) at Vg = 0.4 V.
Nanomaterials 13 01716 g005
Figure 6. The effect of the substrate thickness, d sub , of SiO2 on the absorptance at Vg = 0, 0.1 V and nanoribbon width w n   = 90 nm.
Figure 6. The effect of the substrate thickness, d sub , of SiO2 on the absorptance at Vg = 0, 0.1 V and nanoribbon width w n   = 90 nm.
Nanomaterials 13 01716 g006
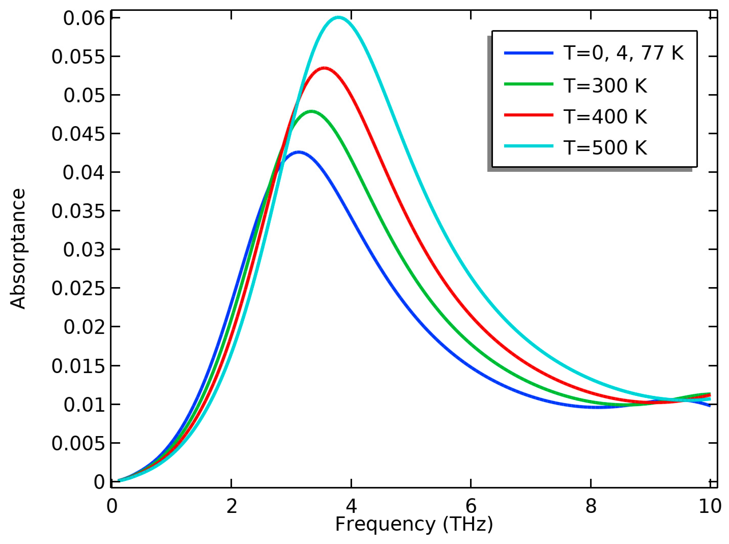
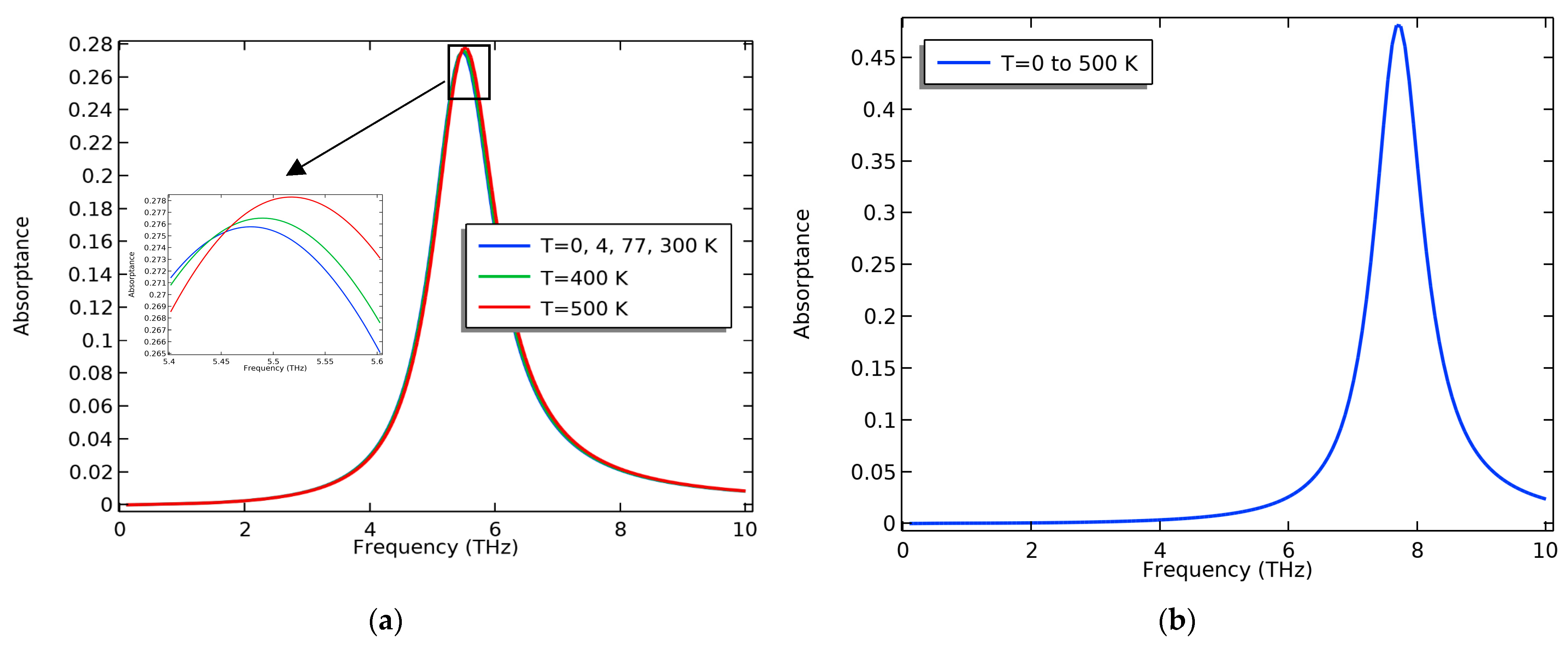
Figure 7. The effect of temperature on the absorptance of the nanoribbon structure at gate voltage Vg = 0.
Figure 7. The effect of temperature on the absorptance of the nanoribbon structure at gate voltage Vg = 0.
Nanomaterials 13 01716 g007
Figure 8. The effect of temperature on the absorptance of the nanoribbon structure at gate voltage (a) Vg = 0.1 V, and (b) Vg = 0.4 V.
Figure 8. The effect of temperature on the absorptance of the nanoribbon structure at gate voltage (a) Vg = 0.1 V, and (b) Vg = 0.4 V.
Nanomaterials 13 01716 g008
Table 1. List of previous THz absorbers.
Table 1. List of previous THz absorbers.
RefBandwidthAbsorptanceStructure
[56]Multiband width99.7% in a frequency range of 0.1–2.0 THzGraphene meta surface, Au, SiO2, and Zeonex.
[57]Relative bandwidth of 72.1% at 90% absorptance>90% for frequencies from 2 to 5 THzGammadion-shaped graphene sheet and a polydimethylsiloxane dielectric substrate placed on a metal film.
[58]Wide
1.2 to 2.67 THz
>90% for frequencies from 1.375 to 2.75 THzPatterned MoS2 with a subwavelength ring–cross array.
[59]~0.5 THz>90% for frequencies from 4.762 to 5.152 THz(Square ring absorber) of Au and Si3N4.
[60]~5.8 THz70% for frequencies from 9 THz to 7.7 THzRibbons of graphene on dielectric and Au film.
[61]Ultrawideband 3.4–9.6 THz>90% for frequencies from 4 to 10 THzFrustum pyramid stack of BP/dielectric on a gold base.
Disclaimer/Publisher’s Note: The statements, opinions and data contained in all publications are solely those of the individual author(s) and contributor(s) and not of MDPI and/or the editor(s). MDPI and/or the editor(s) disclaim responsibility for any injury to people or property resulting from any ideas, methods, instructions or products referred to in the content.

Share and Cite

MDPI and ACS Style

Samy, O.; Belmoubarik, M.; Otsuji, T.; El Moutaouakil, A. A Voltage-Tuned Terahertz Absorber Based on MoS2/Graphene Nanoribbon Structure. Nanomaterials 2023, 13, 1716. https://doi.org/10.3390/nano13111716

AMA Style

Samy O, Belmoubarik M, Otsuji T, El Moutaouakil A. A Voltage-Tuned Terahertz Absorber Based on MoS2/Graphene Nanoribbon Structure. Nanomaterials. 2023; 13(11):1716. https://doi.org/10.3390/nano13111716

Chicago/Turabian Style

Samy, Omnia, Mohamed Belmoubarik, Taiichi Otsuji, and Amine El Moutaouakil. 2023. "A Voltage-Tuned Terahertz Absorber Based on MoS2/Graphene Nanoribbon Structure" Nanomaterials 13, no. 11: 1716. https://doi.org/10.3390/nano13111716

APA Style

Samy, O., Belmoubarik, M., Otsuji, T., & El Moutaouakil, A. (2023). A Voltage-Tuned Terahertz Absorber Based on MoS2/Graphene Nanoribbon Structure. Nanomaterials, 13(11), 1716. https://doi.org/10.3390/nano13111716

Note that from the first issue of 2016, this journal uses article numbers instead of page numbers. See further details here.

Article Metrics

Back to TopTop