3-APTES on Dendritic Fibrous Mesoporous Silica Nanoparticles for the pH-Controlled Release of Corrosion Inhibitors
Abstract
:1. Introduction
2. Materials and Methods
2.1. Reagents and Solutions
2.2. Synthesis of MSNPs
2.3. Functionalization of MSNPs
2.4. Loading of MBT and BTA onto fMSNPs
2.5. Characterization
3. Results and Discussion
3.1. MSNPs and fMSNPs
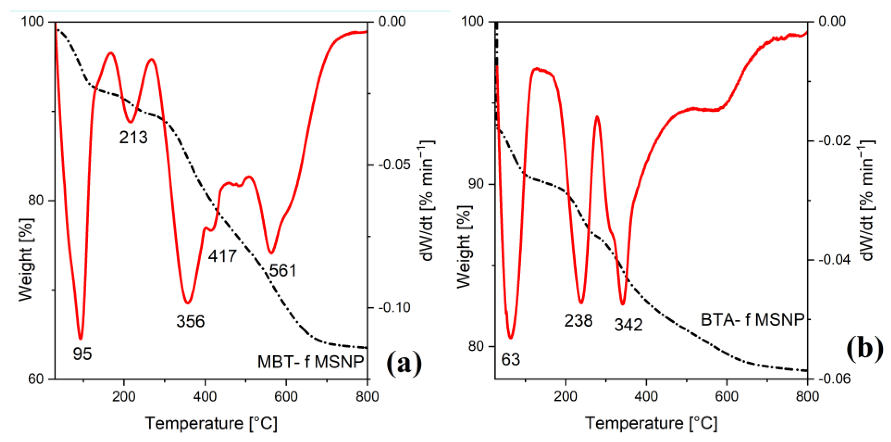
3.2. MSNPs and fMSNPs + MBT and BTA
3.3. Corrosion Inhibitor Release
4. Conclusions
Supplementary Materials
Author Contributions
Funding
Data Availability Statement
Acknowledgments
Conflicts of Interest
References
- Wilhelm, M.; Quevedo, M.C.; Sushkova, A.; Galvão, T.L.; Bastos, A.; Ferreira, M.; Tedim, J. Hexacyanoferrate-intercalated layered double hydroxides as nanoadditives for the detection of early-stage corrosion of steel: The revival of prussian blue. Eur. J. Inorg. Chem. 2020, 21, 2063–2073. [Google Scholar] [CrossRef]
- Balaji, J.; Oh, T.H.; Sethuraman, M.G. Effect of pH on inhibitor-doped hybrid protective sol-gel coatings on the copper electrode surface. J. Taiwan Inst. Chem. E 2021, 119, 259–268. [Google Scholar] [CrossRef]
- Graziani, V.; Iorio, M.; Albini, M.; Riccucci, C.; Di Carlo, G.; Branchini, P.; Tortora, L. Metals and environment: Chemical outputs from the interaction between gilded copper-based objects and burial soil. Front. Mater. 2020, 7, 32. [Google Scholar] [CrossRef]
- Ingo, G.M.; Riccucci, C.; Pascucci, M.; Messina, E.; Giuliani, C.; Biocca, P.; Tortora, L.; Fierro, G.; Di Carlo, G. Combined use of FE-SEM+EDS, ToF-SIMS, XPS, XRD and OM for the study of ancient gilded artefacts. Appl. Surf. Sci. 2018, 446, 168–176. [Google Scholar] [CrossRef]
- Salzano de Luna, M.; Buonocore, G.G.; Giuliani, C.; Messina, E.; Di Carlo, G.; Lavorgna, M.; Ambrosio, L.; Ingo, G.M. Long-lasting efficacy of coatings for bronze artwork conservation: The key role of layered double hydroxide nanocarriers in protecting corrosion inhibitors from photodegradation. Angew. Chem. Int. Ed. 2018, 57, 7380–7384. [Google Scholar] [CrossRef] [PubMed]
- Ingo, G.M.; Albini, M.; Bustamante, A.D.; Zambrano Alva, S.D.P.; Fernandez, A.; Giuliani, C.; Messina, E.; Pascucci, M.; Riccucci, C.; Staccioli, P.; et al. Microchemical investigation of long-term buried gilded and silvered artifacts from ancient Peru. Front. Mater. 2020, 7, 230. [Google Scholar] [CrossRef]
- Ingo, G.M.; Guida, G.; Angelini, E.; Di Carlo, G.; Mezzi, A.; Padeletti, G. Ancient mercury-based plating methods: Combined use of surface analytical techniques for the study of manufacturing process and degradation phenomena. Acc. Chem. Res. 2013, 46, 2365–2375. [Google Scholar] [CrossRef]
- Giuliani, C.; Pascucci, M.; Riccucci, C.; Messina, E.; de Luna, M.S.; Lavorgna, M.; Ingo, G.M.; Di Carlo, G. Chitosan-based coatings for corrosion protection of copper-based alloys: A promising more sustainable approach for cultural heritage applications. Prog. Org. Coat. 2018, 122, 138–146. [Google Scholar] [CrossRef]
- Wei, H.; Wang, Y.; Guo, J.; Shen, N.Z.; Jiang, D.; Zhang, X.; Yan, X.; Zhu, J.; Wang, Q.; Shao, L.; et al. Advanced micro/nanocapsules for self-healing smart anticorrosion coatings. J. Mater. Chem. A Mater. 2015, 3, 469–480. [Google Scholar] [CrossRef]
- Deflorian, F. Advances in organic coatings 2018. Special Issue. Coatings 2020, 10, 555. [Google Scholar] [CrossRef]
- Olivieri, F.; Castaldo, R.; Cocca, M.; Gentile, G.; Lavorgna, M. Mesoporous silica nanoparticles as carriers of active agents for smart anticorrosive organic coatings: A critical review. Nanoscale 2021, 13, 9091–9111. [Google Scholar] [CrossRef] [PubMed]
- Chellouli, M.; Chebabe, D.; Dermaj, A.; Erramli, H.; Bettach, N.; Hajjaji, N.; Casaletto, M.P.; Cirrincione, C.; Privitera, A.; Srhiri, A. Corrosion inhibition of iron in acidic solution by a green formulation derived from Nigella sativa L. Electrochim. Acta 2016, 204, 50–59. [Google Scholar] [CrossRef]
- Zea, C.; Alcántara, J.; Barranco-García, R.; Morcillo, M.; De La Fuente, D. Synthesis and characterization of hollow mesoporous silica nanoparticles for smart corrosion protection. Nanomaterials 2018, 8, 478. [Google Scholar] [CrossRef]
- Raps, D.; Hack, T.; Wehr, J.; Zheludkevich, M.L.; Bastos, A.C.; Ferreira MG, S.; Nuyken, O.J.C.S. Electrochemical study of inhibitor-containing organic-inorganic hybrid coatings on AA2024. Corros. Sci. 2009, 51, 1012–1021. [Google Scholar] [CrossRef]
- Tortora, L.; Di Carlo, G.; Mosquera, M.J.; Ingo, G.M. Editorial: Nanoscience and nanomaterials for the knowledge and conservation of cultural heritage. Front. Mater. 2020, 7, 606076. [Google Scholar] [CrossRef]
- Maia, F.; Tedim, J.; Lisenkov, A.D.; Salak, A.N.; Zheludkevich, M.L.; Ferreira, M.G. Silica nanocontainers for active corrosion protection. Nanoscale 2012, 4, 1287–1298. [Google Scholar] [CrossRef]
- Yamamoto, E.; Kuroda, K. Colloidal mesoporous silica nanoparticles. Bull. Chem. Soc. Jpn. 2016, 89, 501–539. [Google Scholar] [CrossRef]
- Cao, Y.; Yuan, X.; Wang, X.; Li, W.; Yang, H. Synthesis and controlled release kinetics of pH-sensitive hollow polyaniline microspheres encapsuled with the corrosion inhibitor. J. Mol. Liq. 2021, 342, 117497. [Google Scholar] [CrossRef]
- Ma, X.; Xu, L.; Wang, W.; Lin, Z.; Li, X. Synthesis and characterisation of composite nanoparticles of mesoporous silica loaded with inhibitor for corrosion protection of Cu-Zn alloy. Corros. Sci. 2017, 120, 139–147. [Google Scholar] [CrossRef]
- Borisova, D.; Akçakayiran, D.; Schenderlein, M.; Möhwald, H.; Shchukin, D.G. Nanocontainer-based anticorrosive coatings: Effect of the container size on the self-healing performance. Adv. Funct. Mater. 2013, 23, 3799–3812. [Google Scholar] [CrossRef]
- Messina, E.; Pascucci, M.; Riccucci, C.; Boccaccini, F.; Blanco-Valera, M.T.; Garcia-Lodeiro, I.; Ingo, G.M.; Di Carlo, G. Smart Inhibition Action of Amino Acid-Modified Layered Double Hydroxide and Its Application on Carbon Steel. Molecules 2023, 28, 5863. [Google Scholar] [CrossRef]
- Ruggiero, L.; Crociani, L.; Zendri, E.; El Habra, N.; Guerriero, P. Incorporation of the zosteric sodium salt in silica nanocapsules: Synthesis and characterization of new fillers for antifouling coatings. Appl. Surf. Sci. 2018, 439, 705–711. [Google Scholar] [CrossRef]
- Bahari, H.S.; Ye, F.; Carrillo, E.A.T.; Leliopoulos, C.; Savaloni, H.; Dutta, J. Chitosan nanocomposite coatings with enhanced corrosion inhibition effects for copper. Int. J. Biol. Macromol. 2020, 162, 1566–1577. [Google Scholar] [CrossRef] [PubMed]
- Ruggiero, L.; Fidanza, M.R.; Iorio, M.; Tortora, L.; Caneva, G.; Ricci, M.A.; Sodo, A. Synthesis and characterization of TEOS coating added with innovative antifouling silica nanocontainers and TiO2 nanoparticles. Front. Mater. 2020, 7, 185. [Google Scholar] [CrossRef]
- Giuliani, C.; Messina, E.; Staccioli, M.P.; Pascucci, M.; Riccucci, C.; Liotta, L.F.; Tortora, L.; Ingo, G.M.; Di Carlo, G. On-demand release of protective agents triggered by environmental stimuli. Front. Chem. 2020, 8, 304. [Google Scholar] [CrossRef]
- Li, Z.; Barnes, J.C.; Bosoy, A.; Stoddart, J.F.; Zink, J.I. Mesoporous silica nanoparticles in biomedical applications. Chem. Soc. Rev. 2012, 41, 2590. [Google Scholar] [CrossRef]
- Kermannezhad, K.; Najafi Chermahini, A.; Momeni, M.M.; Rezaei, B. Application of amine-functionalized MCM-41 as pH-sensitive nano container for controlled release of 2-mercaptobenzoxazole corrosion inhibitor. Chem. Eng. J. 2016, 306, 849–857. [Google Scholar] [CrossRef]
- Zheng, Z.; Huang, X.; Schenderlein, M.; Borisova, D.; Cao, R.; Möhwald, H.; Shchukin, D. Self-healing and antifouling multifunctional coatings based on pH and sulfide ion sensitive nanocontainers. Adv. Funct. Mater. 2013, 23, 3307–3314. [Google Scholar] [CrossRef]
- Hollamby, M.J.; Fix, D.; Dönch, I.; Borisova, D.; Möhwald, H.; Shchukin, D. Hybrid polyester coating incorporating functionalized mesoporous carriers for the holistic protection of steel surfaces. Adv. Mater. 2011, 23, 1361–1365. [Google Scholar] [CrossRef]
- Chen, T.; Fu, J. pH-responsive nanovalves based on hollow mesoporous silica spheres for controlled release of corrosion inhibitor. Nanotechnology 2012, 23, 235605. [Google Scholar] [CrossRef]
- Polshettiwar, V.; Cha, D.; Zhang, X.; Basset, J.M. High-surface-area silica nanospheres (KCC-1) with a fibrous morphology. Angew. Chem. Int. Ed. 2010, 49, 9652–9656. [Google Scholar] [CrossRef]
- Le, X.; Dong, Z.; Li, X.; Zhang, W.; Le, M.; Ma, J. Fibrous nano-silica supported palladium nanoparticles: An efficient catalyst for the reduction of 4-nitrophenol and hydrodechlorination of 4-chlorophenol under mild conditions. Catal. Commun. 2015, 59, 21–25. [Google Scholar] [CrossRef]
- Le, X.; Dong, Z.; Zhang, W.; Li, X.; Ma, J. Fibrous nano-silica containing immobilized Ni@Au core-shell nanoparticles: A highly active and reusable catalyst for the reduction of 4-nitrophenol and 2-nitroaniline. J. Mol. Catal. A-Chem. 2014, 395, 58–65. [Google Scholar] [CrossRef]
- Febriyanti, E.; Suendo, V.; Mukti, R.R.; Prasetyo, A.; Arifin, A.F.; Akbar, M.A.; Triwahyono, S.; Marsih, I.N.; Ismunandar. Further insight into the definite morphology and formation mechanism of mesoporous silica KCC-1. Langmuir 2016, 32, 5802–5811. [Google Scholar] [CrossRef]
- Luisetto, I.; Tuti, S.; Marconi, E.; Veroli, A.; Buzzin, A.; De Cesare, G.; Natali, S.; Verotti, M.; Giovine, E.; Belfiore, N.P. An interdisciplinary approach to the nanomanipulation of SiO2 nanoparticles: Design, fabricationand feasibility. Appl. Sci. 2018, 8, 2645. [Google Scholar] [CrossRef]
- Moon, D.S.; Lee, J.K. Tunable synthesis of hierarchical mesoporous silica nanoparticles with radial wrinkle structure. Langmuir 2012, 28, 12341–12347. [Google Scholar] [CrossRef]
- Bayal, N.; Singh, B.; Singh, R.; Polshettiwar, V. Size and fiber density controlled synthesis of fibrous nanosilica spheres (KCC-1). Sci. Rep. 2016, 6, 24888. [Google Scholar] [CrossRef] [PubMed]
- Kang, J.S.; Lim, J.; Rho, W.Y.; Kim, J.; Moon, D.S.; Jeong, J.; Jung, D.; Choi, J.W.; Lee, J.K.; Sung, Y.E. Wrinkled silica/titania nanoparticles with tunable interwrinkle distances for efficient utilization of photons in dye-sensitized solar cells. Sci. Rep. 2016, 6, 30829. [Google Scholar] [CrossRef]
- Aznar, E.; Martínez-Máñez, R.; Sancenón, F. Controlled release using mesoporous materials containing gate-like scaffoldings. Expert Opin. Drug Deliv. 2009, 6, 643–655. [Google Scholar] [CrossRef] [PubMed]
- Thananukul, K.; Kaewsaneha, C.; Opaprakasit, P.; Lebaz, N.; Errachid, A.; Elaissari, A. Smart gating porous particles as new carriers for drug delivery. Adv. Drug Deliv Rev. 2021, 174, 425–446. [Google Scholar] [CrossRef]
- Colilla, M.; González, B.; Vallet-Regí, M. Mesoporous silica nanoparticles for the design of smart delivery nanodevices. Biomater. Sci. 2013, 1, 114–134. [Google Scholar] [CrossRef] [PubMed]
- Casasús, R.; Climent, E.; Marcos, M.D.; Martínez-Máñez, R.; Sancenón, F.; Soto, J.; Amorós, P.; Cano, J.; Ruiz, E. Dual aperture control on pH- and anion-driven supramolecular nanoscopic hybrid gate-like ensembles. J. Am. Chem. Soc. 2008, 130, 1903–1917. [Google Scholar] [CrossRef] [PubMed]
- Xiong, L.; Liu, J.; Li, Y.; Li, S.; Yu, M. Enhancing corrosion protection properties of sol-gel coating by pH-responsive amino-silane functionalized graphene oxide-mesoporous silica nanosheets. Prog. Org. Coat. 2019, 135, 228–239. [Google Scholar] [CrossRef]
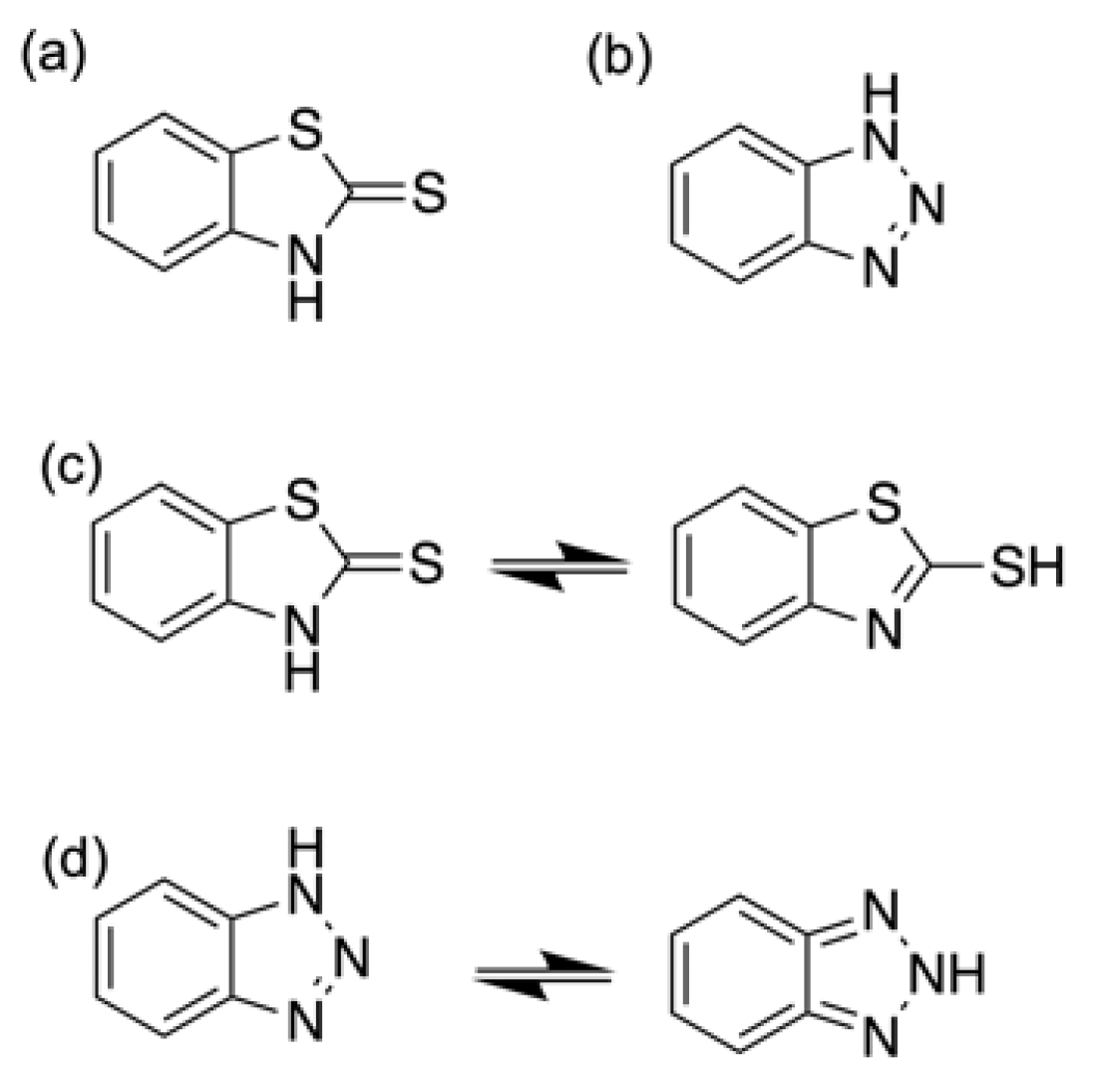
- Finšgar, M.; Kek Merl, D. An electrochemical, long-term immersion, and XPS study of 2-mercaptobenzothiazole as a copper corrosion inhibitor in chloride solution. Corros. Sci. 2014, 83, 164–175. [Google Scholar] [CrossRef]
- Kazansky, L.P.; Pronin, Y.E.; Arkhipushkin, I.A. XPS study of adsorption of 2-mercaptobenzothiazole on a brass surface. Corros. Sci. 2014, 89, 21–29. [Google Scholar] [CrossRef]
- Cen, H.; Cao, J.; Chen, Z.; Guo, X. 2-Mercaptobenzothiazole as a corrosion inhibitor for carbon steel in supercritical CO2-H2O condition. Appl. Surf. Sci. 2019, 476, 422–434. [Google Scholar] [CrossRef]
- Castaldo, R.; de Luna, M.S.; Siviello, C.; Gentile, G.; Lavorgna, M.; Amendola, E.; Cocca, M. On the acid-responsive release of benzotriazole from engineered mesoporous silica nanoparticles for corrosion protection of metal surfaces. J. Cult. Herit. 2020, 44, 317–324. [Google Scholar] [CrossRef]
- Silva da Conceição, D.K.; Nunes de Almeida, K.; Nhuch, E.; Raucci, M.G.; Santillo, C.; Salzano de Luna, M.; Ambrosio, L.; Lavorgna, M.; Giuliani, C.; Di Carlo, G.; et al. The synergistic effect of an imidazolium salt and benzotriazole on the protection of bronze surfaces with chitosan-based coatings. Herit. Sci. 2020, 8, 40. [Google Scholar] [CrossRef]
- De Wever, H.; Verachtert, H. Biodegradation and toxicity of benzothiazoles. Water Res. 1997, 31, 2673–2684. [Google Scholar] [CrossRef]
- Seeland, A.; Oetken, M.; Kiss, A.; Fries, E.; Oehlmann, J. Acute and chronic toxicity of benzotriazoles to aquatic organisms. Environ. Sci. Pollut. Res. 2012, 19, 1781–1790. [Google Scholar] [CrossRef]
- Thommes, M.; Kaneko, K.; Neimark, A.V.; Olivier, J.P.; Rodriguez-Reinoso, F.; Rouquerol, J.; Sing, K.S. Physisorption of gases, with special reference to the evaluation of surface area and pore size distribution (IUPAC Technical Report). Pure Appl. Chem. 2015, 87, 1051–1069. [Google Scholar] [CrossRef]
- Lee, Y.-H.; Hong, M.-S.; Ko, S.-J.; Kim, J.-G. Effect of benzotriazole on the localized corrosion of copper covered with carbonaceous residue. Materials 2021, 14, 2722. [Google Scholar] [CrossRef] [PubMed]
- Chiter, F.; Costa, D.; Maurice, V.; Marcus, P. DFT investigation of 2-mercaptobenzothiazole adsorption on model oxidized copper surfaces and relationship with corrosion inhibition. Appl. Surf. Sci. 2021, 537, 147802. [Google Scholar] [CrossRef]
- Kokalj, A. Ab initio modeling of the bonding of benzotriazole corrosion inhibitor to reduced and oxidized copper surfaces. Faraday Discuss. 2015, 180, 415–438. [Google Scholar] [CrossRef]
- Rai, A.K.; Singh, R.; Singh, K.N.; Singh, V.B. FTIR, Raman spectra and ab initio calculations of 2-mercaptobenzothiazole. Spectrochim. Acta A 2006, 63, 483–490. [Google Scholar] [CrossRef]
- Majoul, N.; Aouida, S.; Bessaïs, B. Progress of porous silicon APTES-functionalization by FTIR investigations. Appl. Surf. Sci. 2015, 331, 388–391. [Google Scholar] [CrossRef]
- Lei, Y.H.; Sheng, N.; Hyono, A.; Ueda, M.; Ohtsuka, T. Effect of benzotriazole (BTA) addition on Polypyrrole film formation on copper and its corrosion protection. Prog. Org. Coat. 2014, 77, 339–346. [Google Scholar] [CrossRef]
- Privitera, A.; Ruggiero, L.; Venditti, I.; Laverdura, U.P.; Tuti, S.; De Felicis, D.; Mastro, S.L.; Duranti, L.; Di Bartolomeo, E.; Gasperi, T.; et al. One step nanoencapsulation of corrosion inhibitors for gradual release application. Mater. Today Chem. 2022, 24, 100851. [Google Scholar] [CrossRef]
- Borisova, D.; Möhwald, H.; Shchukin, D.G. Mesoporous silica nanoparticles for active corrosion protection. ACS Nano 2011, 5, 1939–1946. [Google Scholar] [CrossRef]
- Chenan, A.; Ramya, S.; George, R.P.; Mudali, U.K. 2-mercaptobenzothiazole-loaded hollow mesoporous silica-based hybrid coatings for corrosion protection of modified 9Cr-1Mo ferritic steel. Corrosion 2014, 70, 496–511. [Google Scholar] [CrossRef]
- Chen, T.; Chen, R.; Jin, Z.; Liu, J. Engineering hollow mesoporous silica nanocontainers with molecular switches for continuous self-healing anticorrosion coating. J. Mater. Chem. A Mater. 2015, 3, 9510–9516. [Google Scholar] [CrossRef]
- Amini, M.; Naderi, R.; Mahdavian, M.; Badiei, A. Effect of piperazine functionalization of mesoporous silica type SBA-15 on the loading efficiency of 2-mercaptobenzothiazole corrosion inhibitor. Ind. Eng. Chem. Res. 2020, 59, 3394–3404. [Google Scholar] [CrossRef]







| Name | Description |
|---|---|
| MSNP | Mesoporous Silica NanoParticle |
| MBT-MSNP | MSNP + physisorbed MBT |
| BTA-MSNP | MSNP + physisorbed BTA |
| fMSNP | 3-APTES-functionalized MSNP |
| MBT-fMSNP | fMSNP + entrapped MBT |
| BTA-fMSNP | fMSNP + entrapped BTA |
| Sample | TEM Image | SEM Image | Synthesis | Yield [%] | Average Size Particles [nm] |
|---|---|---|---|---|---|
| K-3 | ![]() | ![]() | W/O ratio 1:1 hydrothermal method 4 h | 41 | 700 |
| K-6 | ![]() | ![]() | W/O ratio 1:1 hydrothermal method 2 h | ≈4 | 325 |
| K-7 | ![]() | ![]() | W/O ratio 1:2.3 hydrothermal method 4 h | ≈60 | 630 |
| K-9 | ![]() | ![]() | W/O ratio 1:2.3 hydrothermal method 16 h | ≈80 | 630 |
| K-4 | ![]() | ![]() | W/O ratio 1:1 reflux method 24 h | 40 | 350 |
| K-5 | ![]() | ![]() | W/O ratio 1:1 reflux method 48 h | 86 | 450 |
| Sample | BET S.A. | Pore Volume | Pore Size | Loading Efficiency |
|---|---|---|---|---|
| [m2 g−1] | [cm2 g−1] | [nm] | [%] | |
| MSNP | 592 | 1.46 | 8.74 | - |
| BTA-MSNP | 270 | 0.71 | 9.63 | 51 |
| MBT-MSNP | 133 | 0.53 | 14.96 | 64 |
| fMSNP | 90 | 0.50 | 22.77 | - |
| BTA-fMSNP | 50 | 0.33 | 25.95 | 34 |
| MBT-fMSNP | 41 | 0.33 | 32.62 | 34 |
| Ref. | Silica | Corrosion Inhibitor | Max Time Release [min] | Trigger | Functionalities between MSN and Corrosion Inhibitor | Loading Efficiency |
|---|---|---|---|---|---|---|
| [58] | hollow | BTA | 30 | no | - | 52–99% |
| [59] | hollow | MBT | 1500 | no | - | 20% |
| [47] | functionalized | BTA | 200 | pH | CuSO4 | 43% |
| [60] | hollow | MBT | 600 | no | - | 72% |
| [16] | hollow | MBT | 12,000 | no | - | 68% |
| [43] | functionalized | BTA | 3600 | pH | AEPTS | 12% |
| [61] | functionalized | BTA | 420 | UV light | ICPES | 25% |
| [27] | functionalized | MBOH | 3000 | pH | AP | 25% |
| [28] | functionalized | BTA | 100 | pH | CuSO4 | ≈13% |
| [29] | functionalized | BTA | - | - | OTES | - |
| [62] | functionalized | MBT | 1500 | pH | piperazine | 13% |
| [30] | functionalized | BTA | 120 | pH | CPTES, BDA, CB | 64% |
Disclaimer/Publisher’s Note: The statements, opinions and data contained in all publications are solely those of the individual author(s) and contributor(s) and not of MDPI and/or the editor(s). MDPI and/or the editor(s) disclaim responsibility for any injury to people or property resulting from any ideas, methods, instructions or products referred to in the content. |
© 2023 by the authors. Licensee MDPI, Basel, Switzerland. This article is an open access article distributed under the terms and conditions of the Creative Commons Attribution (CC BY) license (https://creativecommons.org/licenses/by/4.0/).
Share and Cite
Marconi, E.; Luisetto, I.; Di Carlo, G.; Staccioli, M.P.; Tuti, S.; Tortora, L. 3-APTES on Dendritic Fibrous Mesoporous Silica Nanoparticles for the pH-Controlled Release of Corrosion Inhibitors. Nanomaterials 2023, 13, 2543. https://doi.org/10.3390/nano13182543
Marconi E, Luisetto I, Di Carlo G, Staccioli MP, Tuti S, Tortora L. 3-APTES on Dendritic Fibrous Mesoporous Silica Nanoparticles for the pH-Controlled Release of Corrosion Inhibitors. Nanomaterials. 2023; 13(18):2543. https://doi.org/10.3390/nano13182543
Chicago/Turabian StyleMarconi, Eleonora, Igor Luisetto, Gabriella Di Carlo, Maria Paola Staccioli, Simonetta Tuti, and Luca Tortora. 2023. "3-APTES on Dendritic Fibrous Mesoporous Silica Nanoparticles for the pH-Controlled Release of Corrosion Inhibitors" Nanomaterials 13, no. 18: 2543. https://doi.org/10.3390/nano13182543
APA StyleMarconi, E., Luisetto, I., Di Carlo, G., Staccioli, M. P., Tuti, S., & Tortora, L. (2023). 3-APTES on Dendritic Fibrous Mesoporous Silica Nanoparticles for the pH-Controlled Release of Corrosion Inhibitors. Nanomaterials, 13(18), 2543. https://doi.org/10.3390/nano13182543













