Scanning Photocurrent Microscopy in Single Crystal Multidimensional Hybrid Lead Bromide Perovskites
Abstract
:1. Introduction
2. Experiment
2.1. Perovskite Synthesis
2.2. Experimental Set-Up for SCPC Measurements
2.3. Characterization Techniques
3. Results and Discussion
3.1. Crystal Characterization
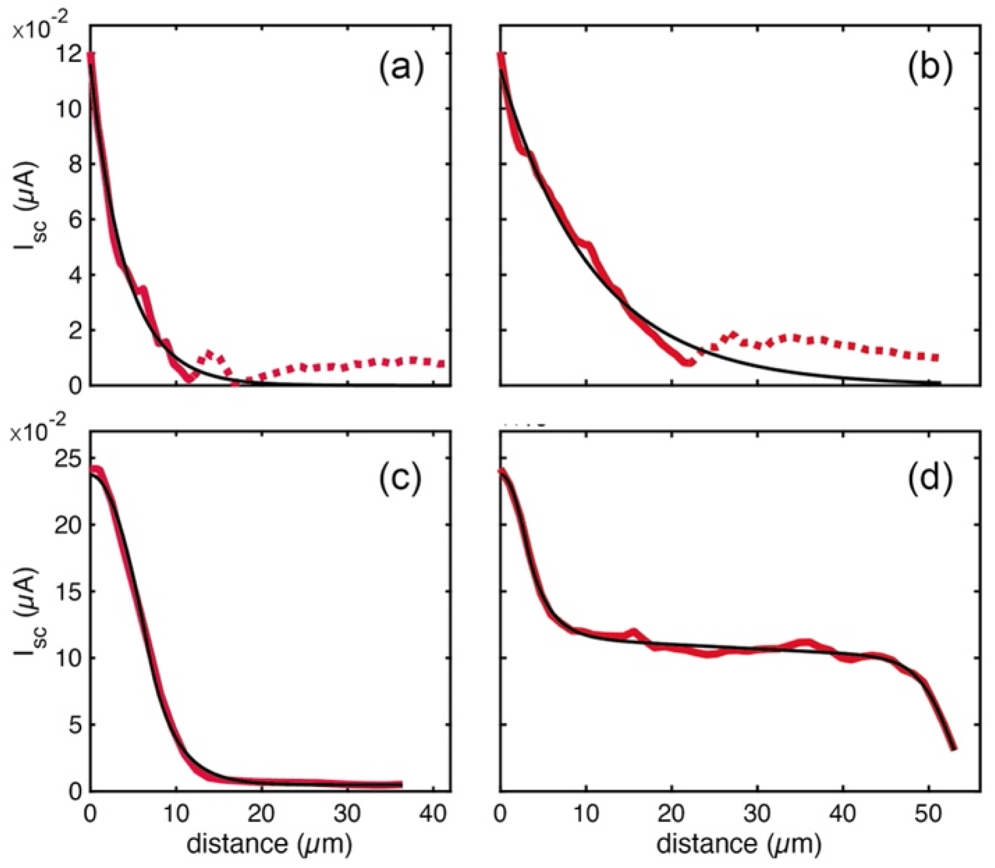
3.2. Scanning Photocurrent Microscopy
4. Conclusions
Supplementary Materials
Author Contributions
Funding
Data Availability Statement
Acknowledgments
Conflicts of Interest
References
- Bati, A.S.R.; Zhong, Y.L.; Burn, P.L.; Nazeeruddin, M.K.; Shaw, P.E.; Batmunkh, M. Next-generation applications for integrated perovskite solar cells. Commun. Mater. 2023, 4, 2. [Google Scholar] [CrossRef]
- Kieslich, G.; Sun, S.; Cheetham, A.K. An extended Tolerance Factor approach for organic–inorganic perovskites. Chem. Sci. 2015, 6, 3430–3433. [Google Scholar] [CrossRef] [PubMed]
- Liu, Y.; Guo, W.; Hua, L.; Zeng, X.; Yang, T.; Fan, Q.; Ma, Y.; Gao, C.; Sun, Z.; Luo, J. Giant Polarization Sensitivity via the Anomalous Photovoltaic Effect in a Two-Dimensional Perovskite Ferroelectric. J. Am. Chem. Soc. 2023, 145, 16193–16199. [Google Scholar] [CrossRef] [PubMed]
- Han, S.; Li, L.; Ji, C.; Liu, X.; Wang, G.-E.; Xu, G.; Sun, Z.; Luo, J. Visible-Photoactive Perovskite Ferroelectric-Driven Self-Powered Gas Detection. J. Am. Chem. Soc. 2023, 145, 12853–12860. [Google Scholar] [CrossRef] [PubMed]
- Pham, P.V.; Bodepudi, S.C.; Shehzad, K.; Liu, Y.; Xu, Y.; Yu, B.; Duan, X. 2D Heterostructures for Ubiquitous Electronics and Optoelectronics: Principles, Opportunities, and Challenges. Chem. Rev. 2022, 122, 6514–6613. [Google Scholar] [CrossRef] [PubMed]
- Mao, L.; Stoumpos, C.C.; Kanatzidis, M.G. Two-Dimensional Hybrid Halide Perovskites: Principles and Promises. J. Am. Chem. Soc. 2019, 141, 1171–1190. [Google Scholar] [CrossRef]
- Mitzi, D.B.; Chondroudis, K.; Kagan, C.R. Organic-inorganic electronics. IBM J. Res. Dev. 2001, 45, 29–45. [Google Scholar] [CrossRef]
- Frohna, K.; Stranks, S.D. 7–Hybrid Perovskites for Device Applications. In Handbook of Organic Materials for Electronic and Photonic Devices, 2nd ed.; Ostroverkhova, O., Ed.; Woodhead Publishing: Cambridge, UK, 2019; pp. 211–256. [Google Scholar] [CrossRef]
- Sherkar, T.S.; Momblona, C.; Gil-Escrig, L.; Ávila, J.; Sessolo, M.; Bolink, H.J.; Koster, L.J.A. Recombination in Perovskite Solar Cells: Significance of Grain Boundaries, Interface Traps, and Defect Ions. ACS Energy Lett. 2017, 2, 1214–1222. [Google Scholar] [CrossRef]
- Shrestha, S.; Li, X.; Tsai, H.; Hou, C.-H.; Huang, H.-H.; Ghosh, D.; Shyue, J.-J.; Wang, L.; Tretiak, S.; Ma, X.; et al. Long carrier diffusion length in two-dimensional lead halide perovskite single crystals. Chem 2022, 8, 1107–1120. [Google Scholar] [CrossRef]
- Turedi, B.; Lintangpradipto, M.N.; Sandberg, O.J.; Yazmaciyan, A.; Matt, G.J.; Alsalloum, A.Y.; Almasabi, K.; Sakhatskyi, K.; Yakunin, S.; Zheng, X.; et al. Single-Crystal Perovskite Solar Cells Exhibit Close to Half A Millimeter Electron-Diffusion Length. Adv. Mater. 2022, 34, e2202390. [Google Scholar] [CrossRef]
- Tian, W.; Zhao, C.; Leng, J.; Cui, R.; Jin, S. Visualizing Carrier Diffusion in Individual Single-Crystal Organolead Halide Perovskite Nanowires and Nanoplates. J. Am. Chem. Soc. 2015, 137, 12458–12461. [Google Scholar] [CrossRef] [PubMed]
- Misra, R.K.; Ciammaruchi, L.; Aharon, S.; Mogilyansky, D.; Etgar, L.; Visoly-Fisher, I.; Katz, E.A. Effect of Halide Composition on the Photochemical Stability of Perovskite Photovoltaic Materials. ChemSusChem 2016, 9, 2572–2577. [Google Scholar] [CrossRef] [PubMed]
- Guo, Z.; Wan, Y.; Yang, M.; Snaider, J.; Zhu, K.; Huang, L. Long-range hot-carrier transport in hybrid perovskites visualized by ultrafast microscopy. Science 2017, 356, 59–62. [Google Scholar] [CrossRef] [PubMed]
- Yang, Y.; Ostrowski, D.P.; France, R.M.; Zhu, K.; van de Lagemaat, J.; Luther, J.M.; Beard, M.C. Observation of a hot-phonon bottleneck in lead-iodide perovskites. Nat. Photonics 2016, 10, 53–59. [Google Scholar] [CrossRef]
- D’innocenzo, V.; Grancini, G.; Alcocer, M.J.P.; Kandada, A.R.S.; Stranks, S.D.; Lee, M.M.; Lanzani, G.; Snaith, H.J.; Petrozza, A. Excitons versus free charges in organo-lead tri-halide perovskites. Nat. Commun. 2014, 5, 3586. [Google Scholar] [CrossRef]
- Lang, D.V.; Henry, C.H. Scanning photocurrent microscopy: A new technique to study inhomogeneously distributed recombination centers in semiconductors. Solid-State Electron. 1978, 21, 1519–1524. [Google Scholar] [CrossRef]
- O’dea, J.R.; Brown, L.M.; Hoepker, N.; Marohn, J.A.; Sadewasser, S. Scanning probe microscopy of solar cells: From inorganic thin films to organic photovoltaics. MRS Bull. 2012, 37, 642–650. [Google Scholar] [CrossRef]
- Hao, Y.; He, C.; Xu, J.; Bao, Y.; Wang, H.; Li, J.; Luo, H.; An, M.; Zhang, M.; Zhang, Q.; et al. High-Performance van der Waals Photodetectors Based on 2D Ruddlesden–Popper Perovskite/MoS2 Heterojunctions. J. Phys. Chem. C 2022, 126, 16349–16356. [Google Scholar] [CrossRef]
- Ha, D.; Yoon, Y.; Park, I.J.; Cantu, L.T.; Martinez, A.; Zhitenev, N. Nanoscale Characterization of Photocurrent and Photovoltage in Polycrystalline Solar Cells. J. Phys. Chem. C 2023, 127, 11429–11437. [Google Scholar] [CrossRef]
- Xu, J.; Li, J.; Wang, H.; He, C.; Li, J.; Bao, Y.; Tang, H.; Luo, H.; Liu, X.; Yang, Y. A Vertical PN Diode Constructed of MoS2 /CsPbBr3 Heterostructure for High-Performance Optoelectronics. Adv. Mater. Interfaces 2022, 9, 2101487. [Google Scholar] [CrossRef]
- Fang, F.; Wan, Y.; Li, H.; Fang, S.; Huang, F.; Zhou, B.; Jiang, K.; Tung, V.; Li, L.-J.; Shi, Y. Two-Dimensional Cs2AgBiBr6/WS2 Heterostructure-Based Photodetector with Boosted Detectivity via Interfacial Engineering. ACS Nano 2022, 16, 3985–3993. [Google Scholar] [CrossRef] [PubMed]
- Wen, X.; Jia, B. New insight into carrier transport in 2D layered perovskites. Chem 2022, 8, 904–906. [Google Scholar] [CrossRef]
- Ahn, Y.; Dunning, J.; Park, J. Scanning Photocurrent Imaging and Electronic Band Studies in Silicon Nanowire Field Effect Transistors. Nano Lett. 2005, 5, 1367–1370. [Google Scholar] [CrossRef]
- Leite, M.S.; Abashin, M.; Lezec, H.J.; Gianfrancesco, A.; Talin, A.A.; Zhitenev, N.B. Nanoscale Imaging of Photocurrent and Efficiency in CdTe Solar Cells. ACS Nano 2014, 8, 11883–11890. [Google Scholar] [CrossRef] [PubMed]
- Otto, T.; Miller, C.; Tolentino, J.; Liu, Y.; Law, M.; Yu, D. Gate-Dependent Carrier Diffusion Length in Lead Selenide Quantum Dot Field-Effect Transistors. Nano Lett. 2013, 13, 3463–3469. [Google Scholar] [CrossRef] [PubMed]
- Lombardo, C.J.; Glaz, M.S.; Ooi, Z.-E.; Vanden Bout, D.A.; Dodabalapur, A. Scanning photocurrent microscopy of lateral organic bulk heterojunctions. Phys. Chem. Chem. Phys. 2012, 14, 13199–13203. [Google Scholar] [CrossRef]
- Graham, R.; Yu, D. Scanning photocurrent microscopy in semiconductor nanostructures. Mod. Phys. Lett. B 2013, 27, 1330018. [Google Scholar] [CrossRef]
- Ramiro-Manzano, F.; García-Aboal, R.; Fenollosa, R.; Biasi, S.; Rodriguez, I.; Atienzar, P.; Meseguer, F. Optical properties of organic/inorganic perovskite microcrystals through the characterization of Fabry–Pérot resonances. Dalton Trans. 2020, 49, 12798–12804. [Google Scholar] [CrossRef]
- Segura-Sanchis, E.; Fenollosa, R.; Rodriguez, I.; Molard, Y.; Cordier, S.; Feliz, M.; Atienzar, P. Octahedral Molybdenum Cluster-Based Single Crystals as Fabry–Pérot Microresonators. Cryst. Growth Des. 2022, 22, 60–65. [Google Scholar] [CrossRef]
- Rodriguez, I.; Fenollosa, R.; Ramiro-Manzano, F.; García-Aboal, R.; Atienzar, P.; Meseguer, F.J. Groove-assisted solution growth of lead bromide perovskite aligned nanowires: A simple method towards photoluminescent materials with guiding light properties. Mater. Chem. Front. 2019, 3, 1754–1760. [Google Scholar] [CrossRef]
- García-Aboal, R.; García, H.; Remiro-Buenamañana, S.; Atienzar, P. Expanding the photoresponse of multidimensional hybrid lead bromide perovskites into the visible region by incorporation of subphthalocyanine. Dalton Trans. 2021, 50, 6100–6108. [Google Scholar] [CrossRef]
- Lou, Y.; Zhang, S.; Gu, Z.; Wang, N.; Wang, S.; Zhang, Y.; Song, Y. Perovskite single crystals: Dimensional control, optoelectronic properties, and applications. Mater. Today 2023, 62, 225–250. [Google Scholar] [CrossRef]
- Rong, S.-S.; Faheem, M.B.; Li, Y.-B. Perovskite single crystals: Synthesis, properties, and applications. J. Electron. Sci. Technol. 2021, 19, 100081. [Google Scholar] [CrossRef]
- Xiao, R.; Hou, Y.; Fu, Y.; Peng, X.; Wang, Q.; Gonzalez, E.; Jin, S.; Yu, D. Photocurrent Mapping in Single-Crystal Methylammonium Lead Iodide Perovskite Nanostructures. Nano Lett. 2016, 16, 7710–7717. [Google Scholar] [CrossRef] [PubMed]
- Yang, B.; Chen, J.; Shi, Q.; Wang, Z.; Gerhard, M.; Dobrovolsky, A.; Scheblykin, I.G.; Karki, K.J.; Han, K.; Pullerits, T. High Resolution Mapping of Two-Photon Excited Photocurrent in Perovskite Microplate Photodetector. J. Phys. Chem. Lett. 2018, 9, 5017–5022. [Google Scholar] [CrossRef] [PubMed]
- Ganesh, N.; Ghorai, A.; Krishnamurthy, S.; Banerjee, S.; Narasimhan, K.L.; Ogale, S.B.; Narayan, K.S. Impact of trap filling on carrier diffusion in MAPbBr3 single crystals. Phys. Rev. Mater. 2020, 4, 084602. [Google Scholar] [CrossRef]
- Zhang, F.; Yang, B.; Li, Y.; Deng, W.; He, R. Extra long electron–hole diffusion lengths in CH3NH3PbI3−xClx perovskite single crystals. J. Mater. Chem. C 2017, 5, 8431–8435. [Google Scholar] [CrossRef]
- Fu, D.; Zou, J.; Wang, K.; Zhang, R.; Yu, D.; Wu, J. Electrothermal Dynamics of Semiconductor Nanowires under Local Carrier Modulation. Nano Lett. 2011, 11, 3809–3815. [Google Scholar] [CrossRef]
- Wei, Y.-C.; Chu, C.-H.; Mao, M.-H. Minority carrier decay length extraction from scanning photocurrent profiles in two-dimensional carrier transport structures. Sci. Rep. 2021, 11, 21863. [Google Scholar] [CrossRef]
- Teng, P.; Reichert, S.; Xu, W.; Yang, S.-C.; Fu, F.; Zou, Y.; Yin, C.; Bao, C.; Karlsson, M.; Liu, X.; et al. Degradation and self-repairing in perovskite light-emitting diodes. Matter 2021, 4, 3710–3724. [Google Scholar] [CrossRef]
- Huang, B.; Clark, G.; Navarro-Moratalla, E.; Klein, D.R.; Cheng, R.; Seyler, K.L.; Zhong, D.; Schmidgall, E.; McGuire, M.A.; Cobden, D.H.; et al. Layer-dependent ferromagnetism in a van der Waals crystal down to the monolayer limit. Nature 2017, 546, 270–273. [Google Scholar] [CrossRef] [PubMed]
- Tisdale, J.T.; Smith, T.; Salasin, J.R.; Ahmadi, M.; Johnson, N.; Ievlev, A.V.; Koehler, M.; Rawn, C.J.; Lukosi, E.; Hu, B. Precursor purity effects on solution-based growth of MAPbBr3 single crystals towards efficient radiation sensing. CrystEngComm 2018, 20, 7818–7825. [Google Scholar] [CrossRef]
- Peng, W.; Wang, L.; Murali, B.; Ho, K.-T.; Bera, A.; Cho, N.; Kang, C.-F.; Burlakov, V.M.; Pan, J.; Sinatra, L.; et al. Solution-Grown Monocrystalline Hybrid Perovskite Films for Hole-Transporter-Free Solar Cells. Adv. Mater. 2016, 28, 3383–3390. [Google Scholar] [CrossRef] [PubMed]
- Shen, H.; Nan, R.; Jian, Z.; Li, X. Defect step controlled growth of perovskite MAPbBr3 single crystal. J. Mater. Sci. 2019, 54, 11596–11603. [Google Scholar] [CrossRef]
- Di, J.; Li, H.; Chen, L.; Zhang, S.; Hu, Y.; Sun, K.; Peng, B.; Su, J.; Zhao, X.; Fan, Y.; et al. Low Trap Density Para-F Substituted 2D PEA2PbX4 (X = Cl, Br, I) Single Crystals with Tunable Optoelectrical Properties and High Sensitive X-ray Detector Performance. Research 2022, 2022, 9768019. [Google Scholar] [CrossRef] [PubMed]
- Dhanabalan, B.; Leng, Y.-C.; Biffi, G.; Lin, M.-L.; Tan, P.-H.; Infante, I.; Manna, L.; Arciniegas, M.P.; Krahne, R. Directional Anisotropy of the Vibrational Modes in 2D-Layered Perovskites. ACS Nano 2020, 14, 4689–4697. [Google Scholar] [CrossRef]
- Tien, C.-H.; Lee, K.-L.; Tao, C.-C.; Lin, Z.-Q.; Lin, Z.-H.; Chen, L.-C. Two-Dimensional (PEA)2PbBr4 Perovskites Sensors for Highly Sensitive Ethanol Vapor Detection. Sensors 2022, 22, 8155. [Google Scholar] [CrossRef]
- Cohen, B.-E.; Wierzbowska, M.; Etgar, L. High Efficiency and High Open Circuit Voltage in Quasi 2D Perovskite Based Solar Cells. Adv. Funct. Mater. 2017, 27, 1604733. [Google Scholar] [CrossRef]
- Yang, T.; Li, F.; Lin, C.-H.; Guan, X.; Yao, Y.; Yang, X.; Wu, T.; Zheng, R. One-pot solution synthesis of 2D-3D mixed-dimensional perovskite crystalline lateral heterostructures. Cell Rep. Phys. Sci. 2023, 4, 101447. [Google Scholar] [CrossRef]
- Jiang, Y.; Yuan, J.; Ni, Y.; Yang, J.; Wang, Y.; Jiu, T.; Yuan, M.; Chen, J. Reduced-Dimensional α-CsPbX3 Perovskites for Efficient and Stable Photovoltaics. Joule 2018, 2, 1356–1368. [Google Scholar] [CrossRef]
- Li, S.; Hu, L.; Zhang, C.; Wu, Y.; Liu, Y.; Sun, Q.; Cui, Y.; Hao, Y.; Wu, Y. In situ growth of a 2D/3D mixed perovskite interface layer by seed-mediated and solvent-assisted Ostwald ripening for stable and efficient photovoltaics. J. Mater. Chem. C 2020, 8, 2425–2435. [Google Scholar] [CrossRef]
- Yoo, H.-S.; Park, N.-G. Post-treatment of perovskite film with phenylalkylammonium iodide for hysteresis-less perovskite solar cells. Sol. Energy Mater. Sol. Cells 2018, 179, 57–65. [Google Scholar] [CrossRef]
- Zhang, Y.; Lim, C.-K.; Dai, Z.; Yu, G.; Haus, J.W.; Zhang, H.; Prasad, P.N. Photonics and optoelectronics using nano-structured hybrid perovskite media and their optical cavities. Phys. Rep. 2019, 795, 1–51. [Google Scholar] [CrossRef]
- García-Aboal, R.; Fenollosa, R.; Ramiro-Manzano, F.; Rodríguez, I.; Meseguer, F.; Atienzar, P. Single Crystal Growth of Hybrid Lead Bromide Perovskites Using a Spin-Coating Method. ACS Omega 2018, 3, 5229–5236. [Google Scholar] [CrossRef] [PubMed]
- Kim, D.; Vasileiadou, E.S.; Spanopoulos, I.; Kanatzidis, M.G.; Tu, Q. In-Plane Mechanical Properties of Two-Dimensional Hybrid Organic–Inorganic Perovskite Nanosheets: Structure–Property Relationships. ACS Appl. Mater. Interfaces 2021, 13, 31642–31649. [Google Scholar] [CrossRef]
- Rathore, S.; Leong, W.L.; Singh, A. Mechanical properties estimation of 2D–3D mixed organic-inorganic perovskites based on methylammonium and phenylethyl-ammonium system using a combined experimental and first-principles approach. J. Alloys Compd. 2023, 936, 168328. [Google Scholar] [CrossRef]






Disclaimer/Publisher’s Note: The statements, opinions and data contained in all publications are solely those of the individual author(s) and contributor(s) and not of MDPI and/or the editor(s). MDPI and/or the editor(s) disclaim responsibility for any injury to people or property resulting from any ideas, methods, instructions or products referred to in the content. |
© 2023 by the authors. Licensee MDPI, Basel, Switzerland. This article is an open access article distributed under the terms and conditions of the Creative Commons Attribution (CC BY) license (https://creativecommons.org/licenses/by/4.0/).
Share and Cite
Segura-Sanchis, E.; García-Aboal, R.; Fenollosa, R.; Ramiro-Manzano, F.; Atienzar, P. Scanning Photocurrent Microscopy in Single Crystal Multidimensional Hybrid Lead Bromide Perovskites. Nanomaterials 2023, 13, 2570. https://doi.org/10.3390/nano13182570
Segura-Sanchis E, García-Aboal R, Fenollosa R, Ramiro-Manzano F, Atienzar P. Scanning Photocurrent Microscopy in Single Crystal Multidimensional Hybrid Lead Bromide Perovskites. Nanomaterials. 2023; 13(18):2570. https://doi.org/10.3390/nano13182570
Chicago/Turabian StyleSegura-Sanchis, Elena, Rocío García-Aboal, Roberto Fenollosa, Fernando Ramiro-Manzano, and Pedro Atienzar. 2023. "Scanning Photocurrent Microscopy in Single Crystal Multidimensional Hybrid Lead Bromide Perovskites" Nanomaterials 13, no. 18: 2570. https://doi.org/10.3390/nano13182570
APA StyleSegura-Sanchis, E., García-Aboal, R., Fenollosa, R., Ramiro-Manzano, F., & Atienzar, P. (2023). Scanning Photocurrent Microscopy in Single Crystal Multidimensional Hybrid Lead Bromide Perovskites. Nanomaterials, 13(18), 2570. https://doi.org/10.3390/nano13182570

