Carbon-in-Silicate Nanohybrid Constructed by In Situ Confined Conversion of Organics in Rectorite for Complete Removal of Dye from Water
Abstract
:1. Introduction
2. Materials and Methods
2.1. Materials
2.2. Synthesis of Carbon-in-Silicate Nanohybrid Composites
2.3. Adsorption Experiments
2.3.1. Adsorption Performance Test
2.3.2. Test for Adsorption Efficiency of R/C-2HA4h Composite
2.4. Characterizations
3. Results and Discussion
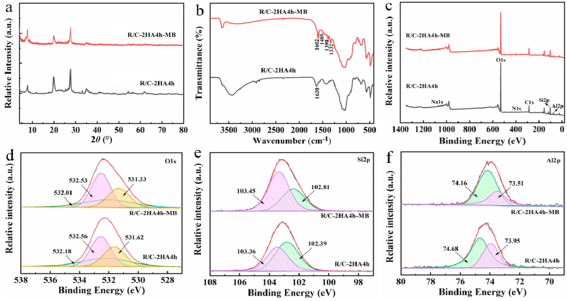
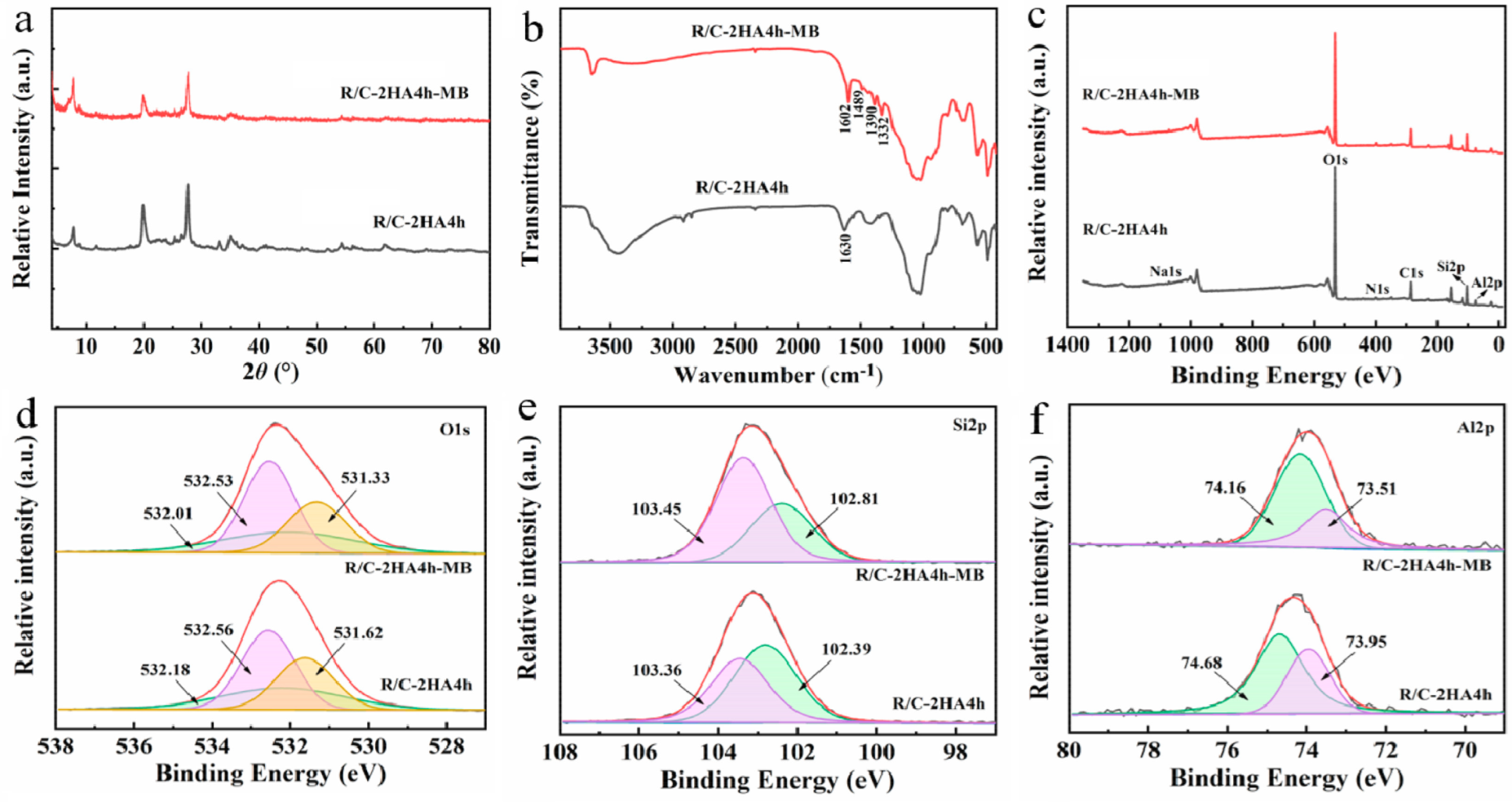
3.1. Structure and Morphology of Composites
3.2. Raman Spectra Analysis
3.3. BET Pore Structure Analysis
3.4. Influence of Adsorption Conditions
3.4.1. Influence of Synthesis Parameters
3.4.2. Effect of pH Values
3.4.3. Adsorption Kinetics and Isotherms
3.4.4. Removal Efficiency
3.4.5. Single/Co-Adsorption in Real Water and Deionized Water
3.4.6. Reusability and Cost Analysis
3.4.7. Adsorption Mechanism
4. Conclusions
Supplementary Materials
Author Contributions
Funding
Data Availability Statement
Conflicts of Interest
References
- Postai, D.L.; Demarchi, C.A.; Zanatta, F.; Melo, D.C.C.; Rodrigues, C.A. Adsorption of rhodamine B and methylene blue dyes using waste of seeds of Aleurites Moluccana, a low cost adsorbent. Alex. Eng. J. 2016, 55, 1713–1723. [Google Scholar] [CrossRef]
- Ibrahim, Y.; Meslam, M.; Eid, K.; Salah, B.; Abdullah, A.M.; Ozoemena, K.I.; Elzatahry, A.; Sharaf, M.A.; Sillanp, M. A review of MXenes as emergent materials for dye removal from wastewater. Sep. Purif. Technol. 2022, 282, 120083. [Google Scholar] [CrossRef]
- Wang, Y.W.; Wang, W.B. Multiffunctional materials with controllable super-wettability for oil-water separation and removal of pollutants: Design, emerging applications and challenges. Carbon Neutralization 2023, 2, 378–412. [Google Scholar] [CrossRef]
- Motaghi, H.; Arabkhani, P.; Parvinnia, M.; Asfaram, A. Simultaneous adsorption of cobalt ions, azo dye, and imidacloprid pesticide on the magnetic chitosan/activated carbon@UiO-66 bio-nanocomposite: Optimization, mechanisms, regeneration, and application. Sep. Purif. Technol. 2022, 284, 120258. [Google Scholar] [CrossRef]
- Qiu, B.B.; Shao, Q.N.; Shi, J.C.; Yang, C.H.; Chu, H.Q. Application of biochar for the adsorption of organic pollutants from wastewater: Modification strategies, mechanisms and challenges. Sep. Purif. Technol. 2022, 300, 121925. [Google Scholar] [CrossRef]
- Sun, H.P.; Liu, Z.; Liu, X.Q.; Yu, C.L.; Wei, L.F. Preparation and characterization of Ppy/Bi2MoO6 microspheres with highly photocatalytic performance for removal of highly concentrated organic dyes. Mater. Today Sustain. 2022, 19, 100154. [Google Scholar] [CrossRef]
- Wang, X.; Zhang, H.; He, Q.D.; Xing, H.F.; Feng, K.; Guo, F.; Wang, W.W. Core-shell alginate beads as green reactor to synthesize grafted composite beads to efficiently boost single/co-adsorption of dyes and Pb(II). Int. J. Biol. Macromol. 2022, 206, 10–20. [Google Scholar] [CrossRef]
- Tochetto, G.A.; De, O.D.; Hotza, D.; Immich, A.P.S.; Simao, L. Porous geopolymers as dye adsorbents: Review and perspectives. J. Clean. Prod. 2022, 374, 133982. [Google Scholar] [CrossRef]
- Fang, K.; Deng, L.G.; Yin, J.Y.; Yang, T.H.; Li, J.B.; He, W. Recent advances in starch-based magnetic adsorbents for the removal of contaminants from wastewater: A review. Int. J. Biol. Macromol. 2022, 218, 909–929. [Google Scholar] [CrossRef]
- Mandal, S.; Calderon, J.; Marpu, S.B.; Omary, M.A.; Shi, S.Q. Mesoporous activated carbon as a green adsorbent for the removal of heavy metals and Congo red: Characterization, adsorption kinetics, and isotherm studies. J. Contam. Hydrol. 2021, 243, 103869. [Google Scholar] [CrossRef]
- Kumari, M.; Chaudhary, G.R.; Chaudhary, S.; Umar, A. Transformation of solid plastic waste to activated carbon fibres for wastewater treatment. Chemosphere 2022, 294, 133692. [Google Scholar] [CrossRef] [PubMed]
- Ma, W.Y.; Liu, X.Y.; Lu, H.; He, Q.D.; Ding, K.; Wang, X.H.; Wang, W.B.; Guo, F. Chitosan-based composite hydrogel with a rigid-in-flexible network structure for pH-universal ultra-efficient removal of dye. Int. J. Biol. Macromol. 2023, 241, 124579. [Google Scholar] [CrossRef]
- Njuguni, D.G.; Schnherr, S. Smart and regeneratable Xanthan gum hydrogel adsorbents for selective removal of cationic dyes. J. Environ. Chem. Eng. 2022, 10, 107620. [Google Scholar] [CrossRef]
- Wan, X.X.; Rong, Z.H.; Zhu, K.X.; Wu, Y.M. Chitosan-based dual network composite hydrogel for efficient adsorption of methylene blue dye. Int. J. Biol. Macromol. 2022, 222 Pt A, 725–735. [Google Scholar] [CrossRef]
- Wang, W.B.; Tian, G.Y.; Zhang, Z.F.; Wang, A.Q. A simple hydrothermal approach to modify palygorskite for high-efficient adsorption of Methylene blue and Cu(II) ions. Chem. Eng. J. 2015, 265, 228–238. [Google Scholar] [CrossRef]
- Joshi, P.; Raturi, A.; Srivastava, M.; Khatri, O.P. Graphene oxide, kaolinite clay and PVA-derived nanocomposite aerogel as a regenerative adsorbent for wastewater treatment applications. J. Environ. Chem. Eng. 2022, 10, 108597. [Google Scholar] [CrossRef]
- Mukherjee, D.; Das, P.; Prasad, G.N.; Katha, A.R.; Gumma, S.; Mandal, B. Hierarchical graphite oxide decorated UiO-66 for ultrahigh adsorption of dye with synergistic effect of ultrasonication: Experimental and density functional theory study. Sep. Purif. Technol. 2022, 294, 121217. [Google Scholar] [CrossRef]
- Wang, F.; Li, L.; Iqbal, J.; Yang, Z.R.; Du, Y.P. Preparation of magnetic chitosan corn straw biochar and its application in adsorption of amaranth dye in aqueous solution. Int. J. Biol. Macromol. 2022, 199, 234–242. [Google Scholar] [CrossRef]
- Shu, Q.; Qiu, W.; Luo, M.; Xiao, L. Morphology-controlled hydrothermal synthesis of copper selenides with orange juice for highly efficient cationic dyes adsorption. Mater. Today Sustain. 2022, 17, 100094. [Google Scholar] [CrossRef]
- Dai, X.J.; Yi, W.; Yin, C.Q.; Li, K.L.; Feng, L.; Zhou, Q.; Yi, Z.Y.; Zhang, X.B.; Wang, Y.L.; Yu, Y.L.; et al. 2D-3D magnetic NiFe layered double hydroxide decorated diatomite as multi-function material for anionic, cationic dyes, arsenate, and arsenite adsorption. Appl. Clay Sci. 2022, 229, 106664. [Google Scholar] [CrossRef]
- Kumar, A.S.K.; Warchol, J.; Matusik, J.; Tseng, W.L.; Bajda, N.R.T. Heavy metal and organic dye removal via a hybrid porous hexagonal boron nitride-based magnetic aerogel. NPJ Clean Water 2022, 5, 24. [Google Scholar] [CrossRef]
- Ewis, D.; M.Ba-Abbad, M.; Benamor, A.; H.EI-Naas, M. Adsorption of organic water pollutants by clays and clay minerals composites: A comprehensive review. Appl. Clay Sci. 2022, 229, 106686. [Google Scholar] [CrossRef]
- Lan, D.W.; Zhu, H.W.; Zhang, J.W.; Li, S.; Chen, Q.H.; Wang, C.X.; Wu, T.; Xu, M.X. Adsorptive removal of organic dyes via porous materials for wastewater treatment in recent decades: A review on species, mechanisms and perspectives. Chemosphere 2022, 293, 133464. [Google Scholar]
- Wu, X.P.; Xu, Y.Q.; Zhang, X.L.; Wu, Y.C.; Gao, P. Adsorption of low-concentration methylene blue onto a palygorskite/carbon composite. New Carbon Mater. 2015, 30, 71–78. [Google Scholar] [CrossRef]
- Zhang, H.; He, Q.D.; Zhao, W.T.; Guo, F.; Han, L.; Wang, W.B. Superior dyes removal by a recyclable magnetic silicate@Fe3O4 adsorbent synthesized from abundant natural mixed clay. Chem. Eng. Res. Des. 2021, 175, 272–282. [Google Scholar] [CrossRef]
- Zhao, Q.H.; Yin, W.W.; Long, C.H.; Jiang, Z.Y.; Jiang, J.L.; Yang, H.M. Insights into the adsorption behaviour and mechanism of tetracycline on rectorite mineral: Influence of surface and structure evolution. Appl. Clay Sci. 2022, 229, 106698. [Google Scholar] [CrossRef]
- Xie, W.M.; Wang, J.; Fu, L.J.; Tan, Q.; Tan, X.M.; Yang, H.M. Evolution of the crystallographic structure and physicochemical aspects of rectorite upon calcination. Appl. Clay Sci. 2019, 185, 105374. [Google Scholar] [CrossRef]
- Chen, H.Y.; Lu, C.; Yang, H.M. Lanthanum compounds-modified rectorite composites for highly efficient phosphate removal from wastewater. Appl. Clay Sci. 2020, 199, 105875. [Google Scholar]
- Zhu, R.L.; Chen, Q.Z.; Wang, X.; Wang, S.Y.; Zhu, J.X.; He, H.P. Templated synthesis of nitrogen-doped graphene-like carbon materials using spent montmorillonite. RSC Adv. 2015, 5, 7522–7528. [Google Scholar] [CrossRef]
- Wang, W.B.; Lu, T.T.; Chen, Y.L.; Tian, G.Y.; Sharma, V.K.; Zhu, Y.F.; Zong, L.; Wang, A.Q. Mesoporous silicate/carbon composites derived from dye-loaded palygorskite clay waste for efficient removal of organic contaminants. Sci. Total Environ. 2019, 696, 133955. [Google Scholar] [CrossRef]
- Tian, G.Y.; Wang, W.B.; Zong, L.; Kang, Y.R.; Wang, A.Q. From spent dye-loaded palygorskite to a multifunctional palygorskite/carbon/Ag nanocomposite. RSC Adv. 2016, 6, 41696–41706. [Google Scholar] [CrossRef]
- Zhai, P.X.; Liu, H.B.; Sun, F.W.; Chen, T.H.; Zou, X.H.; Wang, H.L.; Chu, Z.Y.; Wang, C.; Liu, M.; Chen, D. Carbonization of methylene blue adsorbed on palygorskite for activating peroxydisulfate to degrade bisphenol A: An electron transfer mechanism. Appl. Clay Sci. 2022, 216, 106327. [Google Scholar] [CrossRef]
- Tian, C.S.; Rao, Y.Z.; Su, G.; Huang, T.; Xiang, C.R. The Thermal Decomposition Behavior of Pyrite-Pyrrhotite Mixtures in Nitrogen Atmosphere. J. Chem. 2022, 2022, 1–11. [Google Scholar] [CrossRef]
- Chen, Q.Z.; Liu, H.M.; Zhu, R.L.; Wang, X.; Wang, S.Y.; Zhu, J.X.; He, H.P. Facile synthesis of nitrogen and sulfur co-doped graphene-like carbon materials using methyl blue/montmorillonite composites. Microporous Mesoporous Mater. 2016, 225, 137–143. [Google Scholar] [CrossRef]
- Chen, H.; Zhao, Y.G.; Wang, A.Q. Removal of Cu(II) from aqueous solution by adsorption onto acid-activated palygorskite. J. Hazard. Mater. 2007, 149, 346–354. [Google Scholar]
- Li, Z.H.; Chang, P.H.; Jiang, W.T.; Jean, J.S.; Hong, H.L. Mechanism of methylene blue removal from water by swelling clays. Chem. Eng. J. 2011, 168, 1193–1200. [Google Scholar] [CrossRef]
- Xiong, L.; Yang, Y.; Mai, J.X.; Zhang, C.Y.; Wei, D.P.; Chen, Q.; Ni, J. Adsorption behavior of methylene blue onto titanate nanotubes. Chem. Eng. J. 2010, 156, 313–320. [Google Scholar] [CrossRef]
- Regmi, P.; Moscoso, J.L.G.; Kumar, S.; Cao, X.Y.; Mao, J.D.; Schafran, G. Removal of copper and cadmium from aqueous solution using switchgrass biochar produced via hydrothermal carbinization process. J. Environ. Manag. 2012, 109, 61–69. [Google Scholar] [CrossRef]
- Ruiz-Hitzky, E.; Darder, M.; Fernandes, F.M.; Zatile, E.; Palomares, F.J.; Aranda, P. Supported graphene from natural resources: Easy preparation and applications. Adv. Mater. 2011, 23, 5250–5255. [Google Scholar] [CrossRef]
- Zhow, X.; Wang, P.L.; Zhang, Y.G.; Wang, L.L.; Zhang, L.T.; Zhang, L.; Xu, L.; Liu, L. Biomass based nitrogen-doped structure-tunable versatile porous carbon materials. J. Mater. Chem. A 2017, 5, 12958–12968. [Google Scholar] [CrossRef]
- Li, T.; Shen, J.F.; Huang, S.T.; Li, N.; Ye, M.X. Hydrothermal carbonization synthesis of a novel montmorillonite supported carbon nanosphere adsorbent for removal of Cr(VI) from waste water. Appl. Clay Sci. 2014, 93–94, 48–55. [Google Scholar] [CrossRef]
- Sing, K.S.W. Reporting physisorption data for gas/solid systems with special reference to the determination of surface area and porosity (Provisional). Pure Appl. Chem. 1985, 57, 603–619. [Google Scholar] [CrossRef]
- Kumar, A.S.K.; Kalidhasan, S.; Rajesh, V.; Rajesh, N. A meticulous study on the adsorption of mercury as tetrachloromercurate (II) anion with trioctylamine modified sodium montmorillonite and its application to a coal fly ash sample. Ind. Eng. Chem. Res. 2012, 51, 11312–11327. [Google Scholar] [CrossRef]
- Potgieter, J.H.; Potgieter-Vermaak, S.S.; Kalibantonga, P.D. Heavy metals removal from solution by palygorskite clay. Miner. Eng. 2006, 19, 463–470. [Google Scholar] [CrossRef]
- Zhang, Y.; Li, Y.H.; Wang, M.Z.; Chen, B.; Sun, Y.H.; Chen, K.W.; Du, Q.J.; Pi, X.X.; Wang, Y.Q. Adsorption of Methylene Blue from Aqueous Solution Using Gelatin-Based Carboxylic Acid-Functionalized Carbon Nanotubes@Metal–Organic Framework Composite Beads. Nanomaterials 2022, 12, 2533. [Google Scholar] [CrossRef] [PubMed]
- Adel, M.; Ahmed, M.A.; Mohamed, A.A. A facile and rapid removal of cationic dyes using hierarchically porous reduced graphene oxide decorated with manganese ferrite. FlatChem 2021, 26, 100233. [Google Scholar] [CrossRef]
- Yahya, C.J.F.b.; Choong, T.S.Y.; Li, F.; Ghani, W.A.W.A.K.; Aziz, F.N.A.A.; Jamil, S.N.A.M. Tailing Ash for the Removal of Methylene Blue from Aqueous Solutions by Batch Adsorption. Processes 2023, 11, 2282. [Google Scholar] [CrossRef]
- Iamail, H.K.; Ali, L.I.A.; Alesary, H.F.; Nile, B.K.; Barton, S. Synthesis of a poly(p-aminophenol)/starch/graphene oxide ternary nanocomposite for removal of methylene blue dye from aqueous solution. J. Polym. Res. 2022, 29, 1–22. [Google Scholar]
- Tang, Z.Q.; Hu, X.S.; Ding, H.Y.; Li, Z.J.; Liang, R.; Sun, G.X. Villi-like poly(acrylic acid) based hydrogel adsorbent with fast and highly efficient methylene blue removing ability. J. Colloid Interface Sci. 2021, 594, 54–63. [Google Scholar] [CrossRef]
- Xu, J.; Fu, M.Y.; Ma, Q.H.; Zhang, X.P.; You, C.H.; Shi, Z.F.; Lin, Q.; Wang, X.H.; Feng, W. Modification of biochar by phosphoric acid via wet pyrolysis and using it for adsorption of methylene blue. RSC Adv. 2023, 13, 15327–15333. [Google Scholar] [CrossRef]
- Nnaji, N.J.N.; Sonde, C.U.; Nwanji, O.L.; Ezeh, G.C.; Onuigbo, A.U.; Ojukwu, A.M.; Mbah, P.C.; Adewumi, A.O.; Unoka, E.C.; Otedo, J.O.; et al. Dacryodes edulis leaf derived biochar for methylene blue biosorption. J. Environ. Chem. Eng. 2023, 11, 109638. [Google Scholar] [CrossRef]
- Graba, Z.; Akkari, I.; Bezzi, N.; Kaci, M.M. Valorization of olive–pomace as a green sorbent to remove Basic Red 46 (BR46) dye from aqueous solution. Biomass Convers. Biorefinery 2022. [Google Scholar] [CrossRef]
- Asl, M.N.; Mahmodi, N.M.; Teymouri, P.; Shahmoradi, B.; Rezaee, R.; Maleki, A. Adsorption of organic dyes using copper oxide nanoparticles: Isotherm and kinetic studies. Desalination Water Treat. 2016, 57, 25278–25287. [Google Scholar]
- Gucbilmez, Y.; Yavuz, Y.; Calis, I.; Yargic, A.S.; Koparal, A.S. Low temperature synthesis of MCM-48 and its adsorbent capacity for the removal of basic red 29 dye from model solutions. Helivon 2023, 9, 15659. [Google Scholar]
- Al-Harby, N.F.; Almutairi, R.S.; Elmehbad, N.Y.; Mohamed, N.A. A novel O-carboxymethyl chitosan-based hydrogel of an outstanding adsorption performance for removal of cationic Basic Red 12 dye from its aqueous solution. Polym. Eng. Sci. 2023, 63, 2336–2353. [Google Scholar] [CrossRef]
- Kapoor, D.R.T.; Sivamani, D.S. Adsorptive Potential of Orange Peel Biochar for Removal of Basic Red 46 Dye and Phytotoxicity Analysis. Chem. Eng. Technol. 2023, 46, 756–765. [Google Scholar] [CrossRef]
- Cai, Y.H.; Tang, B.; Bin, L.Y.; Huang, S.S.; Li, P.; Fu, F.L. Constructing a multi-layer adsorbent for controllably selective adsorption of various ionic dyes from aqueous solution by simply adjusting pH. Chem. Eng. J. 2020, 382, 122829. [Google Scholar] [CrossRef]
- Li, H.J.; Miao, L.; Zhao, G.Q.; Jia, W.Z.; Zhu, Z.R. Preparation of high-performance chitosan adsorbent by cross-linking for adsorption of Reactive Red 2 (RR2) dye wastewater. J. Environ. Chem. Eng. 2022, 10, 108872. [Google Scholar] [CrossRef]
- Cai, K.; Shen, W.; Ren, B.Y.; He, J.; Wu, S.Z.; Wang, W. A Phytic acid modified CoFe2O4 magnetic adsorbent with controllable morphology, excellent selective adsorption for dyes and ultra-strong adsorption ability for metal ions. J. Environ. Chem. Eng. J. 2017, 330, 936–946. [Google Scholar] [CrossRef]
- Shi, J.D.; Guo, C.; Lei, C.Y.; Liu, Y.Y.; Hou, X.H.; Zheng, X.; Hu, Q. High-performance biochar derived from the residue of Chaga mushroom (Inonotus obliquus) for pollutants removal. Bioresour. Technol. 2022, 344, 126268. [Google Scholar] [CrossRef] [PubMed]
- Hsiao, M.C.; Ma, C.C.M.; Chiang, J.C.; Ho, K.K.; Chou, T.Y.; Xie, X.F.; Tsai, C.H.; Chang, L.H.; Hsieh, C.K. Thermally conductive and electrically insulating epoxy nanocomposites with thermally reduced graphene oxide-silica hybrid nanosheets. Nanoscale 2013, 5, 5863–5871. [Google Scholar] [CrossRef]
- Wang, W.B.; Zhao, W.T.; Zhang, H.; Xu, J.; Zong, L.; Kang, Y.R.; Wang, A.Q. Mesoporous polymetallic silicate derived from naturally abundant mixed clay: A potential robust adsorbent for removal of cationic dye and antibiotic. Powder Technol. 2021, 390, 303–314. [Google Scholar] [CrossRef]
- Shi, Y.W.; Chang, Q.T.; Zhang, W.; Song, G.B.; Sun, Y.; Ding, G.H. A review on selective dye adsorption by different mechanisms. J. Environ. Chem. Eng. 2022, 10, 108639. [Google Scholar] [CrossRef]
- Langmuir, I. The Constitution and fundamental properties of solids and liquids. II. liquids. J. Am. Chem. Soc. 1916, 39, 1848–1906. [Google Scholar] [CrossRef]
- Freundlich, H. Over the adsorption in solution. J. Phys. Chem. 1906, 57, 1100–1107. [Google Scholar]
- Ho, Y.S. A review of potentially low cost adsorbent for heavy metals. Scientometrics 2004, 59, 171–177. [Google Scholar]
- Ho, Y.S.; Fellow, M.K. A Comparison of Chemisorption Kinetic Models Applied to Pollutant Removal on Various Sorbents. Process Saf. Environ. Prot. 1998, 76, 332–340. [Google Scholar] [CrossRef]










| Adsorbents | Dyes | Initial Concentration (mg/L) | r (%) (optimal pH) | Ref. |
|---|---|---|---|---|
| F-CNTs@MOF@Gel | MB | 100 | 81 (pH 7.89) | [45] |
| MnFe2O4/rGO | MB | 100 | 95 (pH 7) | [46] |
| Tailing Ash | MB | 20 | 96.2 (pH 10) | [47] |
| PpAP/Starch/GO | MB | 100 | 96.7 (pH 7) | [48] |
| CNS/(PAAc-MAC) | MB | 50 | 98 (pH 7) | [49] |
| Algal Biochar | MB | 100 | 97.5 (pH 7) | [50] |
| Carbonized Dacryodes edulis leaf | MB | 100 | 93 (pH 4) | [51] |
| R/C-2HA4h | MB | 25 | 99.6 (pH 6) | This work |
| Valorization of olive–pomace | BR | 200 | 90 (pH 7) | [52] |
| CuO nanoparticles | BR | 10 | 80 (pH 7) | [53] |
| MCM-48 | BR | 500 | 97 (pH 4.6) | [54] |
| O-CM-chitosan hydrogel | BR | 400 | 85 (pH 7) | [55] |
| Orange peel biochar | BR | 100 | 94 (pH 10) | [56] |
| R/C-2HA4h | BR | 25 | 99.5 (pH 6) | This work |
Disclaimer/Publisher’s Note: The statements, opinions and data contained in all publications are solely those of the individual author(s) and contributor(s) and not of MDPI and/or the editor(s). MDPI and/or the editor(s) disclaim responsibility for any injury to people or property resulting from any ideas, methods, instructions or products referred to in the content. |
© 2023 by the authors. Licensee MDPI, Basel, Switzerland. This article is an open access article distributed under the terms and conditions of the Creative Commons Attribution (CC BY) license (https://creativecommons.org/licenses/by/4.0/).
Share and Cite
He, Q.; Qi, J.; Liu, X.; Zhang, H.; Wang, Y.; Wang, W.; Guo, F. Carbon-in-Silicate Nanohybrid Constructed by In Situ Confined Conversion of Organics in Rectorite for Complete Removal of Dye from Water. Nanomaterials 2023, 13, 2627. https://doi.org/10.3390/nano13192627
He Q, Qi J, Liu X, Zhang H, Wang Y, Wang W, Guo F. Carbon-in-Silicate Nanohybrid Constructed by In Situ Confined Conversion of Organics in Rectorite for Complete Removal of Dye from Water. Nanomaterials. 2023; 13(19):2627. https://doi.org/10.3390/nano13192627
Chicago/Turabian StyleHe, Qingdong, Jie Qi, Xiangyu Liu, Huan Zhang, Yiwen Wang, Wenbo Wang, and Fang Guo. 2023. "Carbon-in-Silicate Nanohybrid Constructed by In Situ Confined Conversion of Organics in Rectorite for Complete Removal of Dye from Water" Nanomaterials 13, no. 19: 2627. https://doi.org/10.3390/nano13192627
APA StyleHe, Q., Qi, J., Liu, X., Zhang, H., Wang, Y., Wang, W., & Guo, F. (2023). Carbon-in-Silicate Nanohybrid Constructed by In Situ Confined Conversion of Organics in Rectorite for Complete Removal of Dye from Water. Nanomaterials, 13(19), 2627. https://doi.org/10.3390/nano13192627

