Irreversibility Marangoni Tri-Hybrid Nanoflow Analysis for Thermal Enhancement Applications
Abstract
1. Introduction
- ➢
- MWCNT + MoS2 + SiO2/H2O (tri-hybrid nanofluid) flow for thermal applications;
- ➢
- Irreversibility analysis under the influence of the modeled parameters;
- ➢
- Pattern of fluid motion under a magnetic field and thermal radiation;
- ➢
- Marangoni convection was considered in flow analysis;
- ➢
- The obtained system was solved using the HAM approach.
2. Formulation
3. Entropy Rate
Bejan Number
4. Results and Discussion
5. Conclusions
- ➢
- Velocity is a disintegration function of the nonlinear term and the volume fraction of nanoparticles.
- ➢
- The drag force increases with high values of , .
- ➢
- For and , the heat flux improves.
- ➢
- Intensifying the magnetic variable lowers the velocity; the trend is more pronounced in terms of tri-hybrid nanofluids.
- ➢
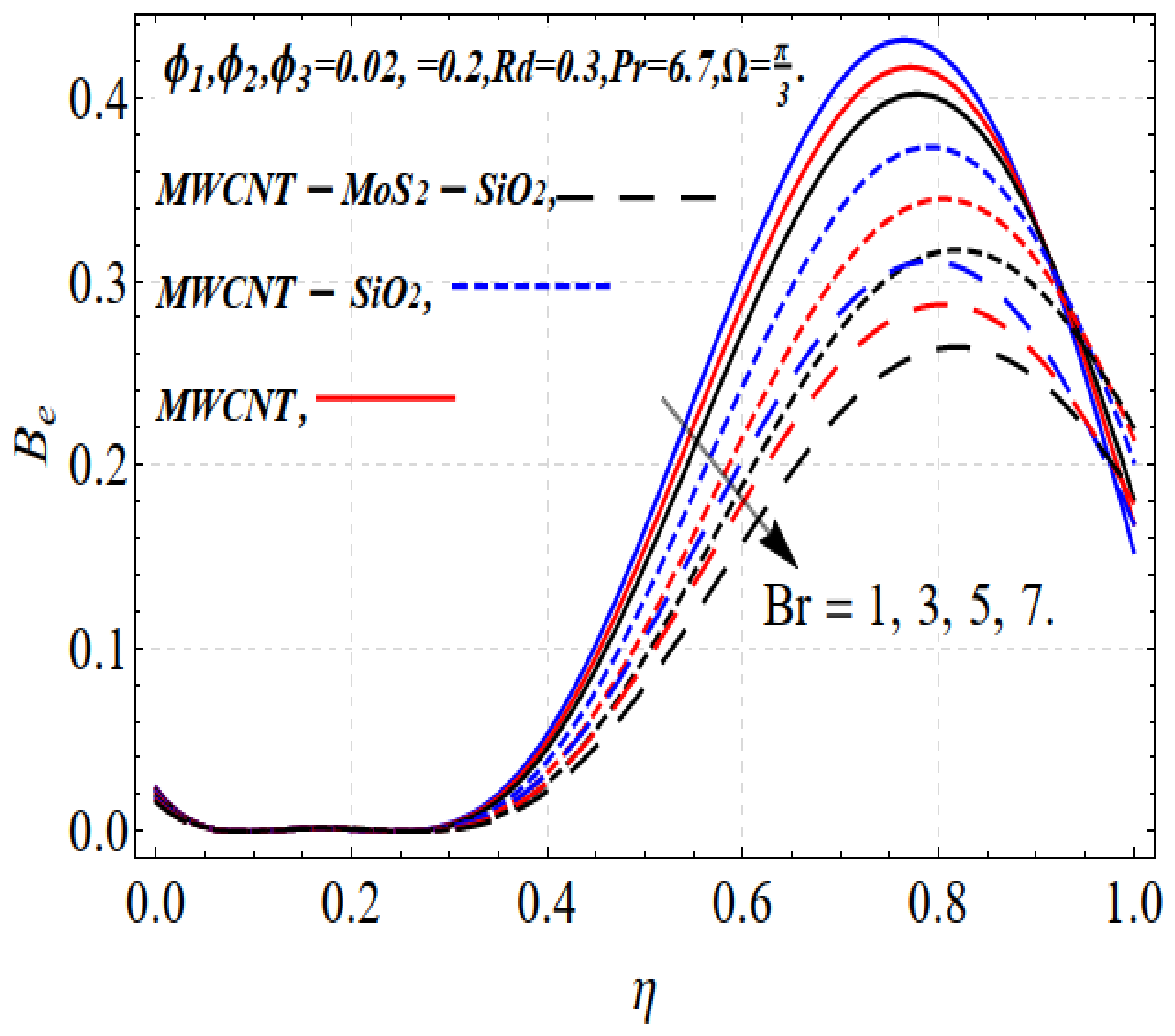
- Increasing the Brinkman number decreases the Bejan number.
- ➢
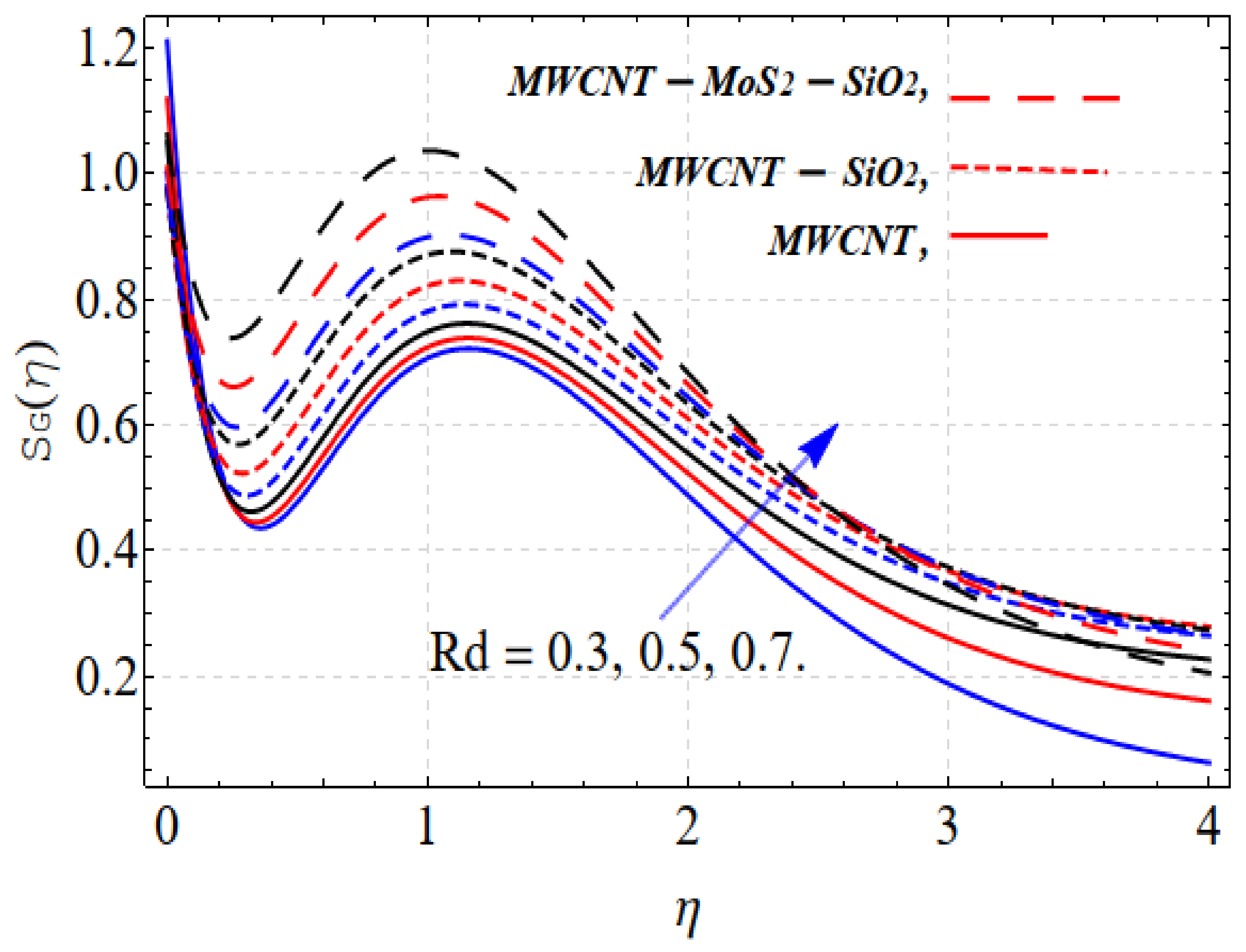
- A strong magnetic field increases the generation of entropy.
- ➢
- The thermal distribution is the same for the thermal field and volumetric fraction of nanoparticles.
- ➢
- The stable dispersion of the 1% nanoparticle volume fraction increases heat transfer by 3.71%, 4.32%, and 5.41% in the case of the nanofluid, the hybrid nanofluid, and the tri-hybrid nanofluid, respectively. In addition, in the case of 2% and 3% volume fractions, the ratio of heat transfer increases in a similar fashion. This percentage increase in heat transfer confirms that tri-hybrid nanofluids are more suitable for improving the thermal conductivity of base fluids.
Funding
Data Availability Statement
Acknowledgments
Conflicts of Interest
Nomenclature
| List of Symbols | Greek Symbols |
| , Velocities components | Dynamic nanofluid viscosity |
| Magnetic field strength | Similarity variable |
| Skin friction coefficient | Nanofluid density |
| Fluid temperature | Base fluid density |
| Specific heat of the base fluid | Base fluid electrical conductivity (Sm−1) |
| Free surface temperature | Dynamic viscosity of the base fluid |
| Magnetic parameter | Thermal radiation parameter |
| Dimensional velocity profiles | Thermal conductivity of base fluid (Wm K−1) |
| Wall surface temperature | Subscripts |
| Prandtl number | Thnf Tri-hybrid nanofluid |
| Electrical conductivity of nanofluid (Sm−1) | nf Nanofluid |
| Nusselt number | f Base fluid |
| Dimensional heat profiles | Abbreviations |
| Volume fraction of nanoparticles | HAM Homotopy analysis method |
| Thermal conductivity | MHD Magneto-hydrodynamics |
References
- Choi, S.U.S. Enhancing thermal conductivity of fluids with nanoparticles. Am. Soc. Mech. Eng. Fluids. Eng. Div. FED 1995, 231, 99–105. [Google Scholar]
- Novoselov, K.S.; Geim, A.K.; Morozov, S.V.; Jiang, D.; Zhang, Y.; Dubonos, S.V.; Grigorieva, I.V.; Firsov, A.A. Electric field effect in atomically thin carbon films. Science 2004, 306, 666–669. [Google Scholar] [CrossRef]
- Baby, T.T.; Aravind, S.J.; Arockiadoss, T.; Rakhi, R.B.; Ramaprabhu, S. Metal decorated graphene nanosheets as immobilization matrix for amperometric glucose biosensor. Sens. Actuators B Chem. 2010, 145, 71–77. [Google Scholar] [CrossRef]
- Thomson, J., XLII. On certain curious motions observable at the surfaces of wine and other alcoholic liquors. Lond. Edinb. Dublin Philos. Mag. J. Sci. 1855, 10, 330–333. [Google Scholar] [CrossRef]
- Gul, T.; Firdous, K. The experimental study to examine the stable dispersion of the graphene nanoparticles and to look at the GO–H2O nanofluid flow between two rotating disks. Appl. Nanosci. 2018, 8, 1711–1727. [Google Scholar] [CrossRef]
- Das, K.; Giri, S.S.; Kundu, P.K. Influence of Hall current effect on hybrid nanofluid flow over a slender stretching sheet with zero nanoparticle flux. Heat Transf. 2021, 50, 7232–7250. [Google Scholar] [CrossRef]
- Shafee, A.; Sheikholeslami, M.; Jafaryar, M.; Babazadeh, H. Irreversibility of hybrid nanoparticles within a pipe fitted with turbulator. J. Therm. Anal. Calorim. 2021, 143, 715–723. [Google Scholar] [CrossRef]
- Elnaqeeb, T.; Animasaun, I.L.; Shah, N.A. Ternary-hybrid nanofluids: Significance of suction and dual-stretching on three-dimensional flow of water conveying nanoparticles with various shapes and densities. Z. Für Nat. A 2021, 76, 231–243. [Google Scholar] [CrossRef]
- Mohammed Zayan, J.; Rasheed, A.K.; John, A.; Khalid, M.; Ismail, A.F.; Aabid, A.; Baig, M. Investigation on Rheological Properties of Water-Based Novel Ternary Hybrid Nanofluids Using Experimental and Taguchi Method. Materials 2021, 15, 28. [Google Scholar] [CrossRef]
- Animasaun, I.L.; Yook, S.J.; Muhammad, T.; Mathew, A. Dynamics of ternary-hybrid nanofluid subject to magnetic flux density and heat source or sink on a convectively heated surface. Surf. Interfaces 2022, 28, 101654. [Google Scholar] [CrossRef]
- Marangoni, C. Ueber die Ausbreitung der Tropfen einer Flüssigkeit auf der Oberfläche einer anderen. Ann. Der Phys. 1871, 219, 337–354. [Google Scholar] [CrossRef]
- Arifin, N.M.; Nazar, R.; Pop, I. Marangoni-driven boundary layer flow in nanofluids. In Proceedings of the 2010 International Conference on Theoretical and Applied Mechanics, 2010 and 2010 International Conference on Fluid Mechanics and Heat & Mass Transfer, Corfu Island, Greece, 22–24 July 2010; Volume 35, pp. 32–35. [Google Scholar]
- Golia, C.; Viviani, A. Non isobaric boundary layers related to Marangoni flows. Meccanica 1886, 21, 200–204. [Google Scholar] [CrossRef]
- Chamkha, A.J.; Pop, I.; Takhar, H.S. Marangoni mixed convection boundary layer flow. Meccanica 2006, 41, 219–232. [Google Scholar] [CrossRef]
- Gul, T.; Noman, W.; Sohail, M.; Khan, M.A. Impact of the Marangoni and thermal radiation convection on the graphene-oxide-water-based and ethylene-glycol-based nanofluids. Adv. Mech. Eng. 2019, 11, 1687814019856773. [Google Scholar] [CrossRef]
- Christopher, D.M.; Wang, B. Prandtl number effects for Marangoni convection over a flat surface. Int. J. Therm. Sci. 2001, 40, 564–570. [Google Scholar] [CrossRef]
- Hayat, T.; Khan, M.I.; Farooq, M.; Alsaedi, A.; Yasmeen, T. Impact of Marangoni convection in the flow of carbon–water nanofluid with thermal radiation. Int. J. Heat Mass Transf. 2017, 106, 810–815. [Google Scholar] [CrossRef]
- Ali, R.; Asjad, M.I.; Aldalbahi, A.; Rahimi-Gorji, M.; Rahaman, M. Convective flow of a Maxwell hybrid nanofluid due to pressure gradient in a channel. J. Therm. Anal. Calorim. 2021, 143, 1319–1329. [Google Scholar] [CrossRef]
- Kumar, R.N.; Gowda, R.P.; Alam, M.M.; Ahmad, I.; Mahrous, Y.M.; Gorji, M.R.; Prasannakumara, B.C. Inspection of convective heat transfer and KKL correlation for simulation of nanofluid flow over a curved stretching sheet. Int. Commun. Heat Mass Transf. 2021, 126, 105445. [Google Scholar] [CrossRef]
- Akbarzadeh, M.; Rashidi, S.; Karimi, N.; Ellahi, R. Convection of heat and thermodynamic irreversibilities in two-phase, turbulent nanofluid flows in solar heaters by corrugated absorber plates. Adv. Powder Technol. 2018, 29, 2243–2254. [Google Scholar] [CrossRef]
- Shehzad, N.; Zeeshan, A.; Ellahi, R.; Rashidi, S. Modelling study on internal energy loss due to entropy generation for non-Darcy Poiseuille flow of silver-water nanofluid: An application of purification. Entropy 2018, 20, 851. [Google Scholar] [CrossRef]
- Nasir, S.; Berrouk, A.S.; Tassaddiq, A.; Aamir, A.; Akkurt, N.; Gul, T. Impact of entropy analysis and radiation on transportation of MHD advance nanofluid in porous surface using Darcy-Forchheimer model. Chem. Phys. Lett. 2023, 811, 140221. [Google Scholar] [CrossRef]
- Shijun, L. Homotopy analysis method: A new analytic method for nonlinear problems. Appl. Math Mech. 1998, 19, 957. [Google Scholar] [CrossRef]
- Nasir, S.; Islam, S.; Gul, T.; Shah, Z.; Khan, M.A.; Khan, W.; Khan, A.Z.; Khan, S. Three-Dimensional Rotating Flow of MHD Carbon Nanotubes over a Stretching Sheet in Presence of Thermal Radiation. Appl. Nanosci. 2018, 8, 1361–1378. [Google Scholar] [CrossRef]
- Usman, M.; Gul, T.; Khan, A.; Alsubie, A.; Ullah, M.Z. Electromagnetic couple stress film flow of hybrid nanofluid over an unsteady rotating disc. Int. Commun. Heat Mass Transf. 2021, 127, 105562. [Google Scholar] [CrossRef]
- Saeed, A.; Alghamdi, W.; Mukhtar, S.; Shah, S.I.A.; Kumam, P.; Gul, T.; Kumam, W. Darcy-Forchheimer hybrid nanofluid flow over a stretching curved surface with heat and mass transfer. PLoS ONE 2021, 16, e0249434. [Google Scholar] [CrossRef]
- Bilal, M.; Khan, I.; Gul, T.; Tassaddiq, A.; Alghamdi, W.; Mukhtar, S.; Kumam, P. Darcy-forchheimer hybrid nano fluid flow with mixed convection past an inclined cylinder. CMC Comput. Mater. Contin. 2021, 66, 2025–2039. [Google Scholar] [CrossRef]













| 0.00 | 2.9057 0% Increase | 2.9057 0% Increase | 2.9057 0% Increase |
| 0.01 | 3.0135 3.71% Increase | 3.0135 4.32% Increase | 3.0135 5.41% Increase |
| 0.02 | 3.0763 5.87% Increase | 3.0763 6.62% Increase | 3.0763 10.37% Increase |
| 0.03 | 3.2332 11.27% Increase | 3.2332 13.46% Increase | 3.2332 17.62% Increase |
Disclaimer/Publisher’s Note: The statements, opinions and data contained in all publications are solely those of the individual author(s) and contributor(s) and not of MDPI and/or the editor(s). MDPI and/or the editor(s) disclaim responsibility for any injury to people or property resulting from any ideas, methods, instructions or products referred to in the content. |
© 2023 by the author. Licensee MDPI, Basel, Switzerland. This article is an open access article distributed under the terms and conditions of the Creative Commons Attribution (CC BY) license (https://creativecommons.org/licenses/by/4.0/).
Share and Cite
Ullah, M.Z. Irreversibility Marangoni Tri-Hybrid Nanoflow Analysis for Thermal Enhancement Applications. Nanomaterials 2023, 13, 423. https://doi.org/10.3390/nano13030423
Ullah MZ. Irreversibility Marangoni Tri-Hybrid Nanoflow Analysis for Thermal Enhancement Applications. Nanomaterials. 2023; 13(3):423. https://doi.org/10.3390/nano13030423
Chicago/Turabian StyleUllah, Malik Zaka. 2023. "Irreversibility Marangoni Tri-Hybrid Nanoflow Analysis for Thermal Enhancement Applications" Nanomaterials 13, no. 3: 423. https://doi.org/10.3390/nano13030423
APA StyleUllah, M. Z. (2023). Irreversibility Marangoni Tri-Hybrid Nanoflow Analysis for Thermal Enhancement Applications. Nanomaterials, 13(3), 423. https://doi.org/10.3390/nano13030423

