Ga-In Alloy Segregation within a Porous Glass as Studied by SANS
Abstract
1. Introduction
2. Materials and Methods
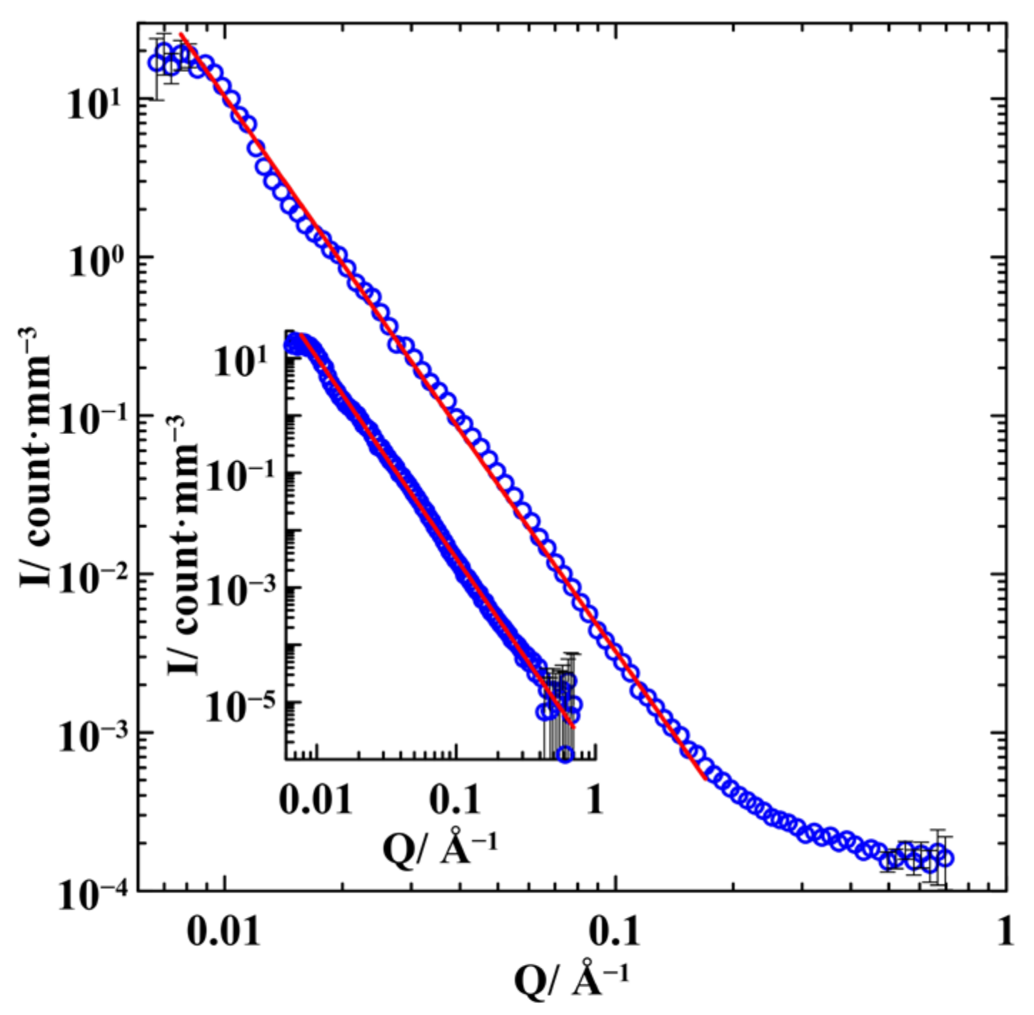
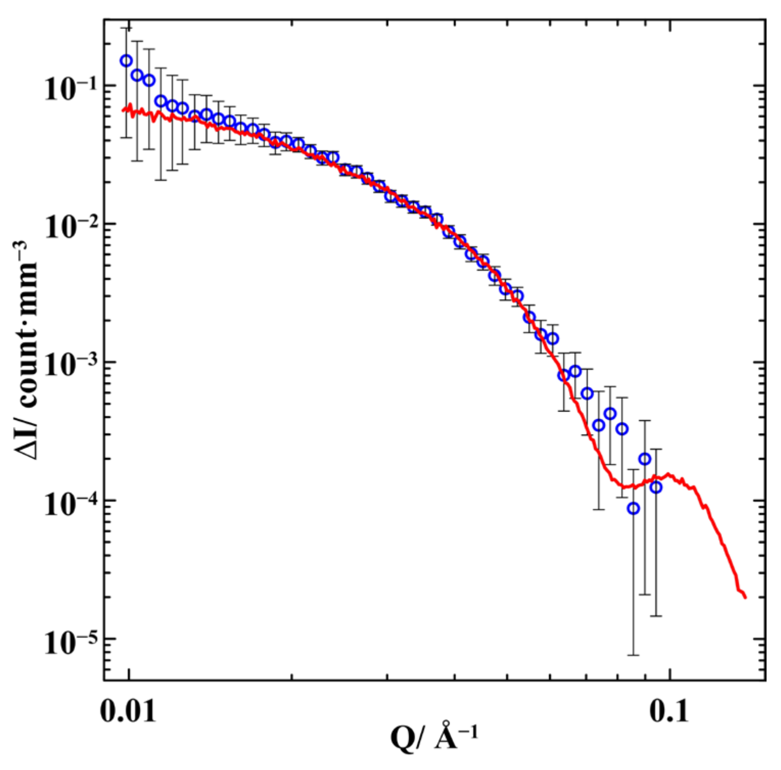
3. Results
4. Discussion
5. Conclusions
Author Contributions
Funding
Institutional Review Board Statement
Informed Consent Statement
Data Availability Statement
Acknowledgments
Conflicts of Interest
References
- Li, Z.; Guo, Y.; Zong, Y.; Li, K.; Wang, S.; Cao, H.; Teng, C. Ga Based Particles, Alloys and Composites: Fabrication and Applications. Nanomaterials 2021, 11, 2246. [Google Scholar] [CrossRef] [PubMed]
- Bo, G.; Ren, L.; Xu, X.; Du, Y.; Dou, S. Recent progress on liquid metals and their applications. Adv. Phys. X 2018, 3, 1446359. [Google Scholar] [CrossRef]
- Xiong, Y.; Lu, X. Metallic Nanostructures. From Controlled Synthesis to Applications; Springer International Publishing: Cham, Switzerland, 2015. [Google Scholar]
- Noohi, Z.; Nosouhian, S.; Niroumand, B.; Timelli, G. Use of Low Melting Point Metals and Alloys (Tm < 420 °C) as Phase Change Materials: A Review. Metals 2022, 12, 945. [Google Scholar] [CrossRef]
- Song, H.; Kim, T.; Kang, S.; Jin, H.; Lee, K.; Yoon, H.J. Ga-Based Liquid Metal Micro/Nanoparticles: Recent Advances and Applications. Small 2019, 15, 1903391. [Google Scholar] [CrossRef]
- Akyildiz, K.; Kim, J.-H.; So, J.-H.; Koo, H.-J. Recent progress on micro- and nanoparticles of gallium-based liquid metals: From preparation to applications. J. Ind. Eng. Chem. 2022, 116, 120–141. [Google Scholar] [CrossRef]
- Won, P.; Jeong, S.; Majidi, C.; Ko, S.H. Recent advances in liquid-metal-based wearable electronics and materials. iScience 2021, 24, 102698. [Google Scholar] [CrossRef]
- Anderson, T.J.; Ansara, I. The Ga-In (Gallium-Indium) System. J. Phase Equilib. 1991, 12, 64–72. [Google Scholar] [CrossRef]
- Lu, H.M.; Shuai, J.; Meng, X.K. Size-Dependent Eutectic Temperature of Ag-Pb Alloy Nanoparticles. J. Nanosci. Nanotechnol. 2013, 13, 1480–1483. [Google Scholar] [CrossRef]
- Yasuda, H.; Mori, H. Phase diagrams in nanometer-sized alloy systems. J. Cryst. Growth 2002, 237, 234–238. [Google Scholar] [CrossRef]
- Schamp, C.T.; Jesser, W.A. Two-phase equilibrium in individual nanoparticles of Bi-Sn. Metall. Mater. Trans. A 2006, 37, 1825–1829. [Google Scholar] [CrossRef]
- Jesser, W.A.; Shneck, R.Z.; Gile, W.W. Solid-liquid equilibria in nanoparticles of Pb-Bi alloys. Phys. Rev. B 2004, 69, 13. [Google Scholar] [CrossRef]
- Shin, S.J.; Guzman, J.; Yuan, C.W.; Liao, C.Y.; Boswell-Koller, C.N.; Stone, P.R.; Dubon, O.D.; Minor, A.M.; Watanabe, M.; Beeman, J.W.; et al. Embedded Binary Eutectic Alloy Nanostructures: A New Class of Phase Change Materials. Nano Lett. 2010, 10, 2794–2798. [Google Scholar] [CrossRef]
- Likholetova, M.V.; Charnaya, E.V.; Shevchenko, E.V.; Lee, M.K.; Chang, L.-J.; Kumzerov, Y.A.; Fokin, A.V. Magnetic Studies of Superconductivity in the Ga-Sn Alloy Regular Nanostructures. Nanomaterials 2023, 13, 280. [Google Scholar] [CrossRef]
- Shevchenko, E.V.; Charnaya, E.V.; Lee, M.K.; Chang, L.-J.; Likholetova, M.V.; Lezova, I.E.; Kumzerov, Y.A.; Fokin, A.V. Superconductivity in a Ga-Ag nanocomposite with dendritic morphology. Physica C 2020, 574, 1353666. [Google Scholar] [CrossRef]
- Shevtsova, O.D.; Likholetova, M.V.; Charnaya, E.V.; Shevchenko, E.V.; Kumzerov, Y.A.; Fokin, A.V. Ac susceptibility of the superconducting porous glass/Ga−In−Sn nanocomposite. Phys. Solid State 2022, 64, 38–43. [Google Scholar] [CrossRef]
- Latysheva, E.N.; Pirozerskii, A.L.; Charnaya, E.V.; Kumzerov, Y.A.; Fokin, A.V.; Nedbai, A.I.; Bugaev, A.S. Polymorphism of Ga-In alloys in nanoconfinement conditions. Phys. Solid State 2015, 57, 131–135. [Google Scholar] [CrossRef]
- Podorozhkin, D.Y.; Tien, C.; Charnaya, E.V.; Lee, M.K.; Chang, L.J.; Michel, D.; Haase, J.; Kumzerov, Y.A. Slowdown of atomic diffusion in liquid gallium–indium alloy under different nanoconfinements. Physica B 2012, 407, 2063–2067. [Google Scholar] [CrossRef]
- Pirozerskii, A.L.; Charnaya, E.V.; Lee, M.K.; Chang, L.J.; Nedbai, A.I.; Kumzerov, Y.A.; Fokin, A.V.; Samoilovich, M.I.; Lebedeva, E.L.; Bugaev, A.S. Acoustic and NMR Investigations of Melting and Crystallization of Indium-Gallium Alloys in Pores of Synthetic Opal Matrices. Acoust. Phys. 2016, 62, 306–312. [Google Scholar] [CrossRef]
- Nefedov, D.Y.; Charnaya, E.V.; Uskov, A.V.; Antonenko, A.O.; Podorozhkin, D.Y.; Haase, J.; Kumzerov, Y.A.; Fokin, A.V. Stabilization of β-Ga structure in nanostructured Ga-In alloy. Appl. Magn. Reson. 2021, 52, 1721–1727. [Google Scholar] [CrossRef]
- Nefedov, D.Y.; Podorozhkin, D.Y.; Charnaya, E.V.; Uskov, A.V.; Haase, J.; Kumzerov, Y.A.; Fokin, A.V. Liquid-liquid transition in supercooled gallium alloys under nanoconfinement. J. Phys. Condens. Matter 2019, 31, 255101. [Google Scholar] [CrossRef]
- Uskov, A.V.; Charnaya, E.V.; Kuklin, A.I.; Lee, M.K.; Chang, L.J.; Kumzerov, Y.A.; Fokin, A.V. SANS Studies of the Gallium-Indium Alloy Structure within Regular Nanopores. Nanomaterials 2022, 12, 2245. [Google Scholar] [CrossRef] [PubMed]
- Feigin, L.A.; Svergun, D.I. Structure Analysis by Small-Angle X-ray and Neutron Scattering; Springer: New York, NY, USA, 1987. [Google Scholar]
- Mohammed, A.S.A.; Carino, A.; Testino, A.; Andalibi, M.R.; Cervellino, A. A dilute gold nanoparticle suspension as small-angle X-ray scattering standard for an absolute scale using an extended Guinier approximation. J. Appl. Crystallogr. 2019, 52, 344–350. [Google Scholar] [CrossRef]
- Sinha, S.K. 6. Small-Angle Scattering from Porous Materials. Exp. Methods Phys. Sci. 1999, 35, 223–262. [Google Scholar] [CrossRef]
- Hohr, A.; Neumann, H.B.; Schmidt, P.W.; Pfeifer, P.; Avnir, D. Fractal surface and cluster structure of controlled-pore glasses and Vycor porous glass as revealed by small-angle x-ray and neutron scattering. Phys. Rev. B 1988, 38, 1462–1467. [Google Scholar] [CrossRef]
- Rauch, H.; Waschkowski, W. Neutron Scattering Lengths in ILL Neutron Data Booklet, 2nd ed.; Dianoux, A.-J., Lander, G., Eds.; Old City Publishing: Philidelphia, PA, USA, 2003. [Google Scholar]
- Ivicheva, S.N.; Amarantov, S.V.; Kargin, Y.F.; Volkov, V.V. Structural Parameters of Ordered Nanocomposites Based on Opal Matrices in Accordance with the Data of Small-Angle X-ray and Neutron Scattering: Simulation of Structural and Size Dispersion Characteristics of Nanocomposites. Part II. Nanotechnol. Russ. 2018, 13, 565–577. [Google Scholar] [CrossRef]
- Pötschke, D.; Ballauff, M.; Lindner, P.; Fischer, M.; Vögtle, F. Analysis of the Structure of Dendrimers in Solution by Small-Angle Neutron Scattering Including Contrast Variation. Macromolecules 1999, 32, 4079–4087. [Google Scholar] [CrossRef]
- Aronson, B.J.; Blanford, C.F.; Stein, A. Solution-Phase Grafting of Titanium Dioxide onto the Pore Surface of Mesoporous Silicates: Synthesis and Structural Characterization. Chem. Mater. 1997, 9, 2842–2851. [Google Scholar] [CrossRef]






Disclaimer/Publisher’s Note: The statements, opinions and data contained in all publications are solely those of the individual author(s) and contributor(s) and not of MDPI and/or the editor(s). MDPI and/or the editor(s) disclaim responsibility for any injury to people or property resulting from any ideas, methods, instructions or products referred to in the content. |
© 2023 by the authors. Licensee MDPI, Basel, Switzerland. This article is an open access article distributed under the terms and conditions of the Creative Commons Attribution (CC BY) license (https://creativecommons.org/licenses/by/4.0/).
Share and Cite
Uskov, A.V.; Charnaya, E.V.; Kuklin, A.I.; Lee, M.K.; Chang, L.-J.; Kumzerov, Y.A.; Fokin, A.V. Ga-In Alloy Segregation within a Porous Glass as Studied by SANS. Nanomaterials 2023, 13, 1357. https://doi.org/10.3390/nano13081357
Uskov AV, Charnaya EV, Kuklin AI, Lee MK, Chang L-J, Kumzerov YA, Fokin AV. Ga-In Alloy Segregation within a Porous Glass as Studied by SANS. Nanomaterials. 2023; 13(8):1357. https://doi.org/10.3390/nano13081357
Chicago/Turabian StyleUskov, Andrei V., Elena V. Charnaya, Aleksandr I. Kuklin, Min Kai Lee, Lieh-Jeng Chang, Yurii A. Kumzerov, and Aleksandr V. Fokin. 2023. "Ga-In Alloy Segregation within a Porous Glass as Studied by SANS" Nanomaterials 13, no. 8: 1357. https://doi.org/10.3390/nano13081357
APA StyleUskov, A. V., Charnaya, E. V., Kuklin, A. I., Lee, M. K., Chang, L.-J., Kumzerov, Y. A., & Fokin, A. V. (2023). Ga-In Alloy Segregation within a Porous Glass as Studied by SANS. Nanomaterials, 13(8), 1357. https://doi.org/10.3390/nano13081357

