Geometry-Tuned Optical Absorption Spectra of the Coupled Quantum Dot–Double Quantum Ring Structure
Abstract
1. Introduction
2. Theory
3. Results
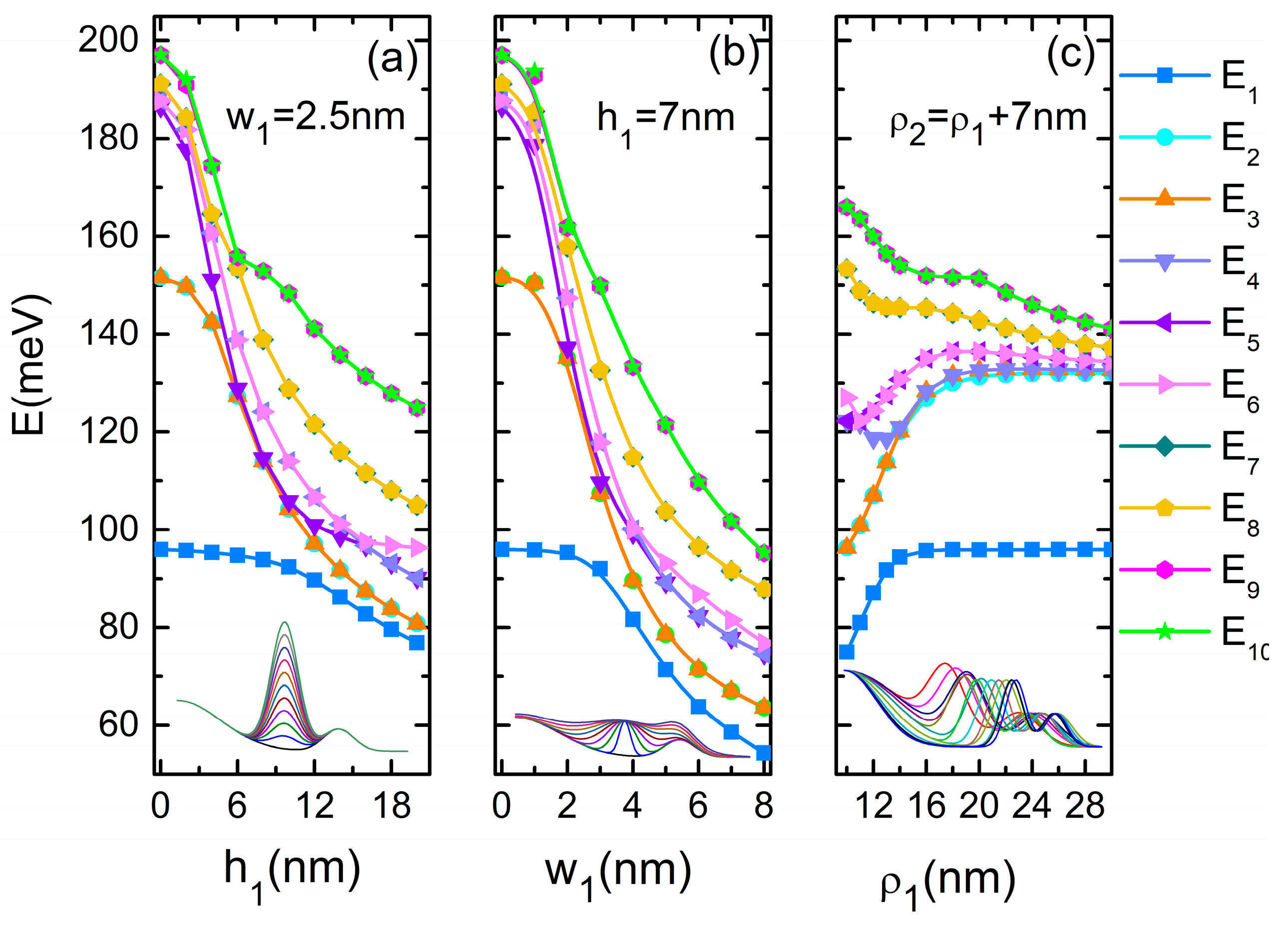
3.1. Electronic Properties of the Quantum Dot–Double Quantum Ring
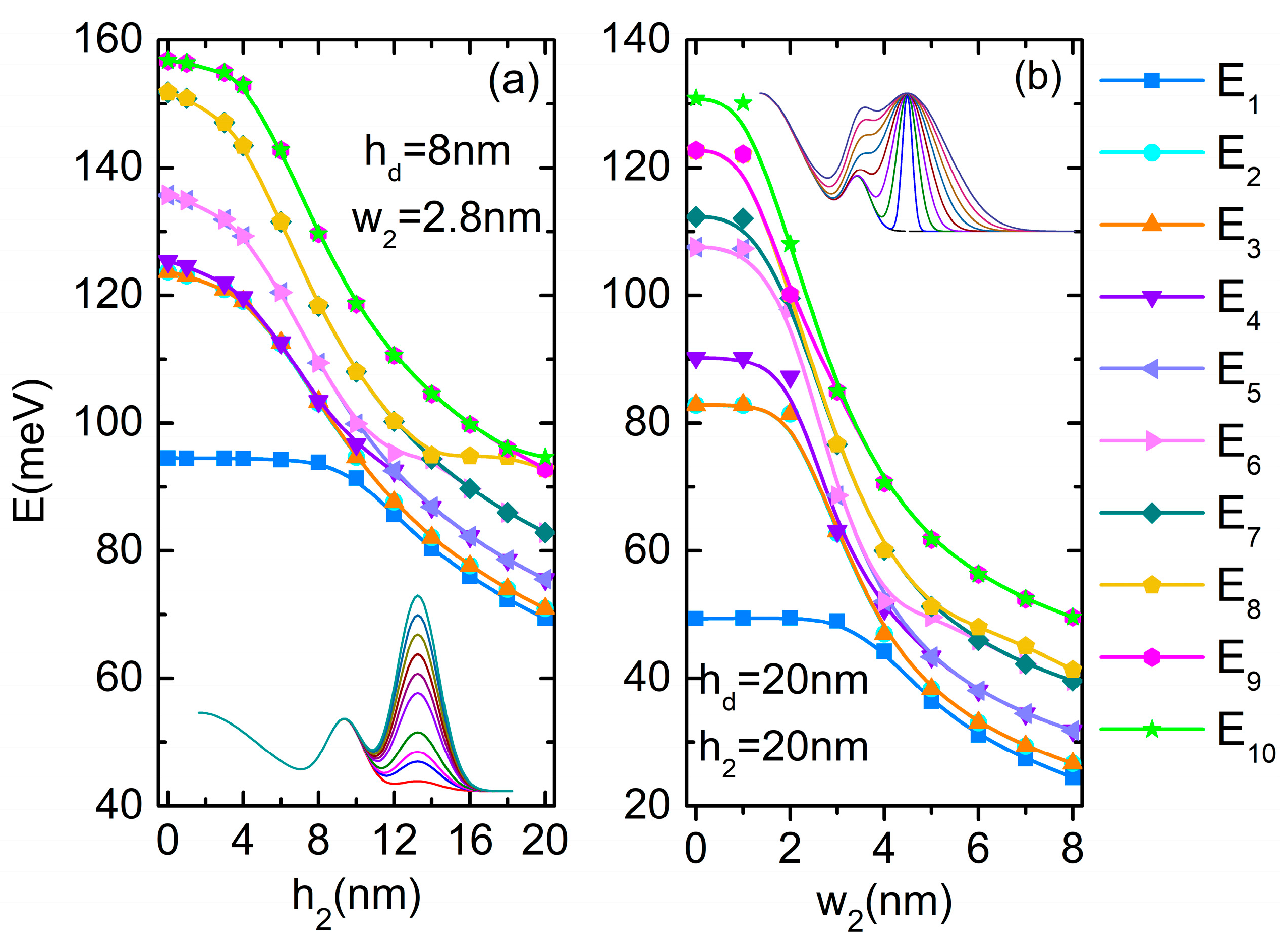
3.2. Optical Properties of the Triple Concentric Quantum Rings
4. Conclusions
Author Contributions
Funding
Data Availability Statement
Conflicts of Interest
References
- Fomin, V.M. Physics of Quantum Rings; Springer: Berlin/Heidelberg, Germany, 2014. [Google Scholar]
- Yachmenev, E.; Khabibullin, R.A.; Ponomarev, D.S. Recent advances in THz detectors based on semiconductor structures with quantum confinement: A review. J. Phys. D Appl. Phys. 2022, 55, 193001. [Google Scholar] [CrossRef]
- Yao, D.; Hu, Z.; Su, Y.; Chen, S.; Zhang, W.; Lü, W.; Xu, H. Significant efficiency enhancement of CdSe/Cds quantum-dot sensitized solar cells by black TiO2 engineered with ultrashort filamentating pulses. Appl. Surf. Sci. Adv. 2021, 6, 100142. [Google Scholar] [CrossRef]
- Dutta, A.; Medda, A.; Bera, R.; Rawat, A.; De Sarkar, A.; Patra, A. Electronic Band Structure and Ultrafast Carrier Dynamics of Two Dimensional (2D) Semiconductor Nanoplatelets (NPLs) in the Presence of Electron Acceptor for Optoelectronic Applications. J. Phys. Chem. C 2020, 124, 26434–26442. [Google Scholar] [CrossRef]
- Won, Y.H.; Cho, O.; Kim, T.; Chung, D.Y.; Kim, T.; Chung, H.; Jang, H.; Lee, J.; Kim, D.; Jang, E. Highly efficient and stable InP/ZnSe/ZnS quantum dot light-emitting diodes. Nature 2019, 575, 634–638. [Google Scholar] [CrossRef] [PubMed]
- Michler, P. (Ed.) Quantum Dots for Quantum Information Technologies; Springer International Publishing: Cham, Germany, 2017. [Google Scholar]
- Jennings, C.; Ma, X.; Wickramasinghe, T.; Doty, M.; Scheibner, M.; Stinaff, E.; Ware, M. Self-Assembled InAs/GaAs Coupled Quantum Dots for Photonic Quantum Technologies. Adv. Quantum Technol. 2020, 3, 1900085. [Google Scholar] [CrossRef]
- Singh, S.; De Sarkar, A.; Kaur, I. A comparative and a systematic study on the effects of B, N doping and C-atom vacancies on the band gap in narrow zig-zag graphene nanoribbons via quantum transport calculations. Mater. Res. Bull. 2017, 87, 167–176. [Google Scholar] [CrossRef]
- López Aristizábal, A.M.; Mora Rey, F.; Morales, Á.L.; Vinasco, J.A.; Duque, C.A. Electric and Magnetic Fields Effects in Vertically Coupled GaAs/AlxGa1−xAs Conical Quantum Dots. Condens. Matter 2023, 8, 71. [Google Scholar] [CrossRef]
- Sargsian, T.A.; Mantashyan, P.A.; Hayrapetyan, D.B. Effect of Gaussian and Bessel laser beams on linear and nonlinear optical properties of vertically coupled cylindrical quantum dots. Nano-Struct. Nano-Objects 2023, 33, 100936. [Google Scholar] [CrossRef]
- Escorcia, R.A.; Gutiérrez, W.; Mikhailov, I.D. Effect of electric field on confined donor states in laterally coupled quantum rings. Appl. Surf. Sci. 2020, 509, 145248. [Google Scholar] [CrossRef]
- Planelles, J.; Rajadell, F.; Climente, J.I.; Royo, M.; Movilla, J.L. Electronic states of laterally coupled quantum rings. J. Phys. Conf. Ser. 2007, 61, 936. [Google Scholar] [CrossRef]
- Liu, G.; Wang, S.; Wang, D.; Chen, G.; Wu, F.; Liu, Y.; Zheng, Y.; Dai, J.; Guo, K.; Tao, Y.; et al. Floquet engineering of electronic states and optical absorption in laterally-coupled quantum rings under a magnetic field. Opt. Express 2024, 32, 26265–26278. [Google Scholar] [CrossRef]
- Marin, J.H.; Rodriguez-Prada, F.A.; Mikhailov, I.D. Vertically coupled non-uniform quantum rings with two separated electrons in threading magnetic field. J. Phys. Conf. Ser. 2010, 245, 012020. [Google Scholar] [CrossRef]
- Castrillón, J.D.; Gómez-Ramírez, D.A.J.; Rivera, I.E.; Suaza, Y.A.; Marín, J.H.; Fulla, M.R. Artificial Hydrogen molecule in vertically stacked Ga1−xAlxAs nanoscale rings: Structural and external probes effects on their quantum levels. Phys. E 2020, 117, 113765. [Google Scholar] [CrossRef]
- Ospina, D.A.; Duque, D.; Mora-Ramos, M.E.; Vinasco, J.A.; Radu, A.; Restrepo, R.L.; Morales, A.L.; Sierra-Ortega, J.; Escorcia-Salas, G.E.; Giraldo, M.A.; et al. Hopf-link GaAs-AlGaAs quantum ring under geometric and external field settings. Phys. E 2024, 163, 116032. [Google Scholar] [CrossRef]
- Khordad, R.; Rastegar Sedehi, H.R. Thermodynamic Properties of a Double Ring-Shaped quantum dot at low and high temperatures. J. Low Temp. Phys. 2018, 190, 200–212. [Google Scholar] [CrossRef]
- Baghramyan, H.M.; Barseghyan, M.G.; Kirakosyan, A.A.; Ojeda, J.H.; Bragard, J.; Laroze, D. Modeling of anisotropic properties of double quantum rings by the terahertz laser field. Sci. Rep. 2018, 8, 6145. [Google Scholar] [CrossRef] [PubMed]
- Janet Sherly, I.; Nithiananthi, P. Influence of electric field on direct and indirect exciton in a concentrically coupled quantum ring heterostructure embedded in SiO2 matrix. Superlatt. Microstruct. 2020, 137, 106334. [Google Scholar] [CrossRef]
- Bejan, D.; Stan, C. Geometry tailored magneto-optical absorption spectra of elliptically deformed double quantum rings. Philos. Mag. 2022, 102, 1755–1777. [Google Scholar]
- Bejan, D.; Stan, C. Refraction index of elliptic double quantum rings in magnetic field, UPB Sci. Bull. A Appl. Math. Phys. 2023, 85, 139–150. [Google Scholar]
- Bejan, D.; Stan, C. Impurity and geometry effects on the optical rectification spectra of quasi-elliptical double quantum rings. Phys. E 2023, 147, 115598. [Google Scholar] [CrossRef]
- Bejan, D.; Radu, A.; Stan, C. Electronic and optical responses of laser dressed triple concentric quantum rings in electric field. Philos. Mag. 2023, 103, 1738–1755. [Google Scholar] [CrossRef]
- Bejan, D.; Stan, C. Controlling the interband transitions in triple quantum ring: Effects of intense laser and electric fields. J. Phys. Chem. Solids 2024, 188, 111887. [Google Scholar] [CrossRef]
- Somaschini, C.; Bietti, S.; Koguchi, N.; Sanguinetti, S. Coupled quantum dot–ring structures by droplet epitaxy. Nanotechnology 2011, 22, 185602. [Google Scholar] [CrossRef] [PubMed]
- Elborg, M.; Noda, T.; Mano, T.; Kuroda, T.; Yao, Y.; Sakuma, Y.; Sakoda, K. Self-assembly of vertically aligned quantum ring-dot structure by Multiple Droplet Epitaxy. J. Cryst. Growth 2017, 477, 239–242. [Google Scholar] [CrossRef]
- Zeng, Z.; Garoufalis, C.S.; Baskoutas, S. Linear and nonlinear optical susceptibilities in a laterally coupled quantum-dot-quantum ring system. Phys. Lett. A 2014, 378, 2713–2718. [Google Scholar] [CrossRef]
- Barseghyan, M.G. Electronic states of coupled quantum dot-ring structure under lateral electric field with and without a hydrogenic donor impurity. Phys. E 2015, 69, 219–223. [Google Scholar] [CrossRef]
- Barseghyan, M.G.; Baghramyan, H.M.; Laroze, D.; Bragard, J.; Kirakosyan, A.A. Impurity-related intraband absorption in coupled quantum dot-ring structure under lateral electric field. Phys. E 2015, 74, 421–425. [Google Scholar] [CrossRef]
- Pal, S.; Ghosh, M.; Duque, C.A. Impurity related optical properties in tuned quantum dot/ring systems. Philos. Mag. 2019, 99, 2457–2486. [Google Scholar] [CrossRef]
- Barseghyan, M.G.; Manaselyan, A.K.; Laroze, D.; Kirakosyan, A.A. Impurity-modulated Aharonov–Bohm oscillations and intraband optical absorption in quantum dot–ring nanostructures. Phys. E 2016, 81, 31–36. [Google Scholar] [CrossRef]
- Hernández, N.; López-Doria, R.A.; Fulla, M.R. Optical and electronic properties of a singly ionized double donor confined in coupled quantum dot-rings. Phys. E 2023, 151, 115736. [Google Scholar] [CrossRef]
- Mora-Ramos, M.E.; Vinasco, J.A.; Laroze, D.; Radu, A.; Restrepo, R.L.; Heyn, C.; Tulupenko, V.; Hieu, N.N.; Phuc, H.V.; Ojeda, J.H.; et al. Electronic structure of vertically coupled quantum dot-ring heterostructures under applied electromagnetic probes. A finite-element approach. Sci. Rep. 2021, 11, 4015. [Google Scholar] [CrossRef] [PubMed]
- Kurpas, M.; Kedzierska, B.; Janus-Zygmunt, I.; Gorczyca-Goraj, A.; Wach, E.; Zipper, E.; Maska, M.M. Charge transport through a semiconductor quantum dot-ring nanostructure. J. Phys. Condens. Matter. 2015, 27, 265801. [Google Scholar] [CrossRef]
- Szafran, B.; Peeters, F.M.; Bednarek, S. Electron spin and charge switching in a coupled quantum-dot-quantum ring system. Phys. Rev. B 2004, 70, 125310. [Google Scholar] [CrossRef]
- Chakraborty, T.; Manaselyan, A.; Barseghyan, M. Effective tuning of electron charge and spin distribution in a dot-ring nanostructure at the ZnO interface. Phys. E 2018, 99, 63–66. [Google Scholar] [CrossRef]
- Biborski, A.; Kadzielawa, A.P.; Gorczyca-Goraj, A.; Zipper, E.; Maska, M.M.; Spałek, J. Dot-ring nanostructure: Rigorous analysis of many-electron effects. Sci. Rep. 2016, 6, 29887. [Google Scholar] [CrossRef] [PubMed]
- Planelles, J.; Climente, J.I.; Rajadell, F. Quantum rings in tilted magnetic fields. Phys. E 2006, 33, 370–375. [Google Scholar] [CrossRef]
- Lee, B.C.; Voskoboynikov, O.P.; Lee, C.P. III-V Semiconductors nano-rings. Phys. E 2004, 24, 87–91. [Google Scholar] [CrossRef]
- Mano, T.; Koguchi, N. Nanometer-scale GaAs ring structure grown by droplet epitaxy. J. Crys. Growth 2005, 278, 108–112. [Google Scholar] [CrossRef]
- YSibirmovskii, D.; Vasil’evskii, I.S.; Vinichenko, A.N.; Eremin, I.S.; Zhigunov, D.M.; Kargin, N.I.; Kolentsova, O.S.; Martyuk, P.A.; Strikhanov, M.N. Photoluminescence of GaAs/AlGaAs Quantum Ring Arrays. Semiconductors 2015, 49, 638–643. [Google Scholar] [CrossRef]
- Vinasco, J.A.; Radu, A.; Tiutiunnyk, A.; Restrepo, R.L.; Laroze, D.; Feddi, E.; Mora-Ramos, M.E.; Morales, A.L.; Duque, C.A. Revisiting the adiabatic approximation for bound states calculation in axisymmetric and asymmetrical quantum structures. Superlatt. Microstruct. 2020, 138, 106384. [Google Scholar] [CrossRef]
- COMSOL Multiphysics® v. 5.6; COMSOL AB: Stockholm, Sweden. Available online: www.comsol.com (accessed on 16 July 2024).
- Paspalakis, E.; Boviatsis, J.; Baskoutas, S. Effects of probe field intensity in nonlinear optical processes in asymmetric semiconductor quantum dots. J. Appl. Phys. 2013, 114, 153107. [Google Scholar] [CrossRef]
- Kuroda, T.; Mano, T.; Ochiai, T.; Sanguinetti, S.; Sakoda, K.; Kido, G.; Koguchi, N. Optical transitions in quantum ring complexes. Phys. Rev. B 2005, 72, 205301. [Google Scholar] [CrossRef]










Disclaimer/Publisher’s Note: The statements, opinions and data contained in all publications are solely those of the individual author(s) and contributor(s) and not of MDPI and/or the editor(s). MDPI and/or the editor(s) disclaim responsibility for any injury to people or property resulting from any ideas, methods, instructions or products referred to in the content. |
© 2024 by the authors. Licensee MDPI, Basel, Switzerland. This article is an open access article distributed under the terms and conditions of the Creative Commons Attribution (CC BY) license (https://creativecommons.org/licenses/by/4.0/).
Share and Cite
Bejan, D.; Stan, C. Geometry-Tuned Optical Absorption Spectra of the Coupled Quantum Dot–Double Quantum Ring Structure. Nanomaterials 2024, 14, 1337. https://doi.org/10.3390/nano14161337
Bejan D, Stan C. Geometry-Tuned Optical Absorption Spectra of the Coupled Quantum Dot–Double Quantum Ring Structure. Nanomaterials. 2024; 14(16):1337. https://doi.org/10.3390/nano14161337
Chicago/Turabian StyleBejan, Doina, and Cristina Stan. 2024. "Geometry-Tuned Optical Absorption Spectra of the Coupled Quantum Dot–Double Quantum Ring Structure" Nanomaterials 14, no. 16: 1337. https://doi.org/10.3390/nano14161337
APA StyleBejan, D., & Stan, C. (2024). Geometry-Tuned Optical Absorption Spectra of the Coupled Quantum Dot–Double Quantum Ring Structure. Nanomaterials, 14(16), 1337. https://doi.org/10.3390/nano14161337

