An Optimization Path for Sb2(S,Se)3 Solar Cells to Achieve an Efficiency Exceeding 20%
Abstract
1. Introduction
2. Methods and Details
2.1. Structure of the Solar Cells
2.2. Simulation Principles and Details
2.3. Device Validation and Optimization Route
3. Results and Discussion
3.1. Optimization of the Series and Shunt Resistances
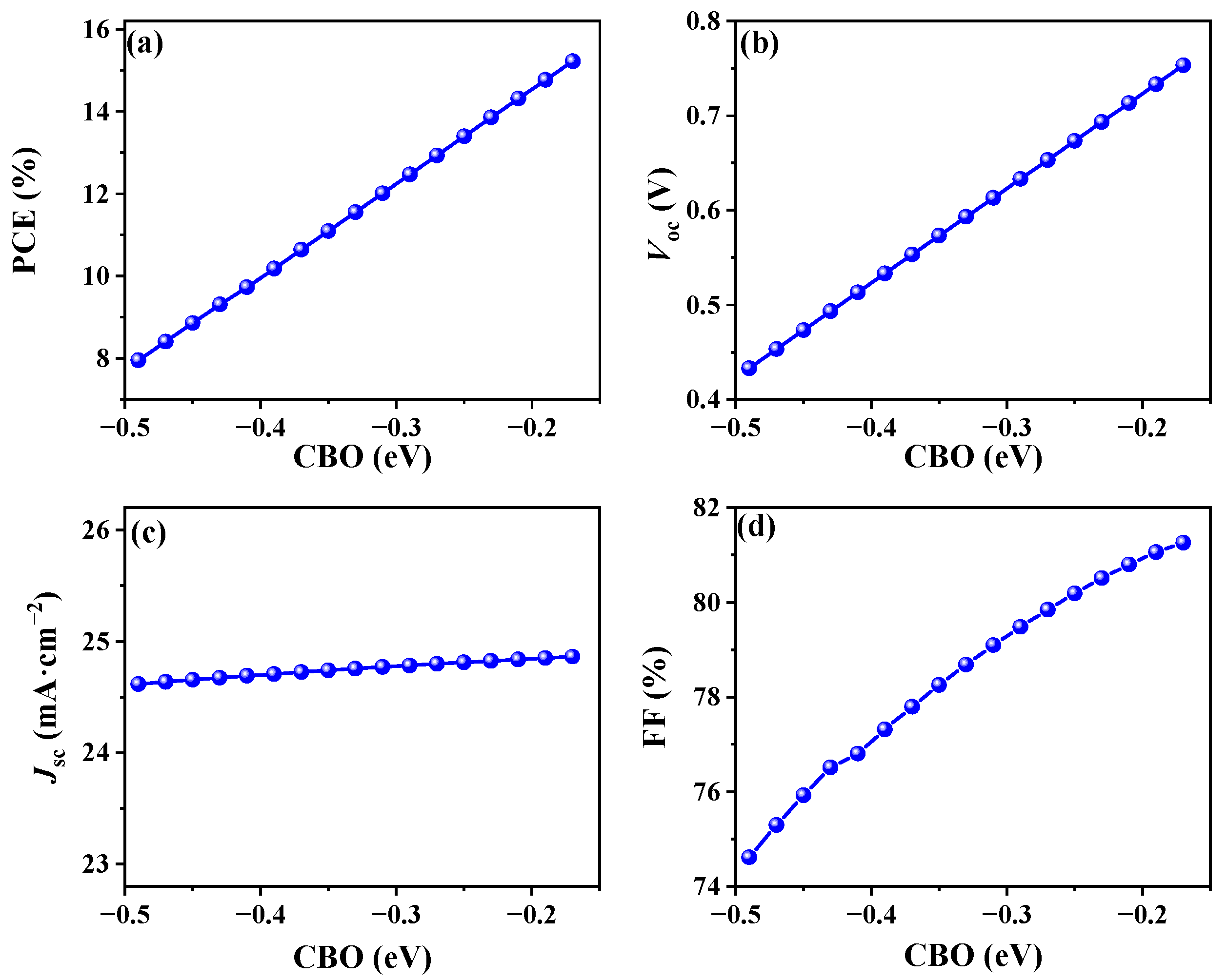
3.2. Optimization of the Energy Band Offset
3.3. Optimization of Interface Recombination
3.4. Optimization of the Sb2(S,Se)3 Absorber’s Thickness and Bulk Defects
3.5. Optimization of the Work Function at the Back Contact Layer
3.6. Final Optimized Sb2(S,Se)3 Solar Cell Performance
4. Improvement in the PCE of the Sb2(S,Se)3 Solar Cells
- (1)
- Regulation of the absorption film to reduce the internal resistance. The Sb2(S,Se)3 compound possesses a unique quasi-1D ribbon architecture characterized by [Sb4S(e)6]n ribbons [46]. This structural peculiarity engenders favorable grain morphology and anisotropic carrier mobility, most notably along the [hk1] direction. This specific transport pathway underscores the prospect of significantly elevated device performance, particularly in comparison with transport along the [hk0] direction. Different synthesis/fabrication strategies have been used to develop [hk1]-oriented Sb2(S,Se)3 films. A highly efficient method lies in rapid hydrothermal deposition, which kinetically promotes the growth of [221]-oriented crystals [15]. Additionally, during synthesis processes such as close space sublimation (CSS) [47], rapid thermal evaporation (RTE) [45], and vapor transport deposition (VTD) [48], carefully balancing the temperature between the evaporation source and the substrate has been shown to be crucial for promoting [hk1] orientation and enhancing the crystallinity of Sb2(S,Se)3 films. High-quality crystals, characterized by low defect density, extended carrier lifetimes, elevated electron and hole mobilities, and uniform crystal structures, play a pivotal role in reducing internal resistance and optimizing carrier transport in solar cells.
- (2)
- Band alignment absorber layer and charge-transport layers. To fully unlock the potential of Sb2(S,Se)3 solar cells in terms of the PCE, the optimization of the carrier transport path has emerged as a paramount step forward in advancing their performance. This can be achieved through careful adjustment of CBO at the ETL/absorber interface and VBO at the absorber/HTL interfaces [49]. The proper alignment of the energy bands between the absorber layer and charge–transport layers is essential for minimizing energy-level mismatches and reducing the interface energy barriers. Optimizing the interface energy barrier involves using ETLs and HTLs with minimal defects or employing doping strategies to mitigate band mismatch. For example, nitrogen-containing functional groups in ethylenediamine (EDA) can coordinate with CdS, and shift the Fermi level of EDA–CdS toward the conduction band [50]. Alternatively, in situ oxygen doping of CdS films results in a lower conduction band level compared to that of control CdS films [51]. Various configurations of CdS-based ETLs such as SnO2/CdS [25,52], TiO2/CdS [53,54], ZnO/CdS [55], and Zn(O,S)/CdS [56] ensure well-matched band alignment, thereby facilitating efficient charge transport in Sb2(S,Se)3 solar cells.
- (1)
- Regulation of the interface recombination. Annealing and interface treatments are essential for rectifying instability, smoothing out roughness, and enhancing conductivity within ETLs. This helps minimize the defect density and lower carrier recombination at the ETL/absorber junction. For example, oxygen-doped cadmium sulfide (CdS:O) facilitates the tailoring of (Sb4S(e)6)n ribbons to the (221)-textured orientation [61], CdCl2-modified CdS films passivate surface defects [62], and KCl-treated CdS films promote absorption layer growth [10]. Furthermore, enhancing the p-type characteristics of HTL materials through doping or developing low-cost and efficient alternatives is crucial for increasing hole mobility and improving material conductivity, such as high-mobility and work-function NiOx [63,64], excellent near-infrared-absorption PbS colloidal quantum dots [7,65], and high-hole-mobility and high-stability CuSCN [66]. These alternative approaches hold significant potential in increasing the performance of solar cells, primarily through the enhancement of hole mobility and the mitigation of interface recombination.
- (2)
- Balance of the relationship between the thickness of the absorber and bulk defects. Both theoretical calculations [67,68,69] and experimental measurements [3,70] have demonstrated the complex defect mechanisms in Sb2(S,Se)3. The thickness of the absorber layer influences both photon absorption and carrier transport [71]. If the absorber layer is too thin, insufficient photon absorption occurs, and pinhole formation increases, thereby resulting in a low Jsc. However, during the actual preparation process, overly thick layers increase photon absorption while also increasing the series resistance and carrier transport distance, thereby intensifying carrier recombination. The thickness of the absorber layer can be controlled by adjusting the synthesis/fabrication time and growth rate. Furthermore, the absorber bulk defects are reduced through empirical methods such as adjusting the Se/S atomic ratio [15,72], postselenization treatments [73], seeding materials [74,75], or additive engineering [4,76].
5. Conclusions
Supplementary Materials
Author Contributions
Funding
Data Availability Statement
Acknowledgments
Conflicts of Interest
References
- Nicolás-Marín, M.M.; González-Castillo, J.R.; Vigil-Galán, O.; Courel, M. The state of the art of Sb2(S,Se)3 thin film solar cells: Current progress and future prospect. J. Phys. D Appl. Phys. 2022, 55, 303001. [Google Scholar] [CrossRef]
- Wang, J.; Li, K.; Tang, J.; Chen, C. A Perspective of Antimony Chalcogenide Photovoltaics toward Commercialization. Sol. RRL 2023, 7, 2300436. [Google Scholar] [CrossRef]
- Dong, J.; Liu, H.; Ding, L.; Che, B.; Xiao, P.; Cao, Z.; Liu, Y.; Lou, L.; Tang, R.; Luo, J.; et al. Lowest Open-Circuit Voltage Deficit Achievement to Attain High Efficient Antimony Selenosulfide Solar Cells. Adv. Funct. Mater. 2023, 34, 2309764. [Google Scholar] [CrossRef]
- Chen, X.; Che, B.; Zhao, Y.; Wang, S.; Li, H.; Gong, J.; Chen, G.; Chen, T.; Xiao, X.; Li, J. Solvent-Assisted Hydrothermal Deposition Approach for Highly-Efficient Sb2(S,Se)3 Thin-Film Solar Cells. Adv. Energy Mater. 2023, 13, 2300391. [Google Scholar] [CrossRef]
- Rühle, S. Tabulated values of the Shockley–Queisser limit for single junction solar cells. Sol. Energy 2016, 130, 139–147. [Google Scholar] [CrossRef]
- Ding, C.; Wang, D.; Liu, D.; Li, H.; Li, Y.; Hayase, S.; Sogabe, T.; Masuda, T.; Zhou, Y.; Yao, Y.; et al. Over 15% Efficiency PbS Quantum-Dot Solar Cells by Synergistic Effects of Three Interface Engineering: Reducing Nonradiative Recombination and Balancing Charge Carrier Extraction. Adv. Energy Mater. 2022, 12, 2201676. [Google Scholar] [CrossRef]
- Chen, C.; Wang, L.; Gao, L.; Nam, D.; Li, D.; Li, K.; Zhao, Y.; Ge, C.; Cheong, H.; Liu, H.; et al. 6.5% Certified Efficiency Sb2Se3 Solar Cells Using PbS Colloidal Quantum Dot Film as Hole-Transporting Layer. ACS Energy Lett. 2017, 2, 2125–2132. [Google Scholar] [CrossRef]
- Bertens, K.; Fan, J.Z.; Biondi, M.; Rasouli, A.S.; Lee, S.; Li, P.; Sun, B.; Hoogland, S.; de Arquer, F.P.G.; Lu, Z.-H.; et al. Colloidal Quantum Dot Solar Cell Band Alignment using Two-Step Ionic Doping. ACS Mater. Lett. 2020, 2, 1583–1589. [Google Scholar] [CrossRef]
- Zhou, R.; Li, X.; Wan, L.; Niu, H.; Wang, H.; Yang, X.; Wang, X.; Hou, J.; Xu, J.; Xu, B. Bulk Heterojunction Antimony Selenosulfide Thin-Film Solar Cells with Efficient Charge Extraction and Suppressed Recombination. Adv. Funct. Mater. 2023, 34, 2308021. [Google Scholar] [CrossRef]
- Liu, A.; Tang, R.; Huang, L.; Xiao, P.; Dong, Y.; Zhu, C.; Wang, H.; Hu, L.; Chen, T. KCl Treatment of CdS Electron-Transporting Layer for Improved Performance of Sb2(S,Se)3 Solar Cells. ACS Appl. Mater. Interfaces 2023, 15, 48147–48153. [Google Scholar] [CrossRef]
- Dong, J.; Liu, H.; Cao, Z.; Liu, Y.; Bai, Y.; Chen, M.; Liu, B.; Wu, L.; Luo, J.; Zhang, Y.; et al. Low-Cost Antimony Selenosulfide with Tunable Bandgap for Highly Efficient Solar Cells. Small 2022, 19, e2206175. [Google Scholar] [CrossRef] [PubMed]
- Dong, H.; Zhang, L.; Che, B.; Xiao, P.; Wang, H.; Zhu, C.; Chen, T. Hydrothermal Deposition of Antimony Selenosulfide on Titanium Oxide Nanoparticle Films for Cadmium-Free Solar Cells. ACS Appl. Opt. Mater. 2022, 1, 374–381. [Google Scholar] [CrossRef]
- Li, J.; Zhao, Y.; Li, C.; Wang, S.; Chen, X.; Gong, J.; Wang, X.; Xiao, X. Hydrazine Hydrate-Induced Surface Modification of CdS Electron Transport Layer Enables 10.30%-Efficient Sb2(S,Se)3 Planar Solar Cells. Adv. Sci. 2022, 9, 2202356. [Google Scholar] [CrossRef]
- Wang, X.; Tang, R.; Jiang, C.; Lian, W.; Ju, H.; Jiang, G.; Li, Z.; Zhu, C.; Chen, T. Manipulating the Electrical Properties of Sb2(S,Se)3 Film for High-Efficiency Solar Cell. Adv. Energy Mater. 2020, 10, 2002341. [Google Scholar] [CrossRef]
- Tang, R.; Wang, X.; Lian, W.; Huang, J.; Wei, Q.; Huang, M.; Yin, Y.; Jiang, C.; Yang, S.; Xing, G.; et al. Hydrothermal deposition of antimony selenosulfide thin films enables solar cells with 10% efficiency. Nat. Energy 2020, 5, 587–595. [Google Scholar] [CrossRef]
- Decock, K.; Zabierowski, P.; Burgelman, M. Modeling metastabilities in chalcopyrite-based thin film solar cells. J. Appl. Phys. 2012, 111, 043703. [Google Scholar] [CrossRef]
- Burgelman, M.; Nollet, P.; Degrave, S. Modelling polycrystalline semiconductor solar cells. Thin Solid Films 2000, 361–362, 527–532. [Google Scholar] [CrossRef]
- Chen, Y.; Wang, Y.; Wang, R.; Hu, X.; Tao, J.; Weng, G.-E.; Zhao, C.; Chen, S.; Zhu, Z.; Chu, J.; et al. Importance of Interfacial Passivation in the High Efficiency of Sb2Se3 Thin-Film Solar Cells: Numerical Evidence. ACS Appl. Energy Mater. 2020, 3, 10415–10422. [Google Scholar] [CrossRef]
- Hajjiah, A.; Gamal, M.; Kandas, I.; Gorji, N.E.; Shehata, N. DFT and AMPS-1D simulation analysis of all-perovskite solar cells based on CsPbI3/FAPbI3 bilayer structure. Sol. Energy Mater. Sol. Cells 2022, 248, 112026. [Google Scholar] [CrossRef]
- Xing, Y.; Guo, H.; Liu, J.; Zhang, S.; Qiu, J.; Yuan, N.; Ding, J. High-efficiency Sb2(S,Se)3 solar cells with MoO3 as a hole-transport layer. J. Alloy. Compd. 2022, 927, 166842. [Google Scholar] [CrossRef]
- Ngoupo, A.T.; Ouédraogo, S.; Zougmoré, F.; Ndjaka, J. Numerical analysis of ultrathin Sb2Se3-based solar cells by SCAPS-1D numerical simulator device. Chin. J. Phys. 2021, 70, 1–13. [Google Scholar] [CrossRef]
- Zhou, B.; Yin, X.; Zhang, J.; Zeng, G.; Li, B.; Zhang, J.; Feng, L. Numerical simulation of an innovative high efficiency solar cell with CdTe/Si composite absorption layer. Opt. Mater. 2020, 110, 110505. [Google Scholar] [CrossRef]
- Khadir, A. Sb2(S,Se)3-Based Thin Film Solar Cells: Numerical Investigation. Acta Phys. Pol. A 2023, 144, 52–60. [Google Scholar] [CrossRef]
- Mamta; Maurya, K.; Singh, V. Sb2Se3 versus Sb2S3 solar cell: A numerical simulation. Sol. Energy 2021, 228, 540–549. [Google Scholar] [CrossRef]
- Mao, X.; Bian, M.; Wang, C.; Zhou, R.; Wan, L.; Zhang, Z.; Zhu, J.; Chen, W.; Shi, C.; Xu, B. Ultrathin SnO2 Buffer Layer Aids in Interface and Band Engineering for Sb2(S,Se)3 Solar Cells with over 8% Efficiency. ACS Appl. Energy Mater. 2022, 5, 3022–3033. [Google Scholar] [CrossRef]
- Chen, C.; Tang, J. Open-Circuit Voltage Loss of Antimony Chalcogenide Solar Cells: Status, Origin, and Possible Solutions. ACS Energy Lett. 2020, 5, 2294–2304. [Google Scholar] [CrossRef]
- Shockley, W.; Queisser, H.J. Detailed Balance Limit of Efficiency of p-n Junction Solar Cells. J. Appl. Phys. 1961, 32, 510–519. [Google Scholar] [CrossRef]
- Green, M.A. Solar cell fill factors: General graph and empirical expressions. Solid-State Electron. 1981, 24, 788–789. [Google Scholar] [CrossRef]
- Qi, B.; Wang, J. Fill factor in organic solar cells. Phys. Chem. Chem. Phys. 2013, 15, 8972–8982. [Google Scholar] [CrossRef]
- Shi, J.; Zhao, C.; Yuan, J. Achieving High Fill Factor in Efficient P-i-N Perovskite Solar Cells. Small 2023, 19, e2302383. [Google Scholar] [CrossRef]
- Kim, H.D.; Ohkita, H. Potential Improvement in Fill Factor of Lead-Halide Perovskite Solar Cells. Sol. RRL 2017, 1, 1700027. [Google Scholar] [CrossRef]
- Ebon, I.R.; Ali, H.; Haque, D.; Islam, A.Z.M.T. Computational investigation towards highly efficient Sb2Se3 based solar cell with a thin WSe2 BSF layer. Eng. Res. Express 2023, 5, 045072. [Google Scholar] [CrossRef]
- Al Ahmed, S.R.; Sunny, A.; Rahman, S. Performance enhancement of Sb2Se3 solar cell using a back surface field layer: A numerical simulation approach. Sol. Energy Mater. Sol. Cells 2020, 221, 110919. [Google Scholar] [CrossRef]
- Mehmood, S.; Xia, Y.; Qu, F.; He, M. Investigating the Performance of Efficient and Stable Planer Perovskite Solar Cell with an Effective Inorganic Carrier Transport Layer Using SCAPS-1D Simulation. Energies 2023, 16, 7438. [Google Scholar] [CrossRef]
- Salem, M.S.; Shaker, A.; Abouelatta, M.; Alanazi, A.; Al-Dhlan, K.A.; Almurayziq, T.S. Numerical analysis of hole transport layer-free antimony selenide solar cells: Possible routes for efficiency promotion. Opt. Mater. 2022, 129, 112473. [Google Scholar] [CrossRef]
- Ding, C.; Zhang, Y.; Liu, F.; Kitabatake, Y.; Hayase, S.; Toyoda, T.; Yoshino, K.; Minemoto, T.; Katayama, K.; Shen, Q. Effect of the conduction band offset on interfacial recombination behavior of the planar perovskite solar cells. Nano Energy 2018, 53, 17–26. [Google Scholar] [CrossRef]
- Barthwal, S.; Gupta, R.; Kumar, A.; Ramesh, K.; Pathak, S.; Karak, S. Band offset engineering in antimony sulfide (Sb2S3) solar cells, using SCAPS simulation: A route toward PCE > 10%. Optik 2023, 282, 170868. [Google Scholar] [CrossRef]
- Chen, H.; Li, Z.-Q.; Sun, B.; Feng, X.-D. Towards high-efficiency planar heterojunction antimony sulfide solar cells. Opt. Mater. 2021, 121, 111556. [Google Scholar] [CrossRef]
- Ayala-Mató, F.; Vigil-Galán, O.; Nicolás-Marín, M.M.; Courel, M. Study of loss mechanisms on Sb2(S1−xSex)3 solar cell with n–i–p structure: Toward an efficiency promotion. Appl. Phys. Lett. 2021, 118, 073903. [Google Scholar] [CrossRef]
- Wang, D.; Li, Y.; Yang, Y.; Hayase, S.; Wu, H.; Wang, R.; Ding, C.; Shen, Q. How to minimize voltage and fill factor losses to achieve over 20% efficiency lead chalcogenide quantum dot solar cells: Strategies expected through numerical simulation. Appl. Energy 2023, 341, 121124. [Google Scholar] [CrossRef]
- Wang, A.; Wang, X.; Chen, Y. Investigation of the fundamental working mechanism for high-performance Sb2(S1−xSex)3 solar cells. Eur. Phys. J. Plus 2022, 137, 1085. [Google Scholar] [CrossRef]
- Li, Z.-Q.; Ni, M.; Feng, X.-D. Simulation of the Sb2Se3 solar cell with a hole transport layer. Mater. Res. Express 2019, 7, 016416. [Google Scholar] [CrossRef]
- Zhao, Y.; Wang, S.; Jiang, C.; Li, C.; Xiao, P.; Tang, R.; Gong, J.; Chen, G.; Chen, T.; Li, J.; et al. Regulating Energy Band Alignment via Alkaline Metal Fluoride Assisted Solution Post-Treatment Enabling Sb2(S,Se)3 Solar Cells with 10.7% Efficiency. Adv. Energy Mater. 2021, 12, 2103015. [Google Scholar] [CrossRef]
- Che, B.; Cai, Z.; Xiao, P.; Li, G.; Huang, Y.; Tang, R.; Zhu, C.; Yang, S.; Chen, T. Thermally Driven Point Defect Transformation in Antimony Selenosulfide Photovoltaic Materials. Adv. Mater. 2022, 35, e2208564. [Google Scholar] [CrossRef] [PubMed]
- Gao, J.; Che, B.; Cai, H.; Xiao, P.; Zhang, L.; Cai, Z.; Zhu, C.; Tang, R.; Chen, T. Single-source thermal evaporation converts anion controllable Sb2(S,Se)3 film for fabricating high-efficiency solar cell. Sci. China Mater. 2023, 66, 3415–3423. [Google Scholar] [CrossRef]
- Huang, M.; Cai, Z.; Chen, S. Quasi-one-dimensional Sb2(S,Se)3 alloys as bandgap-tunable and defect-tolerant photocatalytic semiconductors. J. Chem. Phys. 2020, 153, 014703. [Google Scholar] [CrossRef] [PubMed]
- Li, K.; Xie, Y.; Zhou, B.; Li, X.; Gao, F.; Xiong, X.; Li, B.; Zeng, G.; Ghali, M. Fabrication of closed-space sublimation Sb2(S1-xSex)3 thin-film based on a single mixed powder source for photovoltaic application. Opt. Mater. 2021, 122, 111659. [Google Scholar] [CrossRef]
- Zhang, L.; Bai, X.; Cui, X.; Zhang, M. Vapor transport deposited Sb2(S,Se)3 thin film: Effect of deposition temperature and Sb2S3/Sb2Se3 mass ratio. J. Cryst. Growth 2023, 622, 127385. [Google Scholar] [CrossRef]
- Zhao, Y.; Chen, X.; Li, J.; Xiao, X. A Review of Carrier Transport in High-Efficiency Sb2(S,Se)3 Solar Cells. Sol. RRL 2023, 7, 2300565. [Google Scholar] [CrossRef]
- Gu, Y.; Liang, W.; Che, Y.; Cai, Z.; Xiao, P.; Yang, J.; Zang, R.; Wang, H.; Wu, X.; Chen, T. Solvent Annealing Enabling Reconstruction of Cadmium Sulfide Film for Improved Heterojunction Quality and Photovoltaic Performance of Antimony Selenosulfide Solar Cells. Adv. Funct. Mater. 2023, 34, 2311577. [Google Scholar] [CrossRef]
- Li, K.; Cai, Z.; Yang, J.; Wang, H.; Zhang, L.; Tang, R.; Zhu, C.; Chen, T. Molecular Beam Epitaxy Deposition of In Situ O-Doped CdS Films for Highly Efficient Sb2(S,Se)3 Solar Cells. Adv. Funct. Mater. 2023, 33, 2304141. [Google Scholar] [CrossRef]
- Shi, X.; Zhang, F.; Dai, S.; Zeng, P.; Qu, J.; Song, J. Nanorod-textured Sb2(S,Se)3 bilayer with enhanced light harvesting and accelerated charge extraction for high-efficiency Sb2(S,Se)3 solar cells. Chem. Eng. J. 2022, 437, 135341. [Google Scholar] [CrossRef]
- Wang, W.; Wang, X.; Chen, G.; Chen, B.; Cai, H.; Chen, T.; Chen, S.; Huang, Z.; Zhu, C.; Zhang, Y. Promising Sb2(S,Se)3 Solar Cells with High Open Voltage by Application of a TiO2/CdS Double Buffer Layer. Sol. RRL 2018, 2, 1800208. [Google Scholar] [CrossRef]
- Wu, C.; Jiang, C.; Wang, X.; Ding, H.; Ju, H.; Zhang, L.; Chen, T.; Zhu, C. Interfacial Engineering by Indium-Doped CdS for High Efficiency Solution Processed Sb2(S1−xSex)3 Solar Cells. ACS Appl. Mater. Interfaces 2018, 11, 3207–3213. [Google Scholar] [CrossRef] [PubMed]
- Ishaq, M.; Deng, H.; Yuan, S.; Zhang, H.; Khan, J.; Farooq, U.; Song, H.; Tang, J. Efficient Double Buffer Layer Sb2(SexS1−x)3 Thin Film Solar Cell Via Single Source Evaporation. Sol. RRL 2018, 2, 1800144. [Google Scholar] [CrossRef]
- Zhao, Y.; Li, C.; Niu, J.; Zhi, Z.; Chen, G.; Gong, J.; Li, J.; Xiao, X. Zinc-based electron transport materials for over 9.6%-efficient S-rich Sb2(S,Se)3 solar cells. J. Mater. Chem. A 2021, 9, 12644–12651. [Google Scholar] [CrossRef]
- Rijal, S.; Adhikari, A.; Awni, R.A.; Xiao, C.; Li, D.-B.; Dokken, B.; Ellingson, A.; Flores, E.; Bista, S.S.; Pokhrel, D.; et al. Post-Annealing Treatment on Hydrothermally Grown Antimony Sulfoselenide Thin Films for Efficient Solar Cells. Sol. RRL 2022, 7, 2201009. [Google Scholar] [CrossRef]
- Lin, Y.-C.; Chang, C.-H.; Hung, Y.-J. Bandgap grading via sputtering and post-selenization using SeS2 powder enabling Sb2(S,Se)3 solar cells with 7.1% efficiency. Sol. Energy Mater. Sol. Cells 2023, 259, 112464. [Google Scholar] [CrossRef]
- Wang, C.; Li, D.; Mao, X.; Wan, L.; Cheng, Z.; Zhu, J.; Hoye, R.L.Z.; Zhou, R. Interfacial defect healing of In2S3/Sb2(S,Se)3 heterojunction solar cells with a novel wide-bandgap InOCl passivator. J. Mater. Chem. A 2023, 11, 19914–19924. [Google Scholar] [CrossRef]
- Pan, X.; Pan, Y.; Wang, L.; Zhao, C.; Hu, X.; Jiang, J.; Yang, B.; Chen, S.; Yang, P.; Chu, J.; et al. Interfacial engineering by applying double CdS structure electron transport layer for high-performance Sb2(S,Se)3 solar cells. Ceram. Int. 2023, 49, 22471–22478. [Google Scholar] [CrossRef]
- Dong, J.; Liu, Y.; Wang, Z.; Zhang, Y. Boosting VOC of antimony chalcogenide solar cells: A review on interfaces and defects. Nano Sel. 2021, 2, 1818–1848. [Google Scholar] [CrossRef]
- Han, X.; Shi, C.; Huang, Y.; Lv, K.; Chen, W.; Guo, F.; Wang, Y. Precise Preparation of CdS Thin Films for Efficient Sb2S3–ySey Thin-Film Solar Cells. ACS Appl. Energy Mater. 2023, 6, 6311–6316. [Google Scholar] [CrossRef]
- Huang, S.; Xing, Y.; Zhu, H.; Zhang, T.; Geng, K.; Yang, Y.; Zhang, H.; Gu, Q.; Qiu, J.; Jiang, S.; et al. Enhancement in the efficiency of Sb2(S,Se)3 thin-film solar cells with spin-coating NiOx as the hole transport layer. J. Mater. Chem. C 2024, 12, 3098–3104. [Google Scholar] [CrossRef]
- Li, J.; Hu, X.; Zheng, X.; Gao, Z.; Wang, S.; Liu, Y.; Wang, C.; Shao, W.; Fang, G. Stability and Efficiency Enhancement of Antimony Selenosulfide Solar Cells with Inorganic SnS-Modified Nickel Oxide Hole Transport Materials. Energy Technol. 2023, 12, 2300694. [Google Scholar] [CrossRef]
- Wei, Y.; Ding, C.; Shi, G.; Bi, H.; Li, Y.; Li, H.; Liu, D.; Yang, Y.; Wang, D.; Chen, S.; et al. Stronger Coupling of Quantum Dots in Hole Transport Layer Through Intermediate Ligand Exchange to Enhance the Efficiency of PbS Quantum Dot Solar Cells. Small Methods 2024, 2400015. [Google Scholar] [CrossRef] [PubMed]
- Li, K.; Wang, S.; Chen, C.; Kondrotas, R.; Hu, M.; Lu, S.; Wang, C.; Chen, W.; Tang, J. 7.5% n–i–p Sb2Se3 solar cells with CuSCN as a hole-transport layer. J. Mater. Chem. A 2019, 7, 9665–9672. [Google Scholar] [CrossRef]
- Zhang, B.; Qian, X. Competing Superior Electronic Structure and Complex Defect Chemistry in Quasi-One-Dimensional Antimony Chalcogenide Photovoltaic Absorbers. ACS Appl. Energy Mater. 2022, 5, 492–502. [Google Scholar] [CrossRef]
- Savory, C.N.; Scanlon, D.O. The complex defect chemistry of antimony selenide. J. Mater. Chem. A 2019, 7, 10739–10744. [Google Scholar] [CrossRef]
- Huang, M.; Xu, P.; Han, D.; Tang, J.; Chen, S. Complicated and Unconventional Defect Properties of the Quasi-One-Dimensional Photovoltaic Semiconductor Sb2Se3. ACS Appl. Mater. Interfaces 2019, 11, 15564–15572. [Google Scholar] [CrossRef]
- Huang, Y.; Tang, R.; Wang, G.; Li, G.; Che, B.; Wang, Y.; Lian, W.; Zhu, C.; Chen, T. Chemical insight into the hydrothermal deposition of Sb2(S,Se)3 towards delicate microstructure engineering. J. Mater. Chem. A 2022, 10, 9892–9901. [Google Scholar] [CrossRef]
- Wu, M.; Han, N.; Chen, Y.; Zeng, H.; Li, X. Performance investigation of antimony chalcogenide based thin film solar cells via SCAPS simulation. Optik 2023, 272, 170393. [Google Scholar] [CrossRef]
- Wang, R.; Qin, D.; Zheng, S.; Weng, G.; Hu, X.; Tao, J.; Chu, J.; Akiyama, H.; Chen, S. Influence of S-content ratios on the defect properties of Sb2(S, Se1–)3 thin-film solar cells. Sol. Energy Mater. Sol. Cells 2023, 260, 112501. [Google Scholar] [CrossRef]
- Chen, G.-J.; Tang, R.; Chen, S.; Zheng, Z.-H.; Su, Z.-H.; Ma, H.-L.; Zhang, X.-H.; Fan, P.; Liang, G.-X. Crystal Growth Promotion and Defect Passivation by Hydrothermal and Selenized Deposition for Substrate-Structured Antimony Selenosulfide Solar Cells. ACS Appl. Mater. Interfaces 2022, 14, 31986–31997. [Google Scholar] [CrossRef]
- Zhang, L.; Lian, W.; Zhao, X.; Yin, Y.; Chen, T.; Zhu, C. Sb2S3 Seed-Mediated Growth of Low-Defect Sb2S3 on a TiO2 Substrate for Efficient Solar Cells. ACS Appl. Energy Mater. 2020, 3, 12417–12422. [Google Scholar] [CrossRef]
- Amin, A.; Li, D.; Duan, X.; Vijayaraghavan, S.N.; Menon, H.G.; Wall, J.; Weaver, M.; Cheng, M.M.; Zheng, Y.; Li, L.; et al. Enhanced Efficiency and Stability in Sb2S3 Seed Layer Buffered Sb2Se3 Solar Cells. Adv. Mater. Interfaces 2022, 9, 2200547. [Google Scholar] [CrossRef]
- Baron-Jaimes, A.; Ortiz-Soto, K.A.; Millán-Franco, M.A.; Gamboa, R.A.M.; Rincón, M.E.; Jaramillo-Quintero, O.A. Additive engineering by tetrabutylammonium iodide for antimony selenosulfide solar cells. J. Phys. D Appl. Phys. 2023, 56, 485501. [Google Scholar] [CrossRef]
- Mamta; Kumari, R.; Maurya, K.; Singh, V. Sb2(S,Se)3-based photovoltaic cell with MoS2 as a hole transport layer: A numerical investigation. Mater. Today Sustain. 2022, 20, 100218. [Google Scholar] [CrossRef]
- Nicolás-Marín, M.; Ayala-Mato, F.; Vigil-Galán, O.; Courel, M. Simulation analysis of Cd1−xZnxS/Sb2(Se1−xSx)3 solar cells with n-i-p structure. Sol. Energy 2021, 224, 245–252. [Google Scholar] [CrossRef]
- Nicolás-Marín, M.M.; Vigil-Galán, O.; Ayala-Mato, F.; Courel, M. Analysis of Hole Transport Layer and Electron Transport Layer Materials in the Efficiency Improvement of Sb2(Se1−xSx)3 Solar Cell. Phys. Status Solidi (B) 2022, 260, 2200342. [Google Scholar] [CrossRef]
- Sekar, K.; Mayarambakam, S. Effect of Annealed and Non-Annealed Inorganic MnS Hole-Transport Layer for Efficient Sb2(S,Se)3 Solar Cells: A Theoretical Justification. Phys. Status Solidi (B) 2023, 260, 2300087. [Google Scholar] [CrossRef]
- Gharibshahian, I.; Orouji, A.A.; Sharbati, S. Efficient Sb2(S,Se)3/Zn(O,S) solar cells with high open-circuit voltage by controlling sulfur content in the absorber-buffer layers. Sol. Energy 2021, 227, 606–615. [Google Scholar] [CrossRef]
- Barthwal, S.; Singh, S.; Chauhan, A.K.; Karuppannan, R. Design and Simulation of CdS-Free Sb2(S, Se)3 Solar Cells with Efficiency Exceeding 20%. ACS Sustain. Chem. Eng. 2023, 12, 947–958. [Google Scholar] [CrossRef]







| Voc (V) | FF (%) | Voc Losst (a) (V) | FF Loss (b) (%) | nID | Jsc (mA·cm−2) | PCE (%) | |
|---|---|---|---|---|---|---|---|
| Simulation 1 | 0.64 | 68.35 | 0.79 | 10.79 | 1.39 | 24.63 | 10.72 |
| Simulation 2 | 0.64 | 79.55 | 0.79 | 2.80 | 1.10 | 24.79 | 12.57 |
| Simulation 3 | 0.76 | 81.31 | 0.67 | 3.02 | 1.11 | 24.86 | 15.31 |
| Simulation 4 | 0.98 | 86.34 | 0.45 | 0.96 | 1.08 | 27.93 | 23.75 |
| Simulation 5 | 0.99 | 87.09 | 0.44 | 0.31 | 1.08 | 30.93 | 26.77 |
Disclaimer/Publisher’s Note: The statements, opinions and data contained in all publications are solely those of the individual author(s) and contributor(s) and not of MDPI and/or the editor(s). MDPI and/or the editor(s) disclaim responsibility for any injury to people or property resulting from any ideas, methods, instructions or products referred to in the content. |
© 2024 by the authors. Licensee MDPI, Basel, Switzerland. This article is an open access article distributed under the terms and conditions of the Creative Commons Attribution (CC BY) license (https://creativecommons.org/licenses/by/4.0/).
Share and Cite
Xiong, X.; Ding, C.; Jiang, B.; Zeng, G.; Li, B. An Optimization Path for Sb2(S,Se)3 Solar Cells to Achieve an Efficiency Exceeding 20%. Nanomaterials 2024, 14, 1433. https://doi.org/10.3390/nano14171433
Xiong X, Ding C, Jiang B, Zeng G, Li B. An Optimization Path for Sb2(S,Se)3 Solar Cells to Achieve an Efficiency Exceeding 20%. Nanomaterials. 2024; 14(17):1433. https://doi.org/10.3390/nano14171433
Chicago/Turabian StyleXiong, Xiaoyong, Chao Ding, Bingfeng Jiang, Guanggen Zeng, and Bing Li. 2024. "An Optimization Path for Sb2(S,Se)3 Solar Cells to Achieve an Efficiency Exceeding 20%" Nanomaterials 14, no. 17: 1433. https://doi.org/10.3390/nano14171433
APA StyleXiong, X., Ding, C., Jiang, B., Zeng, G., & Li, B. (2024). An Optimization Path for Sb2(S,Se)3 Solar Cells to Achieve an Efficiency Exceeding 20%. Nanomaterials, 14(17), 1433. https://doi.org/10.3390/nano14171433
