Significant Carrier Extraction Enhancement at the Interface of an InN/p-GaN Heterojunction under Reverse Bias Voltage
Abstract
1. Introduction
2. Materials and Methods
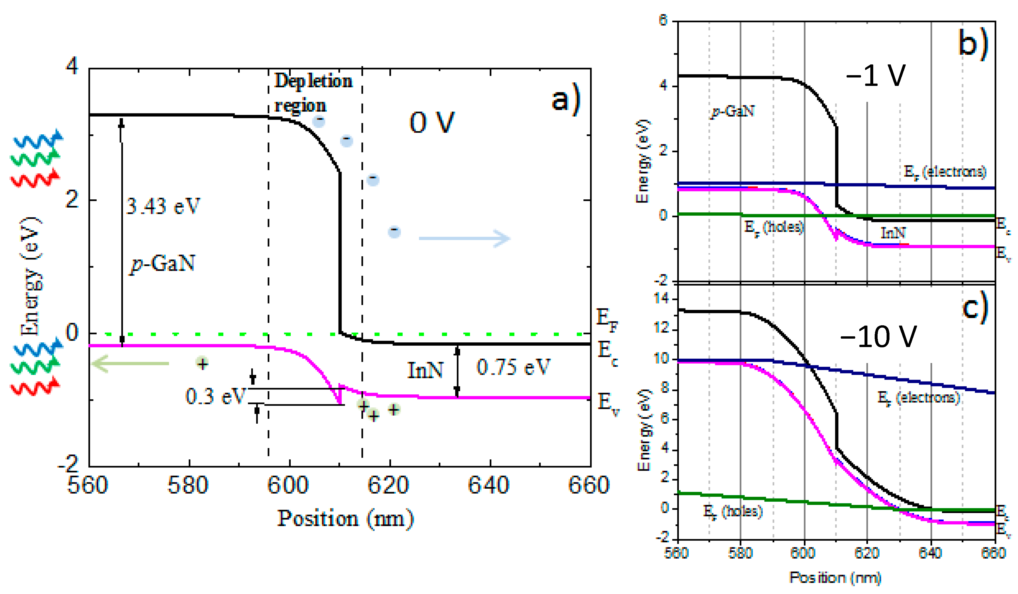
3. Results and Discussion
4. Conclusions
Author Contributions
Funding
Conflicts of Interest
References
- Wu, J. Unusual properties of the fundamental band gap of InN. Appl. Phys. Lett. 2002, 80, 3967–3969. [Google Scholar] [CrossRef]
- Millot, M. Determination of effective mass in InN by high-field oscillatory magnetoabsorption spectroscopy. Phys. Rev. B 2011, 83, 125204. [Google Scholar] [CrossRef]
- Thomas, E.L.; Groishnyy, T.; Maldovan, M. Phononics: Colloidal crystals go hypersonic. Nat. Mater. 2006, 5, 773–774. [Google Scholar] [CrossRef] [PubMed]
- Klemens, P. Anharmonic Decay of Optical Phonons. Phys. Rev. 1966, 148, 845. [Google Scholar] [CrossRef]
- Pomeroy, J.W.; Kuball, M.; Lu, H.; Schaff, W.J.; Wang, X.; Yoshikawa, A. Phonon lifetimes and phonon decay in InN. Appl. Phys. Lett. 2005, 86, 223501. [Google Scholar] [CrossRef]
- Conibeer, G.; Shrestha, S.; Huang, S.; Patterson, R.; Xia, H.; Feng, Y.; Zhang, P.; Gupta, N.; Tayebjee, M.; Smyth, S.; et al. Hot carrier solar cell absorber prerequisites and candidate material systems. Sol. Energy Mater. Sol. Cells 2015, 135, 124–129. [Google Scholar] [CrossRef]
- Shrestha, S.; Aliberti, P.; Conibeer, G.J. Energy selective contacts for hot carrier solar cells. Sol. Energy Mater. Sol. Cells 2010, 94, 1546–1550. [Google Scholar] [CrossRef]
- Lozac’h, M.; Nakano, Y.; Sang, L.; Sakoda, K.; Sumiya, M. Study of Defect Levels in the Band Gap for a Thick InGaN Film. Jpn. J. Appl. Phys. 2012, 51, 121001. [Google Scholar] [CrossRef]
- Islam, S.M.; Protasenko, V.; Rouvimov, S.; Xing, H.; Jena, D. High-quality InN films on GaN using graded InGaN buffers by MBE. Jpn. J. Appl. Phys. 2016, 55, 05FD12. [Google Scholar] [CrossRef]
- Wu, G.G.; Li, W. Ch.; Shen, Ch. S.; Gao, F.B.; Liang, H.W.; Wang, H.; Song, L.J.; Du, G.T. Near infrared electroluminescence from n-InN/p-GaN light-emitting diodes. Appl. Phys. Lett. 2012, 10, 103504. [Google Scholar] [CrossRef]
- Rajpalke, M.K.; Bhat, T.N.; Roul, B.; Kumar, M.; Krupanidhi, S.B. Current transport in nonpolar a-plane InN/GaN heterostructures Schottky junction. J. Appl. Phys. 2012, 112, 023706. [Google Scholar] [CrossRef]
- Hsu, L.H.; Kuo, C.T.; Huang, J.K.; Hsu, S.C.; Lee, H.Y.; Kuo, H.C.; Lee, P.T.; Tsai, Y.L.; Hwang, Y.C.; Su, C.F.; et al. InN-based heterojunction photodetector with extended infrared response. Opt. Express 2015, 23, 31150–31162. [Google Scholar] [CrossRef] [PubMed]
- Dimakis, A. Surface structure and surface kinetics of InN grown by plasma-assisted atomic layer epitaxy. J. Appl. Phys. 2005, 97, 113520. [Google Scholar] [CrossRef]
- Kim, J.; Ji, M.H.; Detchprohm, T.; Ryou, J.H.; Dupuis, R.D.; Sood, A.K.; Dhar, N.K. AlxGa1−xN Ultraviolet Avalanche Photodiodes with Avalanche Gain Greater Than105. IEEE Photonics Technol. Lett. 2015, 27, 642. [Google Scholar] [CrossRef]
- Dupuis, R.D.; Ryou, J.H.; Shen, S.C.; Yoder, P.D.; Zhang, Y.; Kim, H.J.; Choi, S.; Lochner, Z. Growth and fabrication of high-performance GaN-based ultraviolet avalanche photodiodes. J. Cryst. Growth 2008, 310, 5217–5222. [Google Scholar] [CrossRef]
- McClintock, R.; Pau, J.L.; Minder, K.; Bayram, C.; Kung, P.; Razeghi, M. Hole-initiated multiplication in back-illuminated GaN avalanche photodiodes. Appl. Phys. Lett. 2007, 90, 141112. [Google Scholar] [CrossRef]
- Ji, M.H.; Kim, J.; Detchprohm, T.; Zhu, Y.Z.; Shen, S.C.; Dupuis, R.D. p-i-p-i-n Separate Absorption and Multiplication Ultraviolet Avalanche Photodiodes. IEEE Photonics Technol. Lett. 2018, 30, 181–184. [Google Scholar] [CrossRef]
- Padmanabhan, P.; Hancock, B.; Nikzad, S.; Bell, L.D.; Kroep, K.; Charbon, E. A Hybrid Readout Solution for GaN-Based Detectors Using CMOS Technology. Sensors 2018, 18, 449. [Google Scholar] [CrossRef]
- Cai, C.; Ge, M.; Xue, J.J.; Hu, L.Q.; Chen, D.J.; Lu, H.; Zhang, R.; Zheng, Y.D. An Improved Design for Solar-Blind AlGaN Avalanche Photodiodes. IEEE Photonics J. 2017, 9, 6803507. [Google Scholar] [CrossRef]
- Watanabe, K.; Nakanishi, N.; Yamazaki, T.; Yang, J.R.; Huang, S.Y.; Inoke, K.; Hsu, J.T.; Tu, R.C.; Shiojiri, M. Atomic-scale strain field and In atom distribution in multiple quantum wells InGaN/GaN. Appl. Phys. Lett. 2003, 82, 715. [Google Scholar]
- Cho, H.K.; Lee, J.Y.; Sharma, N.; Humphreys, C.J.; Yang, G.M.; Kim, C.S.; Song, J.H.; Yu, P.W. Response to “Comment on ‘Effect of growth interruptions on the light emission and indium clustering of InGaN/GaN multiple quantum wells’” [Appl. Phys. Lett. 81, 3100 (2002)]. Appl. Phys. Lett. 2002, 81, 3102. [Google Scholar] [CrossRef]
- Feng, S.-W.; Cheng, Y.-C.; Chung, Y.-Y.; Yang, C.C.; Mao, M.-H.; Lin, Y.-S.; Ma, K.-J.; Chyi, J.-I. Multiple-component photoluminescence decay caused by carrier transport in InGaN/GaN multiple quantum wells with indium aggregation structures. Appl. Phys. Lett. 2002, 80, 4375. [Google Scholar] [CrossRef]
- Lin, Y.-S.; Ma, K.-J.; Hsu, C.; Feng, S.-W.; Cheng, Y.-C.; Liao, C.-C.; Yang, C.C.; Chou, C.-C.; Lee, C.-M.; Chyi, J.-I. Dependence of composition fluctuation on indium content in InGaN/GaN multiple quantum wells. Appl. Phys. Lett. 2000, 77, 2988. [Google Scholar] [CrossRef]
- Cheng, Y.C.; Tseng, C.H.; Hsu, C.; Ma, K.J.; Feng, S.W.; Lin, E.C.; Yang, C.C.; Chyi, J.I. Mechanisms for photon-emission enhancement with silicon doping in InGaN/GaN quantum-well structures. J. Electron. Mater. 2003, 32, 375. [Google Scholar] [CrossRef]
- Kisailus, D.; Choi, J.H.; Lange, F.F. GaN nanocrystals from oxygen and nitrogen-based precursors. J. Cryst. Growth 2003, 252, 106–120. [Google Scholar] [CrossRef]
- Ridley, B.K. The LO phonon lifetime in GaN. J. Phys. Condens. Matter 1996, 8, L511. [Google Scholar] [CrossRef]
- Nakamura, S. GaN Growth Using GaN Buffer Layer. Jpn. J. Appl. Phys. 1991, 30, L1705–L1707. [Google Scholar] [CrossRef]
- Cimalla, V.; Förster, C.; Kittler, G.; Cimalla, I.; Kosiba, R.; Ecke, G.; Ambacher, O.; Goldhahn, R.; Shokhovets, S.; Georgakilas, A.; et al. Status of high efficiency and high power Thin GaN-LED development. Phys. Status Solidi C 2003, 6, 2818–2821. [Google Scholar] [CrossRef]
- Davydov, V.Y.; Klochikhin, A.A.; Seisyan, R.P.; Emtsev, V.V.; Ivanov, S.V.; Bechstedt, F.; Furthmüller, J.; Harima, H.; Mudryi, A.V.; Aderhold, J.; et al. Absorption and Emission of Hexagonal InN. Evidence of Narrow Fundamental Band Gap. Phys. Status Solidi B 2002, 229, R1–R3. [Google Scholar] [CrossRef]
- Tuna, Ö.; Behmenburg, H.; Giesen, C.; Kalisch, H.; Jansen, R.H.; Yablonskii, G.P.; Heuken, M. Dependence of InN properties on MOCVD growth parameters. Phys. Status Solidi C 2011, 8, 2044–2046. [Google Scholar] [CrossRef]
- Kuo, C.T.; Hsua, L.H.; Lai, Y.Y.; Cheng, S.Y.; Kuo, H.C.; Lin, C.C.; Cheng, Y.J. Dominant near infrared light-emitting diodes based on p-NiO/n-InN heterostructure on SiC substrate. Appl. Surf. Sci. 2017, 405, 449–454. [Google Scholar] [CrossRef]
- Barick, B.K.; Saroj, K.R.; Prasad, N.; Sutar, D.S.; Dhar, S. Identifying threading dislocation types in ammonothermally grown bulk α-GaN by confocal Raman 3-D imaging of volumetric stress distribution. J. Cryst. Growth 2018, 490, 104. [Google Scholar] [CrossRef]
- Bushuykin, P.A.; Andreev, B.A.; Yu, V.; Davydov, K.; Lobanov, D.N.; Kuritsyn, D.I.; Yablonskiy, A.N.; Averkiev, N.S.; Savchenko, G.M.; Krasilnik, Z.F. New photoelectrical properties of InN: Interband spectra and fast kinetics of positive and negative photoconductivity of InN. J. Appl. Phys. 2018, 123, 195701. [Google Scholar] [CrossRef]
- Bhuiyan, A.G.; Hashimoto, A.; Yamamoto, A. Indium nitride (InN): A review on growth, characterization, and properties. J. Appl. Phys. 2003, 94, 2779. [Google Scholar] [CrossRef]
- Lund, C.; Catalano, M.; Wang, L.; Wurm, C.; Mates, T.; Kim, M.; Nakamura, S.; DenBaars, S.P.; Mishra, U.K.; Keller, S. Metal-organic chemical vapor deposition of N-polar InN quantum dots and thin films on vicinal GaN. J. Appl. Phys. 2018, 123, 055702. [Google Scholar] [CrossRef]
- Jamil, M.; Zhao, H.; Higgins, J.B.; Tansu, N. MOVPE and photoluminescence of narrow band gap (0.77 eV) InN on GaN/sapphire by pulsed growth mode. Phys. Status Solidi A 2008, 205, 2886–2891. [Google Scholar] [CrossRef]
- Bayram, C.; Fain, B.; Péré-laperne, N.; Mc Clintock, R.; Razeghi, M. Pulsed metalorganic chemical vapor deposition of high quality AlN/GaN superlattices for intersubband transitions. Proc. SPIE 2009, 7222, 722212. [Google Scholar]
- Johnson, M.C.; Konsek, S.L.; Zettl, A.; Bourret-Courchesne, E.D. Nucleation and growth of InN thin films using conventional and pulsed MOVPE. J. Cryst. Growth 2004, 272, 400–406. [Google Scholar] [CrossRef]
- Zhang, Y.; Zhou, X.; Xu, S.; Wang, Z.; Chen, Z.; Zhang, J.; Zhang, J.; Hao, Y. Effects of growth temperature on the properties of InGaN channel heterostructures grown by pulsed metal organic chemical vapor deposition. AIP Adv. 2015, 5, 127102. [Google Scholar] [CrossRef]
- Bhuiyan, A.G.; Sugita, K.; Hashimoto, A.; Yamamoto, A. InGaN solar cells: Present state of the art and important challenges. IEEE J. Photovolt. 2012, 2, 276–293. [Google Scholar] [CrossRef]
- Mickevičius, J.; Dobrovolskas, D.; Steponavičius, T.; Malinauskas, T.; Kolenda, M.; Kadys, A.; Tamulaitis, G. Engineering of InN epilayers by repeated deposition of ultrathin layers in pulsed MOCVD growth. Appl. Surf. Sci. 2018, 427, 1027–1032. [Google Scholar] [CrossRef]
- Wang, H.; Jiang, D.S.; Zhu, J.J.; Zhao, D.G.; Liu, Z.S.; Wang, Y.T.; Zhang, S.M.; Yang, H. The influence of growth temperature and input V/III ratio on the initial nucleation and material properties of InN on GaN by MOCVD. Semicond. Sci. Technol. 2009, 24, 055001. [Google Scholar] [CrossRef]
- Ruffenach, S.; Moret, M.; Briot, O.; Gil, B. Recent advances in the MOVPE growth of indium nitride. Phys. Status Solidi A 2010, 207, 9–18. [Google Scholar] [CrossRef]
- Wu, J.; Walukiewicz, W.; Shan, W.; Yu, K.M.; Ager, J.W.; Li, S.X.; Haller, E.E.; Lu, H.; Schaff, W.J. Temperature dependence of the fundamental band gap of InN. J. Appl. Phys. 2003, 94, 4457. [Google Scholar] [CrossRef]
- Reshchikov, M.A. Luminescence properties of defects in GaN. J. Appl. Phys. 2005, 97, 061301. [Google Scholar] [CrossRef]
- Dervos, C.T.; Skafidas, P.D.; Mergos, J.A.; Vassiliou, P. p-n Junction Photocurrent Modelling Evaluation under Optical and Electrical Excitation. Sensors 2004, 4, 58–70. [Google Scholar] [CrossRef]
- King, P.D.C.; Veal, T.D.; Kendrick, C.E.; Bailey, L.R.; Durbin, S.M.; McConvill, C.F. InN/GaN valence band offset: High-resolution x-ray photoemission spectroscopy measurements. Phys. Rev. B 2008, 78, 033308. [Google Scholar] [CrossRef]
- Ambacher, O.; Majewski, J.; Miskys, C.; Link, A.; Hermann, M.; Eickhoff, M.; Stutzmann, M.; Bernardini, F.; Fiorentini, V.; Tilak, V.; et al. Pyroelectric properties of Al(In)GaN/GaN hetero- and quantum well structures. J. Phys. Condens. Matter 2002, 14, 3399. [Google Scholar] [CrossRef]
- Perlin, P.; Leszczyñski, M.; Prystawko, P.; Wisniewski, P.; Czernetzki, R.; Skierbiszewski, C.; Nowak, G.; Purgal, W.; Weyher, J.L.; Kamler, G.; et al. Low dislocation density, high power InGaN laser diodes. MRS Internet J. Nitride Semicond. Res. 2004, 9. [Google Scholar] [CrossRef]
- Sze, S.M. Physics of Semiconductor Devices, 2nd ed.; Wiley: New York, NY, USA, 1981. [Google Scholar]
- Yang, Y.; Peng, X.; Hyatt, S.; Yu, D. Broadband Quantum Efficiency Enhancement in High Index Nanowire Resonators. Nano Lett. 2015, 15, 3541–3546. [Google Scholar] [CrossRef]
- Liu, F.; Yan, C.; Sun, K.; Zhou, F.; Hao, X.; Green, M.A. Light-Bias-Dependent External Quantum Efficiency of Kesterite Cu2ZnSnS4 Solar Cells. ACS Photonics 2017, 4, 1684–1690. [Google Scholar] [CrossRef]
- Aliberti, P.; Feng, Y.; Shrestha, S.K.; Green, M.A.; Conibeer, G.; Tu, L.W.; Tseng, P.H.; Clady, R. Effects of non-ideal energy selective contacts and experimental carrier cooling rate on the performance of an indium nitride based hot carrier solar cell. Appl. Phys. Lett. 2011, 99, 223507. [Google Scholar] [CrossRef]
- Chen, F.; Cartwright, A.N.; Lu, H.; Schaff, J. Time-resolved spectroscopy of recombination and relaxation dynamics in InN. Appl. Phys. Lett. 2003, 83, 4984. [Google Scholar] [CrossRef]
- Jensen, S.A.; Versluis, J.; Canovas, E.; Pijpers, J.J.H.; Sellers, I.R.; Bonn, M. Carrier Multiplication in Bulk Indium Nitride. Appl. Phys. Lett. 2012, 101, 222113. [Google Scholar] [CrossRef]
- Feng, S.; Chen, Y.; Lai, C.; Tu, L.; Han, J. Anisotropic strain relaxation and the resulting degree of polarization by one-and two-step growth in nonpolar a-plane GaN grown on r-sapphire substrate. J. Appl. Phys. 2013, 114, 233103–233109. [Google Scholar] [CrossRef]
- Krishnamoorthy, S.; Akyol, F.; Park, P.S.; Rajan, S. Low resistance GaN/InGaN/GaN tunnel junctions. Appl. Phys. Lett. 2013, 102, 11350. [Google Scholar] [CrossRef]







© 2018 by the authors. Licensee MDPI, Basel, Switzerland. This article is an open access article distributed under the terms and conditions of the Creative Commons Attribution (CC BY) license (http://creativecommons.org/licenses/by/4.0/).
Share and Cite
Svrcek, V.; Kolenda, M.; Kadys, A.; Reklaitis, I.; Dobrovolskas, D.; Malinauskas, T.; Lozach, M.; Mariotti, D.; Strassburg, M.; Tomašiūnas, R. Significant Carrier Extraction Enhancement at the Interface of an InN/p-GaN Heterojunction under Reverse Bias Voltage. Nanomaterials 2018, 8, 1039. https://doi.org/10.3390/nano8121039
Svrcek V, Kolenda M, Kadys A, Reklaitis I, Dobrovolskas D, Malinauskas T, Lozach M, Mariotti D, Strassburg M, Tomašiūnas R. Significant Carrier Extraction Enhancement at the Interface of an InN/p-GaN Heterojunction under Reverse Bias Voltage. Nanomaterials. 2018; 8(12):1039. https://doi.org/10.3390/nano8121039
Chicago/Turabian StyleSvrcek, Vladimir, Marek Kolenda, Arunas Kadys, Ignas Reklaitis, Darius Dobrovolskas, Tadas Malinauskas, Mickael Lozach, Davide Mariotti, Martin Strassburg, and Roland Tomašiūnas. 2018. "Significant Carrier Extraction Enhancement at the Interface of an InN/p-GaN Heterojunction under Reverse Bias Voltage" Nanomaterials 8, no. 12: 1039. https://doi.org/10.3390/nano8121039
APA StyleSvrcek, V., Kolenda, M., Kadys, A., Reklaitis, I., Dobrovolskas, D., Malinauskas, T., Lozach, M., Mariotti, D., Strassburg, M., & Tomašiūnas, R. (2018). Significant Carrier Extraction Enhancement at the Interface of an InN/p-GaN Heterojunction under Reverse Bias Voltage. Nanomaterials, 8(12), 1039. https://doi.org/10.3390/nano8121039

