DBD Plasma Combined with Different Foam Metal Electrodes for CO2 Decomposition: Experimental Results and DFT Validations
Abstract
1. Introduction
2. Experimental
2.1. Dielectric Materials
2.2. Experimental Setup
2.3. Gas Analysis and Parameter Definition
3. Results and Discussion
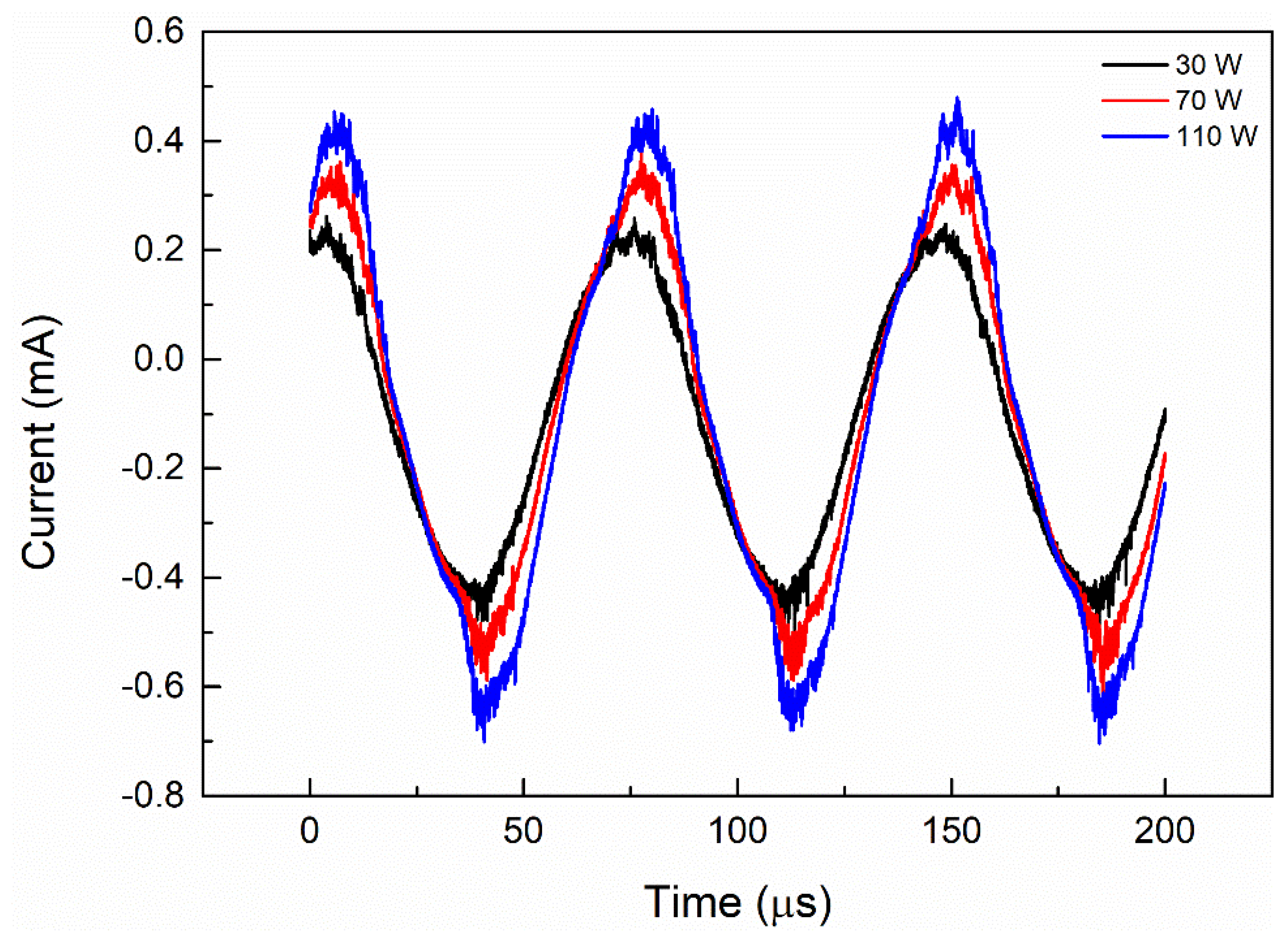
3.1. Effect of Packing Materials on Discharge Characteristics
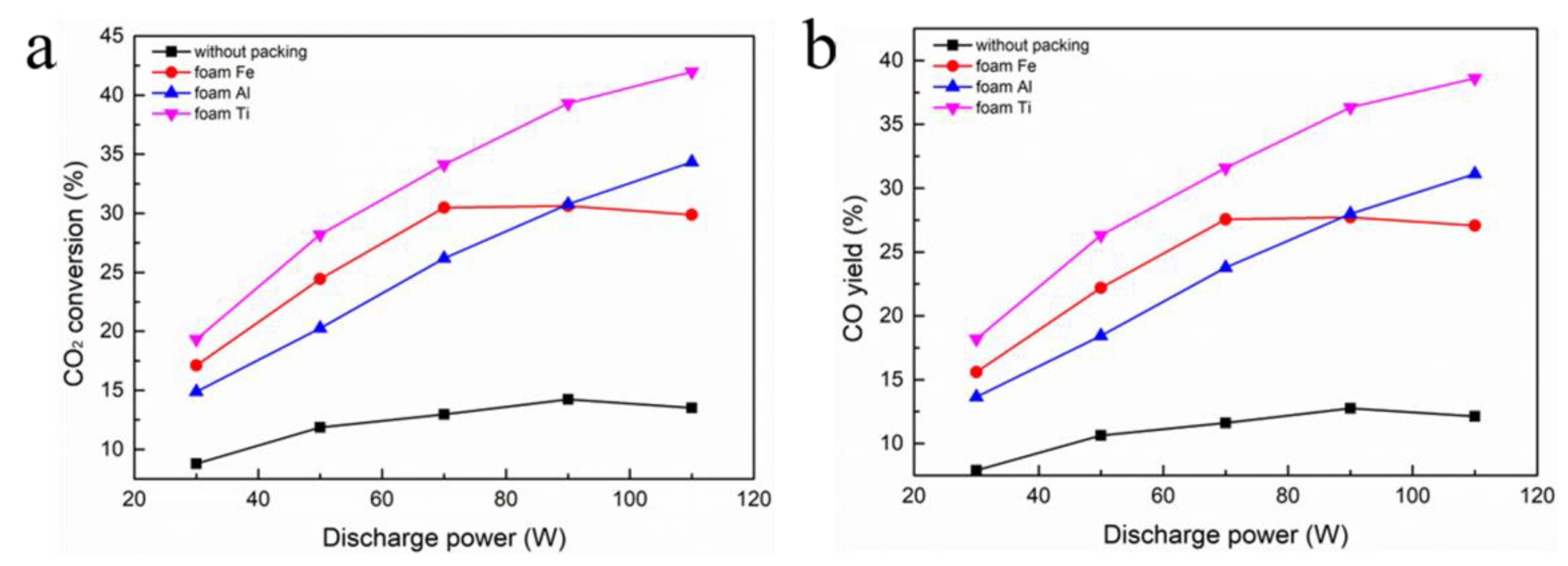
3.2. Effect of Packing Materials on CO2 Conversion and CO Yield
3.3. Effect of Discharge Power and Gas Flow Rate on CO2 Conversion
3.4. Effect of Discharge Power and Gas Flow Rate on Energy Efficiency
3.5. Effect of SIE on CO2 Conversion and Energy Efficiency
3.6. Effect of Different Packing Materials on CO Selectivity
3.7. DFT Validations
4. Conclusions
Author Contributions
Funding
Conflicts of Interest
References
- Havran, V.; Dudukovic, M.P.; Lo, C.S. Conversion of methane and carbon dioxide to higher value products. Ind. Eng. Chem. Res. 2011, 50, 7089–7100. [Google Scholar] [CrossRef]
- Aresta, M.; Dibenedetto, A.; Angelini, A. The changing paradigm in CO2 utilization. J. CO2 Util. 2013, 3, 65–73. [Google Scholar] [CrossRef]
- Markewitz, P.; Kuckshinrichs, W.; Leitner, W.; Linssen, J.; Zapp, P.; Bongartz, R.; Schreiber, A.; Müller, T.E. Worldwide innovations in the development of carbon capture technologies and the utilization of CO2. Energy Environ. Sci. 2012, 5, 7281–7305. [Google Scholar] [CrossRef]
- Saikia, P.; Saikia, J.; Sarmah, S.; Goswamee, R. Mesoporous oxidic holey nanosheets from Zn-Cr LDH synthesized by soft chemical etching of Cr3+ and its application as CO2 hydrogenation catalyst. J. CO2 Util. 2017, 21, 40–51. [Google Scholar] [CrossRef]
- Abdelaziz, O.Y.; Hosny, W.M.; Gadalla, M.A.; Ashour, F.H.; Ashour, I.A.; Hulteberg, C.P. Novel process technologies for conversion of carbon dioxide from industrial flue gas streams into methanol. J. CO2 Util. 2017, 21, 52–63. [Google Scholar] [CrossRef]
- Nunnally, T.; Gutsol, K.; Rabinovich, A.; Fridman, A.; Gutsol, A.; Kemoun, A. Dissociation of CO2 in a low current gliding arc plasmatron. J. Phys. D Appl. Phys. 2011, 44, 274009. [Google Scholar] [CrossRef]
- Mei, D.; Zhu, X.; He, Y.L.; Yan, J.D.; Tu, X. Plasma-assisted conversion of CO2 in a dielectric barrier discharge reactor: understanding the effect of packing materials. Plasma Sources Sci. Technol. 2014, 24, 015011. [Google Scholar] [CrossRef]
- Zhang, H.; Li, L.; Li, X.; Wang, W.; Yan, J.; Tu, X. Warm plasma activation of CO2 in a rotating gliding arc discharge reactor. J. CO2 Util. 2018, 27, 472–479. [Google Scholar] [CrossRef]
- Horvath, G.; Skalný, J.; Mason, N. FTIR study of decomposition of carbon dioxide in dc corona discharges. J. Phys. D Appl. Phys. 2008, 41, 225207. [Google Scholar] [CrossRef]
- Wang, J.Y.; Xia, G.G.; Huang, A.; Suib, S.L.; Hayashi, Y.; Matsumoto, H. CO2 decomposition using glow discharge plasmas. J. Catal. 1999, 185, 152–159. [Google Scholar] [CrossRef]
- Indarto, A.; Yang, D.R.; Choi, J.W.; Lee, H.; Song, H.K. Gliding arc plasma processing of CO2 conversion. J. Hazard. Mater. 2007, 146, 309–315. [Google Scholar] [CrossRef] [PubMed]
- Kozák, T.; Bogaerts, A. Splitting of CO2 by vibrational excitation in non-equilibrium plasmas: a reaction kinetics model. Plasma Sources Sci. Technol. 2014, 23, 045004. [Google Scholar] [CrossRef]
- Savinov, S.Y.; Lee, H.; Song, H.K.; Na, B.K. Decomposition of methane and carbon dioxide in a radio-frequency discharge. Ind. Eng. Chem. Res. 1999, 38, 2540–2547. [Google Scholar] [CrossRef]
- Lu, N.; Zhang, C.; Shang, K.; Jiang, N.; Li, J.; Wu, Y. Dielectric barrier discharge plasma assisted CO2 conversion: understanding the effects of reactor design and operating parameters. J. Phys. D Appl. Phys. 2019, 52, 224003. [Google Scholar] [CrossRef]
- Li, R.; Tang, Q.; Yin, S.; Sato, T. Plasma catalysis for CO2 decomposition by using different dielectric materials. Fuel Process. Technol. 2006, 87, 617–622. [Google Scholar] [CrossRef]
- Zhang, K.; Zhang, G.; Liu, X.; Phan, A.N.; Luo, K. A study on CO2 decomposition to CO and O2 by the combination of catalysis and dielectric-barrier discharges at low temperatures and ambient pressure. Ind. Eng. Chem. Res. 2017, 56, 3204–3216. [Google Scholar] [CrossRef]
- Zhang, H.; Zhu, F.; Li, X.; Cen, K.; Du, C.; Tu, X. Enhanced hydrogen production by methanol decomposition using a novel rotating gliding arc discharge plasma. RSC Adv. 2016, 6, 12770–12781. [Google Scholar] [CrossRef]
- Zhang, H.; Wang, W.; Li, X.; Han, L.; Yan, M.; Zhong, Y.; Tu, X. Plasma activation of methane for hydrogen production in a N2 rotating gliding arc warm plasma: a chemical kinetics study. Chem. Eng. J. 2018, 345, 67–78. [Google Scholar] [CrossRef]
- Tu, X.; Gallon, H.J.; Twigg, M.V.; Gorry, P.A.; Whitehead, J.C. Dry reforming of methane over a Ni/Al2O3 catalyst in a coaxial dielectric barrier discharge reactor. J. Phys. D Appl. Phys. 2011, 44, 274007. [Google Scholar] [CrossRef]
- Paulussen, S.; Verheyde, B.; Tu, X.; Bie, C.D.; Martens, T.; Petrovic, D.; Bogaerts, A.; Sels, B. Conversion of carbon dioxide to value-added chemicals in atmospheric pressure dielectric barrier discharges. Plasma Sources Sci. Technol. 2010, 19, 034015. [Google Scholar] [CrossRef]
- Rico, V.J.; Hueso, J.L.; Cotrino, J.; González-Elipe, A.R. Evaluation of different dielectric barrier discharge plasma configurations as an alternative technology for green C1 chemistry in the carbon dioxide reforming of methane and the direct decomposition of methanol. J. Phys. Chem. A 2010, 114, 4009–4016. [Google Scholar] [CrossRef] [PubMed]
- Mei, D.; Tu, X. Conversion of CO2 in a cylindrical dielectric barrier discharge reactor: effects of plasma processing parameters and reactor design. J. CO2 Util. 2017, 19, 68–78. [Google Scholar] [CrossRef]
- Snoeckx, R.; Heijkers, S.; Wesenbeeck, K.V.; Lenaerts, S.; Bogaerts, A. CO2 conversion in a dielectric barrier discharge plasma: N2 in the mix as a helping hand or problematic impurity? Energy Environ. Sci. 2016, 9, 999–1011. [Google Scholar] [CrossRef]
- Michielsen, I.; Uytdenhouwen, Y.; Pype, J.; Michielsen, B.; Mertens, J.; Reniers, F.; Meynen, V.; Bogaerts, A. CO2 dissociation in a packed bed DBD reactor: first steps towards a better understanding of plasma catalysis. Chem. Eng. J. 2017, 326, 477–488. [Google Scholar] [CrossRef]
- Uytdenhouwen, Y.; Alphen, S.V.; Michielsen, I.; Meynen, V.; Cool, P.; Bogaerts, A. A packed-bed DBD micro plasma reactor for CO2 dissociation: does size matter? Chem. Eng. J. 2018, 348, 557–568. [Google Scholar] [CrossRef]
- Zhou, A.M.; Chen, D.; Ma, C.H.; Yu, F.; Dai, B. DBD plasma-ZrO2 catalytic decomposition of CO2 at low temperatures. Catalysts 2018, 8, 256. [Google Scholar] [CrossRef]
- Zhu, S.J.; Zhou, A.M.; Yu, F.; Dai, B.; Ma, C.H. Enhanced CO2 decomposition via metallic foamed electrode packed in self-cooling DBD plasma device. Plasma Sci. Technol. 2019, 21, 085504. [Google Scholar] [CrossRef]
- Zhou, A.M.; Chen, D.; Dai, B.; Ma, C.H.; Li, P.P.; Yu, F. Direct decomposition of CO2 using self-cooling dielectric barrier discharge plasma. Greenh. Gases Sci. Technol. 2017, 7, 721–730. [Google Scholar] [CrossRef]
- Uhm, H.S.; Jang, D.G.; Kim, M.S.; Suk, H. Density dependence of capillary plasma on the pressure and applied voltage. Phys. Plasmas 2012, 19, 024501. [Google Scholar] [CrossRef]
- Dong, L.F.; Li, X.C.; Yin, Z.Q.; Qian, S.F.; Ouyang, J.T.; Wang, L. Self-organized filaments in dielectric barrier discharge in air at atmospheric pressure. Chin. Phys. Lett. 2001, 18, 1380. [Google Scholar]
- Lu, N.; Bao, X.; Jiang, N.; Shang, K.; Li, J.; Wu, Y. Non-thermal plasma-assisted catalytic dry reforming of methane and carbon dioxide over G-C3N4-based catalyst. Top. Catal. 2017, 60, 855–868. [Google Scholar] [CrossRef]
- Shrestha, R.; Tyata, R.; Subedi, D. Effect of applied voltage in electron density of homogeneous dielectric barrier discharge at atmospherice pressure. Himal. Phys. 2013, 4, 10–13. [Google Scholar] [CrossRef]
- Duan, X.; Hu, Z.; Li, Y.; Wang, B. Effect of dielectric packing materials on the decomposition of carbon dioxide using DBD microplasma reactor. AIChE J. 2015, 61, 898–903. [Google Scholar] [CrossRef]
- Mei, D.; He, Y.L.; Liu, S.; Yan, J.; Tu, X. Optimization of CO2 conversion in a cylindrical dielectric barrier discharge reactor using design of experiments. Plasma Process. Polym. 2016, 13, 544–556. [Google Scholar] [CrossRef]
- Wu, A.J.; Zhang, H.; Li, X.D.; Lu, S.Y.; Du, C.M.; Yan, J.H. Determination of spectroscopic temperatures and electron density in rotating gliding arc discharge. IEEE Trans. Plasma Sci. 2015, 43, 836–845. [Google Scholar]
- Spencer, L.; Gallimore, A. CO2 dissociation in an atmospheric pressure plasma/catalyst system: a study of efficiency. Plasma Sources Sci. Technol. 2012, 22, 015019. [Google Scholar] [CrossRef]
- Aerts, R.; Martens, T.; Bogaerts, A. Influence of vibrational states on CO2 splitting by dielectric barrier discharges. J. Phys. Chem. C 2012, 116, 23257–23273. [Google Scholar] [CrossRef]
- Wang, Q.; Yan, B.H.; Jin, Y.; Cheng, Y. Investigation of dry reforming of methane in a dielectric barrier discharge reactor. Plasma Chem. Plasma Process. 2009, 29, 217–228. [Google Scholar] [CrossRef]
- Khassin, A.A.; Pietruszka, B.L.; Heintze, M.; Parmon, V.N. The impact of a dielectric barrier discharge on the catalytic oxidation of methane over Ni-containing catalyst. React. Kinet. Catal. Lett. 2004, 82, 131–137. [Google Scholar] [CrossRef]
- Niu, G.; Qin, Y.; Li, W.; Duan, Y. Investigation of CO2 splitting process under atmospheric pressure using multi-electrode cylindrical DBD plasma reactor. Plasma Chem. Plasma Process. 2019, 39, 1–16. [Google Scholar] [CrossRef]
- Snoeckx, R.; Zeng, Y.; Tu, X.; Bogaerts, A. Plasma-based dry reforming: Improving the conversion and energy efficiency in a dielectric barrier discharge. RSC Adv. 2015, 5, 29799–29808. [Google Scholar] [CrossRef]
- Tu, X.; Whitehead, J. Plasma-catalytic dry reforming of methane in an atmospheric dielectric barrier discharge: understanding the synergistic effect at low temperature. Appl. Catal. B Environ. 2012, 125, 439–448. [Google Scholar] [CrossRef]











© 2019 by the authors. Licensee MDPI, Basel, Switzerland. This article is an open access article distributed under the terms and conditions of the Creative Commons Attribution (CC BY) license (http://creativecommons.org/licenses/by/4.0/).
Share and Cite
Li, J.; Zhai, X.; Ma, C.; Zhu, S.; Yu, F.; Dai, B.; Ge, G.; Yang, D. DBD Plasma Combined with Different Foam Metal Electrodes for CO2 Decomposition: Experimental Results and DFT Validations. Nanomaterials 2019, 9, 1595. https://doi.org/10.3390/nano9111595
Li J, Zhai X, Ma C, Zhu S, Yu F, Dai B, Ge G, Yang D. DBD Plasma Combined with Different Foam Metal Electrodes for CO2 Decomposition: Experimental Results and DFT Validations. Nanomaterials. 2019; 9(11):1595. https://doi.org/10.3390/nano9111595
Chicago/Turabian StyleLi, Ju, Xingwu Zhai, Cunhua Ma, Shengjie Zhu, Feng Yu, Bin Dai, Guixian Ge, and Dezheng Yang. 2019. "DBD Plasma Combined with Different Foam Metal Electrodes for CO2 Decomposition: Experimental Results and DFT Validations" Nanomaterials 9, no. 11: 1595. https://doi.org/10.3390/nano9111595
APA StyleLi, J., Zhai, X., Ma, C., Zhu, S., Yu, F., Dai, B., Ge, G., & Yang, D. (2019). DBD Plasma Combined with Different Foam Metal Electrodes for CO2 Decomposition: Experimental Results and DFT Validations. Nanomaterials, 9(11), 1595. https://doi.org/10.3390/nano9111595

