Acetylcholinesterase Biosensor Based on Functionalized Renewable Carbon Platform for Detection of Carbaryl in Food
Abstract
:1. Introduction
2. Materials and Methods
2.1. Reagents and Apparatus
2.2. Renewable Carbon Functionalization and Biosensor Fabrication
2.3. Preparation of Real/Apple/Fruit Samples for Carbaryl Analysis
2.4. Electrochemical Experiments
3. Results and Discussion
3.1. Morphological Characterization
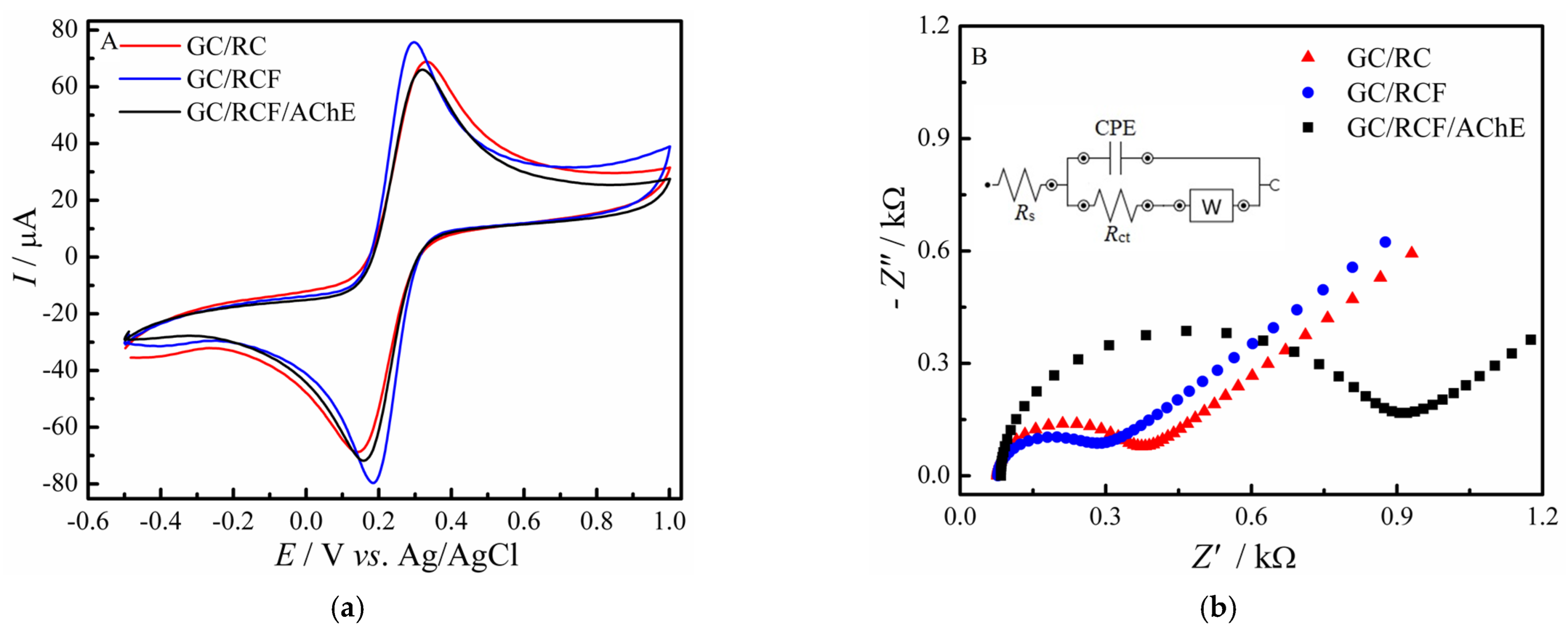
3.2. Electrochemical Characterization
3.3. AChE Immobilization Process and Acetylcholine Iodide Oxidation
3.4. Optimization of GC/RCF/AChE Biosensor Response
3.4.1. Effect of the Acid Functionalization Process
3.4.2. Optimization of RCF Concentration and pH of Supporting Electrolyte
- -
- For optimization purposes, the concentration of RCF during biosensor construction was evaluated between 25 to 100-μg mL−1, in PBS solution with 50 μmol L−1 of AChI, as shown in Figure 7A. The anodic peak current reaches its maximum value at the concentration of 50 μg mL−1, which was used in all the following experiments. In addition, the concentration of the AChE enzyme used was 40-µg mL−1, this value was optimized in a previous work of our research group [7].
- -
- The effect of the supporting electrolyte’s pH on the anodic peak current was also studied by varying the pH from 5.5 to 8.0. Figure 7B shows that the oxidation of thiocholine reaches its maximum value at pH 7.5, which was previously reported in the literature as an optimum condition for the proper functioning of the AChE enzyme with no denaturation and consequently loss of its catalytic activity [41]. Therefore, pH 7.5 was chosen in all the subsequent experiments.

3.5. Analytical Curve of Carbaryl Pesticide
3.6. Influence of Interferent in GC/RCF/AChE Biosensor Performance
3.7. Lifetime, Repeatability and Reproducibility
3.8. Analysis of Carbaryl in Apple Samples
4. Conclusions
Author Contributions
Funding
Institutional Review Board Statement
Informed Consent Statement
Data Availability Statement
Acknowledgments
Conflicts of Interest
References
- Hashemi, S.M.; Damalas, C.A. Farmers’ Perceptions of Pesticide Efficacy: Reflections on the Importance of Pest Management Practices Adoption. J. Sustain. Agric. 2011, 35, 69–85. [Google Scholar] [CrossRef]
- Searle, S.Y.; Malins, C.J. Waste and Residue Availability for Advanced Biofuel Production in EU Member States. Biomass Bioenergy 2016, 89, 2–10. [Google Scholar] [CrossRef]
- Colovic, M.B.; Krstic, D.Z.; Lazarevic-Pasti, T.D.; Bondzic, A.M.; Vasic, V.M. Acetylcholinesterase Inhibitors: Pharmacology and Toxicology. Curr. Neuropharmacol. 2013, 11, 315–335. [Google Scholar] [CrossRef] [PubMed] [Green Version]
- Ni, Y.; Cao, D.; Kokot, S. Simultaneous Enzymatic Kinetic Determination of Pesticides, Carbaryl and Phoxim, with the Aid of Chemometrics. Anal. Chim. Acta 2007, 588, 131–139. [Google Scholar] [CrossRef] [PubMed]
- Matsumura, F. Toxicology of Insecticides; Springer: Cham, Switzerland, 1985. [Google Scholar]
- ANVISA C03—Carbaril—Português (Brasil). Available online: https://www.gov.br/anvisa/pt-br/setorregulado/regularizacao/agrotoxicos/monografias/monografias-autorizadas/c/4219json-file-1/view (accessed on 27 October 2021).
- Da Silva, M.K.L.; Vanzela, H.C.; Defavari, L.M.; Cesarino, I. Determination of Carbamate Pesticide in Food Using a Biosensor Based on Reduced Graphene Oxide and Acetylcholinesterase Enzyme. Sens. Actuators B Chem. 2018, 277, 555–561. [Google Scholar] [CrossRef] [Green Version]
- De Oliveira Marques, P.R.; Yamanaka, H. Biossensores Baseados No Processo de Inibição Enzimática. Quimica Nova 2008, 31, 1791–1799. [Google Scholar] [CrossRef] [Green Version]
- Hatefi-Mehrjardi, A. Bienzyme Self-Assembled Monolayer on Gold Electrode: An Amperometric Biosensor for Carbaryl Determination. Electrochim. Acta 2013, 114, 394–402. [Google Scholar] [CrossRef]
- Kestwal, R.M.; Bagal-Kestwal, D.; Chiang, B.H. Fenugreek Hydrogel–Agarose Composite Entrapped Gold Nanoparticles for Acetylcholinesterase Based Biosensor for Carbamates Detection. Anal. Chim. Acta 2015, 886, 143–150. [Google Scholar] [CrossRef] [PubMed]
- Roy, S.; Rahman, I.A.; Santos, J.H.; Ahmed, M.U. Meat Species Identification Using DNA-Redox Electrostatic Interactions and Non-Specific Adsorption on Graphene Biochips. Food Control 2016, 61, 70–78. [Google Scholar] [CrossRef]
- Cesarino, I.; Moraes, F.C.; Lanza, M.R.V.; MacHado, S.A.S. Electrochemical Detection of Carbamate Pesticides in Fruit and Vegetables with a Biosensor Based on Acetylcholinesterase Immobilised on a Composite of Polyaniline-Carbon Nanotubes. Food Chem. 2012, 135, 873–879. [Google Scholar] [CrossRef] [PubMed]
- Liu, Q.; Fei, A.; Huan, J.; Mao, H.; Wang, K. Effective Amperometric Biosensor for Carbaryl Detection Based on Covalent Immobilization Acetylcholinesterase on Multiwall Carbon Nanotubes/Graphene Oxide Nanoribbons Nanostructure. J. Electroanal. Chem. 2015, 740, 8–13. [Google Scholar] [CrossRef]
- Wang, J. Analytical Electrochemistry, 2nd ed.; Wiley VCH: Hoboken, NJ, USA, 2000; Volume 3, ISBN 0-471-28272-3. [Google Scholar]
- Baig, N.; Sajid, M.; Saleh, T.A. Recent Trends in Nanomaterial-Modified Electrodes for Electroanalytical Applications. TrAC Trends Anal. Chem. 2019, 111, 47–61. [Google Scholar] [CrossRef]
- Ferreira, P.A.; Backes, R.; Martins, C.A.; de Carvalho, C.T.; da Silva, R.A.B. Biochar: A Low-Cost Electrode Modifier for Electrocatalytic, Sensitive and Selective Detection of Similar Organic Compounds. Electroanalysis 2018, 30, 2233–2236. [Google Scholar] [CrossRef]
- Wu, Y.; Chen, Y.; Zhang, S.; Zhang, L.; Gong, J. Bifunctional S, N-Codoped Carbon Dots-Based Novel Electrochemiluminescent Bioassay for Ultrasensitive Detection of Atrazine Using Activated Mesoporous Biocarbon as Enzyme Nanocarriers. Anal. Chim. Acta 2019, 1073, 45–53. [Google Scholar] [CrossRef] [PubMed]
- Abouelamaiem, D.I.; He, G.; Parkin, I.; Neville, T.P.; Jorge, A.B.; Ji, S.; Wang, R.; Titirici, M.M.; Shearing, P.R.; Brett, D.J.L. Synergistic Relationship between the Three-Dimensional Nanostructure and Electrochemical Performance in Biocarbon Supercapacitor Electrode Materials. Sustain. Energy Fuels 2018, 2, 772–785. [Google Scholar] [CrossRef] [Green Version]
- Syarif, N. Performance of Biocarbon Based Electrodes for Electrochemical Capacitor. In Proceedings of the Energy Procedia; Elsevier Ltd.: Cham, Switzerland, 2014; Volume 52, pp. 18–25. [Google Scholar]
- Quosai, P.; Anstey, A.; Mohanty, A.K.; Misra, M. Characterization of Biocarbon Generated by High- and Low-Temperature Pyrolysis of Soy Hulls and Coffee Chaff: For Polymer Composite Applications. R. Soc. Open Sci. 2018, 5, 171970. [Google Scholar] [CrossRef] [PubMed] [Green Version]
- Wang, J.; Wang, S. Preparation, Modification and Environmental Application of Biochar: A Review. J. Clean. Prod. 2019, 227, 1002–1022. [Google Scholar] [CrossRef]
- Sant’Anna, M.V.S.; Carvalho, S.W.M.M.; Gevaerd, A.; Silva, J.O.S.; Santos, E.; Carregosa, I.S.C.; Wisniewski, A.; Marcolino-Junior, L.H.; Bergamini, M.F.; Sussuchi, E.M. Electrochemical Sensor Based on Biochar and Reduced Graphene Oxide Nanocomposite for Carbendazim Determination. Talanta 2020, 220, 121334. [Google Scholar] [CrossRef] [PubMed]
- Gevaerd, A.; De Oliveira, P.R.; Mangrich, A.S.; Bergamini, M.F.; Marcolino-Junior, L.H. Evaluation of Antimony Microparticles Supported on Biochar for Application in the Voltammetric Determination of Paraquat. Mater. Sci. Eng. C 2016, 62, 123–129. [Google Scholar] [CrossRef] [PubMed]
- Moraes, F.C.; Cabral, M.F.; Mascaro, L.H.; MacHado, S.A.S. The Electrochemical Effect of Acid Functionalisation of Carbon Nanotubes to Be Used in Sensors Development. Surf. Sci. 2011, 605, 435–440. [Google Scholar] [CrossRef]
- Silva, M.K.L.; Leão, A.L.; Sain, M.; Cesarino, I. A Functionalized Renewable Carbon-Based Surface for Sensor Development. J. Solid State Electrochem. 2021, 25, 1093–1099. [Google Scholar] [CrossRef]
- Qian, K.; Kumar, A.; Zhang, H.; Bellmer, D.; Huhnke, R. Recent Advances in Utilization of Biochar. Renew. Sustain. Energy Rev. 2015, 42, 1055–1064. [Google Scholar] [CrossRef]
- Keiluweit, M.; Nico, P.S.; Johnson, M.; Kleber, M. Dynamic Molecular Structure of Plant Biomass-Derived Black Carbon (Biochar). Environ. Sci. Technol. 2010, 44, 1247–1253. [Google Scholar] [CrossRef] [Green Version]
- Stavropoulos, G.G.; Samaras, P.; Sakellaropoulos, G.P. Effect of Activated Carbons Modification on Porosity, Surface Structure and Phenol Adsorption. J. Hazard. Mater. 2008, 151, 414–421. [Google Scholar] [CrossRef] [PubMed]
- Pundir, C.S.; Chauhan, N. Acetylcholinesterase Inhibition-Based Biosensors for Pesticide Determination: A Review. Anal. Biochem. 2012, 429, 19–31. [Google Scholar] [CrossRef] [PubMed]
- Li, Y.; Xu, R.; Wang, H.; Xu, W.; Tian, L.; Huang, J.; Liang, C.; Zhang, Y. Recent Advances of Biochar-Based Electrochemical Sensors and Biosensors. Biosensors 2022, 12, 377. [Google Scholar] [CrossRef] [PubMed]
- Silva, M.K.L.; Cesarino, I. Desenvolvimento de Biossensores Para Controle de Pesticidas Em Alimentos. In JC NA Escola Ciência, Tecnologia e Sociedade: Mobilizar o Conhecimento para Alimentar o Brasil, 2nd ed.; Centro Paula Souza: São Paulo, Brazil, 2017; pp. 212–224. [Google Scholar]
- Pandey, D.; Daverey, A.; Arunachalam, K. Biochar: Production, Properties and Emerging Role as a Support for Enzyme Immobilization. J. Clean. Prod. 2020, 255, 120267. [Google Scholar] [CrossRef]
- Yakout, S.M. Effect of Porosity and Surface Chemistry on the Adsorption-Desorption of Uranium(VI) from Aqueous Solution and Groundwater. J. Radioanal. Nucl. Chem. 2016, 308, 555–565. [Google Scholar] [CrossRef]
- Li, N.; Xia, Q.; Niu, M.; Ping, Q.; Xiao, H. Immobilizing Laccase on Different Species Wood Biochar to Remove the Chlorinated Biphenyl in Wastewater. Sci. Rep. 2018, 8, 3947. [Google Scholar] [CrossRef]
- Lonappan, L.; Liu, Y.; Rouissi, T.; Pourcel, F.; Brar, S.K.; Verma, M.; Surampalli, R.Y. Covalent Immobilization of Laccase on Citric Acid Functionalized Micro-Biochars Derived from Different Feedstock and Removal of Diclofenac. Chem. Eng. J. 2018, 351, 985–994. [Google Scholar] [CrossRef]
- Naghdi, M.; Taheran, M.; Brar, S.K.; Kermanshahi-pour, A.; Verma, M.; Surampalli, R.Y. Immobilized Laccase on Oxygen Functionalized Nanobiochars through Mineral Acids Treatment for Removal of Carbamazepine. Sci. Total Environ. 2017, 584–585, 393–401. [Google Scholar] [CrossRef] [PubMed]
- Martins, G.; Gogola, J.L.; Caetano, F.R.; Kalinke, C.; Jorge, T.R.; Santos, C.N.D.; Bergamini, M.F.; Marcolino-Junior, L.H. Quick Electrochemical Immunoassay for Hantavirus Detection Based on Biochar Platform. Talanta 2019, 204, 163–171. [Google Scholar] [CrossRef] [PubMed]
- He, L.; Yang, Y.; Kim, J.; Yao, L.; Dong, X.; Li, T.; Piao, Y. Multi-Layered Enzyme Coating on Highly Conductive Magnetic Biochar Nanoparticles for Bisphenol A Sensing in Water. Chem. Eng. J. 2020, 384, 123276. [Google Scholar] [CrossRef]
- Liu, Y.; Yao, L.; He, L.; Liu, N.; Piao, Y. Electrochemical Enzyme Biosensor Bearing Biochar Nanoparticle as Signal Enhancer for Bisphenol a Detection in Water. Sensors 2019, 19, 1619. [Google Scholar] [CrossRef] [PubMed] [Green Version]
- Sobhan, A.; Muthukumarappan, K.; Wei, L.; Zhou, R.; Ghimire, N. Development of a Biosensor with Electrically Conductive and Biodegradable Composite by Combinatory Use of Silver Nanoparticles, Novel Activated Biochar, and Polylactic Acid. J. Electrochem. Soc. 2021, 168, 107501. [Google Scholar] [CrossRef]
- Wu, X.; Zhong, X.; Chai, Y.; Yuan, R. Electrochemiluminescence Acetylcholine Biosensor Based on Biofunctional AMs-AChE-ChO Biocomposite and Electrodeposited Graphene-Au-Chitosan Nanocomposite. Electrochim. Acta 2014, 147, 735–742. [Google Scholar] [CrossRef]
- Du, D.; Ding, J.; Cai, J.; Zhang, A. Determination of Carbaryl Pesticide Using Amperometric Acetylcholinesterase Sensor Formed by Electrochemically Deposited Chitosan. Colloids Surf. B Biointerfaces 2007, 58, 145–150. [Google Scholar] [CrossRef]
- Cesarino, I.; Moraes, F.C.; Machado, S.A.S. A Biosensor Based on Polyaniline-Carbon Nanotube Core-Shell for Electrochemical Detection of Pesticides. Electroanalysis 2011, 23, 2586–2593. [Google Scholar] [CrossRef]
- Loguercio, L.F.; Thesing, A.; Demingos, P.; de Albuquerque, C.D.L.; Rodrigues, R.S.B.; Brolo, A.G.; Santos, J.F.L. Efficient Acetylcholinesterase Immobilization for Improved Electrochemical Performance in Polypyrrole Nanocomposite-Based Biosensors for Carbaryl Pesticide. Sens. Actuators B Chem. 2021, 339, 129875. [Google Scholar] [CrossRef]
- Li, Y.; Shi, L.; Han, G.; Xiao, Y.; Zhou, W. Electrochemical Biosensing of Carbaryl Based on Acetylcholinesterase Immobilized onto Electrochemically Inducing Porous Graphene Oxide Network. Sens. Actuators B Chem. 2017, 238, 945–953. [Google Scholar] [CrossRef]
- Arduini, F.; Micheli, L.; Scognamiglio, V.; Mazzaracchio, V.; Moscone, D. Sustainable Materials for the Design of Forefront Printed (Bio) Sensors Applied in Agrifood Sector. TrAC Trends Anal. Chem. 2020, 128, 115909. [Google Scholar] [CrossRef]
- Kalinke, C.; Wosgrau, V.; Oliveira, P.R.; Oliveira, G.A.; Martins, G.; Mangrich, A.S.; Bergamini, M.F.; Marcolino-Junior, L.H. Green Method for Glucose Determination Using Microfluidic Device with a Non-Enzymatic Sensor Based on Nickel Oxyhydroxide Supported at Activated Biochar. Talanta 2019, 200, 518–525. [Google Scholar] [CrossRef] [PubMed]
- Tong, Y.; McNamara, P.J.; Mayer, B.K. Adsorption of Organic Micropollutants onto Biochar: A Review of Relevant Kinetics, Mechanisms and Equilibrium. Environ. Sci. Water Res. Technol. 2019, 5, 821–838. [Google Scholar] [CrossRef]
- De Oliveira, P.R.; Kalinke, C.; Gogola, J.L.; Mangrich, A.S.; Junior, L.H.M.; Bergamini, M.F. The Use of Activated Biochar for Development of a Sensitive Electrochemical Sensor for Determination of Methyl Parathion. J. Electroanal. Chem. 2017, 799, 602–608. [Google Scholar] [CrossRef]
- Donini, C.A.; da Silva, M.K.L.; Simões, R.P.; Cesarino, I. Reduced Graphene Oxide Modified with Silver Nanoparticles for the Electrochemical Detection of Estriol. J. Electroanal. Chem. 2018, 809, 67–73. [Google Scholar] [CrossRef] [Green Version]








| Method | Biosensor | Detection Range (nmol L−1) | LOD (nmol L−1) | Ref. |
|---|---|---|---|---|
| CV | AChE-CHIT/Au 1 | 25–500 | 14.9 | [42] |
| DPV | GC/rGO/AchE | 10–50 | 1.9 | [7] |
| DPV | AChE-e-pGON 2/GCE | 1.5–30.3 | 0.74 | [45] |
| SWV 3 | GC/MWCNT 4/PANI 5/AChE | 9.9–49.6 | 4.6 | [43] |
| Chronoamperometry | PPy-IC-DS1-AuNP-AChE | 0.25–1.24 | 0.16 | [44] |
| DPV | GC/RCF/AChE | 5–30 | 4.5 | This work |
Publisher’s Note: MDPI stays neutral with regard to jurisdictional claims in published maps and institutional affiliations. |
© 2022 by the authors. Licensee MDPI, Basel, Switzerland. This article is an open access article distributed under the terms and conditions of the Creative Commons Attribution (CC BY) license (https://creativecommons.org/licenses/by/4.0/).
Share and Cite
Nunes, E.W.; Silva, M.K.L.; Rascón, J.; Leiva-Tafur, D.; Lapa, R.M.L.; Cesarino, I. Acetylcholinesterase Biosensor Based on Functionalized Renewable Carbon Platform for Detection of Carbaryl in Food. Biosensors 2022, 12, 486. https://doi.org/10.3390/bios12070486
Nunes EW, Silva MKL, Rascón J, Leiva-Tafur D, Lapa RML, Cesarino I. Acetylcholinesterase Biosensor Based on Functionalized Renewable Carbon Platform for Detection of Carbaryl in Food. Biosensors. 2022; 12(7):486. https://doi.org/10.3390/bios12070486
Chicago/Turabian StyleNunes, Erik W., Martin K. L. Silva, Jesús Rascón, Damaris Leiva-Tafur, Rainer M. L. Lapa, and Ivana Cesarino. 2022. "Acetylcholinesterase Biosensor Based on Functionalized Renewable Carbon Platform for Detection of Carbaryl in Food" Biosensors 12, no. 7: 486. https://doi.org/10.3390/bios12070486
APA StyleNunes, E. W., Silva, M. K. L., Rascón, J., Leiva-Tafur, D., Lapa, R. M. L., & Cesarino, I. (2022). Acetylcholinesterase Biosensor Based on Functionalized Renewable Carbon Platform for Detection of Carbaryl in Food. Biosensors, 12(7), 486. https://doi.org/10.3390/bios12070486

