Harnessing in Silico Design for Electrochemical Aptasensor Optimization: Detection of Okadaic Acid (OA)
Abstract
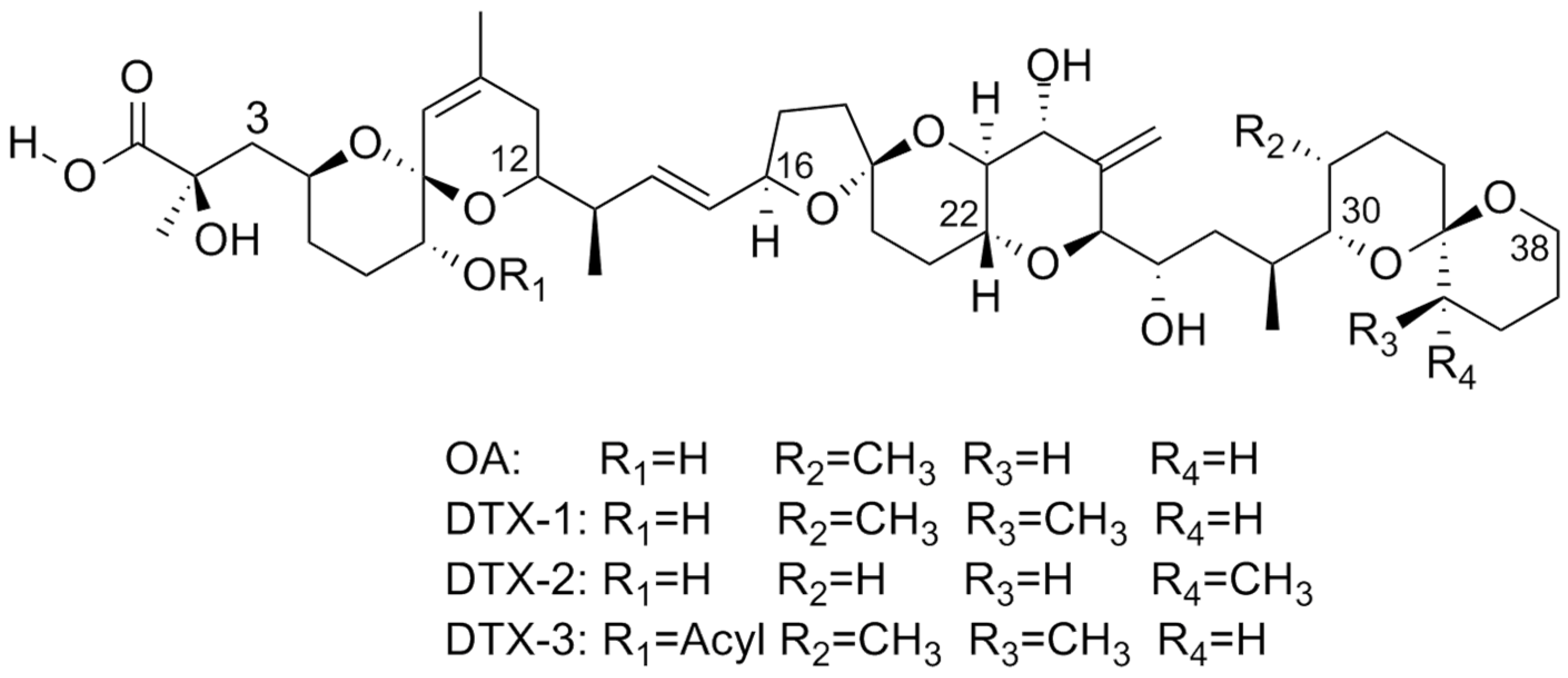
1. Introduction
2. Experimental Section
2.1. Materials and Methods
2.1.1. Materials and Reagents
2.1.2. Instrumentation
2.2. Computational Docking
2.3. E-Aptasensor Fabrication and Optimization
2.3.1. Gold Deposition on Screen Printed Electrodes (Au@SPCE)
2.3.2. Aptamer Immobilization at the Electrode Surface
2.4. Evaluation of E-Aptasensor Performance for OA Detection In Vitro
2.5. Evaluation of E-Aptasensor Performance for OA Detection in Real Samples
3. Results and Discussion
3.1. Computational Analysis and Aptamer Design
3.2. Development and Characterization of Au@SCPE Platform
4. Conclusions
Supplementary Materials
Author Contributions
Funding
Institutional Review Board Statement
Informed Consent Statement
Data Availability Statement
Acknowledgments
Conflicts of Interest
References
- Lan, J.; Liu, P.; Hu, X.; Zhu, S. Harmful Algal Blooms in Eutrophic Marine Environments: Causes, Monitoring, and Treatment. Water 2024, 16, 2525. [Google Scholar] [CrossRef]
- Tsikoti, C.; Genitsaris, S. Review of Harmful Algal Blooms in the Coastal Mediterranean Sea, with a Focus on Greek Waters. Diversity 2021, 13, 396. [Google Scholar] [CrossRef]
- Mehdizadeh Allaf, M.; Erratt, K.J. Navigating Aquaculture Losses: Tackling Fish-Killing Phytoflagellates in a Changing Global Landscape. Rev. Aquac. 2024, 16, 2023–2033. [Google Scholar] [CrossRef]
- Teruzzi, A.; Aydogdu, A.; Amadio, C.; Clementi, E.; Colella, S.; Di Biagio, V.; Drudi, M.; Fanelli, C.; Feudale, L.; Grandi, A.; et al. Anomalous 2022 Deep-Water Formation and Intense Phytoplankton Bloom in the Cretan Area. State Planet 2024, 4-osr8, 15. [Google Scholar] [CrossRef]
- Rossignoli, A.E.; Ben-Gigirey, B.; Cid, M.; Mariño, C.; Martín, H.; Garrido, S.; Rodríguez, F.; Blanco, J. Lipophilic Shellfish Poisoning Toxins in Marine Invertebrates from the Galician Coast. Toxins 2023, 15, 631. [Google Scholar] [CrossRef]
- European Food Safety Authority (EFSA). Marine Biotoxins in Shellfish—Summary on Regulated Marine Biotoxins. EFSA J. 2009, 7, 1306. [Google Scholar] [CrossRef]
- Pang, L.; Quan, H.; Sun, Y.; Wang, P.; Ma, D.; Mu, P.; Chai, T.; Zhang, Y.; Hammock, B.D. A Rapid Competitive ELISA Assay of Okadaic Acid Level Based on Epoxy-Functionalized Magnetic Beads. Food Agric. Immunol. 2019, 30, 1286–1302. [Google Scholar] [CrossRef]
- Daniso, E.; Melpignano, P.; Cocchi, M.; Susmel, S.; Tulli, F. Development of a Point of Care (POC) Test as an Immunobiosensor for Okadaic Acid Detection in Mussels. Appl. Food Res. 2025, 5, 100830. [Google Scholar] [CrossRef]
- Hosseini, S.; Vázquez-Villegas, P.; Rito-Palomares, M.; Martinez-Chapa, S.O. Advantages, Disadvantages and Modifications of Conventional ELISA; Springer: Singapore, 2018; pp. 67–115. [Google Scholar] [CrossRef]
- Ikehara, T.; Oshiro, N. A Protein Phosphatase 2A-Based Assay to Detect Okadaic Acids and Microcystins. J. Mar. Sci. Eng. 2024, 12, 244. [Google Scholar] [CrossRef]
- Dey, P.; Han, G.S.; Carman, G.M. A Review of Phosphatidate Phosphatase Assays. J. Lipid Res. 2020, 61, 1556. [Google Scholar] [CrossRef]
- Mercan, F.; Bennett, A.M. Analysis of Protein Tyrosine Phosphatases and Substrates. Curr. Protoc. Mol. Biol. 2010, 91, 16–18. [Google Scholar] [CrossRef]
- Campàs, M.; de la Iglesia, P.; Le Berre, M.; Kane, M.; Diogène, J.; Marty, J.L. Enzymatic Recycling-Based Amperometric Immunosensor for the Ultrasensitive Detection of Okadaic Acid in Shellfish. Biosens. Bioelectron. 2008, 24, 716–722. [Google Scholar] [CrossRef]
- Eissa, S.; Zourob, M. A Graphene-Based Electrochemical Competitive Immunosensor for the Sensitive Detection of Okadaic Acid in Shellfish. Nanoscale 2012, 4, 7593–7599. [Google Scholar] [CrossRef] [PubMed]
- Hayat, A.; Barthelmebs, L.; Marty, J.L. Enzyme-Linked Immunosensor Based on Super Paramagnetic Nanobeads for Easy and Rapid Detection of Okadaic Acid. Anal. Chim. Acta 2011, 690, 248–252. [Google Scholar] [CrossRef]
- Liang, C.; Ji, Y.; Ma, J.; Zhang, C.; Zhao, H. Development of a Highly Sensitive and Specific Monoclonal Antibody-Based Immunoassay for Detection of Okadaic Acid in Oysters and Green Mussels. Food Agric. Immunol. 2022, 33, 346–359. [Google Scholar] [CrossRef]
- Jiang, T.; Ju, P.; Bi, F.; Chi, J.; Wen, S.; Jiang, F.; Chi, Z. Target-Induced Enzymatic Cleavage Cycle Amplification Reaction-Gated Organic Photoelectrochemical Transistor Biosensor for Rapid Detection of Okadaic Acid. Biosens. Bioelectron. 2025, 267, 116745. [Google Scholar] [CrossRef]
- Stewart, L.D.; Hess, P.; Connolly, L.; Elliott, C.T. Development and Single-Laboratory Validation of a Pseudofunctional Biosensor Immunoassay for the Detection of the Okadaic Acid Group of Toxins. Anal. Chem. 2009, 81, 10208–10214. [Google Scholar] [CrossRef]
- Jia, Y.; Zhang, X.; Fang, J.; Jia, D.; Tian, T.; Du, Y.; Wei, Q.; Li, F. Analysis of Okadaic Acid Using Electrochemiluminescence Imaging on Microfluidic Biosensing Chip. Biosens. Bioelectron. 2024, 264, 116690. [Google Scholar] [CrossRef]
- Tian, Y.; Yuan, L.; Zhang, M.; He, Y.; Lin, X. Sensitive Detection of the Okadaic Acid Marine Toxin in Shellfish by Au@Pt NPs/Horseradish Peroxidase Dual Catalysis Immunoassay. Anal. Methods 2022, 14, 1261–1267. [Google Scholar] [CrossRef]
- Qin, Y.; Li, J.; Kuang, J.; Shen, S.; Zhou, X.; Zhao, X.; Huang, B.; Han, B. Okadaic Acid Detection through a Rapid and Sensitive Amplified Luminescent Proximity Homogeneous Assay. Toxins 2023, 15, 501. [Google Scholar] [CrossRef] [PubMed]
- Nelis, J.L.D.; Migliorelli, D.; Mühlebach, L.; Generelli, S.; Stewart, L.; Elliott, C.T.; Campbell, K. Highly Sensitive Electrochemical Detection of the Marine Toxins Okadaic Acid and Domoic Acid with Carbon Black Modified Screen Printed Electrodes. Talanta 2021, 228, 122215. [Google Scholar] [CrossRef] [PubMed]
- Reaño, R.L.; Escobar, E.C. A Review of Antibody, Aptamer, and Nanomaterials Synergistic Systems for an Amplified Electrochemical Signal. Front. Bioeng. Biotechnol. 2024, 12, 1361469. [Google Scholar] [CrossRef] [PubMed]
- Ellington, A.D.; Szostak, J.W. In Vitro Selection of RNA Molecules That Bind Specific Ligands. Nature 1990, 346, 818–822. [Google Scholar] [CrossRef]
- Tuerk, C.; Gold, L. Systematic Evolution of Ligands by Exponential Enrichment: RNA Ligands to Bacteriophage T4 DNA Polymerase. Science 1990, 249, 505–510. [Google Scholar] [CrossRef] [PubMed]
- Sequeira-Antunes, B.; Ferreira, H.A. Nucleic Acid Aptamer-Based Biosensors: A Review. Biomedicines 2023, 11, 3201. [Google Scholar] [CrossRef]
- Song, S.; Wang, L.; Li, J.; Fan, C.; Zhao, J. Aptamer-Based Biosensors. TrAC Trends Anal. Chem. 2008, 27, 108–117. [Google Scholar] [CrossRef]
- Zhou, J.; Rossi, J. Aptamers as Targeted Therapeutics: Current Potential and Challenges. Nat. Rev. Drug Discov. 2016, 16, 181. [Google Scholar] [CrossRef]
- Xu, W.; Zhou, X.; Gao, J.; Xue, S.; Zhao, J. Label-Free and Enzyme-Free Strategy for Sensitive Electrochemical Lead Aptasensor by Using Metal-Organic Frameworks Loaded with AgPt Nanoparticles as Signal Probes and Electrocatalytic Enhancers. Electrochim. Acta 2017, 251, 25–31. [Google Scholar] [CrossRef]
- McKeague, M.; Derosa, M.C. Challenges and Opportunities for Small Molecule Aptamer Development. J. Nucleic Acids 2012, 2012, 748913. [Google Scholar] [CrossRef]
- Kohlberger, M.; Gadermaier, G. SELEX: Critical Factors and Optimization Strategies for Successful Aptamer Selection. Biotechnol. Appl. Biochem. 2021, 69, 1771. [Google Scholar] [CrossRef]
- Lee, S.J.; Cho, J.; Lee, B.H.; Hwang, D.; Park, J.W. Design and Prediction of Aptamers Assisted by In Silico Methods. Biomedicines 2023, 11, 356. [Google Scholar] [CrossRef]
- Navien, T.N.; Thevendran, R.; Hamdani, H.Y.; Tang, T.H.; Citartan, M. In Silico Molecular Docking in DNA Aptamer Development. Biochimie 2021, 180, 54–67. [Google Scholar] [CrossRef]
- Ruscito, A.; DeRosa, M.C. Small-Molecule Binding Aptamers: Selection Strategies, Characterization, and Applications. Front. Chem. 2016, 4, 188509. [Google Scholar] [CrossRef]
- Armstrong, R.E.; Strouse, G.F. Rationally Manipulating Aptamer Binding Affinities in a Stem-Loop Molecular Beacon. Bioconjug. Chem. 2014, 25, 1769–1776. [Google Scholar] [CrossRef]
- Rockey, W.M.; Hernandez, F.J.; Huang, S.Y.; Cao, S.; Howell, C.A.; Thomas, G.S.; Liu, X.Y.; Lapteva, N.; Spencer, D.M.; McNamara, J.O.; et al. Rational Truncation of an RNA Aptamer to Prostate-Specific Membrane Antigen Using Computational Structural Modeling. Nucleic Acid. Ther. 2011, 21, 299. [Google Scholar] [CrossRef]
- Bashir, A.; Yang, Q.; Wang, J.; Hoyer, S.; Chou, W.; McLean, C.; Davis, G.; Gong, Q.; Armstrong, Z.; Jang, J.; et al. Machine Learning Guided Aptamer Refinement and Discovery. Nat. Commun. 2021, 12, 2366. [Google Scholar] [CrossRef] [PubMed]
- Nguyen, M.-D.; Osborne, M.T.; Prevot, G.T.; Churcher, Z.R.; Johnson, P.E.; Simine, L.; Dauphin-Ducharme, P. Truncations and in Silico Docking to Enhance the Analytical Response of Aptamer-Based Biosensors. Biosens. Bioelectron. 2024, 265, 116680. [Google Scholar] [CrossRef] [PubMed]
- Shan, W.; Sun, J.; Liu, R.; Wang, J.; Shao, B. Establishing Detection Methods for Okadaic Acid Aptamer–Target Interactions: Insights from Computational and Experimental Approaches. Foods 2025, 14, 854. [Google Scholar] [CrossRef] [PubMed]
- Sun, D.; Sun, M.; Zhang, J.; Lin, X.; Zhang, Y.; Lin, F.; Zhang, P.; Yang, C.; Song, J. Computational Tools for Aptamer Identification and Optimization. TrAC Trends Anal. Chem. 2022, 157, 116767. [Google Scholar] [CrossRef]
- Song, M.; Li, Y.; Gao, R.; Liu, J.; Huang, Q. De Novo Design of DNA Aptamers That Target Okadaic Acid (OA) by Docking-Then-Assembling of Single Nucleotides. Biosens. Bioelectron. 2022, 215, 114562. [Google Scholar] [CrossRef]
- Eissa, S.; Ng, A.; Siaj, M.; Tavares, A.C.; Zourob, M. Selection and Identification of DNA Aptamers against Okadaic Acid for Biosensing Application. Anal. Chem. 2013, 85, 11794–11801. [Google Scholar] [CrossRef] [PubMed]
- Rhouati, A.; Zourob, M. Development of a Multiplexed Electrochemical Aptasensor for the Detection of Cyanotoxins. Biosensors 2024, 14, 268. [Google Scholar] [CrossRef]
- Prieto-Simón, B.; Campàs, M.; Marty, J.-L. Biomolecule Immobilization in Biosensor Development: Tailored Strategies Based on Affinity Interactions. Protein Pept. Lett. 2008, 15, 757–763. [Google Scholar] [CrossRef] [PubMed]
- Zeng, N.; Wang, X.; Dong, Y.; Yang, Y.; Yin, Y.; Zhao, L.; Wang, X. Aptasensor Based on Screen-Printed Carbon Electrodes Modified with CS/AuNPs for Sensitive Detection of Okadaic Acid in Shellfish. J. Anal. Test. 2023, 7, 128–135. [Google Scholar] [CrossRef]
- Kim, D.-M.; Go, M.-J.; Lee, J.; Na, D.; Yoo, S.-M. Recent Advances in Micro/Nanomaterial-Based Aptamer Selection Strategies. Molecules 2021, 26, 5187. [Google Scholar] [CrossRef]
- Bozza, M.; Sheardy, R.D.; Dilone, E.; Scypinski, S.; Galazka, M. Characterization of the Secondary Structure and Stability of an RNA Aptamer That Binds Vascular Endothelial Growth Factor. Biochemistry 2006, 45, 7639–7643. [Google Scholar] [CrossRef]
- Beaurain, F.; Di Primo, C.; Toulmé, J.J.; Laguerre, M. Molecular Dynamics Reveals the Stabilizing Role of Loop Closing Residues in Kissing Interactions: Comparison between TAR–TAR* and TAR–Aptamer. Nucleic Acids Res. 2003, 31, 4275. [Google Scholar] [CrossRef]
- Sullivan, R.; Adams, M.C.; Naik, R.R.; Milam, V.T. Analyzing Secondary Structure Patterns in DNA Aptamers Identified via CompELS. Molecules 2019, 24, 1572. [Google Scholar] [CrossRef]
- Qi, S.; Duan, N.; Khan, I.M.; Dong, X.; Zhang, Y.; Wu, S.; Wang, Z. Strategies to Manipulate the Performance of Aptamers in SELEX, Post-SELEX and Microenvironment. Biotechnol. Adv. 2022, 55, 107902. [Google Scholar] [CrossRef]
- Demers, L.M.; Östblom, M.; Zhang, H.; Jang, N.-H.; Liedberg, B.; Mirkin, C.A. Thermal Desorption Behavior and Binding Properties of DNA Bases and Nucleosides on Gold. J. Am. Chem. Soc. 2002, 124, 11248–11249. [Google Scholar] [CrossRef] [PubMed]
- Oberhaus, F.V.; Frense, D.; Beckmann, D. Immobilization Techniques for Aptamers on Gold Electrodes for the Electrochemical Detection of Proteins: A Review. Biosensensors 2020, 10, 45. [Google Scholar] [CrossRef]
- Onaş, A.M.; Dascălu, C.; Raicopol, M.D.; Pilan, L. Critical Design Factors for Electrochemical Aptasensors Based on Target-Induced Conformational Changes: The Case of Small-Molecule Targets. Biosensors 2022, 12, 816. [Google Scholar] [CrossRef] [PubMed]
- Storhoff, J.J.; Elghanian, R.; Mirkin, C.A.; Letsinger, R.L. Sequence-Dependent Stability of DNA-Modified Gold Nanoparticles. Langmuir 2002, 18, 6666–6670. [Google Scholar] [CrossRef]
- Li, L.; Ma, R.; Wang, W.; Zhang, L.; Li, J.; Eltzov, E.; Wang, S.; Mao, X. Group-Targeting Aptamers and Aptasensors for Simultaneous Identification of Multiple Targets in Foods. TrAC Trends Anal. Chem. 2023, 166, 117169. [Google Scholar] [CrossRef]
- Cui, G.; Yoo, J.H.; Lee, J.S.; Yoo, J.; Uhm, J.H.; Cha, G.S.; Nam, H. Effect of Pre-Treatment on the Surface Andelectrochemical Properties of Screen-Printed Carbon Paste Electrodes. Analyst 2001, 126, 1399–1403. [Google Scholar] [CrossRef]
- Blidar, A.; Hosu, O.; Feier, B.; Ştefan, G.; Bogdan, D.; Cristea, C. Gold-Based Nanostructured Platforms for Oxytetracycline Detection from Milk by a “Signal-on” Aptasensing Approach. Food Chem. 2022, 371, 131127. [Google Scholar] [CrossRef]
- Hassani, S.; Rezaei Akmal, M.; Salek Maghsoudi, A.; Rahmani, S.; Vakhshiteh, F.; Norouzi, P.; Ganjali, M.R.; Abdollahi, M. High-Performance Voltammetric Aptasensing Platform for Ultrasensitive Detection of Bisphenol A as an Environmental Pollutant. Front. Bioeng. Biotechnol. 2020, 8, 574846. [Google Scholar] [CrossRef]
- Kong, F.; Luo, J.; Jing, L.; Wang, Y.; Shen, H.; Yu, R.; Sun, S.; Xing, Y.; Ming, T.; Liu, M.; et al. Reduced Graphene Oxide and Gold Nanoparticles-Modified Electrochemical Aptasensor for Highly Sensitive Detection of Doxorubicin. Nanomaterials 2023, 13, 1223. [Google Scholar] [CrossRef]
- Mousavi, S.M.; Raoof, J.B.; Rahmati, Z.; Hashkavayi, A.B. Electrochemical Aptasensor Based on Gold Modified Cu@NiCo-MOF as a Novel Hollow Framework for Impedimetric Determination of Tryptophan in Legumes. Microchem. J. 2025, 216, 114639. [Google Scholar] [CrossRef]
- Safar, W.; Tatar, A.-S.; Leray, A.; Potara, M.; Liu, Q.; Edely, M.; Djaker, N.; Spadavecchia, J.; Fu, W.; Derouich, S.G.; et al. New Insight into the Aptamer Conformation and Aptamer/Protein Interaction by Surface-Enhanced Raman Scattering and Multivariate Statistical Analysis. Nanoscale 2021, 13, 12443–12453. [Google Scholar] [CrossRef] [PubMed]
- Spagnolo, S.; Davoudian, K.; Ahmadi, S.; Chan, E.; Hianik, T.; Thompson, M. Thiol-Based Probe Linker with Antifouling Properties for Aptasensor Development. Chemosensors 2022, 10, 435. [Google Scholar] [CrossRef]
- Meng, X.; Li, J.; Wu, Y.; Cao, X.; Zhang, Z. Rational Design of Hairpin Aptamer Using Intrinsic Disorder Mechanism to Enhance Sensitivity of Aptamer Folding-Based Electrochemical Sensor for Tobramycin. Sens. Actuators B Chem. 2023, 394, 134354. [Google Scholar] [CrossRef]
- Pang, J.; Zhang, Z.; Jin, H. Effect of Structure Variation of the Aptamer-DNA Duplex Probe on the Performance of Displacement-Based Electrochemical Aptamer Sensors. Biosens. Bioelectron. 2016, 77, 174–181. [Google Scholar] [CrossRef]
- Lubin, A.A.; Vander Stoep Hunt, B.; White, R.J.; Plaxco, K.W. Effects of Probe Length, Probe Geometry, and Redox-Tag Placement on the Performance of the Electrochemical E-DNA Sensor. Anal. Chem. 2009, 81, 2150–2158. [Google Scholar] [CrossRef]
- Xing, J.; Han, Q.; Liu, J.; Yan, Z. Electrochemical Aptasensor Fabricated by Anchoring Recognition Aptamers and Immobilizing Redox Probes on Bipolar Silica Nanochannel Array for Reagentless Detection of Carbohydrate Antigen 15-3. Front. Chem. 2023, 11, 1324469. [Google Scholar] [CrossRef] [PubMed]
- Luo, L.; Jiang, C.; Li, H.; Ning, D.; Lao, S.; Liang, Z.; Tang, L.; Chen, W.; Ya, Y. An Electrochemical Aptasensor for Detection of Carbofuran Using Gold Nanoparticles Decorated Hierarchical Porous Carbon as an Effective Sensing Platform. Chemosphere 2023, 341, 140033. [Google Scholar] [CrossRef]
- Wang, C.; Yu, H.; Zhao, Q. A Simple Structure-Switch Aptasensor Using Label-Free Aptamer for Fluorescence Detection of Aflatoxin B1. Molecules 2022, 27, 4257. [Google Scholar] [CrossRef] [PubMed]
- Louppis, A.P.; Badeka, A.V.; Katikou, P.; Paleologos, E.K.; Kontominas, M.G. Determination of Okadaic Acid, Dinophysistoxin-1 and Related Esters in Greek Mussels Using HPLC with Fluorometric Detection, LC-MS/MS and Mouse Bioassay. Toxicon 2010, 55, 724–733. [Google Scholar] [CrossRef] [PubMed]
- Rossignoli, A.E.; Mariño, C.; Martín, H.; Blanco, J. Development of a Fast Liquid Chromatography Coupled to Mass Spectrometry Method (Lc-Ms/Ms) to Determine Fourteen Lipophilic Shellfish Toxins Based on Fused–Core Technology: In-House Validation. Mar. Drugs 2021, 19, 603. [Google Scholar] [CrossRef]
- Lee, S.Y.; Woo, S.Y.; Tian, F.; Park, J.B.; Choi, K.S.; Chun, H.S. Simultaneous Determination of Okadaic Acid, Dinophysistoxin-1, Dinophysistoxin-2, and Dinophysistoxin-3 Using Liquid Chromatography-Tandem Mass Spectrometry in Raw and Cooked Food Matrices. Food Control 2022, 139, 109068. [Google Scholar] [CrossRef]
- Dubois, M.; Demoulin, L.; Charlier, C.; Singh, G.; Godefroy, S.B.; Campbell, K.; Elliott, C.T.; Delahaut, P. Development of ELISAs for Detecting Domoic Acid, Okadaic Acid, and Saxitoxin and Their Applicability for the Detection of Marine Toxins in Samples Collected in Belgium. Food Addit. Contam. 2010, 27, 859–868. [Google Scholar] [CrossRef]
- Wang, R.; Zeng, L.; Yang, H.; Zhong, Y.; Wang, J.; Ling, S.; Saeed, A.f.; Yuan, J.; Wang, S. Detection of Okadaic Acid (OA) Using ELISA and Colloidal Gold Immunoassay Based on Monoclonal Antibody. J. Hazard. Mater. 2017, 339, 154–160. [Google Scholar] [CrossRef]
- Smienk, H.G.F.; Calvo, D.; Razquin, P.; Domínguez, E.; Mata, L. Single Laboratory Validation of A Ready-to-Use Phosphatase Inhibition Assay for Detection of Okadaic Acid Toxins. Toxins 2012, 4, 339–352. [Google Scholar] [CrossRef]
- Gu, H.; Duan, N.; Wu, S.; Hao, L.; Xia, Y.; Ma, X.; Wang, Z. Graphene Oxide-Assisted Non-Immobilized SELEX of Okdaic Acid Aptamer and the Analytical Application of Aptasensor. Sci. Rep. 2016, 6, 21665. [Google Scholar] [CrossRef]
- Chen, Y.; Liu, Y.; Zhu, P.; Liu, S.; Wang, M.; Liu, Y.; Wang, Z.; Chen, W.; Qu, Z.; Du, L.; et al. A 2D Carbon Nitride-Based Electrochemical Aptasensor with Reverse Amplification for Highly Sensitive Detection of Okadaic Acid in Shellfish. Anal. Methods 2024, 16, 1538–1545. [Google Scholar] [CrossRef]
- Abal, P.; Carmen Louzao, M.; Suzuki, T.; Watanabe, R.; Vilariño, N.; Carrera, C.; Botana, A.M.; Vieytes, M.R.; Botana, L.M. Toxic Action Reevaluation of Okadaic Acid, Dinophysistoxin-1 and Dinophysistoxin-2: Toxicity Equivalency Factors Based on the Oral Toxicity Study. Cell. Physiol. Biochem. 2018, 49, 743–757. [Google Scholar] [CrossRef]
- Wang, Z.; Yang, X.; Lee, N.Z.; Cao, X. Multivalent Aptamer Approach: Designs, Strategies, and Applications. Micromachines 2022, 13, 436. [Google Scholar] [CrossRef] [PubMed]
- Yang, X.; Chan, C.H.; Yao, S.; Chu, H.Y.; Lyu, M.; Chen, Z.; Xiao, H.; Ma, Y.; Yu, S.; Li, F.; et al. DeepAptamer: Advancing High-Affinity Aptamer Discovery with a Hybrid Deep Learning Model. Mol. Ther. Nucleic Acids 2025, 36, 102436. [Google Scholar] [CrossRef] [PubMed]
- Cui, Y.; Chen, Y.; Zhang, Y.; Zhang, L. Advances in Aptamer Technology for Target-Based Drug Discovery. J. Pharm. Anal. 2025, 101369. [Google Scholar] [CrossRef]
- Feng, L.; Sun, Y.; Jia, W.; Yu, Y.; Liu, C.; Yang, J.; Luan, Y.; Chen, J.; Wang, F. Advancements in SELEX Technology for Aptamers and Emerging Applications in Therapeutics and Drug Delivery. Biomolecules 2025, 15, 818. [Google Scholar] [CrossRef]
- Guérin, M.; Vandevenne, M.; Matagne, A.; Aucher, W.; Verdon, J.; Paoli, E.; Ducrotoy, J.; Octave, S.; Avalle, B.; Maffucci, I.; et al. Selection and Characterization of DNA Aptamers Targeting the Surface Borrelia Protein CspZ with High-Throughput Cross-over SELEX. Commun. Biol. 2025, 8, 632. [Google Scholar] [CrossRef] [PubMed]








| Aptamers | 
| -OA63: ((Fc)5′-CCG GGT GGG TGG GTG TGG TCT TGT ATT TGA TTA TGT CTG TCG GCG CTT TTT GGC CCC TTC GTT-3′) -OA31: (5′-CCA CCA ACG AGA GTC AGA AAA CCA TGG TGG G-3′(Fc)). | 
| Capture probes | 
| P63-8: ((SH)5′-AACGAAGG-3′) P63-16: ((SH)5′-TTTTTTTTAAGCAAGG-3′) P31_6: (5′-TGGTGG-3′(SH)) P31_14: (5′-TGGTGGTTTTTTTT-3′(SH)) | 
| Sample | C | O | S | Cl | Au | 
|---|---|---|---|---|---|
| (1) Bare Graphite (BG) | 9.323 ± 0.151 | 2.003 ± 0.144 | 0.067 ± 0.006 | 2.610 ± 0.026 | - | 
| (2) Graphite pre-treated NaHCO3 (PT) | 94.883 ± 0.331 | 3.593 ± 0.055 | 0.073 ± 0.015 | 2.450 ± 0.338 | - | 
| (3) AU at BG | 86.800 ± 4.456 | 1.413 ± 0.255 | 0.430 ± 0.140 | 3.430 ± 0.164 | 7.927 ± 4.031 | 
| (4) AU at PT | 89.390 ± 2.340 | 1.390 ± 0.201 | 0.377 ± 0.99 | 2.953 ± 0.324 | 5.887 ± 1.892 | 
| (5) AU at BG after washing | 91.623 ± 2.588 | 1.360 ± 0.151 | - | 3.260 ± 0.397 | 3.757 ± 2.370 | 
| (6) AU at PT after washing | 89.557 ± 2.069 | 1.530 ± 0.337 | 0.083 ± 0.144 | 3.433 ± 0.095 | 5.397 ± 1.978 | 
| Probe Length | P63_8 | P63_16 | P31_6 | P31_14 | |
|---|---|---|---|---|---|
| Aptamer-Fc | |||||
| OA63 | 5.27 μA (n = 10, ±8%) | 3.59 μA (n = 10, ±18%) | |||
| OA31 | 4.31 (n = 10, ±23%) | 6.83 μA (n = 10, ±5.50%) | |||
| Technique | LOD (nM) | Assay time | Matrix | Ref. | 
|---|---|---|---|---|
| HPLC-FLD | 18.63 nM | 2–3 h | Mussel extracts | [69] | 
| LC–MS/MS | 0.25–6 nM | 3–4 h | Mussel extracts | [70,71] | 
| ELISA/Immunoassays | 0.0057–18 nM | ~1 h | Mussel extracts | [21,72,73] | 
| PPIA | 0.16–1.8 nM | ~1 h | Mussel extracts | [74] | 
| Aptasensor | 0.0001–8 nM | 20 min–~1 h | Buffer solution, (PBS), Mussels extracts | [42,45,75,76] | 
| This work | 2.5 | 5 min | Mussel extracts | — | 
| Disclaimer/Publisher’s Note: The statements, opinions and data contained in all publications are solely those of the individual author(s) and contributor(s) and not of MDPI and/or the editor(s). MDPI and/or the editor(s) disclaim responsibility for any injury to people or property resulting from any ideas, methods, instructions or products referred to in the content. | 
© 2025 by the authors. Licensee MDPI, Basel, Switzerland. This article is an open access article distributed under the terms and conditions of the Creative Commons Attribution (CC BY) license (https://creativecommons.org/licenses/by/4.0/).
Share and Cite
Vit, M.; Ben-Aissa, S.; Rondinella, A.; Fedrizzi, L.; Susmel, S. Harnessing in Silico Design for Electrochemical Aptasensor Optimization: Detection of Okadaic Acid (OA). Biosensors 2025, 15, 665. https://doi.org/10.3390/bios15100665
Vit M, Ben-Aissa S, Rondinella A, Fedrizzi L, Susmel S. Harnessing in Silico Design for Electrochemical Aptasensor Optimization: Detection of Okadaic Acid (OA). Biosensors. 2025; 15(10):665. https://doi.org/10.3390/bios15100665
Chicago/Turabian StyleVit, Margherita, Sondes Ben-Aissa, Alfredo Rondinella, Lorenzo Fedrizzi, and Sabina Susmel. 2025. "Harnessing in Silico Design for Electrochemical Aptasensor Optimization: Detection of Okadaic Acid (OA)" Biosensors 15, no. 10: 665. https://doi.org/10.3390/bios15100665
APA StyleVit, M., Ben-Aissa, S., Rondinella, A., Fedrizzi, L., & Susmel, S. (2025). Harnessing in Silico Design for Electrochemical Aptasensor Optimization: Detection of Okadaic Acid (OA). Biosensors, 15(10), 665. https://doi.org/10.3390/bios15100665
 
        



 
       