Biocontrol of Candida albicans by Antagonistic Microorganisms and Bioactive Compounds
Abstract
1. Introduction
2. Antagonistic Microbes against C. albicans
2.1. Antagonistic Effect of Bacillus spp. against C. albicans
2.2. Antagonistic Effect of Bifidobacterium spp. against C. albicans
2.3. Antagonistic Effect of Lactobacillus spp. against C. albicans
2.4. Antagonistic Effect of Yeast against C. albicans
2.5. Antagonistic Effect of Other Strains against C. albicans
2.6. A Conclusion of Antagonistic Microbes
3. Inhibitory Nature Metabolites Produced by Diverse Antagonists
3.1. Nature Products Produced by Bacteria
3.2. Nature Products Produced by Yeast
3.3. Nature Products Produced by Endophytic Fungi
3.4. Nature Products Produced by Marine Fungi
3.5. Nature Products Produced by Marine Source Actinomycetes
3.6. Nature Products Produced by Lichen
3.7. Nature Products Produced by Other Fungal Sources
3.8. A Conclusion of Inhibitory Compounds Produced by Antagonistic Microbes
4. Conclusions
Author Contributions
Funding
Institutional Review Board Statement
Informed Consent Statement
Data Availability Statement
Conflicts of Interest
References
- Ramchandran, R.; Ramesh, S.; Thakur, R.; Chakrabarti, A.; Roy, U. Improved Production of Two Anti-Candida Lipopeptide Homologues Co-Produced by the Wild-Type Bacillus subtilis RLID 12.1 under Optimized Conditions. Curr. Pharm. Biotechnol. 2020, 21, 438–450. [Google Scholar] [CrossRef] [PubMed]
- Karpiński, T.M.; Ożarowski, M.; Seremak-Mrozikiewicz, A.; Wolski, H.; Adamczak, A. Plant Preparations and Compounds with Activities against Biofilms Formed by Candida spp. J. Fungi 2021, 7, 360. [Google Scholar] [CrossRef] [PubMed]
- Brown, G.D.; Denning, D.W.; Gow, N.A.; Levitz, S.M.; Netea, M.G.; White, T.C. Hidden killers: Human fungal infections. Sci. Transl. Med. 2012, 4, 165rv13. [Google Scholar] [CrossRef] [PubMed]
- Moran, C.; Grussemeyer, C.A.; Spalding, J.R.; Benjamin, D.K., Jr.; Reed, S.D. Comparison of costs, length of stay, and mortality associated with Candida glabrata and Candida albicans bloodstream infections. Am. J. Infect Control. 2010, 38, 78–80. [Google Scholar] [CrossRef]
- Vila, T.; Sultan, A.S.; Montelongo-Jauregui, D.; Jabra-Rizk, M.A. Oral Candidiasis: A Disease of Opportunity. J. Fungi 2020, 6, 15. [Google Scholar] [CrossRef]
- Ruben, S.; Garbe, E.; Mogavero, S.; Albrecht-Eckardt, D.; Hellwig, D.; Häder, A.; Krüger, T.; Gerth, K.; Jacobsen, I.D.; Elshafee, O.; et al. Ahr1 and Tup1 Contribute to the Transcriptional Control of Virulence-Associated Genes in Candida albicans. mBio 2020, 11, e00206-20. [Google Scholar] [CrossRef]
- Zakikhany, K.; Naglik, J.R.; Schmidt-Westhausen, A.; Holland, G.; Schaller, M.; Hube, B. In vivo transcript profiling of Candida albicans identifies a gene essential for interepithelial dissemination. Cell. Microbiol. 2007, 9, 2938–2954. [Google Scholar] [CrossRef]
- Mavor, A.L.; Thewes, S.; Hube, B. Systemic fungal infections caused by Candida species: Epidemiology, infection process and virulence attributes. Curr. Drug Targets 2005, 6, 863–874. [Google Scholar] [CrossRef]
- Nobile, C.J.; Johnson, A.D. Candida albicans Biofilms and Human Disease. Annu. Rev. Microbiol. 2015, 69, 71–92. [Google Scholar] [CrossRef]
- Chandra, J.; Kuhn, D.M.; Mukherjee, P.K.; Hoyer, L.L.; McCormick, T.; Ghannoum, M.A. Biofilm formation by the fungal pathogen Candida albicans: Development, architecture, and drug resistance. J. Bacteriol. 2001, 183, 5385–5394. [Google Scholar] [CrossRef]
- Nett, J.E.; Andes, D.R. Antifungal Agents: Spectrum of Activity, Pharmacology, and Clinical Indications. Infect. Dis. Clin. N. Am. 2016, 30, 51–83. [Google Scholar] [CrossRef] [PubMed]
- Peyclit, L.; Yousfi, H.; Rolain, J.M.; Bittar, F. Drug Repurposing in Medical Mycology: Identification of Compounds as Potential Antifungals to Overcome the Emergence of Multidrug-Resistant Fungi. Pharmaceuticals 2021, 14, 488. [Google Scholar] [CrossRef] [PubMed]
- Barantsevich, N.; Barantsevich, E. Diagnosis and Treatment of Invasive Candidiasis. Antibiotics 2022, 11, 718. [Google Scholar] [CrossRef]
- Anderson, T.M.; Clay, M.C.; Cioffi, A.G.; Diaz, K.A.; Hisao, G.S.; Tuttle, M.D.; Nieuwkoop, A.J.; Comellas, G.; Maryum, N.; Wang, S.; et al. Amphotericin forms an extramembranous and fungicidal sterol sponge. Nat. Chem. Biol. 2014, 10, 400–406. [Google Scholar] [CrossRef] [PubMed]
- Robbins, N.; Caplan, T.; Cowen, L.E. Molecular Evolution of Antifungal Drug Resistance. Annu. Rev. Microbiol. 2017, 71, 753–775. [Google Scholar] [CrossRef]
- Hassanmoghadam, F.; Shokohi, T.; Hedayati, M.T.; Aslani, N.; Haghani, I.; Nabili, M.; Lotfali, E.; Davari, A.; Moazeni, M. High prevalence of itraconazole resistance among Candida parapsilosis isolated from Iran. Curr. Med. Mycol. 2019, 5, 43–46. [Google Scholar] [CrossRef]
- Galia, L.; Pezzani, M.D.; Compri, M.; Callegari, A.; Rajendran, N.B.; Carrara, E.; Tacconelli, E. The Combacte Magnet Epi-Net Network. Surveillance of Antifungal Resistance in Candidemia Fails to Inform Antifungal Stewardship in European Countries. J. Fungi 2022, 8, 249. [Google Scholar] [CrossRef]
- Berkow, E.L.; Lockhart, S.R. Fluconazole resistance in Candida species: A current perspective. Infect. Drug Resist. 2017, 10, 237–245. [Google Scholar] [CrossRef]
- Whaley, S.G.; Berkow, E.L.; Rybak, J.M.; Nishimoto, A.T.; Barker, K.S.; Rogers, P.D. Azole Antifungal Resistance in Candida albicans and Emerging Non-albicans Candida Species. Front. Microbiol. 2017, 7, 2173. [Google Scholar] [CrossRef]
- Delma, F.Z.; Al-Hatmi, A.M.S.; Brüggemann, R.J.M.; Melchers, W.J.G.; de Hoog, S.; Verweij, P.E.; Buil, J.B. Molecular Mechanisms of 5-Fluorocytosine Resistance in Yeasts and Filamentous Fungi. J. Fungi 2021, 7, 909. [Google Scholar] [CrossRef]
- Ham, Y.Y.; Lewis, J.S.; Thompson, G.R. Rezafungin: A novel antifungal for the treatment of invasive candidiasis. Future Microbiol. 2021, 16, 27–36. [Google Scholar] [CrossRef] [PubMed]
- Miesel, L.; Lin, K.Y.; Ong, V. Rezafungin treatment in mouse models of invasive candidiasis and aspergillosis: Insights on the PK/PD pharmacometrics of rezafungin efficacy. Pharmacol. Res. Perspect. 2019, 7, e00546. [Google Scholar] [CrossRef] [PubMed]
- Miesel, L.; Cushion, M.T.; Ashbaugh, A.; Lopez, S.R.; Ong, V. Efficacy of Rezafungin in Prophylactic Mouse Models of Invasive Candidiasis, Aspergillosis, and Pneumocystis Pneumonia. Antimicrob. Agents Chemother. 2021, 65, e01992-20. [Google Scholar] [CrossRef]
- Lepak, A.J.; Zhao, M.; Andes, D.R. Determination of Pharmacodynamic Target Exposures for Rezafungin against Candida tropicalis and Candida dubliniensis in the Neutropenic Mouse Disseminated Candidiasis Model. Antimicrob. Agents Chemother. 2019, 63, e01556-19. [Google Scholar] [CrossRef] [PubMed]
- Pfaller, M.A.; Carvalhaes, C.; Messer, S.A.; Rhomberg, P.R.; Castanheira, M. Activity of a Long-Acting Echinocandin, Rezafungin, and Comparator Antifungal Agents Tested against Contemporary Invasive Fungal Isolates (SENTRY Program, 2016 to 2018). Antimicrob. Agents Chemother. 2020, 64, e00099-20. [Google Scholar] [CrossRef] [PubMed]
- Farhadi, Z.; Farhadi, T.; Hashemian, S.M. Virtual screening for potential inhibitors of β(1,3)-D-glucan synthase as drug candidates against fungal cell wall. J. Drug Assess. 2020, 9, 52–59. [Google Scholar] [CrossRef] [PubMed]
- Szymański, M.; Chmielewska, S.; Czyżewska, U.; Malinowska, M.; Tylicki, A. Echinocandins-structure, mechanism of action and use in antifungal therapy. J. Enzyme Inhib. Med. Chem. 2022, 37, 876–894. [Google Scholar] [CrossRef]
- Sandrin, C.; Peypoux, F.; Michel, G. Coproduction of surfactin and iturin A, lipopeptides with surfactant and antifungal properties, by Bacillus subtilis. Biotechnol. Appl. Biochem. 1990, 12, 370–375. [Google Scholar]
- Ahimou, F.; Jacques, P.; Deleu, M. Surfactin and iturin A effects on Bacillus subtilis surface hydrophobicity. Enzyme Microb. Technol. 2000, 27, 749–754. [Google Scholar] [CrossRef]
- Newman, D.J.; Cragg, G.M. Natural Products as Sources of New Drugs over the Nearly Four Decades from 01/1981 to 09/2019. J. Nat. Prod. 2020, 83, 770–803. [Google Scholar] [CrossRef]
- Sun, F.J.; Li, M.; Gu, L.; Wang, M.L.; Yang, M.H. Recent progress on anti-Candida natural products. Chin. J. Nat. Med. 2021, 19, 561–579. [Google Scholar] [CrossRef]
- Guimarães, R.; Milho, C.; Liberal, Â.; Silva, J.; Fonseca, C.; Barbosa, A.; Ferreira, I.C.F.R.; Alves, M.J.; Barros, L. Antibiofilm Potential of Medicinal Plants against Candida spp. Oral Biofilms: A Review. Antibiotics 2021, 10, 1142. [Google Scholar] [CrossRef] [PubMed]
- Espinel-Ingroff, A. Commercial Methods for Antifungal Susceptibility Testing of yeasts: Strengths and Limitations as Predictors of Resistance. J. Fungi 2022, 8, 309. [Google Scholar] [CrossRef] [PubMed]
- Murphy, S.E.; Bicanic, T. Drug Resistance and Novel Therapeutic Approaches in Invasive Candidiasis. Front. Cell. Infect. Microbiol. 2021, 11, 759408. [Google Scholar] [CrossRef]
- Li, B.; Pan, L.; Zhang, H.; Xie, L.; Wang, X.; Shou, J.; Qi, Y.; Yan, X. Recent Developments on Using Nanomaterials to Combat Candida albicans. Front. Chem. 2021, 9, 813973. [Google Scholar] [CrossRef] [PubMed]
- Khan, F.; Bamunuarachchi, N.I.; Tabassum, N.; Jo, D.M.; Khan, M.M.; Kim, Y.M. Suppression of hyphal formation and virulence of Candida albicans by natural and synthetic compounds. Biofouling 2021, 37, 626–655. [Google Scholar] [CrossRef]
- Owen, M.K.; Clenney, T.L. Management of vaginitis. Am. Fam. Physician 2004, 70, 2125–2132. [Google Scholar] [PubMed]
- Siikala, E.; Rautemaa, R.; Richardson, M.; Saxen, H.; Bowyer, P.; Sanglard, D. Persistent Candida albicans colonization and molecular mechanisms of azole resistance in autoimmune polyendocrinopathy-candidiasis-ectodermal dystrophy (APECED) patients. J. Antimicrob. Chemother. 2010, 65, 2505–2513. [Google Scholar] [CrossRef]
- Zida, A.; Bamba, S.; Yacouba, A.; Ouedraogo-Traore, R.; Guiguemdé, R.T. Anti-Candida albicans natural products, sources of new antifungal drugs: A review. J. Mycol. Med. 2017, 27, 1–19. [Google Scholar] [CrossRef]
- Ghai, S.; Sood, S.S.; Jain, R.K. Antagonistic and antimicrobial activities of some bacterial isolates collected from soil samples. Indian J. Microbiol. 2007, 47, 77–80. [Google Scholar] [CrossRef][Green Version]
- Khan, M.N.; Lin, H.; Li, M.; Wang, J.; Mirani, Z.A.; Khan, S.I.; Buzdar, M.A.; Ali, I.; Jamil, K. Identification and growth optimization of a Marine Bacillus DK1-SA11 having potential of producing broad spectrum antimicrobial compounds. Pak. J. Pharm. Sci. 2017, 30, 839–853. [Google Scholar] [PubMed]
- Devi, S.; Kiesewalter, H.T.; Kovács, R.; Frisvad, J.C.; Weber, T.; Larsen, T.O.; Kovács, Á.T.; Ding, L. Depiction of secondary metabolites and antifungal activity of Bacillus velezensis DTU001. Synth. Syst. Biotechnol. 2019, 4, 142–149. [Google Scholar] [CrossRef] [PubMed]
- Li, X.; Zhang, Y.; Wei, Z.; Guan, Z.; Cai, Y.; Liao, X. Antifungal Activity of Isolated Bacillus amyloliquefaciens SYBC H47 for the Biocontrol of Peach Gummosis. PLoS ONE 2016, 11, e0162125. [Google Scholar] [CrossRef] [PubMed]
- Li, M.S.M.; Piccoli, D.A.; McDowell, T.; MacDonald, J.; Renaud, J.; Yuan, Z.C. Evaluating the biocontrol potential of Canadian strain Bacillus velezensis 1B-23 via its surfactin production at various pHs and temperatures. BMC Biotechnol. 2021, 21, 31. [Google Scholar] [CrossRef]
- Bonfrate, L.; Di Palo, D.M.; Celano, G.; Albert, A.; Vitellio, P.; De Angelis, M.; Gobbetti, M.; Portincasa, P. Effects of Bifidobacterium longum BB536 and Lactobacillus rhamnosus HN001 in IBS patients. Eur. J. Clin. Invest. 2020, 50, e13201. [Google Scholar] [CrossRef]
- Lau, A.S.; Yanagisawa, N.; Hor, Y.Y.; Lew, L.C.; Ong, J.S.; Chuah, L.O.; Lee, Y.Y.; Choi, S.B.; Rashid, F.; Wahid, N.; et al. Bifidobacterium longum BB536 alleviated upper respiratory illnesses and modulated gut microbiota profiles in Malaysian pre-school children. Benef. Microbes 2018, 9, 61–70. [Google Scholar] [CrossRef]
- Vazquez-Munoz, R.; Thompson, A.; Russell, J.T.; Sobue, T.; Zhou, Y.; Dongari-Bagtzoglou, A. Insights From the Lactobacillus johnsonii Genome Suggest the Production of Metabolites With Antibiofilm Activity Against the Pathobiont Candida albicans. Front. Microbiol. 2022, 13, 853762. [Google Scholar] [CrossRef]
- Zeise, K.D.; Woods, R.J.; Huffnagle, G.B. Interplay between Candida albicans and Lactic Acid Bacteria in the Gastrointestinal Tract: Impact on Colonization Resistance, Microbial Carriage, Opportunistic Infection, and Host Immunity. Clin. Microbiol. Rev. 2021, 34, e0032320. [Google Scholar] [CrossRef]
- Sipiczki, M. Metschnikowia strains isolated from botrytized grapes antagonize fungal and bacterial growth by iron depletion. Appl. Environ. Microbiol. 2006, 72, 6716–6724. [Google Scholar] [CrossRef]
- Kang, C.H.; Han, S.H.; Kim, Y.; Paek, N.S.; So, J.S. In Vitro Probiotic Properties of Lactobacillus salivarius MG242 Isolated from Human Vagina. Probiotics Antimicrob. Proteins 2018, 10, 343–349. [Google Scholar] [CrossRef]
- Chae, G.P.; Shoda, M.; Kubota, H. Suppressive effect of Bacillus subtilis and it’s products on phytopathogenic microorganisms. J. Ferment. Bio. Eng. 1990, 69, 1–7. [Google Scholar] [CrossRef]
- Ongena, M.; Jacques, P. Bacillus lipopeptides: Versatile weapons for plant disease biocontrol. Trends Microbiol. 2008, 16, 115–125. [Google Scholar] [CrossRef] [PubMed]
- Abriouel, H.; Franz, C.M.; Ben Omar, N.; Gálvez, A. Diversity and applications of Bacillus bacteriocins. FEMS Microbiol. Rev. 2011, 35, 201–232. [Google Scholar] [CrossRef] [PubMed]
- Abou-Kassem, D.E.; Elsadek, M.F.; Abdel-Moneim, A.E.; Mahgoub, S.A.; Elaraby, G.M.; Taha, A.E.; Elshafie, M.M.; Alkhawtani, D.M.; Abd El-Hack, M.E.; Ashour, E.A. Growth, carcass characteristics, meat quality, and microbial aspects of growing quail fed diets enriched with two different types of probiotics (Bacillus toyonensis and Bifidobacterium bifidum). Poult. Sci. 2021, 100, 84–93. [Google Scholar] [CrossRef] [PubMed]
- Kadja, L.; Dib, A.L.; Lakhdara, N.; Bouaziz, A.; Espigares, E.; Gagaoua, M. Influence of Three Probiotics Strains, Lactobacillus rhamnosus GG, Bifidobacterium animalis subsp. Lactis BB-12 and Saccharomyces boulardii CNCM I-745 on the Biochemical and Haematological Profiles and Body Weight of Healthy Rabbits. Biology 2021, 10, 1194. [Google Scholar] [CrossRef] [PubMed]
- Lau, A.S.; Liong, M.T. Lactic Acid Bacteria and Bifidobacteria-Inhibited Staphylococcus epidermidis. Wounds. 2014, 26, 121–131. [Google Scholar]
- Fukuda, S.; Toh, H.; Hase, K.; Oshima, K.; Nakanishi, Y.; Yoshimura, K.; Tobe, T.; Clarke, J.M.; Topping, D.L.; Suzuki, T.; et al. Bifidobacteria can protect from enteropathogenic infection through production of acetate. Nature 2011, 469, 543–547. [Google Scholar] [CrossRef]
- El-Zahar, K.M.; Hassan, M.F.Y.; Al-Qaba, S.F. Protective Effect of Fermented Camel Milk Containing Bifidobacterium longum BB536 on Blood Lipid Profile in Hypercholesterolemic Rats. J. Nutr. Metab. 2021, 2021, 1557945. [Google Scholar] [CrossRef]
- Suido, H.; Miyao, M. Bifidobacterium longum-fermented broccoli supernatant inhibited the growth of Candida albicans and some pathogenic bacteria in vitro. Biocontrol. Sci. 2008, 13, 41–48. [Google Scholar] [CrossRef][Green Version]
- Chevalier, M.; Ranque, S.; Prêcheur, I. Oral fungal-bacterial biofilm models in vitro: A review. Med Mycol. 2018, 56, 653–667. [Google Scholar] [CrossRef]
- Kluyver, A.J.; van der Walt, J.P.; van Triet, A.J. Pulcherrimin, The Pigment of Candida pulcherrima. Proc. Natl. Acad. Sci. USA 1953, 39, 583–593. [Google Scholar] [CrossRef] [PubMed]
- Türkel, S.; Ener, B. Isolation and characterization of new Metschnikowia pulcherrima strains as producers of the antimicrobial pigment pulcherrimin. Zeitschrift für Naturforschung 2009, 64, 405–410. [Google Scholar] [CrossRef] [PubMed]
- Renda, G.; Kadıoğlu, M.; Kılıç, M.; Korkmaz, B.; Kırmızıbekmez, H. Anti-inflammatory secondary metabolites from Scrophularia kotschyana. Hum. Exp. Toxicol. 2021, 40, S676–S683. [Google Scholar] [CrossRef] [PubMed]
- Muhaj, F.F.; George, S.J.; Nguyen, C.D.; Tyring, S.K. Antimicrobials and resistance part II: Antifungals, antivirals, and antiparasitics. J. Am. Acad. Dermatol. 2022, 86, 1207–1226. [Google Scholar] [CrossRef]
- Shala, A.; Singh, S.; Hameed, S.; Khurana, S.M.P. Essential Oils as Alternative Promising Anti-Candidal Agents: Progress and Prospects. Curr. Pharm. Des. 2022, 28, 58–70. [Google Scholar] [CrossRef]
- Dehghanifar, S.; Keyhanfar, M.; Emtiazi, G. Production and partial purification of thermostable bacteriocins from Bacillus pumilus ZED17 and DFAR8 strains with antifungal activity. Mol. Biol. Res. Commun. 2019, 8, 41–49. [Google Scholar] [CrossRef]
- Boparai, J.K.; Sharma, P.K. Mini Review on Antimicrobial Peptides, Sources, Mechanism and Recent Applications. Protein Pept. Lett. 2020, 27, 4–16. [Google Scholar] [CrossRef]
- Bin Hafeez, A.; Jiang, X.; Bergen, P.J.; Zhu, Y. Antimicrobial Peptides: An Update on Classifications and Databases. Int. J. Mol. Sci. 2021, 22, 11691. [Google Scholar] [CrossRef]
- Subramenium, G.A.; Swetha, T.K.; Iyer, P.M.; Balamurugan, K.; Pandian, S.K. 5-hydroxymethyl-2-furaldehyde from marine bacterium Bacillus subtilis inhibits biofilm and virulence of Candida albicans. Microbiol. Res. 2018, 207, 19–32. [Google Scholar] [CrossRef]
- Sammer, U.F.; Völksch, B.; Möllmann, U.; Schmidtke, M.; Spiteller, P.; Spiteller, M.; Spiteller, D. 2-amino-3-(oxirane-2,3-dicarboxamido)-propanoyl-valine, an effective peptide antibiotic from the epiphyte Pantoea agglomerans 48b/90. Appl. Environ. Microbiol. 2009, 75, 7710–7717. [Google Scholar] [CrossRef]
- Wang, L.; Linares-Otoya, V.; Liu, Y.; Mettal, U.; Marner, M.; Armas-Mantilla, L.; Willbold, S.; Kurtán, T.; Linares-Otoya, L.; Schäberle, T.F. Discovery and Biosynthesis of Antimicrobial Phenethylamine Alkaloids from the Marine Flavobacterium Tenacibaculum discolor sv11. J. Nat. Prod. 2022, 85, 1039–1051. [Google Scholar] [CrossRef] [PubMed]
- Murzyn, A.; Krasowska, A.; Stefanowicz, P.; Dziadkowiec, D.; Łukaszewicz, M. Capric acid secreted by S. boulardii inhibits C. albicans filamentous growth, adhesion and biofilm formation. PLoS ONE 2010, 5, e12050. [Google Scholar] [CrossRef] [PubMed]
- Zhang, M.; Chang, W.; Shi, H.; Zhou, Y.; Zheng, S.; Li, Y.; Li, L.; Lou, H. Biatriosporin D displays anti-virulence activity through decreasing the intracellular cAMP levels. Toxicol. Appl. Pharmacol. 2017, 322, 104–112. [Google Scholar] [CrossRef] [PubMed]
- Zhao, J.C.; Wang, Y.L.; Zhang, T.Y.; Chen, Z.J.; Yang, T.M.; Wu, Y.Y.; Sun, C.P.; Ma, X.C.; Zhang, Y.X. Indole diterpenoids from the endophytic fungus Drechmeria sp. as natural antimicrobial agents. Phytochemistry 2018, 148, 21–28. [Google Scholar] [CrossRef] [PubMed]
- Chen, Y.; Yang, W.; Zou, G.; Chen, S.; Pang, J.; She, Z. Bioactive polyketides from the mangrove endophytic fungi Phoma sp. SYSU-SK-7. Fitoterapia 2019, 139, 104369. [Google Scholar] [CrossRef] [PubMed]
- Yang, B.; He, Y.; Lin, S.; Zhang, J.; Li, H.; Wang, J.; Hu, Z.; Zhang, Y. Antimicrobial Dolabellanes and Atranones from a Marine-Derived Strain of the Toxigenic Fungus Stachybotrys chartarum. J. Nat. Prod. 2019, 82, 1923–1929. [Google Scholar] [CrossRef]
- Wu, S.H.; He, J.; Li, X.N.; Huang, R.; Song, F.; Chen, Y.W.; Miao, C.P. Guaiane sesquiterpenes and isopimarane diterpenes from an endophytic fungus Xylaria sp. Phytochemistry 2014, 105, 197–204. [Google Scholar] [CrossRef]
- Wang, X.; You, J.; King, J.B.; Powell, D.R.; Cichewicz, R.H. Waikialoid A suppresses hyphal morphogenesis and inhibits biofilm development in pathogenic Candida albicans. J. Nat. Prod. 2012, 75, 707–715. [Google Scholar] [CrossRef]
- Okabe, M.; Sugita, T.; Kinoshita, K.; Koyama, K. Macrolides from a Marine-Derived Fungus, Penicillium meleagrinum var. viridiflavum, Showing Synergistic Effects with Fluconazole against Azole-Resistant Candida albicans. J. Nat. Prod. 2016, 79, 1208–1212. [Google Scholar] [CrossRef]
- Ma, M.Z.; Ge, H.J.; Yi, W.W.; Wu, B.; Zhang, Z.Z. Bioactive drimane sesquiterpenoids and isocoumarins from the marine-derived fungus Penicillium minioluteum ZZ1657. Tetrahedron Lett. 2019, 7, 13. [Google Scholar] [CrossRef]
- Fu, P.; Wang, S.; Hong, K.; Li, X.; Liu, P.; Wang, Y.; Zhu, W. Cytotoxic bipyridines from the marine-derived actinomycete Actinoalloteichus cyanogriseus WH1-2216-6. J. Nat. Prod. 2011, 74, 1751–1756. [Google Scholar] [CrossRef]
- Kim, D.G.; Moon, K.; Kim, S.H.; Park, S.H.; Park, S.; Lee, S.K.; Oh, K.B.; Shin, J.; Oh, D.C. Bahamaolides A and B, antifungal polyene polyol macrolides from the marine actinomycete Streptomyces sp. J. Nat. Prod. 2012, 75, 959–967. [Google Scholar] [CrossRef] [PubMed]
- Zhang, D.; Yi, W.; Ge, H.; Zhang, Z.; Wu, B. Bioactive Streptoglutarimides A-J from the Marine-Derived Streptomyces sp. ZZ741. J. Nat. Prod. 2019, 82, 2800–2808. [Google Scholar] [CrossRef] [PubMed]
- Nithyanand, P.; Beema Shafreen, R.M.; Muthamil, S.; Karutha Pandian, S. Usnic acid inhibits biofilm formation and virulent morphological traits of Candida albicans. Microbiol. Res. 2015, 179, 20–28. [Google Scholar] [CrossRef]
- Chang, W.; Li, Y.; Zhang, L.; Cheng, A.; Lou, H. Retigeric acid B attenuates the virulence of Candida albicans via inhibiting adenylyl cyclase activity targeted by enhanced farnesol production. PLoS ONE 2012, 7, e41624. [Google Scholar] [CrossRef]
- Padhi, S.; Masi, M.; Cimmino, A.; Tuzi, A.; Jena, S.; Tayung, K.; Evidente, A. Funiculosone, a substituted dihydroxanthene-1,9-dione with two of its analogues produced by an endolichenic fungus Talaromyces funiculosus and their antimicrobial activity. Phytochemistry 2019, 157, 175–183. [Google Scholar] [CrossRef] [PubMed]
- Rukachaisirikul, V.; Rodglin, A.; Sukpondma, Y.; Phongpaichit, S.; Buatong, J.; Sakayaroj, J. Phthalide and isocoumarin derivatives produced by an Acremonium sp. isolated from a mangrove Rhizophora apiculata. J. Nat. Prod. 2012, 75, 853–858. [Google Scholar] [CrossRef] [PubMed]
- Wu, Z.; Zhang, X.; Anbari, W.H.A.; Zhou, Q.; Zhou, P.; Zhang, M.; Zeng, F.; Chen, C.; Tong, Q.; Wang, J.; et al. Cysteine Residue Containing Merocytochalasans and 17,18-seco-Aspochalasins from Aspergillus micronesiensis. J. Nat. Prod. 2019, 82, 2653–2658. [Google Scholar] [CrossRef]
- Zhang, M.Q.; Xu, K.X.; Xue, Y.; Cao, F.; Yang, L.J.; Hou, X.M.; Wang, C.Y.; Shao, C.L. Sordarin Diterpene Glycosides with an Unusual 1,3-Dioxolan-4-one Ring from the Zoanthid-Derived Fungus Curvularia hawaiiensis TA26-15. J. Nat. Prod. 2019, 82, 2477–2482. [Google Scholar] [CrossRef]
- Geng, Z.; Zhu, W.; Su, H.; Zhao, Y.; Zhang, K.Q.; Yang, J. Recent advances in genes involved in secondary metabolite synthesis, hyphal development, energy metabolism and pathogenicity in Fusarium graminearum (teleomorph Gibberella zeae). Biotechnol. Adv. 2014, 32, 390–402. [Google Scholar] [CrossRef]
- Hidy, P.H.; Baldwin, R.S.; Greasham, R.L.; Keith, C.L.; McMullen, J.R. Zearalenone and some derivatives: Production and biological activities. Adv. Appl. Microbiol. 1977, 22, 59–82. [Google Scholar] [CrossRef] [PubMed]
- Rajasekharan, S.K.; Lee, J.H.; Zhao, Y.; Lee, J. The Mycotoxin Zearalenone Hinders Candida albicans Biofilm Formation and Hyphal Morphogenesis. Indian J. Microbiol. 2018, 58, 19–27. [Google Scholar] [CrossRef] [PubMed]
- Rajasekharan, S.K.; Byun, J.; Lee, J. Inhibitory effects of deoxynivalenol on pathogenesis of Candida albicans. J. Appl. Microbiol. 2018, 125, 1266–1275. [Google Scholar] [CrossRef] [PubMed]
- Stierle, A.A.; Stierle, D.B.; Decato, D.; Priestley, N.D.; Alverson, J.B.; Hoody, J.; McGrath, K.; Klepacki, D. The Berkeleylactones, Antibiotic Macrolides from Fungal Coculture. J. Nat Prod. 2017, 80, 1150–1160. [Google Scholar] [CrossRef]
- Yang, X.L.; Takayoshi, A.; Toshiyuki, W.; Ikuro, A. Induced production of the novel glycolipid ustilagic acid C in the plant pathogen Ustilago maydis. Tetrahedron Lett. 2013, 54, 3655–3657. [Google Scholar] [CrossRef]
- Caetano, T.; Krawczyk, J.M.; Mösker, E.; Süssmuth, R.D.; Mendo, S. Heterologous expression, biosynthesis, and mutagenesis of type II lantibiotics from Bacillus licheniformis in Escherichia coli. Chem. Biol. 2011, 18, 90–100. [Google Scholar] [CrossRef]
- Fira, D.; Dimkić, I.; Berić, T.; Lozo, J.; Stanković, S. Biological control of plant pathogens by Bacillus species. J. Biotechnol. 2018, 285, 44–55. [Google Scholar] [CrossRef] [PubMed]
- Chen, W.; Wang, J.; Huang, D.; Cheng, W.; Shao, Z.; Cai, M.; Zheng, L.; Yu, Z.; Zhang, J. Volatile Organic Compounds from Bacillus aryabhattai MCCC 1K02966 with Multiple Modes against Meloidogyne incognita. Molecules 2021, 27, 103. [Google Scholar] [CrossRef]
- Chu, J.; Wang, Y.; Zhao, B.; Zhang, X.M.; Liu, K.; Mao, L.; Kalamiyets, E. Isolation and identification of new antibacterial compounds from Bacillus pumilus. Appl. Microbiol. Biotechnol. 2019, 103, 8375–8381. [Google Scholar] [CrossRef]
- Fu, L.; Wang, Y.; Ju, J.; Cheng, L.; Xu, Y.; Yu, B.; Wang, L. Extracellular production of active-form Streptomyces mobaraensis transglutaminase in Bacillus subtilis. Appl. Microbiol. Biotechnol. 2020, 104, 623–631. [Google Scholar] [CrossRef]
- Zhang, K.; Su, L.; Wu, J. Enhancing Extracellular Pullulanase Production in Bacillus subtilis through dltB Disruption and Signal Peptide Optimization. Appl. Biochem. Biotechnol. 2022, 194, 1206–1220. [Google Scholar] [CrossRef] [PubMed]
- Xia, Y.; Zhao, J.; Chen, H.; Liu, X.; Wang, Y.; Tian, F.; Zhang, H.P.; Zhang, H.; Chen, W. Extracellular secretion in Bacillus subtilis of a cytoplasmic thermostable beta-galactosidase from Geobacillus stearothermophilus. J. Dairy Sci. 2010, 93, 2838–2845. [Google Scholar] [CrossRef] [PubMed]
- Nissan, G.; Gershovits, M.; Morozov, M.; Chalupowicz, L.; Sessa, G.; Manulis-Sasson, S.; Barash, I.; Pupko, T. Revealing the inventory of type III effectors in Pantoea agglomerans gall-forming pathovars using draft genome sequences and a machine-learning approach. Mol. Plant Pathol. 2018, 19, 381–392. [Google Scholar] [CrossRef] [PubMed]
- Nissan, G.; Chalupowicz, L.; Sessa, G.; Manulis-Sasson, S.; Barash, I. Two Pantoea agglomerans type III effectors can transform nonpathogenic and phytopathogenic bacteria into host-specific gall-forming pathogens. Mol. Plant Pathol. 2019, 20, 1582–1587. [Google Scholar] [CrossRef]
- Sun, L.M.; Cheng, A.X.; Wu, X.Z.; Zhang, H.J.; Lou, H.X. Synergistic mechanisms of retigeric acid B and azoles against Candida albicans. J. Appl. Microbiol. 2010, 108, 341–348. [Google Scholar] [CrossRef]
- Chang, W.Q.; Wu, X.Z.; Cheng, A.X.; Zhang, L.; Ji, M.; Lou, H.X. Retigeric acid B exerts antifungal effect through enhanced reactive oxygen species and decreased cAMP. Biochim. Biophys. Acta 2011, 1810, 569–576. [Google Scholar] [CrossRef]
- Chang, W.; Li, Y.; Zhang, L.; Cheng, A.; Liu, Y.; Lou, H. Retigeric acid B enhances the efficacy of azoles combating the virulence and biofilm formation of Candida albicans. Biol Pharm Bull. 2012, 35, 1794–1801. [Google Scholar] [CrossRef]
- Sobrova, P.; Adam, V.; Vasatkova, A.; Beklova, M.; Zeman, L.; Kizek, R. Deoxynivalenol and its toxicity. Interdiscip. Toxicol. 2010, 3, 94–99. [Google Scholar] [CrossRef]
- Audenaert, K.; Vanheule, A.; Höfte, M.; Haesaert, G. Deoxynivalenol: A major player in the multifaceted response of Fusarium to its environment. Toxins 2013, 6, 1–19. [Google Scholar] [CrossRef]
- May, H.D.; Wu, Q.; Blake, C.K. Effects of the Fusarium spp. mycotoxins fusaric acid and deoxynivalenol on the growth of Ruminococcus albus and Methanobrevibacter ruminantium. Can. J. Microbiol. 2000, 46, 692–699. [Google Scholar] [CrossRef]
- Berthiller, F.; Dall’Asta, C.; Schuhmacher, R.; Lemmens, M.; Adam, G.; Krska, R. Masked mycotoxins: Determination of a deoxynivalenol glucoside in artificially and naturally contaminated wheat by liquid chromatography-tandem mass spectrometry. J. Agric Food Chem. 2005, 53, 3421–3425. [Google Scholar] [CrossRef] [PubMed]
- Ellepola, A.N.; Samaranayake, L.P.; Khan, Z.U. Extracellular phospholipase production of oral Candida albicans isolates from smokers, diabetics, asthmatics, denture wearers and healthy individuals following brief exposure to polyene, echinocandin and azole antimycotics. Braz. J. Microbiol. 2016, 47, 911–916. [Google Scholar] [CrossRef] [PubMed]

| Antagonists | Species | Activity | References | 
|---|---|---|---|
| Bacillus spp. | B. sphaericus A16, B. circulans M142, B. brevis M166, B. brevis T122 | Strains showed extensive inhibition against C. albicans. | [40] | 
| B. subtilis spizizenii DK1-SA11 | Cell-free supernatant had significant inhibitory activity against C. albicans. | [41] | |
| B. velezensis DTU001 | Significantly inhibited the proliferation of C. albicans, and the inhibition ability of the strain was better than that of a single lipopeptide. | [42] | |
| Bifidobacterium | B. amyloliquefaciens SYBC H47 | Cell-free supernatant and Cell suspension had obvious inhibition against C. albicans. | [43] | 
| B. velezensis 1B-23 | Inhibited C. albicans growth in vitro. | [44] | |
| B. longum BB536 | The supernatant of fermented broccoli could inhibit the growth of C. albicans in vitro. | [45,46] | |
| Lactobacillus genus | L. johnsonii MT4 | Inhibited planktonic growth and biofilm formation of C. albicans | [47] | 
| Lactobacillus | Regulated growth and virulence of C. albicans through niche competition. | [48] | |
| Yeast | Metschnikowia pulcherrima | Strong antagonistic activity against C. albicans. | [49] | 
| Other strains | Enterococcus | Regulated growth and virulence of C. albicans through niche competition. | [48] | 
| Pseudomonas fluorescens | The strain showed extensive inhibition against C. albicans. | [40] | |
| Salivarius MG242 | The strain had significant inhibitory effect on C. albicans. | [50] | 
| Sources | Inhibitory Compounds | Main Characteristics of the Compounds | Other Inhibitory Actions | References | 
|---|---|---|---|---|
| Bacteria | ||||
| Bacillus subtilis | 5HM2F | Inhibit morphological transition | Reduced levels of secreted virulence factors and ergosterol to reduce the main sources of biofilms. | [69] | 
| Pantoea agglomerans C9-1 | 2-amino-3-(oxane-2,3-dicarboxamido) propanoyl-valine | Inhibit growth | None | [70] | 
| Tenacibaculum discolor sv11 | Dipyrrolepyridines A and B | Inhibit growth | [71] | |
| Yeast | ||||
| Saccharomyces boulardii | Capric acid | Inhibit hyphal formation, adhesion and biofilm development | Transcriptional levels of HWP1, INO1 and CSH1 genes were decreased. | [72] | 
| Eendophytic fungi | ||||
| Biatriospora sp. | Biatriosporin D | Inhibit adhesion, biofilm formation and hyphal morphogenesis | Regulated Ras1-CAMP-Efg1 pathway, disrupted morphological transition and attenuated virulence | [73] | 
| Drechmeria sp. | Drechmerin B | Inhibit growth | None | [74] | 
| Phoma sp. SYSU-SK-7 | Colletotric A | Inhibit growth | None | [75] | 
| Stachybotrys chartarum | Atranone Q | Inhibit growth | None | [76] | 
| Xylaria sp. YM 311647 | Sesquiterpenes and Isomatanic diterpenes | Inhibit growth | None | [77] | 
| Marine fungi | ||||
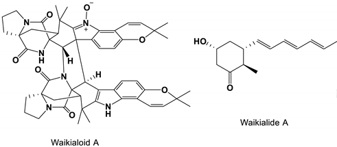
| Aspergillus isolates from Waikiki Beach | Waikialoid A and Waikialide A | Inhibit biofilm formation | None | [78] | 
| Penicillium meleagrinum var. viridiflavum | PF1163A and B | Inhibit growth | None | [79] | 
| Penicillium minioluteum ZZ1657 | Purpurides E and F | Inhibit growth | None | [80] | 
| Marine actinomycetes | ||||
| Actinoalloteichus cyanogriseus WH1-2216-6 | Caerulomycin A and C | Inhibit growth | None | [81] | 
| Streptomyces sp. | Bahamaolides A | Inhibit isocitrate lyase | None | [82] | 
| Streptomyces sp. ZZ741 | Streptoglutarimides A-J and Streptovitacin A | Inhibit growth | None | [83] | 
| Lichen | ||||
| lichens | Usnic acid | Reduce the thickness of mature biofilms and Inhibit biofilm adhesion. | [84] | |
| lichens | Retigeric acid B | Inhibit hyphal formation | RAB regulated the Ras1-cAMP-Efg1 pathway and inhibited hyphal formation | [85] | 
| Lichens with Talaromyces funiculosu | Funiculosone | Inhibit growth | None | [86] | 
| Other strains | ||||
| Acremonium sp. PSU-MA70 | 8-Deoxytrichocin and trichodermol | Inhibit growth | None | [87] | 
| Aspergillus micronesiensis | Cyschalasins A and B | Inhibit growth | None | [88] | 
| Curvularia hawaiiensis TA26-15 | Moriniafungins B-G | Inhibit growth | None | [89] | 
| Fusarium and Gibberella species | Zearalenone | Inhibit biofilm formation of and hyphal morphogenesis | None | [90,91,92] | 
| Fusarium spp. | Deoxynivalenol | Inhibit biofilm formation and reduce metabolic activity | DON and its derivatives interplayed with lanosterol 14a-demethylase | [93] | 
| Penicillium fuscum and Penicillium camembertii/clavigerum | Berkleyolactone A | Inhibit growth | A new mode of action that had not been resolved | [94] | 
| Ustilago maydis | Ustilagic acid B and C | Inhibit growth | None | [95] | 
| Inhibitory Compounds | Compound Structure | Activity | References | 
|---|---|---|---|
| Terpenoids | |||
| Isomatanic diterpenes |  | The MIC value was 16 μg/mL | [77] | 
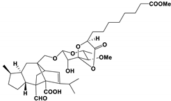
| Purpurides E and F |  | The MIC values were 12 and 6 μg/mL, respectively. | [80] | 
| Usnic acid |  | The MBIC value was 100 μg/mL. | [84] | 
| Moriniafungins E |  | The MIC value was 2.9 μM. | [89] | 
| Macrolides | |||
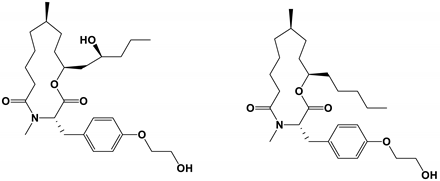
| PF1163 A and B |  | The inhibitory concentrations were 1 and 2 μg/mL, respectively. | [79] | 
| Bahamaolides A |  | The MIC value was 12.5 μg/mL. | [82] | 
| Berkleyolactone A |  | The MIC value was 1–2 μg/mL. | [94] | 
| Organic acids | |||
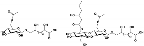
| Capric acid |  | The inhibitory concentration was 45.3 μg/mL. | [72] | 
| Retigeric acid B |  | The MIC80 value was 8 μg/mL. | [85] | 
| Ustilagic acid B and C |  | The MIC values were 50 and 100 μg/mL, respectively. | [95] | 
| Alkaloids | |||
| Ketones | |||
| Colletotric A |  | The MIC value was 3.27 μg/mL. | [75] | 
| Atranone Q |  | The MIC value was 8 μg/mL | [76] | 
| Waikialoid A and Waikialide A |  | The IC50 values were 1.4 and 32.4 μM, respectively. | [78] | 
| Caerulomycin A and C |  | The MIC values were 21.8 and 19.3 μM, respectively. | [81] | 
| Cyschalasins A and B |  | The MIC50 values were 43.3 ± 1.5 and 94.7 ± 1.3 μg/mL, respectively. | [88] | 
| Zearalenone |  | The inhibitory concentration was 100 μg/mL | [90,91,92] | 
| Alcohols | |||
| 8-Deoxytrichothecin and trichodermol |  | The MIC values were 16 and 64 μg/mL, respectively. | [87] | 
| Deoxynivalenol and 3-acetyl-DON |  | All inhibitory concentrations were 50 μg/mL. | [93] | 
| Other structural compounds | |||
| 5HM2F |  | The MBIC value was 400 μg/mL. | [69] | 
| 2-amino-3-(oxane-2,3-dicarboxamido) propanoyl-valine |  | The inhibitory concentration was 1.5 μg/mL. | [70] | 
| Dipyrrolepyridines A and B |  | Certain antibacterial activity. | [71] | 
| Biatriosporin D |  | The inhibitory concentration was 2 μg/mL | [73] | 
| Drechmerin B |  | The MIC value was 12.5 μg/mL. | [74] | 
| Streptoglutarimides D |  | The MIC value was 4 μg/mL. | [83] | 
| Funiculosone |  | The IC50 value was 35 μg/mL. | [86] | 
| Publisher’s Note: MDPI stays neutral with regard to jurisdictional claims in published maps and institutional affiliations. | 
© 2022 by the authors. Licensee MDPI, Basel, Switzerland. This article is an open access article distributed under the terms and conditions of the Creative Commons Attribution (CC BY) license (https://creativecommons.org/licenses/by/4.0/).
Share and Cite
Li, H.; Yang, J.; Zhang, X.; Xu, X.; Song, F.; Li, H. Biocontrol of Candida albicans by Antagonistic Microorganisms and Bioactive Compounds. Antibiotics 2022, 11, 1238. https://doi.org/10.3390/antibiotics11091238
Li H, Yang J, Zhang X, Xu X, Song F, Li H. Biocontrol of Candida albicans by Antagonistic Microorganisms and Bioactive Compounds. Antibiotics. 2022; 11(9):1238. https://doi.org/10.3390/antibiotics11091238
Chicago/Turabian StyleLi, Honghua, Jinpeng Yang, Xinwan Zhang, Xiuli Xu, Fuhang Song, and Hehe Li. 2022. "Biocontrol of Candida albicans by Antagonistic Microorganisms and Bioactive Compounds" Antibiotics 11, no. 9: 1238. https://doi.org/10.3390/antibiotics11091238
APA StyleLi, H., Yang, J., Zhang, X., Xu, X., Song, F., & Li, H. (2022). Biocontrol of Candida albicans by Antagonistic Microorganisms and Bioactive Compounds. Antibiotics, 11(9), 1238. https://doi.org/10.3390/antibiotics11091238
 
        


 
       