A Genetic Locus in Elizabethkingia anophelis Associated with Elevated Vancomycin Resistance and Multiple Antibiotic Reduced Susceptibility
Abstract
1. Introduction
2. Results
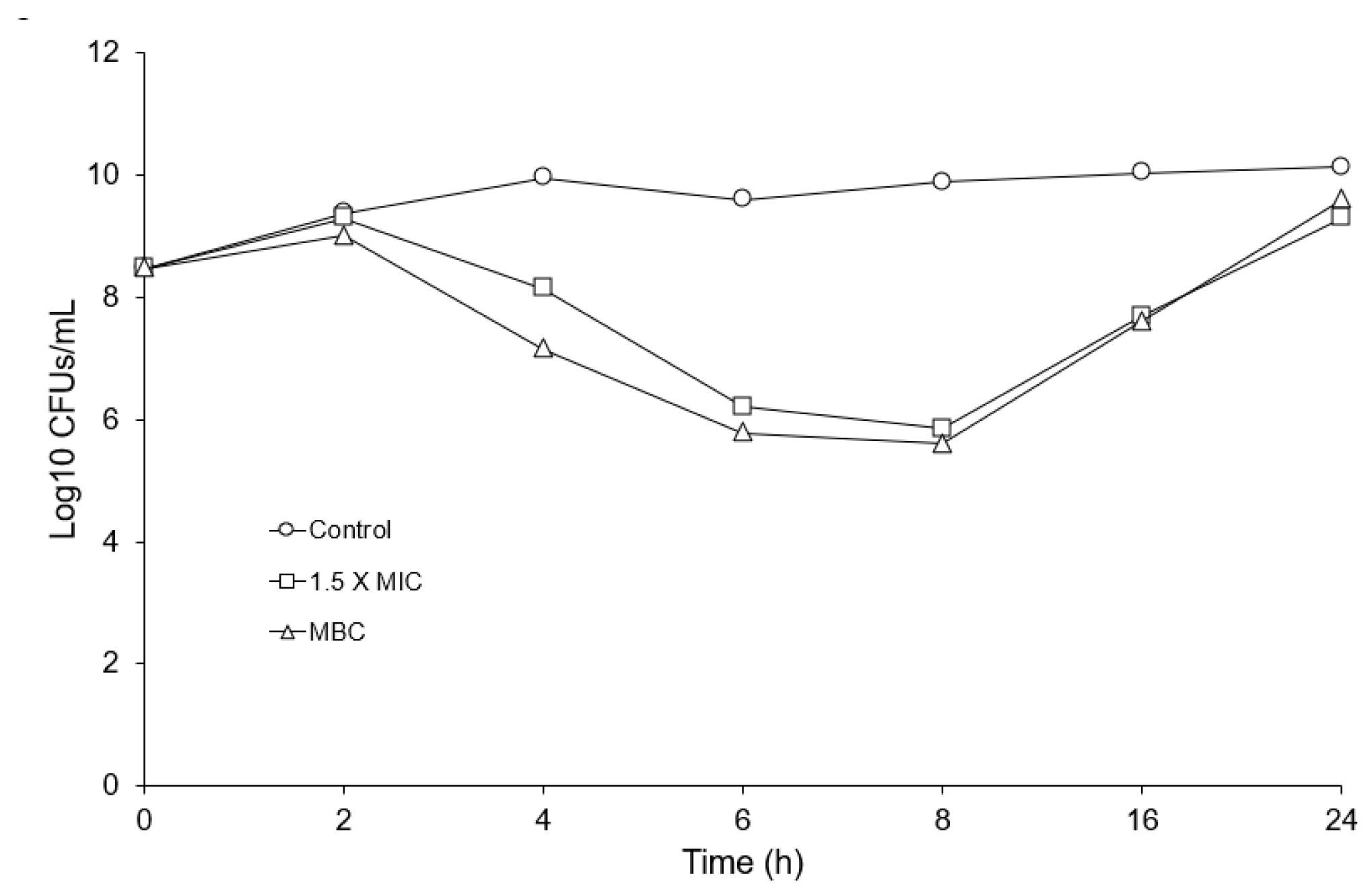
2.1. Vancomycin Susceptibility, Live Microscopy, and Vancomycin Survival Assays
2.2. Isolation of Vancomycin-Selected Mutants
2.3. Mutations Associated with Vancomycin Resistance
| Strain | Parent Strain | Vancomycin Selection Concentration (mg/L) | Mutation Frequency | Vancomycin MIC (mg/L) | Vancomycin MBC (mg/L) | Ref. |
|---|---|---|---|---|---|---|
| E. anophelis R26 | 8 | 16 | [34] | |||
| R26VS1 | R26 | 16 | 4.33 × 10−4 | 128 | >256 | This study |
| R26VS2 | R26 | 16 | 4.33 × 10−4 | 64 | 128 | This study |
| R26VS3 | R26 | 16 | 4.33 × 10−4 | 64 | 128 | This study |
| Strain | Ciprofloxacin 0 → 0.5 mg/L | Clindamycin 0 → 1 mg/L | Rifampin 0 → 0.25 mg/L | Vancomycin 0 → 64 mg/L |
|---|---|---|---|---|
| R26 | 3.67 ± 0.33 A | 31.00 ± 1.15 A | 41.33 ± 1.76 A | 6.33 ± 0.67 |
| R26 VS1 | 7.67 ± 0.67 BC | 65.67 ± 1.45 B | 63.67 ± 2.60 B | 90.00 ± 0.00 |
| R26 VS2 | 7.00 ± 0.58 C | 52.67 ± 1.20 C | 70.33 ± 2.03 B | 89.00 ± 1.00 |
| R26 VS3 | 9.67 ± 0.33 B | 61.67 ± 2.19 B | 80.33 ± 1.45 C | 90.00 ± 0.00 |
2.4. qPCR Analysis of vrs1 Expression
3. Discussion
4. Materials and Methods
4.1. Bacterial Strains, Growth Conditions, Vancomycin-Selected Mutants, Antibiotic Susceptibility Testing, and Live Cell Microscopy
4.2. Whole Genome Sequencing and Identification of Mutations Associated with Enhanced Vancomycin Resistance
4.3. Quantitative Real-Time qPCR Analysis
4.4. Promoter, Structural Sequence and Phylogenetic Analyses
5. Conclusions
Author Contributions
Funding
Institutional Review Board Statement
Informed Consent Statement
Data Availability Statement
Acknowledgments
Conflicts of Interest
References
- King, E.O. Studies on a group of previously unclassified bacteria associated with meningitis in infants. Am. J. Clin. Pathol. 1959, 31, 241–247. [Google Scholar] [CrossRef] [PubMed]
- Nicholson, A.C.; Gulvik, C.A.; Whitney, A.M.; Humrighouse, B.W.; Graziano, J.; Emery, B.; Bell, M.; Loparev, V.; Juieng, P.; Gartin, J.; et al. Revisiting the taxonomy of the genus Elizabethkingia using whole-genome sequencing, optical mapping, and MALDI-TOF, along with proposal of three novel Elizabethkingia species: Elizabethkingia bruuniana sp. nov., Elizabethkingia ursingii sp. nov., and Elizabethkingia occulta sp. nov. Antonie Leeuwenhoek 2018, 111, 55–72. [Google Scholar] [CrossRef] [PubMed]
- Chew, K.L.; Cheng, B.; Lin, R.T.P.; Teo, J.W.P. Elizabethkingia anophelis Is the Dominant Elizabethkingia Species Found in Blood Cultures in Singapore. J. Clin. Microbiol. 2018, 56, e01445-17. [Google Scholar] [CrossRef] [PubMed]
- Perrin, A.; Larsonneur, E.; Nicholson, A.C.; Edwards, D.J.; Gundlach, K.M.; Whitney, A.M.; Gulvik, C.A.; Bell, M.E.; Rendueles, O.; Cury, J.; et al. Evolutionary dynamics and genomic features of the Elizabethkingia anophelis 2015 to 2016 Wisconsin outbreak strain. Nat. Commun. 2017, 8, 15483. [Google Scholar] [CrossRef] [PubMed]
- Kyritsi, M.A.; Mouchtouri, V.A.; Pournaras, S.; Hadjichristodoulou, C. First reported isolation of an emerging opportunistic pathogen (Elizabethkingia anophelis) from hospital water systems in Greece. J. Water Health 2018, 16, 164–170. [Google Scholar] [CrossRef]
- Hem, S.; Jarocki, V.M.; Baker, D.J.; Charles, I.G.; Drigo, B.; Aucote, S.; Donner, E.; Burnard, D.; Bauer, M.J.; Harris, P.N.A.; et al. Genomic analysis of Elizabethkingia species from aquatic environments: Evidence for potential clinical transmission. Curr. Res. Microb. Sci. 2022, 3, 100083. [Google Scholar] [CrossRef]
- Hwang, J.H.; Kim, J.; Kim, J.H.; Mo, S. Elizabethkingia argenteiflava sp. nov., isolated from the pod of soybean, Glycine max. Int. J. Syst. Evol. Microbiol. 2021, 71, 004767. [Google Scholar] [CrossRef]
- Liu, K.M.; Chang, H.L.; Hsu, M.H.; Lin, Y.Z.; Lee, Y.L.; Chen, Y.T. Complete Genome Sequencing of Elizabethkingia sp. Strain 2-6. Microbiol. Resour. Announc. 2019, 8. [Google Scholar] [CrossRef]
- Colapietro, M.; Endimiani, A.; Sabatini, A.; Marcoccia, F.; Celenza, G.; Segatore, B.; Amicosante, G.; Perilli, M. BlaB-15, a new BlaB metallo-beta-lactamase variant found in an Elizabethkingia miricola clinical isolate. Diagn. Microbiol. Infect. Dis. 2016, 85, 195–197. [Google Scholar] [CrossRef]
- Jian, M.J.; Cheng, Y.H.; Chung, H.Y.; Cheng, Y.H.; Yang, H.Y.; Hsu, C.S.; Perng, C.L.; Shang, H.S. Fluoroquinolone resistance in carbapenem-resistant Elizabethkingia anophelis: Phenotypic and genotypic characteristics of clinical isolates with topoisomerase mutations and comparative genomic analysis. J. Antimicrob. Chemother. 2019, 74, 1503–1510. [Google Scholar] [CrossRef]
- Matyi, S.A.; Hoyt, P.R.; Ayoubi-Canaan, P.; Hasan, N.A.; Gustafson, J.E. Draft Genome Sequence of Strain ATCC 33958, Reported to Be Elizabethkingia miricola. Genome Announc. 2015, 3, e00828-15. [Google Scholar] [CrossRef]
- Zgurskaya, H.I.; Weeks, J.W.; Ntreh, A.T.; Nickels, L.M.; Wolloscheck, D. Mechanism of coupling drug transport reactions located in two different membranes. Front. Microbiol. 2015, 6, 100. [Google Scholar] [CrossRef]
- Mazzariol, A.; Tokue, Y.; Kanegawa, T.M.; Cornaglia, G.; Nikaido, H. High-level fluoroquinolone-resistant clinical isolates of Escherichia coli overproduce multidrug efflux protein AcrA. Antimicrob. Agents Chemother. 2000, 44, 3441–3443. [Google Scholar] [CrossRef]
- Nieto, M.; Perkins, H.R. Modifications of the acyl-D-alanyl-D-alanine terminus affecting complex-formation with vancomycin. Biochem. J. 1971, 123, 789–803. [Google Scholar] [CrossRef]
- Bruniera, F.R.; Ferreira, F.M.; Saviolli, L.R.; Bacci, M.R.; Feder, D.; da Luz Goncalves Pedreira, M.; Sorgini Peterlini, M.A.; Azzalis, L.A.; Campos Junqueira, V.B.; Fonseca, F.L. The use of vancomycin with its therapeutic and adverse effects: A review. Eur. Rev. Med. Pharmacol. Sci. 2015, 19, 694–700. [Google Scholar]
- Jean, S.S.; Hsieh, T.C.; Ning, Y.Z.; Hsueh, P.R. Role of vancomycin in the treatment of bacteraemia and meningitis caused by Elizabethkingia meningoseptica. Int. J. Antimicrob. Agents 2017, 50, 507–511. [Google Scholar] [CrossRef]
- Krishnamoorthy, G.; Leus, I.V.; Weeks, J.W.; Wolloscheck, D.; Rybenkov, V.V.; Zgurskaya, H.I. Synergy between Active Efflux and Outer Membrane Diffusion Defines Rules of Antibiotic Permeation into Gram-Negative Bacteria. mBio 2017, 8, e01172-17. [Google Scholar] [CrossRef]
- Chiu, C.T.; Lai, C.H.; Huang, Y.H.; Yang, C.H.; Lin, J.N. Comparative Analysis of Gradient Diffusion and Disk Diffusion with Agar Dilution for Susceptibility Testing of Elizabethkingia anophelis. Antibiotics 2021, 10, 450. [Google Scholar] [CrossRef]
- Dorr, T.; Delgado, F.; Umans, B.D.; Gerding, M.A.; Davis, B.M.; Waldor, M.K. A Transposon Screen Identifies Genetic Determinants of Vibrio cholerae Resistance to High-Molecular-Weight Antibiotics. Antimicrob. Agents Chemother. 2016, 60, 4757–4763. [Google Scholar] [CrossRef]
- Fass, R.J.; Barnishan, J. In vitro susceptibilities of nonfermentative gram-negative bacilli other than Pseudomonas aeruginosa to 32 antimicrobial agents. Rev. Infect. Dis. 1980, 2, 841–853. [Google Scholar] [CrossRef]
- Chang, T.Y.; Chen, H.Y.; Chou, Y.C.; Cheng, Y.H.; Sun, J.R. In vitro activities of imipenem, vancomycin, and rifampicin against clinical Elizabethkingia species producing BlaB and GOB metallo-beta-lactamases. Eur. J. Clin. Microbiol. Infect. Dis. 2019, 38, 2045–2052. [Google Scholar] [CrossRef]
- Kuo, S.C.; Tan, M.C.; Huang, W.C.; Wu, H.C.; Chen, F.J.; Liao, Y.C.; Wang, H.Y.; Shiau, Y.R.; Lauderdale, T.L. Susceptibility of Elizabethkingia spp. to commonly tested and novel antibiotics and concordance between broth microdilution and automated testing methods. J. Antimicrob. Chemother. 2021, 76, 653–658. [Google Scholar] [CrossRef]
- Lin, X.H.; Xu, Y.H.; Sun, X.H.; Huang, Y.; Li, J.B. Genetic diversity analyses of antimicrobial resistance genes in clinical Chryseobacterium meningosepticum isolated from Hefei, China. Int. J. Antimicrob. Agents 2012, 40, 186–188. [Google Scholar] [CrossRef]
- Rybak, M.J. The pharmacokinetic and pharmacodynamic properties of vancomycin. Clin. Infect. Dis. 2006, 42 (Suppl. S1), S35–S39. [Google Scholar] [CrossRef]
- Baquero, M.R.; Nilsson, A.I.; Turrientes Mdel, C.; Sandvang, D.; Galan, J.C.; Martinez, J.L.; Frimodt-Moller, N.; Baquero, F.; Andersson, D.I. Polymorphic mutation frequencies in Escherichia coli: Emergence of weak mutators in clinical isolates. J. Bacteriol. 2004, 186, 5538–5542. [Google Scholar] [CrossRef]
- Price, C.T.; Gustafson, J.E. Increases in the mutation frequency at which fusidic acid-resistant Staphylococcus aureus arise with salicylate. J. Med. Microbiol. 2001, 50, 104–106. [Google Scholar] [CrossRef][Green Version]
- Gustafson, J.E.; Candelaria, P.V.; Fisher, S.A.; Goodridge, J.P.; Lichocik, T.M.; McWilliams, T.M.; Price, C.T.; O’Brien, F.G.; Grubb, W.B. Growth in the presence of salicylate increases fluoroquinolone resistance in Staphylococcus aureus. Antimicrob. Agents Chemother. 1999, 43, 990–992. [Google Scholar] [CrossRef]
- Lubelski, J.; de Jong, A.; van Merkerk, R.; Agustiandari, H.; Kuipers, O.P.; Kok, J.; Driessen, A.J. LmrCD is a major multidrug resistance transporter in Lactococcus lactis. Mol. Microbiol. 2006, 61, 771–781. [Google Scholar] [CrossRef]
- Huillet, E.; Velge, P.; Vallaeys, T.; Pardon, P. LadR, a new PadR-related transcriptional regulator from Listeria monocytogenes, negatively regulates the expression of the multidrug efflux pump MdrL. FEMS Microbiol. Lett. 2006, 254, 87–94. [Google Scholar] [CrossRef]
- Madoori, P.K.; Agustiandari, H.; Driessen, A.J.; Thunnissen, A.M. Structure of the transcriptional regulator LmrR and its mechanism of multidrug recognition. EMBO J. 2009, 28, 156–166. [Google Scholar] [CrossRef]
- Hauf, S.; Moller, L.; Fuchs, S.; Halbedel, S. PadR-type repressors controlling production of a non-canonical FtsW/RodA homologue and other trans-membrane proteins. Sci. Rep. 2019, 9, 10023. [Google Scholar] [CrossRef]
- Fibriansah, G.; Kovacs, A.T.; Pool, T.J.; Boonstra, M.; Kuipers, O.P.; Thunnissen, A.M. Crystal structures of two transcriptional regulators from Bacillus cereus define the conserved structural features of a PadR subfamily. PLoS ONE 2012, 7, e48015. [Google Scholar] [CrossRef]
- Katoh, K.; Misawa, K.; Kuma, K.; Miyata, T. MAFFT: A novel method for rapid multiple sequence alignment based on fast Fourier transform. Nucleic Acids Res. 2002, 30, 3059–3066. [Google Scholar] [CrossRef]
- Crooks, G.E.; Hon, G.; Chandonia, J.M.; Brenner, S.E. WebLogo: A sequence logo generator. Genome Res. 2004, 14, 1188–1190. [Google Scholar] [CrossRef]
- Huang, K.C.; Mukhopadhyay, R.; Wen, B.; Gitai, Z.; Wingreen, N.S. Cell shape and cell-wall organization in Gram-negative bacteria. Proc. Natl. Acad. Sci. USA 2008, 105, 19282–19287. [Google Scholar] [CrossRef]
- Aly, S.A.; Boothe, D.M.; Suh, S.J. A novel alanine to serine substitution mutation in SoxS induces overexpression of efflux pumps and contributes to multidrug resistance in clinical Escherichia coli isolates. J. Antimicrob. Chemother. 2015, 70, 2228–2233. [Google Scholar] [CrossRef]
- Bratu, S.; Landman, D.; George, A.; Salvani, J.; Quale, J. Correlation of the expression of acrB and the regulatory genes marA, soxS and ramA with antimicrobial resistance in clinical isolates of Klebsiella pneumoniae endemic to New York City. J. Antimicrob. Chemother. 2009, 64, 278–283. [Google Scholar] [CrossRef]
- McMurry, L.M.; Oethinger, M.; Levy, S.B. Overexpression of marA, soxS, or acrAB produces resistance to triclosan in laboratory and clinical strains of Escherichia coli. FEMS Microbiol. Lett. 1998, 166, 305–309. [Google Scholar] [CrossRef]
- Perez, A.; Poza, M.; Aranda, J.; Latasa, C.; Medrano, F.J.; Tomas, M.; Romero, A.; Lasa, I.; Bou, G. Effect of transcriptional activators SoxS, RobA, and RamA on expression of multidrug efflux pump AcrAB-TolC in Enterobacter cloacae. Antimicrob. Agents Chemother. 2012, 56, 6256–6266. [Google Scholar] [CrossRef]
- Liu, X.; Li, J.W.; Feng, Z.; Luo, Y.; Veening, J.W.; Zhang, J.R. Transcriptional Repressor PtvR Regulates Phenotypic Tolerance to Vancomycin in Streptococcus pneumoniae. J. Bacteriol. 2017, 199, e00054-17. [Google Scholar] [CrossRef]
- Cohen, S.P.; Hachler, H.; Levy, S.B. Genetic and functional analysis of the multiple antibiotic resistance (mar) locus in Escherichia coli. J. Bacteriol. 1993, 175, 1484–1492. [Google Scholar] [CrossRef]
- Hachler, H.; Cohen, S.P.; Levy, S.B. marA, a regulated locus which controls expression of chromosomal multiple antibiotic resistance in Escherichia coli. J. Bacteriol. 1991, 173, 5532–5538. [Google Scholar] [CrossRef]
- Sharma, P.; Haycocks, J.R.J.; Middlemiss, A.D.; Kettles, R.A.; Sellars, L.E.; Ricci, V.; Piddock, L.J.V.; Grainger, D.C. The multiple antibiotic resistance operon of enteric bacteria controls DNA repair and outer membrane integrity. Nat. Commun. 2017, 8, 1444. [Google Scholar] [CrossRef]
- Young, K.D. Approaching the physiological functions of penicillin-binding proteins in Escherichia coli. Biochimie 2001, 83, 99–102. [Google Scholar] [CrossRef]
- Flores-Kim, J.; Darwin, A.J. The Phage Shock Protein Response. Annu. Rev. Microbiol. 2016, 70, 83–101. [Google Scholar] [CrossRef]
- Kampfer, P.; Matthews, H.; Glaeser, S.P.; Martin, K.; Lodders, N.; Faye, I. Elizabethkingia anophelis sp. nov., isolated from the midgut of the mosquito Anopheles gambiae. Int. J. Syst. Evol. Microbiol. 2011, 61, 2670–2675. [Google Scholar] [CrossRef]
- Clinical and Laboratory Standards Institute (CLSI). Methods for Dilution Antimicrobial Susceptibility Tests for Bacteria that Grow Aerobically, Approved Standard, 11th ed.; M07-A11; CLSI: Wayne, PA, USA, 2018. [Google Scholar]
- Johnson, W.L.; Ramachandran, A.; Torres, N.J.; Nicholson, A.C.; Whitney, A.M.; Bell, M.; Villarma, A.; Humrighouse, B.W.; Sheth, M.; Dowd, S.E.; et al. The draft genomes of Elizabethkingia anophelis of equine origin are genetically similar to three isolates from human clinical specimens. PLoS ONE 2018, 13, e0200731. [Google Scholar] [CrossRef]
- O’Leary, J.O.; Langevin, M.J.; Price, C.T.; Blevins, J.S.; Smeltzer, M.S.; Gustafson, J.E. Effects of sarA inactivation on the intrinsic multidrug resistance mechanism of Staphylococcus aureus. FEMS Microbiol. Lett. 2004, 237, 297–302. [Google Scholar] [CrossRef]
- Tukey, J.W. Comparing individual means in the analysis of variance. Biometrics 1949, 5, 99–114. [Google Scholar] [CrossRef]
- JGI Bacterial DNA Isolation CTAB Protocol. Available online: https://jgi.doe.gov/user-programs/pmo-overview/protocols-sample-preparation-information/jgi-bacterial-dna-isolation-ctab-protocol-2012/ (accessed on 26 September 2023).
- Aziz, R.K.; Bartels, D.; Best, A.A.; DeJongh, M.; Disz, T.; Edwards, R.A.; Formsma, K.; Gerdes, S.; Glass, E.M.; Kubal, M.; et al. The RAST Server: Rapid annotations using subsystems technology. BMC Genom. 2008, 9, 75. [Google Scholar] [CrossRef]
- Solayev, V.; Salamov, A. Automatic Annotation of Microbial Genomes and Metagenomic Sequences. In Metagenomics and Its Applications in Agriculture, Biomedicine and Environmental Studies; Li, R.W., Ed.; Nova Science Publishers: Hauppauge, NY, USA, 2011; pp. 61–78. [Google Scholar]
- Altschul, S.F.; Madden, T.L.; Schaffer, A.A.; Zhang, J.; Zhang, Z.; Miller, W.; Lipman, D.J. Gapped BLAST and PSI-BLAST: A new generation of protein database search programs. Nucleic Acids Res. 1997, 25, 3389–3402. [Google Scholar] [CrossRef]
- Livak, K.J.; Schmittgen, T.D. Analysis of relative gene expression data using real-time quantitative PCR and the 2(-Delta Delta C(T)) Method. Methods 2001, 25, 402–408. [Google Scholar] [CrossRef]
- Katoh, K.; Standley, D.M. MAFFT multiple sequence alignment software version 7: Improvements in performance and usability. Mol. Biol. Evol. 2013, 30, 772–780. [Google Scholar] [CrossRef]





| Strain Gene | R26 | R26VS1 | R26VS3 |
|---|---|---|---|
| vsr1 | 1.95 ± 0.18 | 172.4 ± 0.17 | 199.46 ± 0.05 |
| ORF551 | 0.97 ± 0.12 | 70.03 ± 0.25 | 61.81 ± 0.19 |
| Target Gene | Primer Name | Sequence |
|---|---|---|
| vsr1 | Ea-vsr1-F | 5′-GAATACCAAAGCGCAAATG-3′ |
| Ea-vsr1-R | 5′-ACTTGTAGACTCTTCCCAA-3′ | |
| orf551 | Ea-orf551-F | 5′-CGTCGTTCTATGGAGCCTGA-3′ |
| Ea-orf551-R | 5′-CGGTGTACCGATAAGGGCAA-3′ | |
| rpoB | Ea-rpoB-F | 5′-TGTACTGACCCGGAACATGA-3′ |
| Ea-rpoB-R | 5′-CGGTGAACGGTGTAACTGAG-3′ |
Disclaimer/Publisher’s Note: The statements, opinions and data contained in all publications are solely those of the individual author(s) and contributor(s) and not of MDPI and/or the editor(s). MDPI and/or the editor(s) disclaim responsibility for any injury to people or property resulting from any ideas, methods, instructions or products referred to in the content. |
© 2024 by the authors. Licensee MDPI, Basel, Switzerland. This article is an open access article distributed under the terms and conditions of the Creative Commons Attribution (CC BY) license (https://creativecommons.org/licenses/by/4.0/).
Share and Cite
Johnson, W.L.; Gupta, S.K.; Maharjan, S.; Morgenstein, R.M.; Nicholson, A.C.; McQuiston, J.R.; Gustafson, J.E. A Genetic Locus in Elizabethkingia anophelis Associated with Elevated Vancomycin Resistance and Multiple Antibiotic Reduced Susceptibility. Antibiotics 2024, 13, 61. https://doi.org/10.3390/antibiotics13010061
Johnson WL, Gupta SK, Maharjan S, Morgenstein RM, Nicholson AC, McQuiston JR, Gustafson JE. A Genetic Locus in Elizabethkingia anophelis Associated with Elevated Vancomycin Resistance and Multiple Antibiotic Reduced Susceptibility. Antibiotics. 2024; 13(1):61. https://doi.org/10.3390/antibiotics13010061
Chicago/Turabian StyleJohnson, William L., Sushim Kumar Gupta, Suman Maharjan, Randy M. Morgenstein, Ainsley C. Nicholson, John R. McQuiston, and John E. Gustafson. 2024. "A Genetic Locus in Elizabethkingia anophelis Associated with Elevated Vancomycin Resistance and Multiple Antibiotic Reduced Susceptibility" Antibiotics 13, no. 1: 61. https://doi.org/10.3390/antibiotics13010061
APA StyleJohnson, W. L., Gupta, S. K., Maharjan, S., Morgenstein, R. M., Nicholson, A. C., McQuiston, J. R., & Gustafson, J. E. (2024). A Genetic Locus in Elizabethkingia anophelis Associated with Elevated Vancomycin Resistance and Multiple Antibiotic Reduced Susceptibility. Antibiotics, 13(1), 61. https://doi.org/10.3390/antibiotics13010061

