Antiparasitic Activities of Acyl Hydrazones from Cinnamaldehydes and Structurally Related Fragrances
Abstract
1. Introduction
2. Results
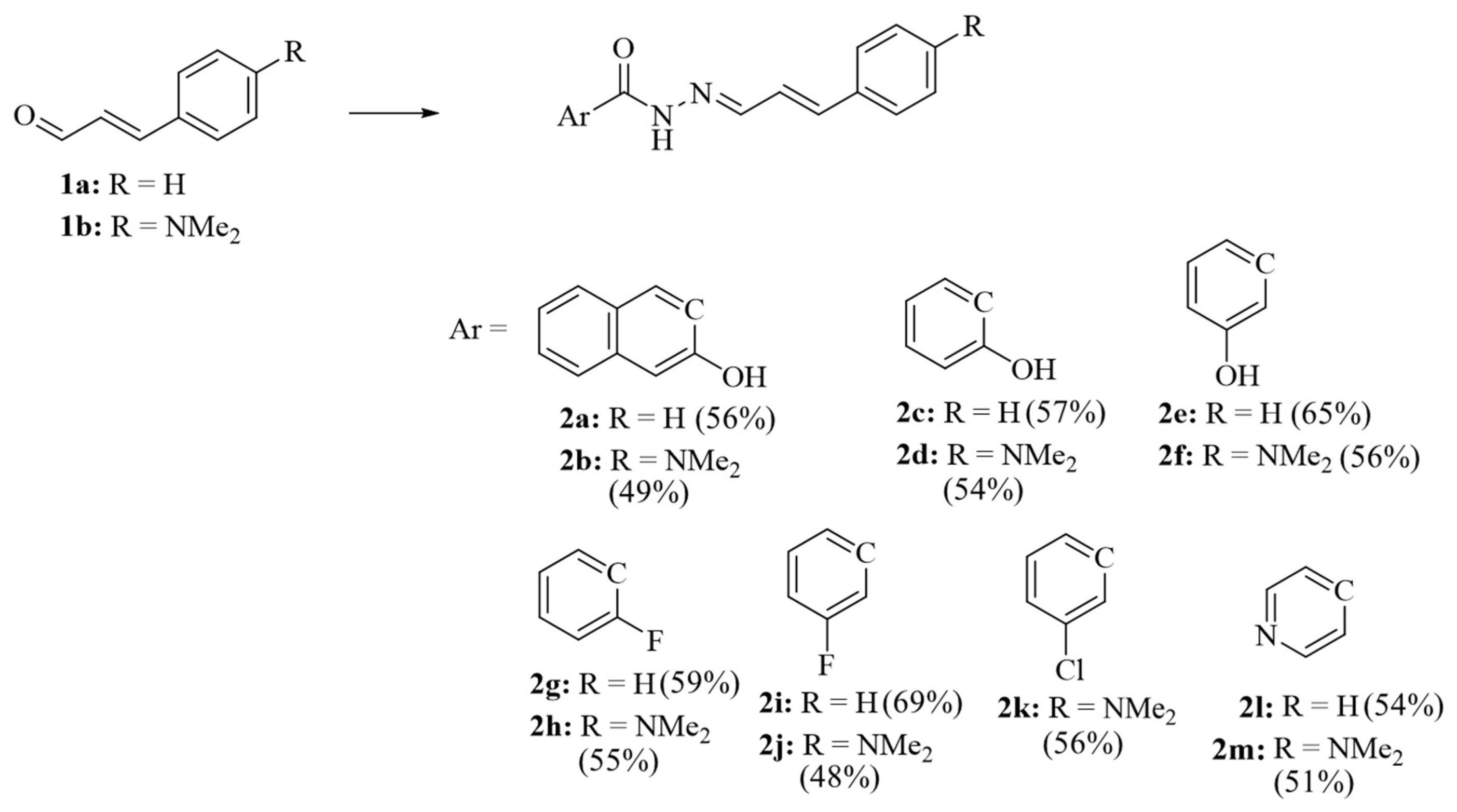
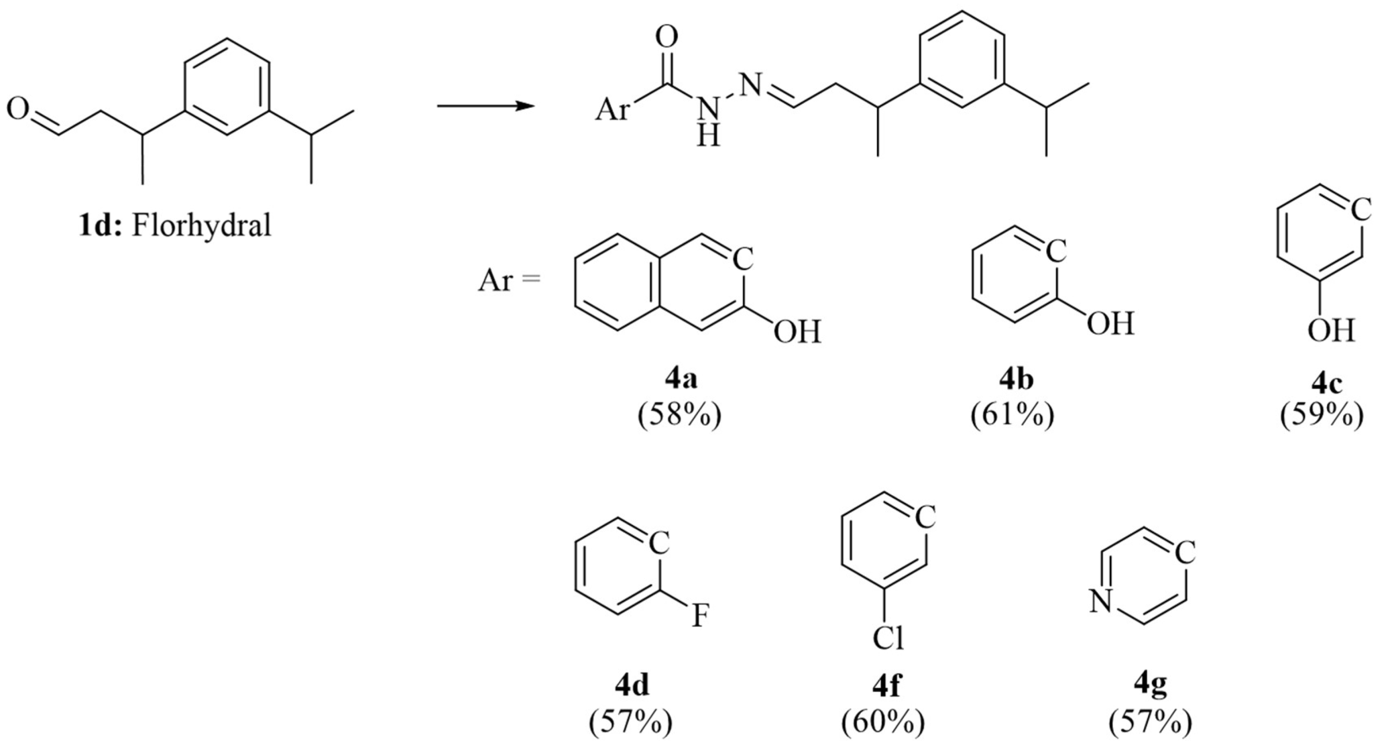
2.1. Chemistry
2.2. Antiparasitic Activity
3. Discussion
4. Materials and Methods
4.1. Chemistry
4.1.1. (E)-N′-(4-Dimethylaminocinnamylidene)-2-hydroxybenzoylhydrazide (2d)—Typical Procedure for the Synthesis of Compound 2
4.1.2. (E)-N′-(Cinnamylidene)-3-hydroxybenzoylhydrazide (2e)
4.1.3. (E)-N′-(4-Dimethylaminocinnamylidene)-3-hydroxybenzoylhydrazide (2f)
4.1.4. (E)-N′-(4-Dimethylaminocinnamylidene)-2-fluorobenzoylhydrazide (2h)
4.1.5. (E)-N′-(Cinnamylidene)-3-fluorobenzoylhydrazide (2i)
4.1.6. (E)-N′-(4-Dimethylaminocinnamylidene)-3-fluorobenzoylhydrazide (2j)
4.1.7. (E)-N′-(4-Dimethylaminocinnamylidene)-3-chlorobenzoylhydrazide (2k)
4.1.8. N′-2-Methyl-3-[4-(2-methylpropyl)phenyl]propanylidene-3-hydroxy-2-naphthoic hydrazide (3a)—Typical Procedure for the Synthesis of Compound 3
4.1.9. N′-2-Methyl-3-[4-(2-methylpropyl)phenyl]propanylidene-2-hydroxybenzoylhydrazide (3b)
4.1.10. N′-2-Methyl-3-[4-(2-methylpropyl)phenyl]propanylidene-3-hydroxybenzoylhydrazide (3c)
4.1.11. N′-2-Methyl-3-[4-(2-methylpropyl)phenyl]propanylidene-2-fluorobenzoylhydrazide (3d)
4.1.12. N′-2-Methyl-3-[4-(2-methylpropyl)phenyl]propanylidene-3-fluorobenzoylhydrazide (3e)
4.1.13. N′-2-Methyl-3-[4-(2-methylpropyl)phenyl]propanylidene-3-chlorobenzoylhydrazide (3f)
4.1.14. N′-2-Methyl-3-[4-(2-methylpropyl)phenyl]propanylidene-isonicotinoylhydrazide (3g)
4.1.15. N′-3-(3-Isopropylphenyl)butanylidene-3-hydroxy-2-naphthoic hydrazide (4a)—Typical Procedure for the Synthesis of Compound 4
4.1.16. N′-3-(3-Isopropylphenyl)butanylidene-2-hydroxybenzoylhydrazide (4b)
4.1.17. N′-3-(3-Isopropylphenyl)butanylidene-3-hydroxybenzoylhydrazide (4c)
4.1.18. N′-3-(3-Isopropylphenyl)butanylidene-2-fluorobenzoylhydrazide (4d)
4.1.19. N′-3-(3-Isopropylphenyl)butanylidene-3-chlorobenzoylhydrazide (4f)
4.1.20. N′-3-(3-Isopropylphenyl)butanylidene-isonicotinoylhydrazide (4g)
4.2. Toxoplasma gondii Cells Drug Testing Assay
4.3. Leishmania major Drug Testing Assays
4.4. Vero Cell and Macrophage Cytotoxicity
5. Conclusions
Supplementary Materials
Author Contributions
Funding
Institutional Review Board Statement
Informed Consent Statement
Data Availability Statement
Acknowledgments
Conflicts of Interest
References
- Wesołowski, R.; Pawłowska, M.; Smoguła, M.; Szewczyk-Golec, K. Advances and challenges in diagnostics of toxoplasmosis in HIV-infected patients. Pathogens 2023, 12, 110. [Google Scholar] [CrossRef] [PubMed]
- Wesołowski, R.; Pawłowska, M.; Mila-Kierzenkowska, C. The medical relevance of Toxoplasma infections in terms of the safety of blood recipients under immunosuppression—A meta-analysis. Microorganisms 2023, 11, 1980. [Google Scholar] [CrossRef] [PubMed]
- Araujo Coelho, D.R.; Oliveira da Luz, R.; Soares Melegario, C.; Vieira, W.F.; Bahia-Oliveira, L.M.G. Knowledge gaps and educational opportunities in congenital toxoplasmosis: A narrative review of Brazilian and global perspectives. Trop. Med. Infect. Dis. 2024, 9, 137. [Google Scholar] [CrossRef] [PubMed]
- Dunay, I.R.; Gajurel, K.; Dhakal, R.; Liesenfeld, O.; Montoya, J.G. Treatment of toxoplasmosis: Historical perspective, animal models, and current clinical practice. Clin. Microbiol. Rev. 2018, 31, e00057-17. [Google Scholar] [CrossRef]
- Crespo, M.; Quereda, C.; Pascual, J.; Rivera, M.; Clemente, L.; Cano, T. Patterns of sulfadiazine acute nephrotoxicity. Clin. Nephrol. 2000, 54, 68–72. [Google Scholar]
- Montazeri, M.; Mehrzadi, S.; Sharif, M.; Sarvi, S.; Tanzifi, A.; Aghayan, S.A.; Daryani, A. Drug resistance in Toxoplasma gondii. Front. Microbiol. 2018, 9, 2587. [Google Scholar] [CrossRef]
- WHO-Factsheets. Available online: http://www.who.int/mediacentre/factsheets/fs375/en/ (accessed on 9 August 2024).
- Al-Salem, W.S.; Solórzano, C.; Weedall, G.D.; Dyer, N.A.; Kelly-Hope, L.; Casas-Sánchez, A.; Alraey, Y.; Alyamani, E.J.; Halliday, A.; Balghonaim, S.M.; et al. Old World cutaneous leishmaniasis treatment response varies depending on parasite species, geographical location and development of secondary infection. Parasit. Vectors 2019, 12, 195. [Google Scholar] [CrossRef]
- Alves, F.; Bilbe, G.; Blesson, S.; Goyal, V.; Monnerat, S.; Mowbray, C.; Ouattara, G.M.; Pécoul, B.; Rijal, S.; Rode, J.; et al. Recent development of visceral leishmaniasis treatments: Successes, pitfalls, and perspectives. Clin. Microbiol. Rev. 2018, 31, e00048-18. [Google Scholar] [CrossRef]
- Da Silva, A.S.R.; Fernandes, C.C.; dos Santos, D.A.; Mazza, M.C.M.; Silva, J.B.A.; Magalhães, L.G.; Pires, R.H.; Miranda, M.L.D.; Crotti, A.E.M. Antileishmanial and antifungal activities of volatile oils from Cinnamomum cassia bark and Schinus molle leaves. Chem. Biodivers. 2024, 20, e202401076. [Google Scholar] [CrossRef]
- Wang, J.; Su, B.; Jiang, H.; Cui, N.; Yu, Z.; Yang, Y.; Sun, Y. Traditional uses, phytochemistry and pharmacological activities of the genus Cinnamomum (Lauraceae): A review. Fitoterapia 2020, 146, 104675. [Google Scholar] [CrossRef]
- Spence, C. Cinnamon: The historic spice, medicinal uses, and flavor chemistry. Int. J. Gastron. Food Sci. 2024, 35, 100858. [Google Scholar] [CrossRef]
- Knauth, P.; López López, Z.; Avecedo Hernández, G.J.; Espino Sevilla, M.T. Cinnamon essential oil: Chemical composition and biological activities. In Essential Oils Production, Applications and Health Benefits; Martínez, A.C., García, V.M.R., Eds.; Nova Science Publishers: New York, NY, USA, 2018; pp. 215–243. [Google Scholar]
- Bang, H.B.; Lee, Y.H.; Kim, S.C.; Sung, C.K.; Jeong, K.J. Metabolic engineering of Eschericha coli for the production of cinnamaldehyde. Microb. Cell Fact. 2016, 15, 16. [Google Scholar] [CrossRef] [PubMed]
- Dumas, J.; Péligot, E. Recherches de chimie organique–Sur l’huille de cannelle, l’acide hippurique et l’acide sébacique. Ann. Chim. Phys. 1834, 57, 305–334. [Google Scholar]
- Chiozza, L. Sur la production artificielle de l’essence de cannelle. Comptes. Rendus. 1856, 42, 222–227. [Google Scholar]
- Shreaz, S.; Wani, W.A.; Behbehani, J.M.; Raja, V.; Irshad, M.; Karched, M.; Ali, I.; Siddiqi, W.A.; Hum, L.T. Cinnamaldehyde and its derivatives, a novel class of antifungal agents. Fitoterapia 2016, 112, 116–131. [Google Scholar] [CrossRef] [PubMed]
- Konings, M.; Eadie, K.; Lim, W.; Fahal, A.H.; Mouton, J.; Tesse, N.; van de Sande, W.W.J. The synthetic synergistic cinnamon oil CIN-102 is active against Madurella mycetomatis, the most common causative agent of mycetoma. PLoS Negl. Trop. Dis. 2021, 15, e0009488. [Google Scholar] [CrossRef]
- Khan, M.S.A.; Ahmad, I. Antibiofilm activity of certain phytocompounds and their synergy with fluconazole against Candida albicans biofilms. J. Antimicrob. Chemother. 2012, 67, 618–621. [Google Scholar] [CrossRef]
- Brustolin, A.Á.; Ramos-Milaré, A.C.F.H.; de Mello, T.F.P.; Aristides, S.M.A.; Lonardoni, M.V.C.; Silveira, T.G.V. In vitro activity of cinnamaldehyde on Leishmania (Leishmania) amazonensis. Exp. Parasitol. 2022, 236–237, 108244. [Google Scholar] [CrossRef]
- Afrin, F.; Chouhan, G.; Islamuddin, M.; Want, M.Y.; Ozbak, H.A.; Hemeg, H.A. Cinnamomum cassia exhibits antileishmanial activity against Leishmania donovani infection in vitro and in vivo. PLoS Negl. Trop. Dis. 2019, 13, e0007227. [Google Scholar] [CrossRef] [PubMed]
- Williams, A.R.; Ramsay, A.; Hansen, T.V.A.; Ropiak, H.M.; Mejer, H.; Nejsum, P.; Mueller-Harvey, I.; Thamsborg, S.M. Anthelmintic activity of trans-cinnamaldehyde and A- and B-type proanthocyanidins derived from cinnamon (Cinnamomum verum). Sci. Rep. 2015, 5, 14791. [Google Scholar] [CrossRef]
- Subash-Babu, P.; Alshatwi, A.A.; Ignacimuthu, S. Beneficial antioxidative and antiperoxidative effect of cinnamaldehyde protect streptozotocin-induced pancreatic β-cells damage in Wistar rats. Biomol. Ther. 2014, 22, 47–54. [Google Scholar] [CrossRef] [PubMed]
- Zakir Hossain, S.M.; Kareem, S.A.; Alshater, A.F.; Ezuber, H.; Razzak, S.A.; Hossain, M.M. Effects of cinnamaldehyde as an eco-friendly corrosion inhibitor on mild steel in aerated NaCl solutions. Arab. J. Sci. Eng. 2020, 45, 229–239. [Google Scholar] [CrossRef]
- Porubsky, P.R.; Scott, E.E.; Williams, T.D. p-Dimethylaminocinnamaldehyde derivatization for colorimetric detection and HPLC-UV/vis-MS/MS identification of indoles. Arch. Biochem. Biophys. 2008, 475, 14–17. [Google Scholar] [CrossRef] [PubMed]
- Chowdhury, J.; Ferdous, J.; Lihavainen, J.; Albrectsen, B.R.; Lundberg-Felten, J. Fluorogenic properties of 4-dimethylaminocinnamaldehyde (DMACA) enable high resolution imaging of cell-wall-bound proanthocyanidins in plant root tissues. Front. Plant Sci. 2023, 13, 1060804. [Google Scholar] [CrossRef]
- Delcour, J.A.; de Varebeke, D.J. A new colourimetric assay for flavonoids in Pilsner beers. J. Inst. Brew. 1985, 91, 37–40. [Google Scholar] [CrossRef]
- Singh, R.; Das, G. “Turn-on” Pb2+ sensing and rapid detection of biothiols in aqueous medium and real samples. Analyst 2019, 144, 567–572. [Google Scholar] [CrossRef]
- Bekhit, A.A.; Hymete, A.; Damtew, A.; Mohamed, A.M.I.; Bekhit, A.E.A. Synthesis and biological screening of some pyridine derivatives as anti-malarial agents. J. Enzym. Inhib. Med. Chem. 2012, 27, 69–77. [Google Scholar] [CrossRef]
- Hemalatha, P.V.; Sudha, T.; Ravikumar, V.R.; Ganesan, V. Synthesis, characterization and antimicrobial screening of some salicyl hydrazide Schiff bases. World J. Pharm. Pharmaceut. Sci. 2018, 7, 1363–1371. [Google Scholar]
- Jyothi, V.; Babu, N.; Reddy, P.K.; Ashwini. Synthesis, characterization and evaluation of anti-tubercular, anti-inflammatory and antimicrobial activities of newer hydrazones. Inventi Rapid: Med. Chem. 2014, 2014, 1–6. [Google Scholar]
- Isaac-Renton, M.; Li, M.K.; Parsons, L.M. Cinnamon spice and everything not nice: Many features of intraoral allergy to cinnammic aldehyde. Dermatitis 2015, 26, 116–121. [Google Scholar] [CrossRef]
- Hareng, L.; Schuster, P.; Haake, V.; Walk, T.; Herold, M.; Laue, H.; Natsch, A. Towards the mechanism of spermatotoxicity of p-tert-butyl-alpha-methylhydrocinnamic aldehyde: Inhibition of late stage ex-vivo spermatogenesis in rat seminiferous tubule cultures by para-tert-butyl-benzoic acid. Arch. Toxicol. 2023, 97, 279–294. [Google Scholar] [CrossRef] [PubMed]
- Beghetto, V.; Scrivanti, A.; Bertoldini, M.; Aversa, M.; Zancanaro, A.; Matteoli, U. A practical, enantioselective synthesis of the fragrances canthoxal and silvial®, and evaluation of their olfactory activity. Synthesis 2015, 47, 272–288. [Google Scholar] [CrossRef]
- Sofroniou, C.; Baglioni, M.; Mamusa, M.; Resta, C.; Doutch, J.; Smets, J.; Baglioni, P. Self-assembly of Soluplus in aqueous solutions: Characterization and prospectives on perfume encapsulation. ACS Appl. Mater. Interfaces 2022, 14, 14791–14804. [Google Scholar] [CrossRef] [PubMed]
- Abate, A.; Brenna, E.; dei Negri, C.; Fuganti, C.; Serra, S. Biocatalysed synthesis of the enantiomers of the floral odorant florhydral®. Tetrahedron Asymmetry 2002, 13, 899–904. [Google Scholar] [CrossRef]
- Bovo, S.; Scrivanti, A.; Bertoldini, M.; Beghetto, V.; Matteoli, U. A new enantioselective catalytic route to florhydral®. Synthesis 2008, 16, 2547–2550. [Google Scholar]
- Imperatore, C.; Persico, M.; Senese, M.; Aiello, A.; Casertano, M.; Luciano, P.; Basilico, N.; Paparini, S.; Paladino, A.; Fattorusso, C.; et al. Exploring the antimalarial potential of the methoxy-thiazinoquinone scaffold: Identification of a new lead candidate. Bioorg. Chem. 2019, 85, 240–252. [Google Scholar] [CrossRef]
- Al Nasr, I.S.; Koko, W.S.; Khan, T.A.; Schobert, R.; Biersack, B. Old dogs with new tricks: Antiparasitic potential of structurally diverse 5-nitrofuran and 5-nitrothiophene imines and acyl hydrazones. Sci. Pharm. 2023, 91, 44. [Google Scholar] [CrossRef]
- Chen, R.; Das, K.; Cardona, M.A.; Gabrielli, L.; Prins, L.J. Progressive local accumulation of self-assembled nanoreactors in a hydrogel matrix through repetitive injections of ATP. J. Am. Chem. Soc. 2022, 144, 2010–2018. [Google Scholar] [CrossRef]
- Hofmann, M.; Kordes, M.; Lang, U.; Baumann, E.; von Deyn, W.; Puhl, M.; Schmidt, T.; Steiner, G.; Treacy, M.F.; Culbertson, D.L.; et al. Hydrazone Derivatives for Combatting Harmful Insects and Arachnids. WO 2004/105488, 9 December 2004. [Google Scholar]
- Ongun, M.Z.; Ertekin, K.; Gocmenturk, M.; Ergun, Y.; Suslu, A. Copper ion sensing with fluorescent electrospun nanofibers. Spectrochim. Acta A Mol. Biomol. Spectr. 2012, 90, 177–185. [Google Scholar] [CrossRef]
- Shahamirifad, S.A.; Ghaedi, M. Design and construction of a new optical solid-state mercury(II) sensor based on PVC membrane sensitized with colloidal carbon dots. New J. Chem. 2017, 41, 11533–11545. [Google Scholar] [CrossRef]
- Al Nasr, I.S.; Hanachi, R.; Said, R.B.; Rahali, S.; Tangour, B.; Abdelwahab, S.I.; Farasani, A.; Taha, M.M.E.; Bidwai, A.; Koko, W.S.; et al. p-Trifluoromethyl- and p-pentafluorothio-substituted curcuminoids of the 2,6-di[(E)-benzylidene)]cycloalkanone type: Syntheses and activities against Leishmania major and Toxoplasma gondii parasites. Bioorg. Chem. 2021, 114, 105099. [Google Scholar] [CrossRef] [PubMed]
- González-Minero, F.J.; Bravo-Díaz, L.; Moreno-Toral, E. Pharmacy and fragrances: Traditional and current use of plants and their extracts. Cosmetics 2023, 10, 157. [Google Scholar] [CrossRef]
- Masuo, Y.; Satou, T.; Takemoto, H.; Koike, K. Smell and stress response in the brain: Review of the connection between chemistry and neuropharmacology. Molecules 2021, 26, 2571. [Google Scholar] [CrossRef]
- Sowndharajan, K.; Kim, S. Influence of fragrances on human psychophysiological activity: With special reference to human electroencephalographic response. Sci. Pharm. 2016, 84, 724–751. [Google Scholar] [CrossRef] [PubMed]
- De Souza, G.E.; Bueno, R.V.; de Souza, J.O.; Zanini, C.L.; Cruz, F.C.; Oliva, G.; Carvalho Guido, R.V.; Campos Aguilar, A.C. Antiplasmodial profile of selected compounds from Malaria Box: In vitro evaluation, speed of action and drug combination studies. Malar. J. 2019, 18, 447. [Google Scholar] [CrossRef]
- Canfield, C.J.; Pudney, M.; Gutteridge, W.E. Interactions of atovaquone with other antimalarial drugs against Plasmodium falciparum in vitro. Exp. Parasitol. 1995, 80, 373–381. [Google Scholar] [CrossRef] [PubMed]
- Gajurel, K.; Gomez, C.A.; Dhakal, R.; Vogel, H.; Montoya, J.G. Failure of primary atovaquone prophylaxis for prevention of toxoplasmosis in hematopoietic cell transplant recipients. Transpl. Infect. Dis. 2016, 18, 446–452. [Google Scholar] [CrossRef] [PubMed]
- Asthana, A.; Corona, A.; Shin, W.-J.; Kwak, M.-J.; Gaughan, C.; Tramontano, E.; Jung, J.U.; Schobert, R.; Jha, B.K.; Silverman, R.H.; et al. Analogs of the catechol derivative dynasore inhibit HIV-1 ribonuclease H, SARS-CoV-2 nsp14 exoribonuclease, and virus replication. Viruses 2023, 15, 1539. [Google Scholar] [CrossRef]
- Preta, G.; Cronin, J.G.; Sheldon, I.M. Dynasore–not just a dynamin inhibitor. Cell Commun. Signal. 2015, 13, 24. [Google Scholar] [CrossRef]
- Verhoef, J.M.J.; Meissner, M.; Kooji, T.W.A. Organelle dynamics in apicomplexan parasites. mBio 2021, 12, e01409-21. [Google Scholar] [CrossRef]
- Webster, W.A.J.; McFadden, G.I. Organelle division: Dynamin-related proteins in apicomplexans. Curr. Biol. 2009, 19, R336. [Google Scholar] [CrossRef] [PubMed][Green Version]
- Caldas, L.A.; Soares, L.L.; Seabra, S.H.; Attias, M.; de Souza, W. Monitoring of dynamin during the Toxoplasma gondii cell cycle. Pathog. Dis. 2016, 74, ftw108. [Google Scholar] [CrossRef] [PubMed][Green Version]
- Wang, X.; Luo, T.; Yang, Y.; Yang, L.; Liu, M.; Zou, Q.; Wang, D.; Yang, C.; Xue, Q.; Liu, S.; et al. TRPA1 protects against contrast-induced renal tubular injury by preserving mitochondrial dynamics via the AMPK/DRP1 pathway. Free Radic. Biol. Med. 2024, 224, 521–539. [Google Scholar] [CrossRef] [PubMed]
- Maheshwari, R.; Chawla, P.; Saraf, S.A. Comparison between antioxidant activity of 2,5-disubstituted 1,3,4-oxadiazoles containing heteroaromatic ring and aromatic ring at 2nd position. Med. Chem. Res. 2011, 20, 1650–1655. [Google Scholar] [CrossRef]
- Jelali, H.; Al Nasr, I.; Koko, W.; Khan, T.; Deniau, E.; Sauthier, M.; Alresheedi, F.; Hamdi, N. Synthesis, characterization and in vitro bioactivity studies of isoindolin-1-3-phosophonate compounds. J. Heterocycl. Chem. 2022, 59, 493–506. [Google Scholar] [CrossRef]
- Osorio, E.; Arango, G.; Jiménez, N.; Alzate, F.; Ruiz, G.; Gutiérrez, D.; Paco, M.A.; Giménez, A.; Robledo, S. Antiprotozoal and cytotoxic activities in vitro of Colombian Annonaceae. J. Ethnopharmacol. 2007, 111, 630–635. [Google Scholar] [CrossRef]
- Koko, W.S.; Mesaik, M.A.; Yousaf, S.; Galal, M.; Choudhary, M.I. In vitro immunomodulating properties of selected Sudanese medicinal plants. J. Ethnopharmacol. 2008, 118, 26–34. [Google Scholar] [CrossRef]




| Compound | T. gondii (µM) | Vero (µM) | SI 1 | 
|---|---|---|---|
| Cinnamaldehyde | >151.3 | >151.3 | - | 
| CPH | 12.9 ± 2.1 | 23.6 ± 3.9 | 1.8 | 
| SilvialTM | 90.1 ± 15.2 | >97.9 | - | 
| FlorhydralTM | >105.1 | 99.1 ± 18.4 | - | 
| 2a | 0.63 ± 0.08 | 7.3 ± 0.9 | 11.5 | 
| 2b | 23.4 ± 3.9 | 24.2 ± 2.7 | 1.0 | 
| 2c | 1.1 ± 0.2 | 19.5 ± 2.6 | 17.3 | 
| 2d | 3.9 ± 0.5 | 22.0 ± 3.0 | 5.7 | 
| 2e | >49.6 | 46.2 ± 6.4 | - | 
| 2f | >42.7 | 40.1 ± 6.8 | - | 
| 2g | 69.4 ± 10.0 | >74.6 | - | 
| 2h | 55.2 ± 9.7 | 54.1 ± 9.1 | 0.98 | 
| 2i | 39.1 ± 6.4 | 44.0 ± 6.7 | 1.1 | 
| 2j | >42.4 | >42.4 | - | 
| 2k | >40.3 | >40.3 | - | 
| 2l | 52.1 ± 8.3 | 51.3 ± 7.8 | 0.99 | 
| 2m | 31.6 ± 6.2 | 41.5 ± 7.2 | 1.3 | 
| 3a | 46.9 ± 8.4 | 41.3 ± 6.9 | 0.88 | 
| 3b | 13.7 ± 2.2 | 24.6 ± 3.3 | 1.8 | 
| 3c | 55.3 ± 9.4 | >59.1 | - | 
| 3d | 46.3 ± 5.5 | 56.1 ± 10.4 | 1.2 | 
| 3e | 45.3 ± 6.9 | 53.5 ± 8.5 | 1.2 | 
| 3f | 22.0 ± 3.3 | 50.2 ± 7.7 | 2.3 | 
| 3g | 60.6 ± 10.1 | >61.8 | - | 
| 4a | 14.4 ± 2.1 | 39.6 ± 4.8 | 2.8 | 
| 4b | 21.0 ± 3.5 | 19.2 ± 2.2 | 0.92 | 
| 4c | >61.7 | 29.1 ± 2.6 | - | 
| 4d | >61.3 | >61.3 | - | 
| 4f | 47.5 ± 7.3 | 57.9 ± 11.0 | 1.2 | 
| 4g | >64.6 | >64.6 | - | 
| ATO 2 | 0.07 ± 0.01 | 9.5 ± 0.8 | 135 | 
| Compound | Promastigotes (µM) | Amastigotes (µM) | Macrophages (µM) | SI (Promastigotes) 1 | 
|---|---|---|---|---|
| Cinnamaldehyde | >151.3 | >151.3 | >151.3 | - | 
| CPH | 83.7 ± 13.6 | - | 78.4 ± 12.2 | 0.94 | 
| SilvialTM | >97.9 | >97.9 | >97.9 | - | 
| FlorhydralTM | >105.1 | >105.1 | >105.1 | - | 
| 2a | 16.8 ± 2.8 | >41.7 | >41.7 | >2.5 | 
| 2b | >36.7 | >36.7 | >36.7 | - | 
| 2c | 47.7 ± 6.5 | >49.6 | 43.6 ± 8.6 | 0.91 | 
| 2d | >42.7 | >42.7 | >42.7 | - | 
| 2e | >49.6 | >49.6 | >49.6 | - | 
| 2f | >42.7 | >42.7 | >42.7 | - | 
| 2g | >74.6 | >74.6 | >74.6 | - | 
| 2h | >64.2 | >64.2 | >64.2 | - | 
| 2i | >49.2 | >49.2 | >49.2 | - | 
| 2j | >42.4 | >42.4 | >42.4 | - | 
| 2k | >40.3 | >40.3 | >40.3 | - | 
| 2l | 51.3 ± 9.3 | >52.5 | >52.5 | >1.0 | 
| 2m | >44.8 | >44.8 | >44.8 | - | 
| 3a | >51.5 | >51.5 | >51.5 | - | 
| 3b | >59.1 | 58.6 ± 8.6 | >59.1 | - | 
| 3c | >59.1 | >59.1 | >59.1 | - | 
| 3d | >58.8 | >58.8 | >58.8 | - | 
| 3e | >58.8 | >58.8 | >58.8 | - | 
| 3f | 29.1 ± 3.3 | >56.0 | >56.0 | >1.9 | 
| 3g | >61.8 | >61.8 | >61.8 | - | 
| 4a | 9.6 ± 2.4 | >53.4 | >53.4 | >5.6 | 
| 4b | 39.5 ± 5.9 | 45.4 ± 7.9 | 50.3 ± 9.4 | 1.3 | 
| 4c | >61.7 | >61.7 | >61.7 | - | 
| 4d | >61.3 | >61.3 | >61.3 | - | 
| 4f | 27.9 ± 4.2 | >58.3 | >58.3 | >2.1 | 
| 4g | 54.6 ± 9.0 | >64.6 | >64.6 | >1.2 | 
| AmB 2 | 0.83 ± 0.2 | 0.47 ± 0.1 | 8.1 ± 1.8 | 9.8 | 
| Disclaimer/Publisher’s Note: The statements, opinions and data contained in all publications are solely those of the individual author(s) and contributor(s) and not of MDPI and/or the editor(s). MDPI and/or the editor(s) disclaim responsibility for any injury to people or property resulting from any ideas, methods, instructions or products referred to in the content. | 
© 2024 by the authors. Licensee MDPI, Basel, Switzerland. This article is an open access article distributed under the terms and conditions of the Creative Commons Attribution (CC BY) license (https://creativecommons.org/licenses/by/4.0/).
Share and Cite
Al Nasr, I.S.; Koko, W.S.; Khan, T.A.; Schobert, R.; Biersack, B. Antiparasitic Activities of Acyl Hydrazones from Cinnamaldehydes and Structurally Related Fragrances. Antibiotics 2024, 13, 1114. https://doi.org/10.3390/antibiotics13121114
Al Nasr IS, Koko WS, Khan TA, Schobert R, Biersack B. Antiparasitic Activities of Acyl Hydrazones from Cinnamaldehydes and Structurally Related Fragrances. Antibiotics. 2024; 13(12):1114. https://doi.org/10.3390/antibiotics13121114
Chicago/Turabian StyleAl Nasr, Ibrahim S., Waleed S. Koko, Tariq A. Khan, Rainer Schobert, and Bernhard Biersack. 2024. "Antiparasitic Activities of Acyl Hydrazones from Cinnamaldehydes and Structurally Related Fragrances" Antibiotics 13, no. 12: 1114. https://doi.org/10.3390/antibiotics13121114
APA StyleAl Nasr, I. S., Koko, W. S., Khan, T. A., Schobert, R., & Biersack, B. (2024). Antiparasitic Activities of Acyl Hydrazones from Cinnamaldehydes and Structurally Related Fragrances. Antibiotics, 13(12), 1114. https://doi.org/10.3390/antibiotics13121114
 
        



 
       