Dynamic Contact Analysis of the Piston and Slipper Pair in Axial Piston Pump
Abstract
1. Introduction
2. Structure and Working Principle of Axial Piston Pump
3. Kinematics Model of Axial Piston Pump
4. Virtual Prototype Model of Axial Piston Pump
4.1. Three-Dimensional Model of Axial Piston Pump
4.2. Multi-Body Dynamic Model of Axial Piston Pump
4.3. Simulation Results of Axial Piston Pump
4.3.1. Kinematics Simulation Analysis
4.3.2. Dynamic Simulation Analysis
5. Contact Analysis of Axial Piston Pump
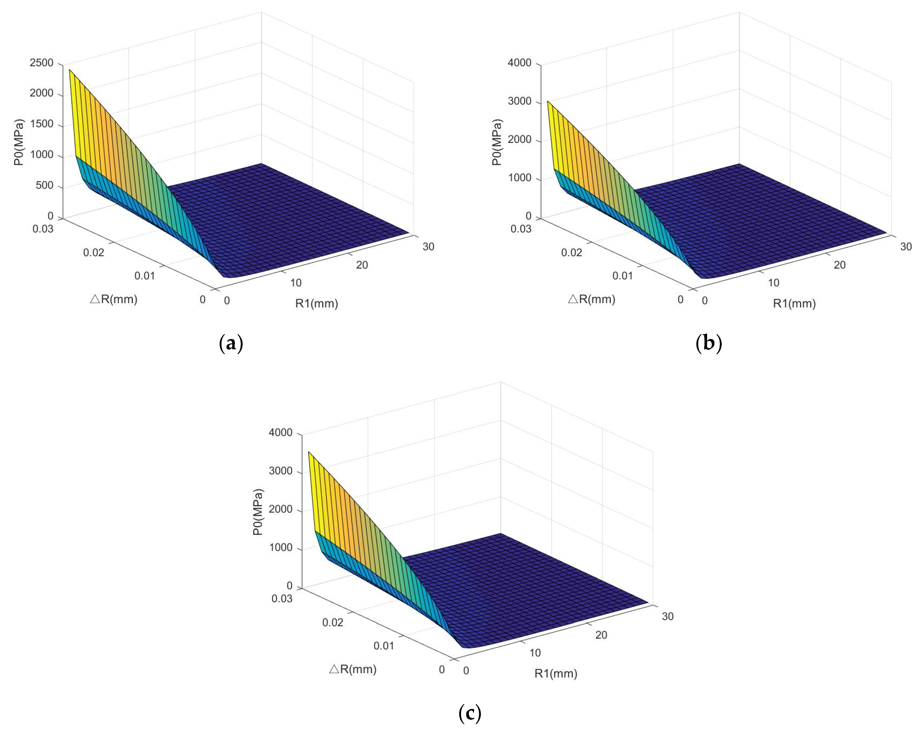
5.1. Normal Contact Analysis
5.2. Tangential Contact Analysis
6. Conclusions
- (1)
- The kinematic simulation analysis verifies the correctness of the virtual prototype model of the axial piston pump, which provides a reference for the motion research of the axial piston pump. The main reason for the mechanical vibration and noise of the axial piston pump is the inertial force caused by the rapid variation of the piston velocity and acceleration.
- (2)
- The dynamic simulation analysis verifies that with the increase of the hydraulic pressure, the radial displacement of the piston in the cylinder block increases, the contact forces on spherical pair, slipper pair and piston pair increase, and the total power of the axial piston pump increases.
- (3)
- The results of contact analysis show that the normal displacement, maximum contact pressure, contact radius, normal contact stiffness and tangential contact stiffness can be improved by enlarging the piston radius and decreasing the radial clearance.
Author Contributions
Funding
Conflicts of Interest
References
- Zmen, Z.; Sinanolu, C.; Caliskan, A.; Badem, H. Prediction of Leakage from an Axial Piston Pump Slipper with Circular Dimples Using Deep Neural Networks. Chin. J. Mech. Eng. 2020, 33, 1–11. [Google Scholar] [CrossRef]
- Bergada, J.M.; Kumar, S.; Davies, D.L.; Watton, J. A complete analysis of axial piston pump leakage and output flow ripples. Appl. Math. Model. 2011, 36, 1731–1751. [Google Scholar] [CrossRef]
- Xu, B.; Hu, M.; Zhang, J.Z.; Mao, Z.B. Distribution characteristics and impact on pump’s efficiency of hydro-mechanical losses of axial piston pump over wide operating ranges. J. Cent. South Univ. 2017, 24, 609–624. [Google Scholar]
- D’Andrea, D.; Epasto, G.; Bonanno, A.; Guglielmino, E.; Benazzi, G. Failure analysis of anti-friction coating for cylinder blocks in axial piston pumps. Eng. Fail. Anal. 2019, 104, 126–138. [Google Scholar] [CrossRef]
- Deng, H.; Hu, C.; Wang, Q.; Wang, L.; Wang, C. Friction and wear analysis of the external return spherical bearing pair of axial piston pump/motor. Mech. Ind. 2020, 21, 104. [Google Scholar] [CrossRef]
- Guan, C.; Jiao, Z.; He, S. Theoretical study of flow ripple for an aviation axial-piston pump with damping holes in the valve plate. Chin. J. Aeronaut. 2014, 27, 169–181. [Google Scholar] [CrossRef]
- Guan, D.; Hilton, H.H.; Yang, Z.; Jing, L.; Lu, K. Lubrication regime analysis for spherical pump. Ind. Lubr. Tribol. 2018, 70, 1437–1446. [Google Scholar] [CrossRef]
- Gao, D.; Zhang, Z.; Sun, Y.; Xu, S.; Liu, J.; Zhang, Y. Numerical simulation and analysis of temperature and flow field of high-speed axial piston motor pump. J. Eng. 2019, 2019, 127–131. [Google Scholar] [CrossRef]
- Ye, S.; Zhang, J.; Xu, B.; Zhu, S.; Xiang, J.; Tang, H. Theoretical investigation of the contributions of the excitation forces to the vibration of an axial piston pump. Mech. Syst. Signal Process. 2019, 129, 201–217. [Google Scholar] [CrossRef]
- Jana, T.; Mitra, A.; Sahoo, P. Unloading analysis of elastically and plastically graded hemispherical contact with rigid flat. Tribol. Int. 2020, 142, 105973. [Google Scholar] [CrossRef]
- Tang, H.; Ren, Y.; Zhang, X.-l. Tribological performance of MoS2 coating on slipper pair in axial piston pump. J. Cent. South Univ. 2020, 27, 1515–1529. [Google Scholar] [CrossRef]
- Guan, D.; Jing, L.; Gong, J.; Shen, H.; Hilton, H.H. Normal contact analysis for spherical pump based on fractal theory. Tribol. Int. 2018, 124, 117–123. [Google Scholar] [CrossRef]
- Guan, D.; Jing, L.; Gong, J.; Yang, Z.; Shen, H. Friction and wear modeling of rotary disc in spherical pump. Ind. Lubr. Tribol. 2019, 71, 420–425. [Google Scholar] [CrossRef]
- Guan, D.; Jing, L.; Hilton, H.H.; Gong, J. Dynamic lubrication analysis for a spherical pump. Proc. Inst. Mech. Eng. Part J. 2019, 233, 1–12. [Google Scholar] [CrossRef]
- Guan, D.; Jing, L.; Hilton, H.H.; Gong, J.; Yang, Z. Tangential contact analysis of spherical pump based on fractal theory. Tribol. Int. 2018, 119, 531–538. [Google Scholar] [CrossRef]
- Haidak, G.; Wang, D.; Awong, E.L.E. Modelling of deformation and failure of slipper-retainer assembly in axial piston machine. Eng. Fail. Anal. 2020, 111, 104490. [Google Scholar] [CrossRef]
- Shi, J.; Cao, X.; Zhu, H. Tangential Contact Stiffness of Rough Cylindrical Faying Surfaces Based on the Fractal Theory. J. Tribol. 2014, 136, 041401. [Google Scholar] [CrossRef]
- Li, D.; Li, G.; Han, J.; Liu, Y.; Wu, D. Thermodynamic characteristics research of a water lubricating axial piston pump. Proc. Inst. Mech. Eng. Part C 2020, 234, 3873–3889. [Google Scholar] [CrossRef]
- Lyu, F.; Zhang, J.; Sun, G.; Xu, B.; Pan, M.; Huang, X.; Xu, H. Research on wear prediction of piston/cylinder pair in axial piston pumps. Wear 2020, 456–457. [Google Scholar] [CrossRef]
- Pan, Y.; Li, Y.; Liang, D. The influence of dynamic swash plate vibration on outlet flow ripple in constant power variable-displacement piston pump. Proc. Inst. Mech. Eng. Part C 2019, 233, 4914–4933. [Google Scholar] [CrossRef]
- Wu, H.; Zhao, L.; Ni, S.; He, Y. Study on friction performance and mechanism of slipper pair under different paired materials in high-pressure axial piston pump. Friction 2020, 8, 957–969. [Google Scholar] [CrossRef]
- Nagatani, H.; Imou, A. Contact Pressure and Shear Stress Analysis on Conforming Contact Problem. J. Adv. Mech. Des. Syst. Manuf. 2008, 2, 1055–1066. [Google Scholar] [CrossRef]
- Wang, S.; Xiang, J.; Zhong, Y.; Tang, H. A data indicator-based deep belief networks to detect multiple faults in axial piston pumps. Mech. Syst. Signal Process. 2018, 112, 154–170. [Google Scholar] [CrossRef]
- Xu, B.; Hu, M.; Zhang, J. Impact of typical steady-state conditions and transient conditions on flow ripple and its test accuracy for axial piston pump. Chin. J. Mech. Eng. 2015, 28, 1012–1022. [Google Scholar] [CrossRef]
- Ye, S.; Tang, H.; Ren, Y.; Xiang, J. Study on the load-carrying capacity of surface textured slipper bearing of axial piston pump. Appl. Math. Model. 2020, 77, 554–584. [Google Scholar] [CrossRef]
- Guan, D.; Wu, J.H.; Jing, L.; Hilton, H.H.; Lu, K. Kinematic modeling, analysis and test on a quiet spherical pump. J. Sound Vib. 2016, 383, 146–155. [Google Scholar] [CrossRef]
- Zhang, J.; Liu, B.; Lv, R.; Yang, Q.; Dai, Q. Study on Oil Film Characteristics of Piston-Cylinder Pair of Ultra-High Pressure Axial Piston Pump. Processes 2020, 8, 68. [Google Scholar] [CrossRef]
- Zloto, T. Simulation of the Hydrostatic Load of the Valve Plate-cylinder Block System in an Axial Piston Pump. Procedia Eng. 2017, 177, 247–254. [Google Scholar] [CrossRef]
- Złoto, T.; Kowalski, K. Load of the slipper-swash plate kinematic pair of an axial piston pump. Matec Web Conf. 2018, 157, 08013. [Google Scholar] [CrossRef][Green Version]
- Zhang, B.; Ma, J.; Hong, H.; Yang, H.; Fang, Y. Analysis of the flow dynamics characteristics of an axial piston pump based on the computational fluid dynamics method. Eng. Appl. Comput. Fluid Mech. 2017, 11, 86–95. [Google Scholar] [CrossRef]
- Ye, S.; Zhang, J.; Xu, B.; Hou, L.; Xiang, J.; Tang, H. A theoretical dynamic model to study the vibration response characteristics of an axial piston pump. Mech. Syst. Signal Process. 2021, 150, 107237. [Google Scholar] [CrossRef]
- Zhou, J.; Zhou, J.; Jing, C.; Yuan, S.; Luo, A. Dynamic Characteristics of Lubrication and Wear Prediction of Slipper/Swash-Plate in Axial Piston Pumps. J. Beijing Inst. Technol. 2019, 28, 519–528. [Google Scholar]
- Guan, D.; Jing, X.; Shen, H.; Jing, L.; Gong, J. Test and simulation the failure characteristics of twin tube shock absorber. Mech. Syst. Signal Process. 2019, 122, 707–719. [Google Scholar] [CrossRef]
- Guan, D.; Wu, J.H.; Jing, L. A statistical method for predicting sound absorbing property of porous metal materials by using quartet structure generation set. J. Alloy Compd. 2015, 626, 29–34. [Google Scholar] [CrossRef]
























| Constraint Pair | Part 1 | Part 2 |
|---|---|---|
| Fixed | Pump body | Ground |
| Union | Valve plate | Pump body |
| Swash plate | Pump body | |
| Shaft | Cylinder block | |
| Revolute | Shaft | Ground |
| Cylindrical | Piston | Cylinder block |
| Spherical | Piston | Slipper |
| Contact | Slipper | Retainer |
| Planar | Slipper | Swash plate |
Publisher’s Note: MDPI stays neutral with regard to jurisdictional claims in published maps and institutional affiliations. |
© 2020 by the authors. Licensee MDPI, Basel, Switzerland. This article is an open access article distributed under the terms and conditions of the Creative Commons Attribution (CC BY) license (http://creativecommons.org/licenses/by/4.0/).
Share and Cite
Shen, H.; Zhou, Z.; Guan, D.; Liu, Z.; Jing, L.; Zhang, C. Dynamic Contact Analysis of the Piston and Slipper Pair in Axial Piston Pump. Coatings 2020, 10, 1217. https://doi.org/10.3390/coatings10121217
Shen H, Zhou Z, Guan D, Liu Z, Jing L, Zhang C. Dynamic Contact Analysis of the Piston and Slipper Pair in Axial Piston Pump. Coatings. 2020; 10(12):1217. https://doi.org/10.3390/coatings10121217
Chicago/Turabian StyleShen, Hui, Zhuxin Zhou, Dong Guan, Zhongtao Liu, Li Jing, and Chun Zhang. 2020. "Dynamic Contact Analysis of the Piston and Slipper Pair in Axial Piston Pump" Coatings 10, no. 12: 1217. https://doi.org/10.3390/coatings10121217
APA StyleShen, H., Zhou, Z., Guan, D., Liu, Z., Jing, L., & Zhang, C. (2020). Dynamic Contact Analysis of the Piston and Slipper Pair in Axial Piston Pump. Coatings, 10(12), 1217. https://doi.org/10.3390/coatings10121217

