Abstract
The colored films were successfully prepared on the 304 stainless steel surfaces in coloring solutions with different NiSO4 contents. The purpose of this study was to investigate the effects of NiSO4 in the coloring solution on the coloring performance of 304 stainless steel and corrosion resistance of the obtained colored film in NaCl solution. The coloring rate was determined from coloring potential-time curve, and the protection properties of the color films in a 3.5% NaCl solution were characterized by potentiodynamic polarization scan, electrochemical impedance spectroscopy, and wear resistance test. The results showed that adding NiSO4 could accelerate the coloring process but brought about a negative impact on the surface’s corrosion resistance.
1. Introduction
Stainless steel is a common and highly corrosion-resistant material, which has been widely applied in many aspects of our daily life, such as kitchen utensils, household appliances, and automotive industries. Despite the broad applications of stainless steels, the standard color of stainless steels (light gray) does not always harmonize under all the conditions [1,2,3]. Therefore, coloring technologies for stainless steel have been proposed to enlarge its applicability to market [4,5,6,7].
Colored stainless steel was discovered by W.H. Haffield and N. Green [8] of the European research and development center of Birmingham International Nickel company in 1927. They dipped stainless steel plates into CrO3/H2SO4 solution to create black stainless steel and obtained a patent. From 1939 to 1941, C. Batcheller successively proposed three patents which report the method of creating a series of colors such as black, dark blue, bronze, yellow, and chocolate on stainless steel surfaces in sulfuric acid and chromate solution. In 1965, N.E. Clegg and W.J. Greening found that adding a few ammonium molybdate into sulfuric acid and chromate solution can improve the glossiness of colored films on stainless steel. In 1968, H. Jmae, C.G. Smith, and L.G. Tottle obtained a patent of forming multiple colors on stainless steel surface; in the same year, T.E. Evans, H. James and C.G. Smith found that adding some MnSO4 into sulfuric acid and chromate solution can accelerate the formation of the colored films. The above-mentioned studies provide numerous valuable basic research theories. However, these methods are only in the stage of research and exploration in the laboratory, and they have not been widely used. Until 1972, a large number of industrialization generation is realized via chemical oxidation in solution containing basic compositions of CrO3 and H2SO4 by the European research and development center of Birmingham international nickel company. Then the coloring method using chemical treatment by acid solution containing CrO3 was named as INCO method.
At present, there are five kinds of coloring methods on stainless steel, which include the organic coating method, vapor deposition method, enamel method, ion deposition nitride or oxide, and stainless steel surface oxidation method [9,10,11]. Among the many coloring methods, the surface oxidation method is the most widely application used because of its simple process and low cost, with the INCO method as the most typical way [12,13]. Up to now, the industrial continuous production of colored stainless steel adopts methods based on INCO methods [14,15,16]. The coloring principle of the INCO method is that the stainless steel reacts with coloring solution containing Cr2O3 and H2SO4 to generate an oxide film mainly composed of chromium, iron, and nickel formed on its surface [17]. The oxide film can interfere with natural light to show a certain color. According to the principle of film interference, the color change of stainless steel is related to immersion time, coloring solution temperature, and the concentration of various ions in the coloring solution [18]. However, the corrosion resistance and fatigue durability of colored stainless steel are often challenged by the external environment. Sometimes, the surface of colored stainless steel can be corroded or even peeled off in the harsh marine environment [19,20,21]. In order to solve the above-mentioned problem, it is always the demand of coloring technology development to obtain color stainless steel with high corrosion resistance and friction resistance [22]. Additionally, it is of great significance to study the influence of various parameters including the concentration change of coloring solution components on the film performance in order to obtain high-performance color film.
The concentration of chromic acid and sulfuric acid in the coloring solution has a significant influence on the quality and speed of coloring, and a large number of impurity ions will be produced in the actual production [23,24]. The influence of impurity ions cannot be ignored, which is directly related to the reproducibility and production capacity of large-scale production. In the former research, the effect of the concentration of H+, Fe3+, Cr6+, and Cr3+ ions on the coloring process has been investigated [25,26]. However, few researchers have paid attention to the effect of Ni2+ ions. The nickel element is a base element in 304 stainless steel; it can be dissolved into the coloring solution to affect its composition. Therefore, we hope to find out the influence mechanism of Ni2+ on the coloring process to further control the quality of the colored film. Herein, we investigated the effects of the artificially added NiSO4 on the coloring time and corrosion resistance of the colored film by potential-time curves, polarization scanning, electrochemical impedance spectroscopy (EIS), and scanning electron microscope (SEM) coupled with energy-dispersive X-ray spectroscopy (EDX). The mechanism of the added NiSO4 on the coloring process and the corrosion resistance performance of the colored film were suggested.
2. Materials and Methods
2.1. Material
All the sheet-shaped specimens used in the study were prepared from a 1 mm thick type 304 stainless steel plate in the as-received condition with a composition of Fe-0.08C-1.00Si-1.60Mn-0.03P-0.03S-9.63Ni-18Cr. The plate was cut into 50 mm × 100 mm specimens for the experiments. All specimens were ground with emery paper to 400 grit and cleaned in distilled water. The treated specimens were dipped into an alkaline solution main of 40 g·L−1 NaOH, 30 g·L−1 Na3PO4, and 0.03 g·L−1 OP-10 at 100 C for 5 min to remove oil on the surface followed by cleaning with distilled water and drying. In the process of experiments, firstly, we carried out the coloring experiments, and then the colored specimens were used for polarization scanning, EIS, surface morphology analysis, and wear resistance test.
2.2. Coloring Experiments
The alkali washed specimens were immersed in coloring solutions of 250 g·L−1 Cr2O3 and 490 g·L−1 H2SO4 with a variety of concentrations of NiSO4 from 0 to 0.4 g·L−1 until they reached the end color of the coloring reaction. The coloring solutions were kept at temperature of 80 °C. In order to ensure the accuracy of the data, all coloring processes were repeated three times under the same conditions.
As shown in Figure 1, the stainless steel coloring device is composed of computer, electrochemical workstation, and constant temperature water bath. A conventional three-electrode system was used to record the electric potentials by IM6e electrochemical workstation (Zahner, Kronach, Germany), in which a piece of stainless steel was used as the working electrode, and platinum sheets were used as both the counter electrode and reference electrode. Through the analysis of the electrochemical workstation, the received potential changes are converted into digital signals and transmitted to a computer, which is represented by a potential-time curve such as in Figure 2.
Figure 1.
Schematic diagram of the stainless steel coloring device.
Figure 2.
Potential-time curve of stainless steel in coloring process.
2.3. Electrochemical Measurements
A homemade conventional three-electrode system was used for polarization scanning and EIS. The working electrode was the colored stainless steel prepared in the coloring experiment with a working surface area of 1 cm2. A platinum electrode and a saturated calomel electrode were applied as the counter electrode and the reference electrode, respectively [27]. The specimens were cleaned by ultrasound, dried, and then tested in a 3.5 wt % NaCl aqueous solution at 30 °C [28]. The polarization scan was started from −0.5 V to 3 V relative to the corrosion potential with a scan speed of 1 mV·s−1. Corrosion potential and corrosion current density were estimated from Tafel extrapolation. EIS was recorded during the frequency ranging from 105 to 0.001 Hz at the open circuit potential with an AC amplitude of 5 mV. In order to ensure the accuracy of the data, all electrochemical tests were repeated three times under the same conditions.
2.4. Morphology
The surfaces of the colored or uncolored 304 stainless steel specimens were cleaned with ultrasonic for 5 min, then washed with distilled water and dried. SEM (Quanta 400, Thermo fisher scientific, Waltham, MA, USA) in combination with EDX was performed to analyze the surfaces of the bare and colored specimens.
2.5. Wear Resistance Test
An NUS-ISO-I linear reciprocating wear tester (Weida testing machine factory, Tianjin, China) as shown in Figure 3 was used to measure the wear resistance of the colored films on 304 stainless steel surfaces. The grinding head of 7 mm in diameter was loaded with 500 N, and the films were rubbed back and forth in a straight line until the surfaces revealed a silver-white metallic color, and the friction times of the films before exposure to the substrates were recorded and compared. In order to ensure the accuracy of the data, wear resistance tests were repeated three times under the same conditions.
Figure 3.
NUS-ISO-I linear reciprocating wear tester.
The micro-friction test was carried out on the surface of colored stainless steel prepared in the coloring experiment with a fretting tester (THT01-04015, Tribolab, Bruker, Germany) to evaluate the mechanical durability of the surface. During the test, the contact wear material was a fine grinding SiC ball of 6 mm in diameter, and the fretting stroke length was 1000 μm. The scanning speed was 10 mm·s−1 with a test load of 5 N. After friction, a MX6R optical microscope (Sunny optical technology (group) company limited, Ningbo, China) was used to check the residual wear marks.
3. Results and Discussion
3.1. Effect of NiSO4 on the Coloring Process
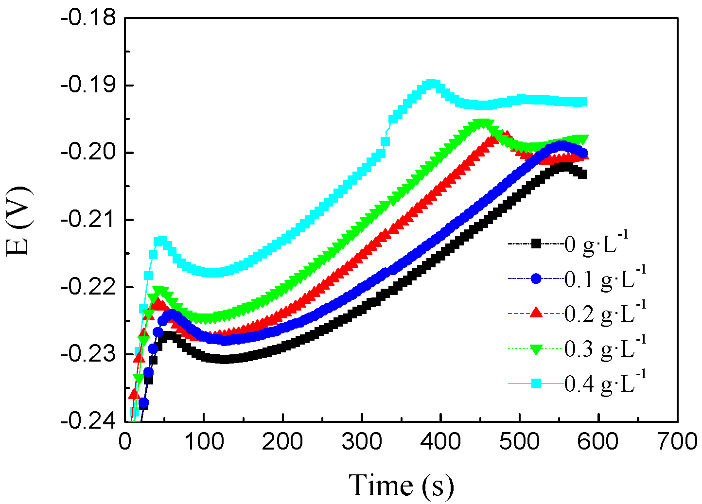
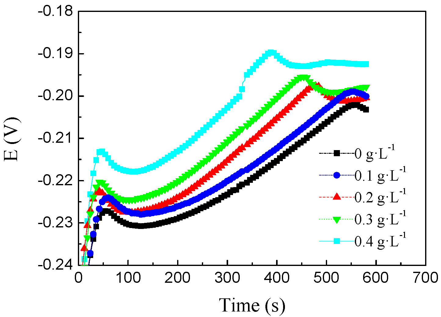
Figure 2 exhibits the typical curves of coloring potential versus coloring time. Here, point A represents coloring start point. With the extension of coloring time, the electrode potential of stainless steel gradually rises until the potential reaches the peak at point C, which is defined as the coloring end point, and tC represents the coloring end time. The potential difference between any point on the curve (such as point B in Figure 2) and point A has a corresponding relationship with the obtained color of the stainless steel, and which does not change with the temperature and composition of the coloring solution. Here, ΔEC-A indicates the potential difference between the coloring end point potential and the coloring start point potential. Therefore, the method of color control by potential difference overcomes the problem caused by the change of temperature and composition of coloring liquid in the coloring process, which is more suitable for industrial production. In this paper, the potential difference method was used to monitor the color.
Figure 4 shows the curves of coloring potential versus coloring time recorded in coloring solution of 490 g·L−1 H2SO4 and 250 g·L−1 Cr2O3 with different NiSO4 concentrations of 0, 0.1, 0.2, 0.3, and 0.4 g·L−1. Table 1 indicates the parameters of the coloring potential-time curves and the properties of the colored specimens. The coloring start time was all in the range of 125–130 s, while the coloring end time gradually reduced from 556 to 388 s with the increase of NiSO4 in the coloring solution. At the same time, the value of ΔEC-A changed slightly for all the specimens in Table 1, the end color (purplish red) did not change at all the concentration conditions. So, it could be concluded that the addition of NiSO4 to the coloring solution had an advantage for the enhancement of the rate of the coloring process but did not affect the end color of stainless steel.
Figure 4.
Potential-time curves of 304 stainless steel immersed in coloring solutions with different NiSO4 concentration.
Table 1.
The coloring parameters of different specimens.
3.2. Potentiodynamic Polarization
Figure 5 shows the polarization curves for the different colored specimens immersed in 3.5 wt % NaCl aqueous solution at 30 °C, and the electrochemical parameters including open circuit potential (Eo) and pitting breakdown potential (Epit) are summarized in Table 2, and passivity-maintaining current density (io) are calculated from the polarization curves by Cview software according to the Stern–Geary equation and are listed in Table 2. It can be seen that the passivity-maintaining current density of the colored specimen obtained in the coloring solution without NiSO4 was lower than all the colored specimens obtained in solutions with NiSO4, the value of Io increased from 6.16 × 10−7 to 4.51 × 10−5 A·cm−2 with the increase in the NiSO4 concentration from 0 to 0.3 g·L−1, followed by slight changes in Table 2. Furthermore, Figure 5 also demonstrated that adding NiSO4 to the coloring solution led to the negative shift of pitting breakdown potential. Meanwhile, the higher the concentration of NiSO4, the lower the value of breakdown potential. With the increase in the NiSO4 concentration, the value of Epit reduced from 0.92 to 0.64 V (Table 2). Although the open circuit potential had a little rise for the samples colored in the presence of NiSO4, their passive regions were smaller than that of specimen obtained in the coloring solution without NiSO4. Therefore, it could be concluded that an increase of NiSO4 in the coloring solution had caused a decrease of the anti-corrosion ability of the colored film.
Figure 5.
Potentiodynamic polarization curves of colored films formed by coloring solutions with different NiSO4 concentrations in 3.5 wt % NaCl aqueous solution.
Table 2.
Electrochemical parameters of polarization curve for different colored specimens.
3.3. Electrochemical Impedance Spectroscopy
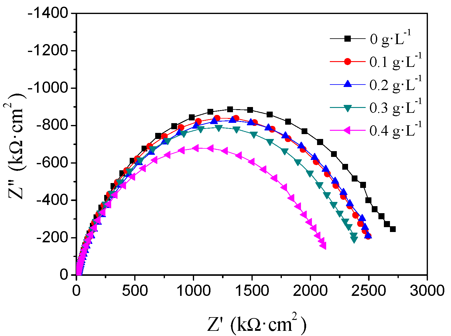
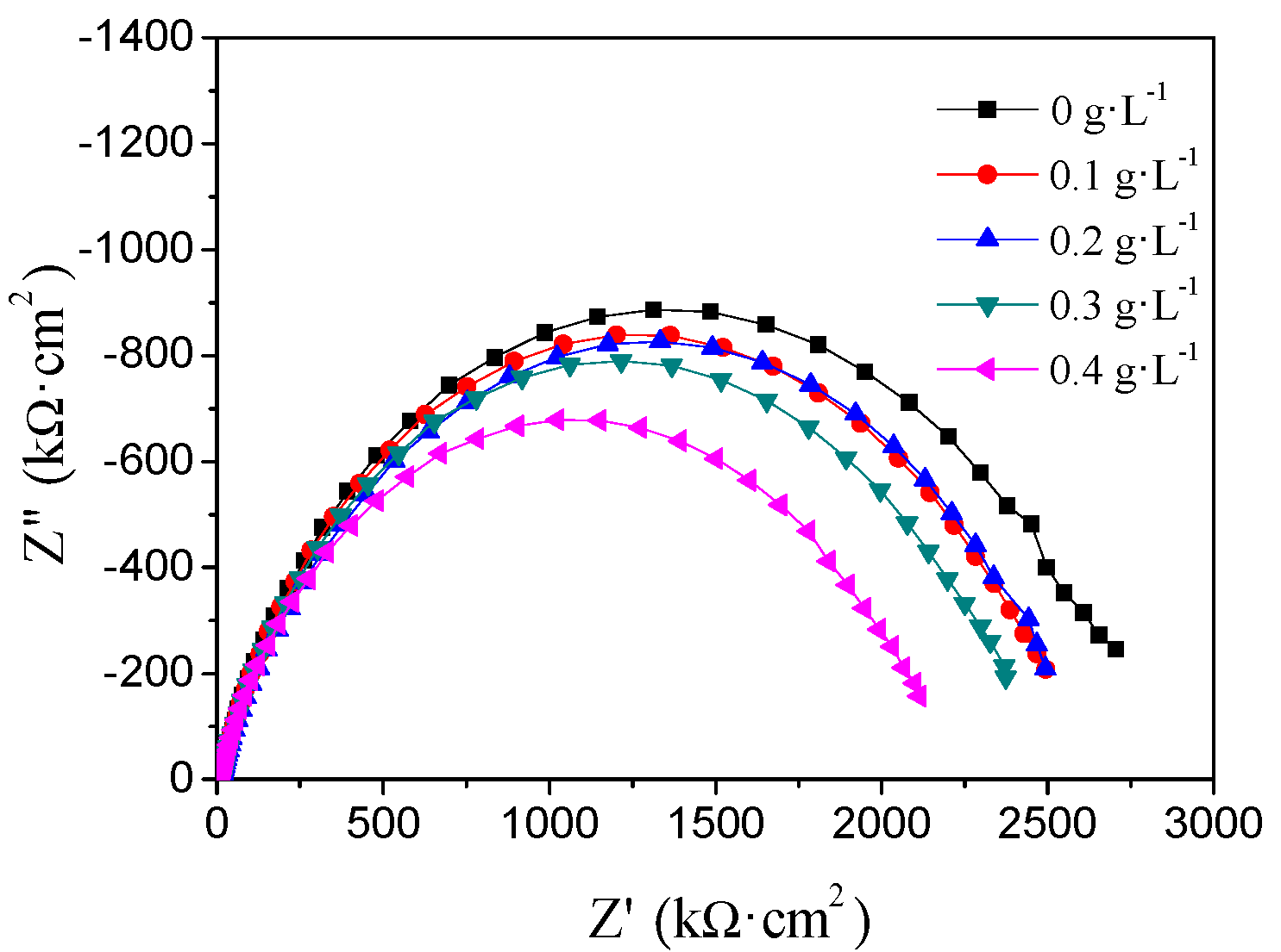
Figure 6 displaces the Nyquist plots for the different colored specimens. Table 3 lists the parameters for the EIS data fitted by the equal circuit as shown in Figure 7, where Cdl is the value of the double electric capacitance, n is the dispersion constant to reflect whether the film behaves as an ideal capacitor, and Rct is the charge–transfer resistance. It can be found that the Rct value of the colored specimen colored in the absence of NiSO4 was higher than all the other specimens and the higher the concentration of NiSO4 was, the smaller the Rct value. With the increase in the NiSO4 concentration, the value of Rct reduced from 2609 to 2045 Ω·cm−2 (Table 3), and the values of n and Cdl changed slightly. The change in the value of Rct indicated that the added NiSO4 reduced the perfect degree of the colored film, and then led to the decrease of anti-corrosion ability of the colored film.
Figure 6.
Nyquist plots of colored films formed by coloring solutions with different NiSO4 concentrations in 3.5 wt % NaCl aqueous solution.
Table 3.
Electrochemical parameters of EIS data for different colored specimens.
Figure 7.
The equivalent circuit used for EIS data fitting.
3.4. Surface Characterization
Figure 8 shows the SEM morphology of the surface of the stainless steel. The bare specimen was smooth without flaw, while the colored specimens had shown the presence of the colored film with cracks. At the same time, the increase of NiSO4 concentration led to the acceleration of film formation. However, there were more holes in the surface. The film was no longer dense, and the defects and pitting areas were also increased, which was the reason for the acceleration of corrosion rate.

Figure 8.
SEM images observed on the surfaces of bare and colored films formed by coloring solutions with different NiSO4 concentration: (a) blank; (b) 0.2 g·L−1; (c) 0.3 g·L−1; (d) 0.4 g·L−1.
Table 4 shows the difference between the elemental compositions of the colored specimens examined by EDX. The main elements for the untreated stainless steel were Si, Cr, Fe, and Ni. When the samples were colored, an oxygen element was detected owing to the oxidation process of the coloring. With the increase of NiSO4 content in the coloring solution from 0 to 0.4 g·L−1, the content of O, Si, and Fe in the colored film is almost unchanged, the average O content is 8.46 wt %; the average Si content is 0.84 wt %; the average Fe content is 63.87 wt %. However, Cr content gradually decreased from 20.62 wt % to 18.48 wt %, Ni content gradually increased from 6.41 wt % to 8.32 wt %. After that, the value basically remained unchanged with the increase of NiSO4 content.
Table 4.
Element composition (wt %) measured on colored specimens’ surfaces.
3.5. Wear Resistance Test Results
Table 5 shows friction numbers that could be endured before the matrix was exposed in the friction test for different samples. The smaller number of friction, the worse wear resistance of the films. The data that can be seen in Table 5 were the average of three times. The number of friction decreased with the increasing of NiSO4 content in the coloring solution, which indicated that the addition of NiSO4 had a disadvantage for the wear resistance of the films.
Table 5.
Friction numbers for the different colored specimens recorded before breakdown.
The micro-friction test of colored stainless steel surface with 1000 μm stroke length for 1 s was carried out with a scanning speed of 10 mm·s−1 and a normal load of 5 N. The morphology of scratch marks is shown in Figure 9. As shown in Figure 9e, the surface of stainless steel prepared by coloring experiment with a NiSO4 concentration of 0.4 g·L−1 suffered the most serious damage with obvious grooves along the wear track. Under the same friction time, the surface of stainless steel prepared by coloring experiment without NiSO4 is the most resistant to fretting, and the surface is the least damaged with slight scratches. It can be seen from the figure that with the increase of NiSO4 content in the coloring solution from 0 to 0.4 g·L−1, the anti-fretting wear ability of the surface of the colored stainless steel prepared is weakening, and the scratch on the surface is wider and the groove is more and more obvious, which is also verified by the conclusion of the above friction tests.
Figure 9.
The photographs of scratch marks observed after fretting tests on the surfaces of bare and colored films formed by coloring solutions with different NiSO4 concentration: (a) blank; (b) 0.1 g·L−1; (c) 0.2 g·L−1; (d) 0.3 g·L−1; (e) 0.4 g·L−1.
3.6. Mechanism Analysis for the Effects of NiSO4
The colored film-forming mechanism of stainless steel was first proposed by T.E. Evans [29] in 1977. Since then, some researchers have made further researches on it and improved the mechanism. For example, Jian Xu [30] and others have studied the film-forming mechanism by using the 18O tracing method. In the chemical coloring process, basic chemical reactions include the following Equations (1)–(5), the film forming mechanism summarized by previous research is as follows:
In the anode area:
M = Mn+ + ne−.
Among them, M represents corresponding metal elements such as Cr, Fe, Ni, and Mn+ represents the corresponding metal ions.
In the cathode area:
and,
HCrO4− + 7H+ + 3e- = Cr3+ + 3H2O.
H2O + H+ + 2e− = H2 + OH−.
After soaking stainless steel in the coloring solution for a certain period of time, Cr3+ and Mn+ metal ions gradually enriched on the metal/solution interface and exceeded the solubility critical value of chromium rich spinel oxide, then which hydrolyzed to form oxide film:
pMn+ + qCr3+ + rH2O = MpCrqOr + 2rH+
np + 3q = 2r.
At this time, the anode reaction is carried out on the substrate of stainless steel, and the spinel oxide produced by the cathode reaction is deposited on the surface of stainless steel, forming a porous film on the surface. After that, the products of the anode reaction must diffuse to the surface of the film through the pores, and the cathode reaction takes place on the surface of the film, which makes the potential difference between the bottom and the top of the film pores. The diffusion potential increases with the thicken of film. Subsequently, the MpCrqOr began to be formed following the Reaction (4).
In the coloring reaction, the increase of NiSO4 content promoted the rate of MpCrqOr formation and shortened the time needed to reach the critical value of solubility of chromium-rich spinel oxide. EDX analysis showed that the addition of NiSO4 decreased the content of Cr and increased the content of Ni. It can be determined that there is competitive ion migration between Ni2+ and Cr3+ in the coloring process, and the decrease of Cr in the colored film is the reason of the deterioration of corrosion resistance and wear resistance.
3.7. Principle of Surface Color Displaying
After coloring, the surface of stainless steel presents various colors. The coloring principle is that a layer of colorless and transparent oxide film is formed on the surface of the treated stainless steel—the thickness of the oxide film is about tens to 500 nanometers, so the color we see is the interference color [23,31], the principle of which is shown in Figure 10. The incident light shines from the air at a certain angle to the surface of the oxide film. One part of it is reflected in the atmosphere as the reflected light, and the other part is refracted light, which propagates in the direction of AB in the oxide film. When it meets the surface of the stainless steel substrate, it will reflect and become the reflected light, which propagates in the direction of BC. At the point C of the oxide film surface, one part of it will be refracted and backward in the atmosphere, while the other part is still reflected back to the oxide film. At this time, due to the phase difference and optical path difference between the refracted light and the reflected light, when the two beams meet, the interference phenomenon of light will occur, showing different colors.
Figure 10.
Schematic diagram of coloring principle.
According to the principle of film interference [32,33], when the refractive index of the oxide film on the stainless steel surface is fixed, the interference color is mainly determined by the thickness of the oxide film and the natural incidence angle. When the incident light angle is fixed, the thickness of the film is different, and the surface of stainless steel will show different colors. For example, when the same colored stainless steel is dry, the color displayed will be different from that when a layer of water film is contained. In addition, if the composition of the oxide film changes, its refractive index will be changed, and then the interference color will be affected. Therefore, the color of color stainless steel depends on the thickness of oxide film, the composition of oxide film, and the incident angle of light. In general, the color of oxide film on 304 stainless steel from thin to thick is tea, blue, golden yellow, and purplish red, in addition to the intermediate transition color, so dozens of color stainless steel can be obtained. Here, in this work, in spite of changing of NiSO4 content in the coloring solution, the end color did not changed. That means the thickness of the colored film had no significant differences, and also the small amount of elemental composition changes of the colored film did not significantly change the refractive index of the colored film.
4. Conclusions
The effects of NiSO4 on the coloring rate and corrosion resistance of the colored film on 304 stainless steel surface produced by INCO methods were investigated. With the increasing addition of NiSO4 in the coloring solution, the process of reaching critical solubility product value at the metal/solution interface was accelerated. Accordingly, the formation of oxide film was promoted, and the coloring time reduced from 556 to 388 s. Interestingly, the potential difference of coloring did not change, and the end colors were purplish red at all the concentration conditions. Furthermore, EDX study showed that the addition of NiSO4 in the coloring solution resulted in the decrease of Cr content (from 20.62 wt % to 18.48 wt %) and the increase of Ni (from 6.41 wt % to 8.32 wt %) on the surface of stainless steel. The loss of chromium on the surface of the colored film resulted in the decrease in the corrosion resistance and wear resistance of the colored film.
Based on the above research conclusions, when NiSO4 content was 0.2 g·L−1, Cr content was reduced to 18.61 wt %, compared with the 20.62 wt % of the blank sample, there were obvious defects and wear marks on the surface subjected to wearing. Although the coloring speed was obviously improved, the corrosion resistance and wear resistance were greatly reduced. We suggest that in actual industrial production, when the content of NiSO4 is more than 0.2 g·L−1, the surface of colored stainless steel should be sealed to improve the corrosion resistance and wear resistance or adjust the composition of coloring solution.
Author Contributions
Conceptualization, H.W. and W.L.; methodology, Z.C.; specimen preparation, W.L. and J.-eQ.; data curation, Z.C. and J.-eQ.; writing—original draft preparation, W.L.; writing—review and editing, H.W.; visualization, J.-eQ.; supervision, H.W.; project administration, W.L.; funding acquisition, J.-eQ. All authors have read and agreed to the published version of the manuscript.
Funding
This research was funded by National scientific and technological achievements of the key promotion programs “New technology of coloring on stainless steel” (2001040201); Engineering Research Center of Nano-Geo Materials of Ministry of Education, China University of Geosciences (Grant No. NGM2020KF011) and State Key Laboratory of Materials Processing and Die and Mould Technology, Huazhong University of Science and Technology (Grant No. 2019-021).
Conflicts of Interest
The authors declare no conflict of interest.
References
- Corredor, J.; Bergmann, C.P.; Pereira, M.; Dick, L.F.P. Coloring ferritic stainless steel by an electrochemical—Photochemical process under visible light illumination. Surf. Coat. Technol. 2014, 245, 125–132. [Google Scholar] [CrossRef]
- Wang, W.; Zhang, X.; Wang, J. The influence of local glucose oxidase activity on the potential/current distribution on stainless steel: A study by the wire beam electrode method. Electrochim. Acta 2009, 54, 5598–5604. [Google Scholar] [CrossRef]
- Zhang, X.; Chen, G.; Li, W.; Wu, D. Photocathodic protection of cobalt doped ZnO nanorod arrays for 316 stainless steel and Q235 carbon steel in 3.5 wt.% NaCl solution. Coatings 2019, 9, 803. [Google Scholar] [CrossRef]
- Somervuori, M.; Johansson, L.-S.; Heinonen, M.H.; van Hoecke, D.H.D.; Akdut, N.; Hänninen, H.E. Characterisation and corrosion of spot welds of austenitic stainless steels. Mater. Corros. 2004, 55, 421–436. [Google Scholar] [CrossRef]
- Wang, J.H.; Duh, J.G. Colour tone and chromaticity in a coloured film on stainless steel by alternating current electrolysis method. Surf. Coat. Technol. 1995, 73, 46–51. [Google Scholar] [CrossRef]
- Junqueira, R.M.R.; Andrade, M.S.; Loureiro, C.R.O.; Buono, V.T.L. Mechanical properties of interference thin films on colored stainless steel evaluated by depth-sensing nanoindentation. Surf. Coat. Technol. 2006, 201, 2431–2437. [Google Scholar] [CrossRef]
- Stoychev, D.; Stefanov, P.; Nicolova, D.; Valov, I.; Marinova, T. Chemical composition and corrosion resistance of passive chromate films formed on stainless steels 316 L and 1.4301. Mater. Chem. Phys. 2002, 73, 252–258. [Google Scholar] [CrossRef]
- Zheng, E.X. New Technology of Continuous Coloring of Stainless Steel Coil Belt. Master’s Thesis, Hubei University, Wuhan, China, 2011. [Google Scholar]
- Junqueira, R.M.R.; Loureiro, C.R.O.; Buono, V.T.L. Electrochemical coloration of stainless steel as an alternative for architectural coatings. In Proceedings of the 1st International Seminar on Industrial Innovation in Electrochemistry, Blucher Chemistry Proceedings, Blucher, Brazil, 1 June 2014. [Google Scholar]
- Li, X.; Chen, J.; Ye, J.; Feng, T.; Hu, X. Low-stress diamond films deposited on stainless steel by a two-step dropped power process in chemical vapor deposition. Diam. Relat. Mater. 2018, 81, 176–182. [Google Scholar] [CrossRef]
- Ledwig, P.; Kot, M.; Moskalewicz, T.; Dubiel, B. Electrophoretic deposition of nc-TiO2/chitosan composite coatings on X2CrNiMo17-12-2 stainless steel. Arch. Metall. Mater. 2017, 62, 405–410. [Google Scholar] [CrossRef]
- Kanazawa, K.; Nakamura, K.; Kobayashi, N. Electroswitching of emission and coloration with quick response and high reversibility in an electrochemical cell. Chem.-Asian J. 2012, 7, 2551–2554. [Google Scholar] [CrossRef]
- Conrrado, R.; Bocchi, N.; Rocha-Filho, R.C.; Biaggio, S.R. Corrosion resistance of colored films grown on stainless steel by the alternating potential pulse method. Electrochim. Acta 2003, 48, 2417–2424. [Google Scholar] [CrossRef]
- Wang, J.H.; Duh, J.G.; Shih, H.C. Corrosion characteristics of coloured films on stainless steel formed by chemical, INCO and a.c. processes. Surf. Coat. Technol. 1996, 78, 248–254. [Google Scholar] [CrossRef]
- Groeb, M.; Fritz, M. Process analysis on milled optical surfaces in hardened stainless steel. J. Manuf. Mater. Process. 2019, 3, 67. [Google Scholar] [CrossRef]
- Huang, Y.; Young, B. Design of cold-formed stainless steel circular hollow section columns using direct strength method. Eng. Struct. 2018, 163, 177–183. [Google Scholar] [CrossRef]
- Fedrizzi, L.; Crousier, J.; Bonora, P.-L.; Crousier, J.-P. Corrosion mechanisms of an AISI type 316L sintered stainless steel in sodium chloride solution. Werkst. Korros. 1991, 42, 403–409. [Google Scholar] [CrossRef]
- Zhang, T.; Zeng, C.L. Corrosion protection of 1Cr18Ni9Ti stainless steel by polypyrrole coatings in HCl aqueous solution. Electrochim. Acta 2005, 50, 4721–4727. [Google Scholar] [CrossRef]
- Strzelecki, P.; Mazurkiewicz, A.; Musiał, J.; Tomaszewski, T.; Słomion, M. Fatigue Life for Different Stress Concentration Factors for Stainless Steel 1.4301. Materials 2019, 12, 3677. [Google Scholar] [CrossRef]
- Böhm, M.; Kowalski, M.; Niesłony, A. Influence of the Elastoplastic Strain on Fatigue Durability Determined with the Use of the Spectral Method. Materials 2020, 13, 423. [Google Scholar] [CrossRef]
- Gartner, N.; Kosec, T.; Legat, A. Monitoring the Corrosion of Steel in Concrete Exposed to a Marine Environment. Materials 2020, 13, 407. [Google Scholar] [CrossRef]
- Lin, C.J.; Duh, J.G. Elemental redistribution in coloured films on SUS304 stainless steel produced by current pulse method. Surf. Coat. Technol. 1996, 85, 175–182. [Google Scholar] [CrossRef]
- Chen, Y.D.; Li, J.D.; Cui, Z.M.; Peng, B. Colouristic optical principle of colour stainless steel and technological process of chemical deposit. J. WUYI Univ. Nat. Sci. Ed. 1995, 9, 21–27. [Google Scholar]
- Lin, C.J.; Duh, J.G. Mechanical characteristics of colored film on stainless steel by the current pulse method. Thin Solid Films 1996, 287, 80–86. [Google Scholar] [CrossRef]
- Ogura, K.; Lou, W.; Nakayama, M. Coloration of stainless steel at room temperature by triangular current scan method. Electrochim. Acta 1996, 41, 2849–2853. [Google Scholar] [CrossRef]
- Kwok, C.T.; Man, H.C.; Leung, L.K. Effect of temperature, pH and sulphide on the cavitation erosion behaviour of super duplex stainless steel. Wear 1997, 211, 84–93. [Google Scholar] [CrossRef]
- Cieślik, M.; Engvall, K.; Pan, J.; Kotarba, A. Silane–parylene coating for improving corrosion resistance of stainless steel 316L implant material. Corros. Sci. 2011, 53, 296–301. [Google Scholar] [CrossRef]
- Ye, W.; Li, Y.; Wang, F. Effects of nanocrystallization on the corrosion behavior of 309 stainless steel. Electrochim. Acta 2006, 51, 4426–4432. [Google Scholar] [CrossRef]
- Evans, T.E. The mechanism of colored film on stainless steels. Corros. Sci. 1977, 17, 105–109. [Google Scholar] [CrossRef]
- Xu, J.; Bai, X.; He, F.; Fan, Y. The growth mechanism of the colored film on the stainless steel studied by 18o tracing and nuclear reaction analysis. Nucl. Instrum. Methods Phys. Res. 1999, 149, 147–152. [Google Scholar] [CrossRef]
- Zhao, J.F. University Physics, 5th ed.; Beijing University of Posts and Telecommunications Press: Beijing, China, 2017; pp. 154–156. [Google Scholar]
- Panjan, M.; Klanjšek Gunde, M.; Panjan, P.; Čekada, M. Designing the color of AlTiN hard coating through interference effect. Surf. Coat. Technol. 2014, 254, 65–72. [Google Scholar] [CrossRef]
- Aguilar-Morales, A.I.; Alamri, S.; Lasagni, A.F. Micro-fabrication of high aspect ratio periodic structures on stainless steel by picosecond direct laser interference patterning. J. Mater. Process. Technol. 2018, 252, 313–321. [Google Scholar] [CrossRef]
© 2020 by the authors. Licensee MDPI, Basel, Switzerland. This article is an open access article distributed under the terms and conditions of the Creative Commons Attribution (CC BY) license (http://creativecommons.org/licenses/by/4.0/).










