Metal Foam Electrode as a Cathode for Copper Electrowinning
Abstract
1. Introduction
2. Materials and Methods
2.1. Materials and Sample Preparation
2.2. Instrumentation and Methodology
3. Results and Discussion
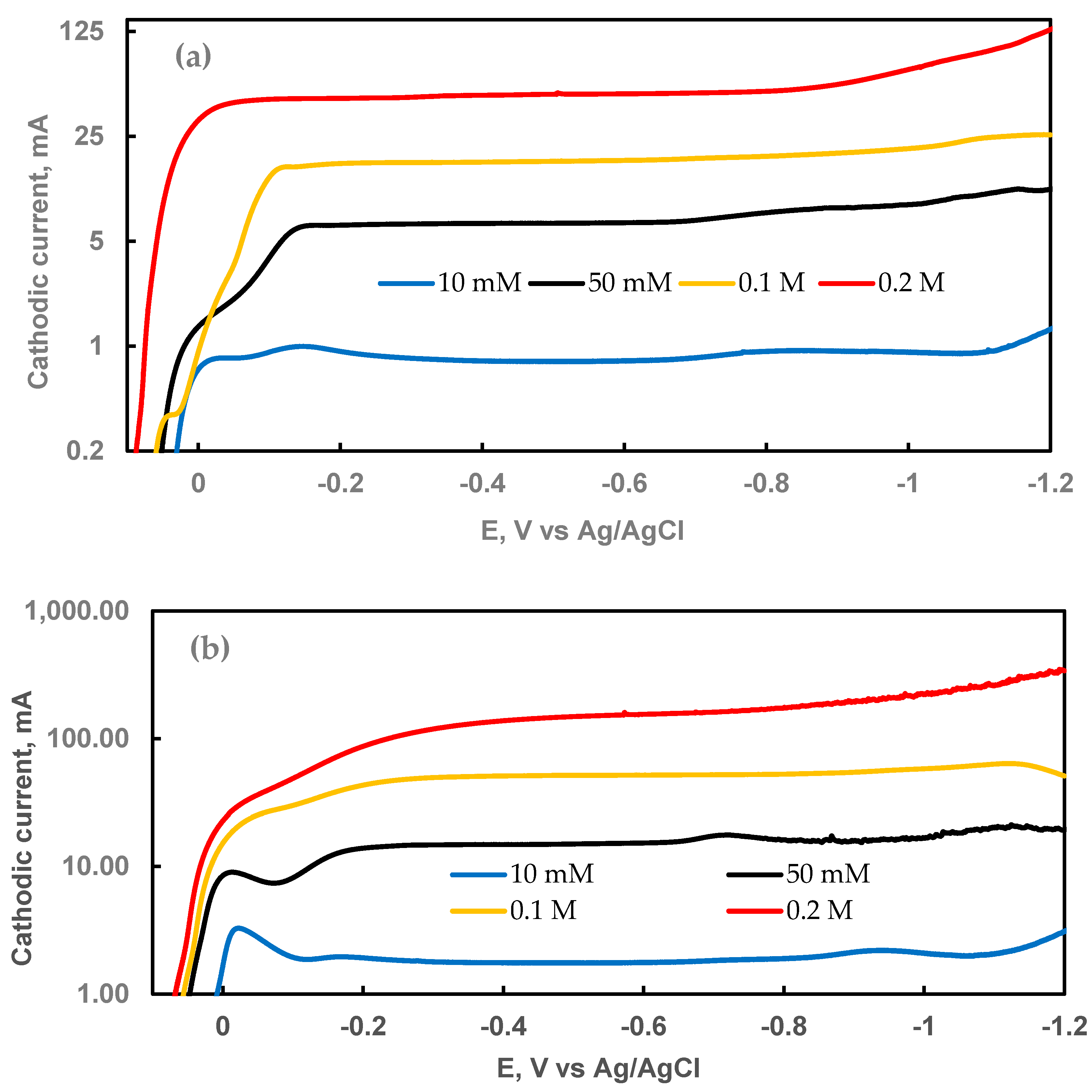
3.1. Copper Foam Characterization
3.2. Surface Area and Diffusion Rate Estimations
4. Conclusions
Author Contributions
Funding
Conflicts of Interest
References
- Liu, X.; Tanaka, M.; Matsui, Y. Generation amount prediction and material flow analysis of electronic waste: A case study in Beijing, China. Waste Manag. Res. 2006, 24, 434–445. [Google Scholar] [CrossRef] [PubMed]
- Jain, A.; Sareen, R. E-waste assessment methodology and validation in India. J. Mater. Cycles Waste Manag. 2006, 8, 40–45. [Google Scholar] [CrossRef]
- Eurostat, Statistics Explained. Available online: https://ec.europa.eu/eurostat/statistics-explained/index.php/Waste_statistics_-_electrical_and_electronic_equipment (accessed on 7 August 2020).
- Vegliò, F.; Quaresima, R.; Fornari, P.; Ubaldini, S. Recovery of valuable metals from electronic and galvanic industrial wastes by leaching and electrowinning. Waste Manag. 2003, 23, 245–252. [Google Scholar] [CrossRef]
- Grimshaw, P.; Calo, J.M.; Hradil, G. Cyclic electrowinning/precipitation (CEP) system for the removal of heavy metal mixtures from aqueous solutions. Chem. Eng. J. 2011, 175, 103–109. [Google Scholar] [CrossRef] [PubMed]
- Bertuol, D.A.; Amado, F.D.R.; Veit, H.; Ferreira, J.Z.; Bernardes, A.M. Recovery of nickel and cobalt from spent nimh batteries by electrowinning. Chem. Eng. Technol. 2012, 35, 2084–2092. [Google Scholar] [CrossRef]
- Kim, J.H.; Kim, R.H.; Kwon, H.S. Preparation of copper foam with 3-dimensionally interconnected spherical pore network by electrodeposition. Electrochem. Commun. 2008, 10, 1148–1151. [Google Scholar] [CrossRef]
- Niu, J.; Liu, X.; Xia, K.; Xu, L.; Xu, Y.; Fang, X.; Lu, W. Effect of electrodeposition parameters on the morphology of three-dimensional porous copper foams. Int. J. Electrochem. Sci. 2015, 10, 7331–7340. [Google Scholar]
- Shahbazi, P.; Kiani, A. Fabricated Cu2O porous foam using electrodeposition and thermal oxidation as a photocatalyst under visible light toward hydrogen evolution from water. Int. J. Hydrogen Energy 2016, 41, 17247–17256. [Google Scholar] [CrossRef]
- Shin, H.C.; Dong, J.; Liu, M. Nanoporous structures prepared by an electrochemical deposition process. Adv. Mater. 2003, 15, 1610–1614. [Google Scholar] [CrossRef]
- Zhang, W.; Ding, C.; Wang, A.; Zeng, Y. 3-D Network pore structures in copper foams by electrodeposition and hydrogen bubble templating mechanism. J. Electrochem. Soc. 2015, 162, D365–D370. [Google Scholar] [CrossRef]
- Nam, D.; Kim, R.; Han, D.; Kim, J.; Kwon, H. Effects of (NH4)2SO4 and BTA on the nanostructure of copper foam prepared by electrodeposition. Electrochim. Acta 2011, 56, 9397–9405. [Google Scholar] [CrossRef]
- Li, D.; Podlaha, E.J. Template-assisted electrodeposition of porous Fe–Ni–Co nanowires with vigorous hydrogen evolution. Nano Lett. 2019, 19, 3569–3574. [Google Scholar] [CrossRef] [PubMed]
- Raoof, J.B.; Ojani, R.; Kiani, A.; Rashid-Nadimi, S. Fabrication of highly porous Pt coated nanostructured Cu-foam modified copper electrode and its enhanced catalytic ability for hydrogen evolution reaction. Int. J. Hydrogen Energy 2010, 35, 452–458. [Google Scholar] [CrossRef]
- Luo, Z.-H.; Feng, M.; Lu, H.; Kong, X.-X.; Cao, G.-P. Nitrile butadiene rubber hydrogenation over a monolithic Pd/CNTs@Nickel foam catalysts: Tunable CNTs morphology effect on catalytic performance. Ind. Eng. Chem. Res. 2019, 58, 1812–1822. [Google Scholar] [CrossRef]
- Ashby, M.F.; Evans, A.; Fleck, N.A.; Gibson, L.J.; Hutchinson, J.W.; Wadley, H.N. Metal foams: A design guide. Mater. Des. 2002, 23, 119. [Google Scholar] [CrossRef]
- Abdel-karim, R.; El-raghy, S. Electrochemical Deposition of Nanoporous Metallic Foams for Energy Applications. pp. 69–91. Available online: http://www.onecentralpress.com/wp-content/uploads/2017/08/Chapter-4-AMA-.pdf (accessed on 22 August 2020).
- Eugénio, S.; Demirci, U.B.; Silva, T.M.; Carmezim, M.J.; Montemor, M.F. Copper-cobalt foams as active and stable catalysts for hydrogen release by hydrolysis of sodium borohydride. Int. J. Hydrogen Energy 2016, 41, 8438–8448. [Google Scholar] [CrossRef]
- Liu, W.; Hu, E.; Jiang, H.; Xiang, Y.; Weng, Z.; Li, M.; Fan, Q.; Yu, X.; Altman, E.I.; Wang, H. A highly active and stable hydrogen evolution catalyst based on pyrite-structured cobalt phosphosulfide. Nat. Commun. 2016, 7, 10771. [Google Scholar] [CrossRef]
- Lange, G.A.; Eugénio, S.; Duarte, R.G.; Silva, T.M.; Carmezim, M.J.; Montemor, M.F. Characterisation and electrochemical behaviour of electrodeposited Cu–Fe foams applied as pseudocapacitor electrodes. J. Electroanal. Chem. 2015, 737, 85–92. [Google Scholar] [CrossRef]
- Murakami, T.; Akagi, T.; Kasai, E. Development of porous iron based material by slag foaming and its reduction. Procedia Mater. Sci. 2014, 4, 30–35. [Google Scholar] [CrossRef]
- Kelpšaite, I.; Baltrušaitis, J.; Valatka, E. Electrochemical deposition of porous cobalt oxide films on AISI 304 type steel. Medziagotyra 2011, 17, 236–243. [Google Scholar]
- Mattarozzi, L.; Cattarin, S.; Comisso, N.; Gerbasi, R.; Guerriero, P.; Musiani, M.; Vazquez-Gomez, L.; Verlato, E. Electrodeposition of Cu-Ni alloy electrodes with bimodal porosity and their use for nitrate reduction. ECS Electrochem. Lett. 2013, 2, D58–D60. [Google Scholar] [CrossRef]
- Rehman, T.U.; Ali, H.M.; Saieed, A.; Pao, W.; Ali, M. Copper foam/PCMs based heat sinks: An experimental study for electronic cooling systems. Int. J. Heat Mass Transf. 2018, 127, 381–393. [Google Scholar] [CrossRef]
- Zhao, J.; Zou, X.; Sun, P.; Cui, G. Three-dimensional Bi-continuous nanoporous Gold/Nickel foam supported MnO2 for high performance supercapacitors. Sci. Rep. 2017, 7, 1–8. [Google Scholar] [CrossRef] [PubMed]
- Liu, Y.; Hangarter, C.M.; Garcia, D.; Moffat, T.P. Self-terminating electrodeposition of ultrathin Pt films on Ni: An active, low-cost electrode for H2 production. Surf. Sci. 2015, 631, 141–154. [Google Scholar] [CrossRef]
- Vainoris, M.; Tsyntsaru, N.; Cesiulis, H. Modified electrodeposited cobalt foam coatings as sensors for detection of free chlorine in water. Coatings 2019, 9, 306. [Google Scholar] [CrossRef]
- Ma, S.; Zhou, H.C. Gas storage in porous metal-organic frameworks for clean energy applications. Chem. Commun. 2010, 46, 44–53. [Google Scholar] [CrossRef] [PubMed]
- Karimi Shervedani, R.; Lasia, A. Evaluation of the surface roughness of microporous Ni–Zn–P electrodes by in situ methods. J. Appl. Electrochem. 1999, 29, 979–986. [Google Scholar] [CrossRef]
- Popov, K.I.; Nikolić, N.D.; Živković, P.M.; Branković, G. The effect of the electrode surface roughness at low level of coarseness on the polarization characteristics of electrochemical processes. Electrochim. Acta 2010, 55, 1919–1925. [Google Scholar] [CrossRef]
- Miranda-Hernández, M.; González, I.; Batina, N. Silver electrocrystallization onto carbon electrodes with different surface morphology: Active sites vs surface features. J. Phys. Chem. B 2001, 105, 4214–4223. [Google Scholar] [CrossRef]
- Menshykau, D.; Streeter, I.; Compton, R.G. Influence of electrode roughness on cyclic voltammetry. J. Phys. Chem. C 2008, 112, 14428–14438. [Google Scholar] [CrossRef]
- Kostevšek, N.; Rožman, K.Ž.; Pečko, D.; Pihlar, B.; Kobe, S. 33NN A comparative study of the electrochemical deposition kinetics of iron-palladium alloys on a flat electrode and in a porous alumina template. Electrochim. Acta 2014, 125, 320–329. [Google Scholar] [CrossRef]
- Gira, M.J.; Tkacz, K.P.; Hampton, J.R. Physical and electrochemical area determination of electrodeposited Ni, Co, and NiCo thin films. Nano Converg. 2015, 3, 6. [Google Scholar] [CrossRef] [PubMed]
- Zankowski, S.P.; Vereecken, P.M. Electrochemical determination of porosity and surface area of thin films of interconnected nickel nanowires. J. Electrochem. Soc. 2019, 166, D227–D235. [Google Scholar] [CrossRef]
- Tadros, T.F.; Lyklema, J. Adsorption of potential—determining ions at the silica—aqueous electrolyte interface and the role of some cations. J. Electroanal. Chem. Interf. Electrochem. 1968, 17, 267–275. [Google Scholar] [CrossRef]
- Schneider, I.A.; Kramer, D.; Wokaun, A.; Scherer, G.G. Effect of inert gas flow on hydrogen underpotential deposition measurements in polymer electrolyte fuel cells. Electrochem. Commun. 2007, 9, 1607–1612. [Google Scholar] [CrossRef]
- Green, C.L.; Kucernak, A. Determination of the platinum and ruthenium surface areas in platinum-ruthenium alloy electrocatalysts by underpotential deposition of Copper. I. Unsupported catalysts. J. Phys. Chem. B 2002, 106, 1036–1047. [Google Scholar] [CrossRef]
- Yamaguchi, R.; Kurosu, S.; Suzuki, M. Hydroxyl radical generation by zero-valent iron/Cu (ZVI/Cu) bimetallic catalyst in wastewater treatment: Heterogeneous Fenton/Fenton-like reactions by Fenton reagents formed in-situ under oxic conditions. Chem. Eng. J. 2018, 334, 1537–1549. [Google Scholar] [CrossRef]
- Macht, F.; Eusterhues, K.; Pronk, G.J.; Totsche, K.U. Specific surface area of clay minerals: Comparison between atomic force microscopy measurements and bulk-gas (N2) and -liquid (EGME) adsorption methods. Appl. Clay Sci. 2011, 53, 20–26. [Google Scholar] [CrossRef]
- Sharifi-Viand, A.; Mahjani, M.G.; Jafarian, M. Determination of fractal rough surface of polypyrrole film: AFM and electrochemical analysis. Synth. Met. 2014, 191, 104–112. [Google Scholar] [CrossRef]
- Wongmanerod, C.; Zangooie, S.; Arwin, H. Determination of pore size distribution and surface area of thin porous silicon layers by spectroscopic ellipsometry. Appl. Surf. Sci. 2001, 172, 117–125. [Google Scholar] [CrossRef]
- Damian, A.; Omanovic, S. Ni and Ni{single bond}Mo hydrogen evolution electrocatalysts electrodeposited in a polyaniline matrix. J. Power Sources 2006, 158, 464–476. [Google Scholar] [CrossRef]
- Kandalkar, S.G.; Lee, H.M.; Chae, H.; Kim, C.K. Structural, morphological, and electrical characteristics of the electrodeposited cobalt oxide electrode for supercapacitor applications. Mater. Res. Bull. 2011, 46, 48–51. [Google Scholar] [CrossRef]
- Song, H.; Song, H.; Jung, Y.; Jung, Y.; Lee, K.; Lee, K.; Dao, L.H.; Dao, L.H. Electrochemical impedance spectroscopy of porous electrodes: The effect of pore size distribution. Electrochim. Acta 1999, 44, 3513–3519. [Google Scholar] [CrossRef]
- Ogihara, N.; Itou, Y.; Sasaki, T.; Takeuchi, Y. Impedance spectroscopy characterization of porous electrodes under different electrode thickness using a symmetric cell for high-performance lithium-ion batteries. J. Phys. Chem. C 2015, 119, 4612–4619. [Google Scholar] [CrossRef]
- Yan, B.; Li, M.; Li, X.; Bai, Z.; Dong, L.; Li, D. Electrochemical impedance spectroscopy illuminating performance evolution of porous core-shell structured nickel/nickel oxide anode materials. Electrochim. Acta 2015, 164, 55–61. [Google Scholar] [CrossRef]
- Kaufmann, B.Y.K. Transfer function simulation for electrochemical impedance spectroscopy (EIS). Rev. Colomb. Fis. 2005, 37, 25–27. [Google Scholar]
- Mahato, N.; Singh, M.M. Investigation of passive film properties and pitting resistance of AISI 316 in aqueous ethanoic acid containing chloride ions using electrochemical impedance spectroscopy(EIS). Port. Electrochim. Acta 2011, 29, 233–251. [Google Scholar] [CrossRef]
- Hsu, C.H.; Mansfeld, F. concerning the conversion of the constant phase element parameter Y0 into a capacitance. Corrosion 2001, 57, 747–748. [Google Scholar] [CrossRef]
- Krzewska, S. Impedance investigation of the mechanism of copper electrodeposition from acidic perchlorate electrolyte. Electrochim. Acta 1997, 42, 3531–3540. [Google Scholar] [CrossRef]
- Halsey, T.C. Frequency dependence of the double-layer impedance at a rough surface. Phys. Rev. A 1987, 35, 3512–3521. [Google Scholar] [CrossRef]
- Hirschorn, B.; Orazem, M.E.; Tribollet, B.; Vivier, V.; Frateur, I.; Musiani, M. Determination of effective capacitance and film thickness from constant-phase-element parameters. Electrochim. Acta 2010, 55, 6218–6227. [Google Scholar] [CrossRef]









| c(CuSO4), M | c(Na2SO4), M | pH |
|---|---|---|
| 0.01 | 0.49 | 3.6 |
| 0.05 | 0.45 | 3.6 |
| 0.1 | 0.4 | 3.7 |
| 0.2 | 0.3 | 4.1 |
| Cu Plate | Cu Foam | ||||
|---|---|---|---|---|---|
| E, V versus Ag/AgCl | Deposition Time (s) | Cu Deposition Rate (mg/min) | E, V versus Ag/AgCl | Deposition Time (s) | Cu Deposition Rate (mg/min) |
| −0.1 | 1763 | 0.33 | −0.1 | 643 | 0.94 |
| −0.2 | 1681 | 0.35 | −0.2 | 574 | 1.1 |
| −0.4 | 1603 | 0.36 | −0.4 | 593 | 1.0 |
| −0.6 | 1571 | 0.37 | −0.6 | 518 | 1.2 |
| Cu Plate | 0.2 M CuSO4 + 0.3 M Na2SO4 | 0.1 M CuSO4 + 0.4 M Na2SO4 | 0.05 M CuSO4 + 0.45 M Na2SO4 | 0.01 M CuSO4 + 0.49 M Na2SO4 |
|---|---|---|---|---|
| C(DL), µF | 40.5 | 49.3 | 41.9 | 56.4 |
| R(CT), Ω | 2.98 | 8.76 | 7.44 | 54.66 |
| CPE(W) | 0.0696 | 0.0260 | 0.0285 | 0.00247 |
| R(Diff), Ω | 233.4 | 319.3 | 199.6 | 663.7 |
| Cu Foam | – | |||
| C(DL), µF | 299.2 | 513.5 | 456.6 | 754.1 |
| R(CT), Ω | 2.39 | 6.65 | 6.74 | 122.20 |
| CPE(W) | 0.2033 | 0.0748 | 0.0668 | 0.0039 |
| R(Diff), Ω | 14.9 | 74.9 | 83.3 | 1551.0 |
| Applied Current | Effective Diffusion Coefficient | |
|---|---|---|
| Plate | Foam | |
| I, mA | 106 D, cm2·s−1 | 106 D, cm2·s−1 |
| −10 | 6.79 | 18.06 |
| −12 | 6.72 | 19.70 |
| −14 | 6.73 | 20.16 |
| −16 | 6.62 | 20.77 |
| Average Deff | 6.72 | 19.67 |
© 2020 by the authors. Licensee MDPI, Basel, Switzerland. This article is an open access article distributed under the terms and conditions of the Creative Commons Attribution (CC BY) license (http://creativecommons.org/licenses/by/4.0/).
Share and Cite
Vainoris, M.; Cesiulis, H.; Tsyntsaru, N. Metal Foam Electrode as a Cathode for Copper Electrowinning. Coatings 2020, 10, 822. https://doi.org/10.3390/coatings10090822
Vainoris M, Cesiulis H, Tsyntsaru N. Metal Foam Electrode as a Cathode for Copper Electrowinning. Coatings. 2020; 10(9):822. https://doi.org/10.3390/coatings10090822
Chicago/Turabian StyleVainoris, Modestas, Henrikas Cesiulis, and Natalia Tsyntsaru. 2020. "Metal Foam Electrode as a Cathode for Copper Electrowinning" Coatings 10, no. 9: 822. https://doi.org/10.3390/coatings10090822
APA StyleVainoris, M., Cesiulis, H., & Tsyntsaru, N. (2020). Metal Foam Electrode as a Cathode for Copper Electrowinning. Coatings, 10(9), 822. https://doi.org/10.3390/coatings10090822

