Functionalized Carbon Nanotubes for Chemical Sensing: Electrochemical Detection of Hydrogen Isotopes
Abstract
:1. Introduction
2. Materials and Methods
2.1. Materials
Deposition of Pd Nanoparticles onto MWCNT–OH Substrate
2.2. Electrochemical Characterization
2.2.1. Preparation of the Modified Electrode
2.2.2. Experimental Set-up for the Electrochemical Characterization
2.3. Characterization Methods
3. Results and Discussion
3.1. Pd/MWCNT Morphology
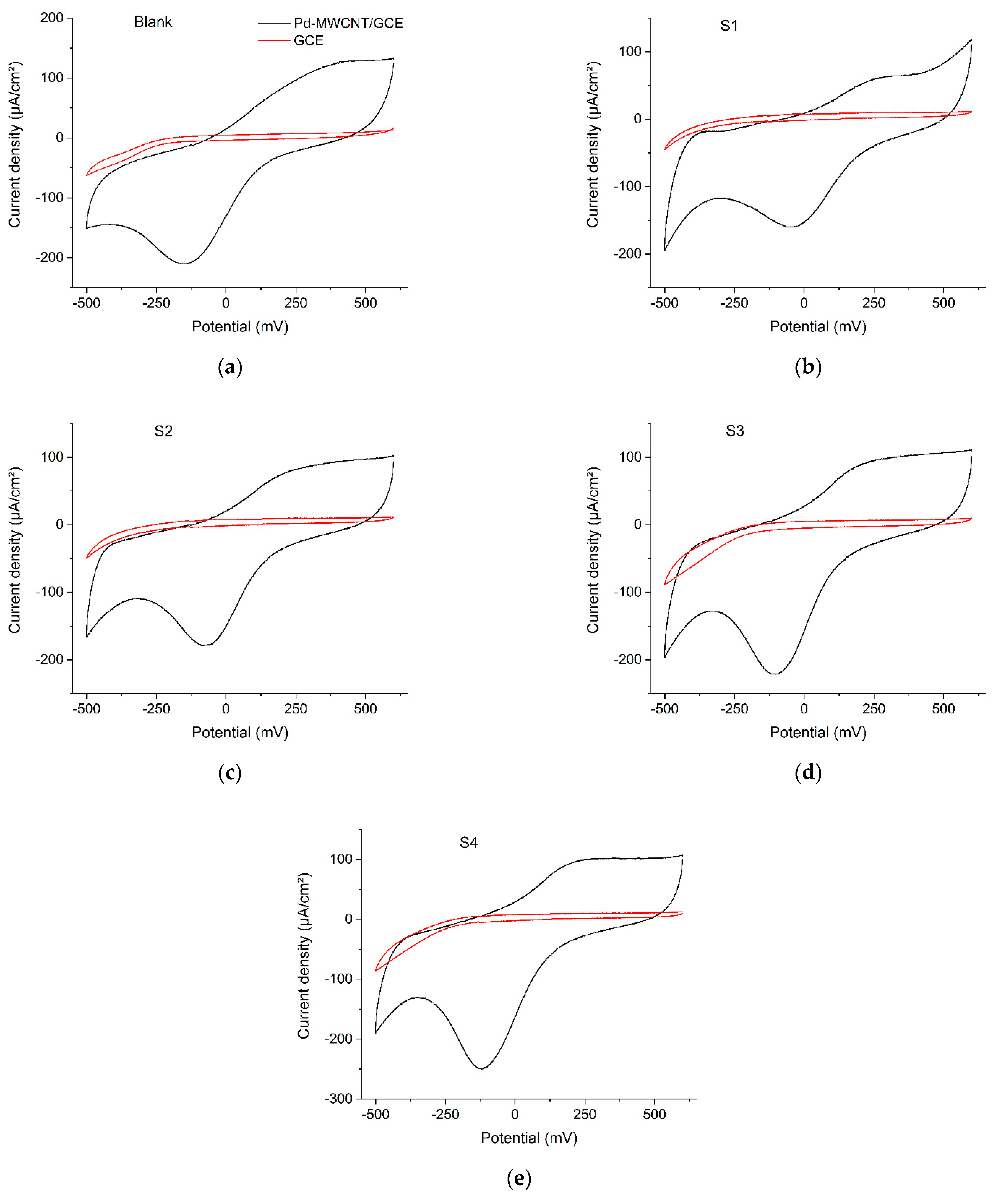
3.2. Electrochemical Characterization of Pd/MWCNT in Deuterated Water
4. Conclusions
Author Contributions
Funding
Institutional Review Board Statement
Informed Consent Statement
Data Availability Statement
Acknowledgments
Conflicts of Interest
References
- Lozada-Hidalgo, M.; Zhang, S.; Hu, S.; Esfandiar, A.; Grigorieva, I.V.; Geim, A.K. Scalable and efficient separation of hydrogen isotopes using graphene-based electrochemical pumping. Nat. Commun. 2017, 8, 15215. [Google Scholar] [CrossRef] [PubMed] [Green Version]
- Miles, M.H.; Johnson, K.B.; Imam, M.A. Electrochemical loading of hydrogen and deuterium into palladium and palladium-boron alloys. In Sixth International Conference on Cold Fusion, Progress in New Hydrogen Energy; New Energy and Industrial Technology Development Organization: Lake Toya, Japan; Tokyo Institute of Technology: Tokyo, Japan, 1996. [Google Scholar]
- Denuault, G.; Milhano, C.; Pletcher, D. Mesoporous Palladium—The surface electrochemistry of palladium in aqueous sodium hydroxide and the cathodic reduction of nitrite. Phys. Chem. Chem. Phys. 2005, 7, 3545–3551. [Google Scholar] [CrossRef] [PubMed]
- Petrăşescu, L.; Ciupină, V.; Tutun, Ş.G.; Vlădoiu, R.; Prodan, G.; Poroşnicu, C.; Vasile, E.; Prioteasa, I.; Manu, R. Carbon—Platinum nanostructured catalysts for hydrogen fuel cells. J. Optoelectron. Adv. M. 2015, 17, 1464–1470. [Google Scholar]
- Grigorescu, C.E.A.; Zoita, C.N.; Sobetkii, A.; Iordache, A.-M.; Iordache, S.-M.; Stefan, C.R.; Rusu, M.I.; Tortet, L.; Tonetto, A. Multinary metal alloys of the Heusler, half-Heusler, dilute magnetic semiconductors, and high entropy families: How would spin make a choice? J. Optoelectron. Adv. M. 2020, 22, 647–652. [Google Scholar]
- Grdeń, M.; Kotowski, J.; Czerwinski, A. The study of electrochemical palladium behavior using the quartz crystal microbalance. J. Solid State Electrochem. 2000, 4, 273–278. [Google Scholar] [CrossRef]
- Grdeń, M.; Łukaszewski, M.; Jerkiewicz, G.; Czerwiński, A. Electrochemical behaviour of palladium electrode: Oxidation, electrodissolution and ionic adsorption. Electrochim. Acta 2008, 53, 7583–7598. [Google Scholar] [CrossRef]
- Pujol, L.; Evrard, D.; Serrano, K.G.; Freyssinier, M.; Ruffien-Cizsak, A.; Gros, P. Electrochemical sensors and devices for heavy metals assay in water: The French groups’ contribution. Front. Chem. 2014, 2, 19. [Google Scholar] [CrossRef] [PubMed] [Green Version]
- Jaksic, M.; Johansen, B.; Tunold, R. Electrochemical behaviour of palladium in acidic and alkaline solutions of heavy and regular water. Int. J. Hydrog. Energy 1993, 18, 111–124. [Google Scholar] [CrossRef]
- Iordache, S.M.; Ionete, E.I.; Iordache, A.M.; Tanasa, E.; Stamatin, I.; Grigorescu, C.E.A. Pd-decorated CNT as sensitive material for applications in hydrogen isotopes sensing - Application as gas sensor. Int. J. Hydrog. Energy 2021, 46, 11015–11024. [Google Scholar] [CrossRef]
- Iordache, A.-M.; Rizea, C.; Giuglea, C.; Zoita, C.N.; Stamatin, I.; Iordache, S.M.; Stefan, C.R.; Rusu, M.I.; Tortet, L.; Tonetto, A.; et al. Grigorescu, Preparation and Study of Core Shell Fe3O4/Au Nanoparticles for Traceability of Blood Vessels and Biosensing by Surface Enhanced Raman Spectroscopy. In Proceedings of the 2020 22nd International Conference on Transparent Optical Networks (ICTON), Bari, Italy, 19-23 July 2020; 2020; pp. 1–4. [Google Scholar] [CrossRef]
- Kim, C.; Hsieh, Y.-L. Wetting and absorbency of nonionic surfactant solutions on cotton fabrics. Colloids Surf. A Physicochem. Eng. Asp. 2001, 187–188, 385–397. [Google Scholar] [CrossRef]
- National Center for Biotechnology Information. PubChem Compound Summary. Available online: https://pubchem.ncbi.nlm.nih.gov/ (accessed on 1 July 2021).
- Japan Nuclear Cycle Development Institute. Thermodynamic Data for the Speciation and Solubility of Pd, Pb, Sn, Sb, Nb and Bi in Aqueous Solution. 1999. Available online: https://inis.iaea.org/search/search.aspx?orig_q=RN:31009694 (accessed on 1 July 2021).
- Girault, H.H. Analytical and Physical Electrochemistry; EPFL: Lausanne, Switzerland, 2004. [Google Scholar]
- Schuldiner, S.; Hoare, J.P. Mechanisms of Hydrogen Producing Reactions on Palladium, V. The Deuterium-Palladium System. J. Electrochem. Soc. 1958, 105, 278. [Google Scholar] [CrossRef]
- Cincotto, F.H.; Golinelli, D.L.; Machado, S.A.; Moraes, F.C. Electrochemical sensor based on reduced graphene oxide modified with palladium nanoparticles for determination of desipramine in urine samples. Sens. Actuators B Chem. 2017, 239, 488–493. [Google Scholar] [CrossRef]
- Zhang, Y.; Huang, B.; Ye, J.; Ye, J. A sensitive and selective amperometric hydrazine sensor based on palladium nanoparticles loaded on cobalt-wrapped nitrogen-doped carbon nanotubes. J. Electroanal. Chem. 2017, 801, 215–223. [Google Scholar] [CrossRef]
- Karuppiah, C.; Velmurugan, M.; Chen, S.-M.; Devasenathipathy, R.; Karthik, R.; Wang, S.-F. Electrochemical Activation of Graphite Nanosheets Decorated with Palladium Nanoparticles for High Performance Amperometric Hydrazine Sensor. Electroanalysis 2015, 28, 808–816. [Google Scholar] [CrossRef]
- Devasenathipathy, R.; Mani, V.; Chen, S.-M. Highly selective amperometric sensor for the trace level detection of hydrazine at bismuth nanoparticles decorated graphene nanosheets modified electrode. Talanta 2014, 124, 43–51. [Google Scholar] [CrossRef]





| Sample | Working Electrode | 2H Concentration (ppm) | pH | │Epc│ (mV) | │Epa│ (mV) | Ipc (μA/cm2) | Ipa (μA/cm2) |
|---|---|---|---|---|---|---|---|
| S1 | Pd/MWCNT/GCE | 1120 | 8.24 | 31.6 | 227.5 | 75.648 | 15.046 |
| S2 | Pd/MWCNT/GCE | 2100 | 7.80 | 59 | 234 | 101.226 | 29.4 |
| S3 | Pd/MWCNT/GCE | 5030 | 7.62 | 83.1 | 215 | 128.344 | 35.178 |
| S4 | Pd/MWCNT/GCE | 9880 | 7.47 | 103 | 185 | 154.9 | 41.477 |
| Blank | Pd/MWCNT/GCE | 25 (Qlarivia®) | 7.66 | 144 | 403 | 108.317 | 28.781 |
| GCE | GCE | 25 (Qlarivia®) | - | - | - | - | - |
| Sample Concentration of 2H (ppm) | Dsemicircle (Ω) | Angle (o) |
|---|---|---|
| GCE | - | 64.4 |
| Blank | 105.3 | 64.8 |
| 1120 | 121.3 | 64.85 |
| 2100 | 97.7 | 64.7 |
| 5030 | 95.0 | 63.4 |
| 9880 | 109.3 | 63.09 |
Publisher’s Note: MDPI stays neutral with regard to jurisdictional claims in published maps and institutional affiliations. |
© 2021 by the authors. Licensee MDPI, Basel, Switzerland. This article is an open access article distributed under the terms and conditions of the Creative Commons Attribution (CC BY) license (https://creativecommons.org/licenses/by/4.0/).
Share and Cite
Iordache, S.-M.; Ionete, E.I.; Iordache, A.-M.; Stamatin, I.; Zoita, N.C.; Sobetkii, A.; Grigorescu, C.E.A. Functionalized Carbon Nanotubes for Chemical Sensing: Electrochemical Detection of Hydrogen Isotopes. Coatings 2021, 11, 968. https://doi.org/10.3390/coatings11080968
Iordache S-M, Ionete EI, Iordache A-M, Stamatin I, Zoita NC, Sobetkii A, Grigorescu CEA. Functionalized Carbon Nanotubes for Chemical Sensing: Electrochemical Detection of Hydrogen Isotopes. Coatings. 2021; 11(8):968. https://doi.org/10.3390/coatings11080968
Chicago/Turabian StyleIordache, Stefan-Marian, Eusebiu Ilarian Ionete, Ana-Maria Iordache, Ioan Stamatin, Nicolae Catalin Zoita, Arcadie Sobetkii, and Cristiana Eugenia Ana Grigorescu. 2021. "Functionalized Carbon Nanotubes for Chemical Sensing: Electrochemical Detection of Hydrogen Isotopes" Coatings 11, no. 8: 968. https://doi.org/10.3390/coatings11080968
APA StyleIordache, S.-M., Ionete, E. I., Iordache, A.-M., Stamatin, I., Zoita, N. C., Sobetkii, A., & Grigorescu, C. E. A. (2021). Functionalized Carbon Nanotubes for Chemical Sensing: Electrochemical Detection of Hydrogen Isotopes. Coatings, 11(8), 968. https://doi.org/10.3390/coatings11080968

