Factors Influencing the Droplet Size of Asphalt Emulsion during Fabrication
Abstract
:1. Introduction
2. Materials and Experimental Methods
2.1. Asphalt Emulsions Preparation
2.2. Particle Size Distribution Test
3. Results
3.1. Emulsifier Dosage
3.2. pH Value
3.3. Shear Time
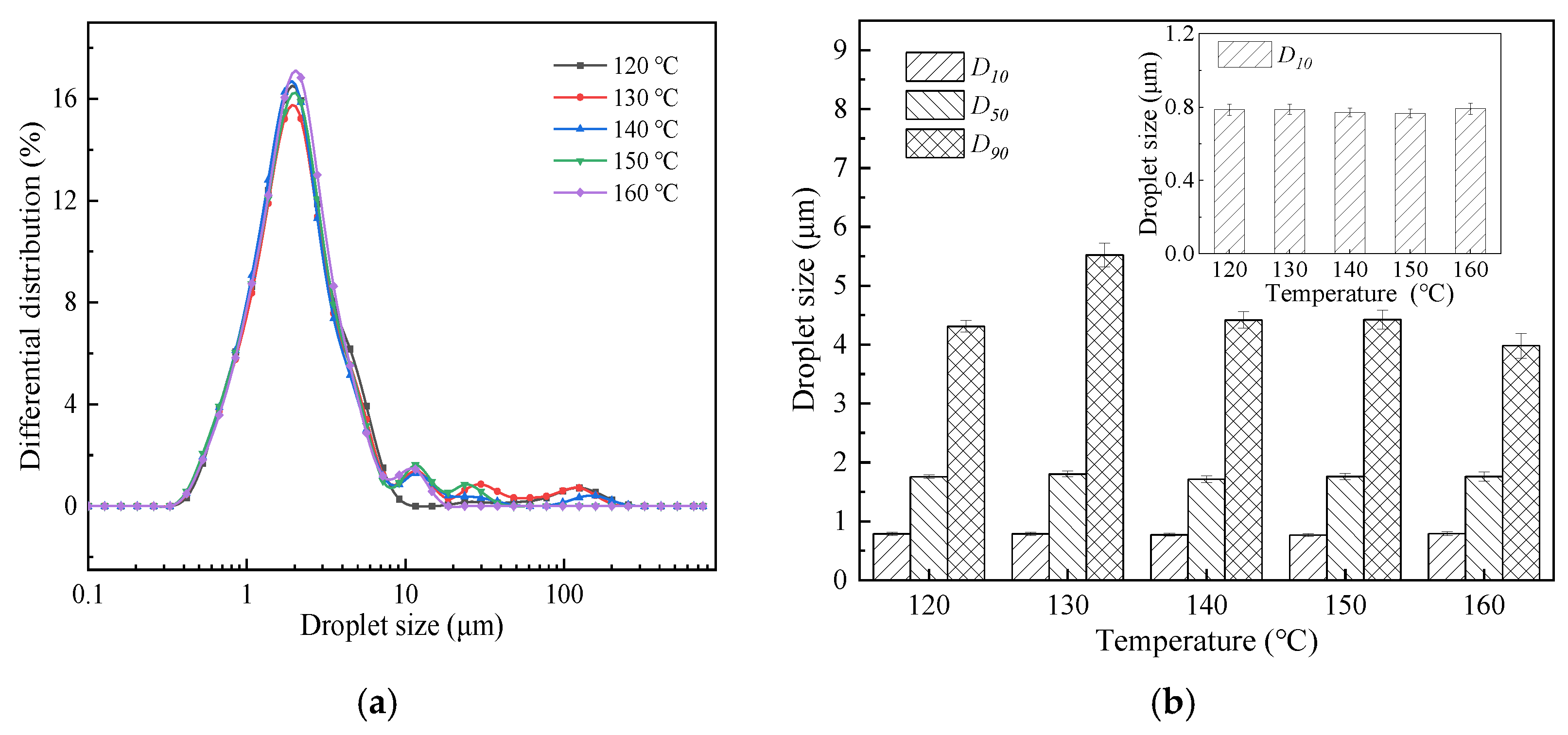
3.4. Asphalt Temperature
3.5. Temperature of Soap Solution
3.6. Validation of Manufacturing Parameters
4. Discussion
4.1. Factors Sensitivity Analysis
4.2. Representative Droplet Size
5. Conclusions
- (1)
- All preparation parameters can affect the droplet size distribution of asphalt emulsion. Specifically, the representative asphalt droplet sizes (D50 and D90) are decreased with the increasing emulsifier dosage. The D50 and D90 are firstly decreased and then increased with the increasing pH value of soap solution, temperature of soap solution and shear time. The representative asphalt droplet sizes are little affected by asphalt temperature.
- (2)
- Factor sensitivity analysis about the representative droplet diameters indicates that the order of factors influencing droplet size distribution is ranked as: emulsifier dosage > temperature of soap solution > pH of soap solution > shear time > asphalt temperature. Emulsifier dosage and temperature of soap solution are main factors influencing the asphalt droplet size distribution, especially for D50.
- (3)
- The D50 and D90 are more easily affected by the fluctuant preparation parameters than the D10 almost for every factor. Therefore, it is recommended to utilize the D50 and D90 to evaluate the emulsifying effect of asphalt emulsion and judge the asphalt droplet size distribution.
Author Contributions
Funding
Institutional Review Board Statement
Informed Consent Statement
Data Availability Statement
Acknowledgments
Conflicts of Interest
References
- Wang, J.; Xiao, F.; Chen, Z.; Li, X.; Amirkhanian, S. Application of tack coat in pavement engineering. Constr. Build. Mater. 2017, 152, 856–871. [Google Scholar] [CrossRef]
- Ouyang, J.; Sun, Y.; Zarei, S. Fabrication of solvent-free asphalt emulsion prime with high penetrative ability. Constr. Build. Mater. 2020, 230, 117020. [Google Scholar] [CrossRef]
- Dong, Q.; Chen, X.; Huang, B.; Gu, X. Analysis of the influence of materials and construction practices on slurry seal performance using LTPP data. J. Transp. Eng. Part B Pavements. 2018, 144, 1–13. [Google Scholar] [CrossRef]
- Luo, Y.; Zhang, K.; Xie, X.; Yao, X. Performance evaluation and material optimization of micro-surfacing based on cracking and rutting resistance. Constr. Build. Mater. 2019, 206, 193–200. [Google Scholar] [CrossRef]
- Ouyang, J.; Yang, W.; Chen, J.; Han, B. Effect of superplasticizer and wetting agent on pavement properties of cold recycled mixture with bitumen emulsion and cement. J. Mater. Civ. Eng. 2020, 32, 1–10. [Google Scholar] [CrossRef]
- Liu, F.; Zheng, M.; Liu, X.; Ding, X.; Wang, F.; Wang, Q. Performance evaluation of waterborne epoxy resin-SBR composite modified emulsified asphalt fog seal. Constr. Build. Mater. 2021, 301, 124106. [Google Scholar] [CrossRef]
- ASTM D244-09; Standard Test Methods and Practices for Emulsified Asphalts. American society for testing and Materials: West Conshohocken, PA, USA, 2017.
- JTG E20-2011; Standard Test Methods of Bitumen and Bituminous Mixtures for Highway Engineering. China Communications Press: Beijing, China, 2011. (In Chinese)
- Wang, F.; Liu, Y.; Zhang, Y.; Hu, S. Experimental study on the stability of asphalt emulsion for CA mortar by laser diffraction technique. Constr. Build. Mater. 2012, 28, 117–121. [Google Scholar] [CrossRef]
- Gutierrez, X.; Silva, F.; Chirinos, M.; Leiva, J.; Rivas, H. Bitumen-in-water emulsions: An overview on formation, stability, and rheological properties. J. Dispers. Sci. Technol. 2002, 23, 405–418. [Google Scholar] [CrossRef]
- Nuñez, G.A.; Sanchez, G.; Gutierrez, X.; Silva, F.; Dalas, C.; Rivas, H. Rheological behavior of concentrated bitumen in water emulsions. Langmuir 2000, 16, 6497–6502. [Google Scholar] [CrossRef]
- Wu, J.; Du, B.; Li, H. Prime coat performance evaluation based on the average particle size of emulsified asphalt. Highway 2016, 61, 265–269. (In Chinese) [Google Scholar]
- Ouyang, J.; Cao, P.; Tang, T.; Meng, Y. Investigation on maximum packing fraction of bitumen particles during emulsion drying. Mater. Struct. 2021, 54, 1–14. [Google Scholar] [CrossRef]
- Li, C.; Ouyang, J.; Dou, F.; Shi, J. Mechanism influencing the drying behavior of bitumen emulsion. Materials 2021, 14, 3878. [Google Scholar] [CrossRef] [PubMed]
- Li, M.; Liu, C.; Liang, C.; Liu, C.; Li, J. Study of bimodal drop size distributions of emulsion. J. Dispers. Sci. Technol. 2014, 35, 397–402. [Google Scholar] [CrossRef]
- Gingras, J.P.; Tanguy, P.A.; Mariotti, S.; Chaverot, P. Effect of process parameters on bitumen emulsions. Chem. Eng. Process. Process Intensif. 2005, 44, 979–986. [Google Scholar] [CrossRef]
- Liu, Z.G.; Zong, L.; Zhao, L.L.; Xie, X.M. Preparation and storage stability of asphalt emulsions made from modified lignin cationic asphalt emulsifiers. Appl. Mech. Mater. 2013, 357–360, 781–785. [Google Scholar] [CrossRef]
- James, A. Overview of asphalt emulsion. Transp. Res. Circ. 2006, 1–15. Available online: https://onlinepubs.trb.org/onlinepubs/circulars/ec102.pdf#page=7 (accessed on 12 March 2022).
- Ouyang, J.; Meng, Y.; Tang, T.; Miljković, M.; Tan, Y. Characterization of the drying behaviour of asphalt emulsion. Constr. Build. Mater. 2021, 274, 122090. [Google Scholar] [CrossRef]
- Barnes, H.A.; Hutton, J.F.; Walters, K. An Introduction to Rheology; Elsevier: Amsterdam, The Netherlands, 1989. [Google Scholar]









| Technical Property | Value |
|---|---|
| Softening point (°C) | 47.5 |
| Penetration at 25 °C (0.1 mm) | 70 |
| Ductility at 15 °C (cm) | >100 |
| Kinetic viscosity at 60 °C (Pa·s) | 227 |
| Groups | Emulsifier Dosage (%) | Shear Time (min) | pH Value | Temperature (°C) | |
|---|---|---|---|---|---|
| Asphalt | Soap | ||||
| 1 | 3, 4, 5 | 1 | 2 | 140 | 55 |
| 2 | 4 | 0.5, 1, 1.5, 2 | 2 | 140 | 55 |
| 3 | 4 | 1 | 1, 2, 3, 4, 5 | 140 | 55 |
| 4 | 4 | 1 | 2 | 120, 130, 140, 150, 160 | 55 |
| 5 | 4 | 1 | 2 | 140 | 45, 55, 65, 70 |
| Parameters | Value | Sensitivity Analysis Range |
|---|---|---|
| Emulsifier dosage (%) | 4 | 3–5 |
| pH value | 2 | 1–3 |
| Shear time (min) | 1 | 0.5–1.5 |
| Asphalt temperature (°C) | 140 | 130–150 |
| Soap solution temperature (°C) | 55 | 45–65 |
Publisher’s Note: MDPI stays neutral with regard to jurisdictional claims in published maps and institutional affiliations. |
© 2022 by the authors. Licensee MDPI, Basel, Switzerland. This article is an open access article distributed under the terms and conditions of the Creative Commons Attribution (CC BY) license (https://creativecommons.org/licenses/by/4.0/).
Share and Cite
Chen, X.; Meng, Y.; Hu, G.; Zhou, J.; Ouyang, J. Factors Influencing the Droplet Size of Asphalt Emulsion during Fabrication. Coatings 2022, 12, 575. https://doi.org/10.3390/coatings12050575
Chen X, Meng Y, Hu G, Zhou J, Ouyang J. Factors Influencing the Droplet Size of Asphalt Emulsion during Fabrication. Coatings. 2022; 12(5):575. https://doi.org/10.3390/coatings12050575
Chicago/Turabian StyleChen, Xiaowei, Yan Meng, Guihua Hu, Ji Zhou, and Jian Ouyang. 2022. "Factors Influencing the Droplet Size of Asphalt Emulsion during Fabrication" Coatings 12, no. 5: 575. https://doi.org/10.3390/coatings12050575
APA StyleChen, X., Meng, Y., Hu, G., Zhou, J., & Ouyang, J. (2022). Factors Influencing the Droplet Size of Asphalt Emulsion during Fabrication. Coatings, 12(5), 575. https://doi.org/10.3390/coatings12050575
