Abstract
Natural polymers, such as starch, and polymers derived from renewable resources, such as vegetable oils, have been considered as alternatives to petroleum-based plastics during recent decades, due to environmental concerns. Indeed, these materials can offer a variety of advantages, such as low cost, wide availability, carbon neutrality, elevated thermal stability, and easily tunable mechanical properties. However, some of these polymers alone exhibit poor mechanical properties, making them not suitable for some applications. Hence, the reinforcement of these bio-based polymers with other materials is often considered to overcome this challenge. In this work, thermosetting composites based on tung and linseed oil resins were prepared using starch as reinforcement. Analyses from Soxhlet extractions showed that the higher the concentration of tung oil in comparison to linseed oil in the resins, the lower the mass of unreacted material, leading to an optimum resin entirely based on tung oil. Dielectric analysis (DEA), differential scanning calorimetry (DSC), and thermogravimetric analysis (TGA) indicated that the polymerization was completed in 3 h 20 min, at 140 °C, and that the composites were thermally stable until 270 °C. Finally, dynamic mechanical analysis (DMA) confirmed that the addition of starch to the resins increased the room temperature storage modulus (E′25) from 94 MPa to 893 MPa. Composites prepared with a resin formulation that did not contain a compatibilizer exhibited E′25 of 441 MPa. The composites investigated in this work are promising candidates for applications that require improved mechanical properties.
1. Introduction
Environmental concerns related to the continued manufacturing of petroleum-based plastics have prompted an emerging demand for bio-based materials. In this context, the development of bio-based resins and composites has gained considerable attention over the course of the last decades [1,2,3,4,5,6,7,8,9,10,11,12,13,14,15]. Recent works have utilized a plethora of natural resources, such as flavonoids [2,3], essential oils [4], aminoacids [5], and vegetable oils to produce resins [6,7,8,9,10,11,12,13,14,15], their curing agents, and composites.
Vegetable oils are particularly interesting for the production of polymers, since they are abundant worldwide and have relatively low cost. From an environmental perspective, the fabrication of materials from vegetable oils leads to a neutral carbon footprint. Indeed, the oils are synthesized by plants, using carbon captured in the form of CO2 from the atmosphere. Therefore, vegetable oil-based polymers that display properties equivalent to their non-renewable counterparts represent a great environmental benefit. From a chemical standpoint, the versatile structure of triglycerides offers a great number of reactive sites per molecule, allowing various chemical pathways for converting a renewable resource into polymeric materials that can be employed as coatings, structural thermosets, or binding agents for particle boards [16]. More specifically, the carbon–carbon double bonds of unsaturated oils can be modified by a great variety of traditional addition reactions, leading to new functional groups capable of participating in polymerization reactions [16]. These carbon–carbon double bonds can also undergo direct free radical or cationic co-polymerization, leading to polymers with interesting thermal and mechanical properties that can be tuned by the choice and content of co-polymers to match or supersede their non-renewable counterparts [16]. Finally, hydrolysis or transesterification of triglycerides leads to free fatty acids and esters, respectively, which can also be used as monomers for the preparation of bio-based polymers [16].
In fact, the utilization of vegetable oils for industrial purposes, including the production of polymers, had an increase of 64.5% from 2009 to 2019 [17]. Tung oil, composed of approximately 80% of α-eleostearic acid (Figure 1a) [18], and linseed oil, composed of mainly unsaturated fatty acids—linolenic acid (55%), linoleic acid (17%), and oleic acid (18%) (Figure 1b–d) [19]—are particularly interesting raw materials for the synthesis of bio-based polymeric resins. The presence of multiple carbon–carbon double bonds in their chemical structures make them ideal for cationic, thermal, or free radical polymerizations, leading to crosslinked materials [20,21,22,23].
Figure 1.
Chemical structures of (a) α-eleostearic acid, (b) linolenic acid, (c) linoleic acid, (d) oleic acid, (e) amylose, (f) amylopectin, and (g) a generic chemical representation of asolectin from soybeans.
Despite all their advantages, tung and linseed oil resins exhibit poor mechanical properties, making them uncompetitive with traditional petroleum-based polymers [24,25,26,27,28,29]. Thus, it is imperative to reinforce them with a proper material to widen their application prospects. In the context of bio-based resins, it is desirable to use renewable materials as reinforcements in order to produce fully bio-based composites [24,25,26,30]. Starch, a natural polymer, consisting of amylose and amylopectin (Figure 1), is a promising candidate for the reinforcement of vegetable oil-based resins, as well demonstrated in the literature [1,31]. Despite having low mechanical properties [32], starch presents advantages such as low cost and biodegradability, and it has been used in the production of composites with other bio-based polymers, such as polylactic acid (PLA) [33,34], and polycaprolactone (PCL) [35,36,37]. Additionally, it is known that the presence of moisture leads to considerable negative impacts on the mechanical properties of starch [34]. Hence, its mechanical properties can be significantly enhanced simply by drying it [31].
During the synthesis of composites, the reinforcement must be able to disperse into the matrix in order to yield a homogeneous material. However, vegetable oils are hydrophobic, while carbohydrates, such as cellulose and starch, bearing multiple hydroxyl groups, are notoriously known for being highly hydrophilic [38]. Indeed, as discussed in more detail below, pure starch contains approximately 10 wt.% of moisture. Dried starch promptly absorbs moisture from the atmosphere immediately after drying, as observed on the DSC and TGA curves of pure starch. Therefore, starch and vegetable oil-based resins are inherently incompatible with one another. Previous works addressing this challenge have been reported in the literature [27,28]. Asolectin from soybean oil (Figure 1g), a mixture of natural polyunsaturated phospholipids, was proven to be an effective compatibilizer agent between a tung oil resin and α-cellulose [28]. Therefore, it is believed that asolectin could also promote a good compatibilization between vegetable oil resin and starch, due to the chemical similarities between the latter and cellulose.
In this study, starch-reinforced composites from tung and linseed oils were prepared via free radical initiation and thermal polymerization, using asolectin as a compatibilizer. The thermosetting resin composition was defined by previous studies, and the ideal filler load was assessed by preliminary tests. Soxhlet extraction was performed to determine the optimal composite composition. The cure schedule was evaluated by dielectric analysis (DEA). The thermal properties of the composites were investigated by thermogravimetric analysis (TGA) and differential scanning calorimetry (DSC). Dynamic mechanical analysis (DMA) experiments were performed to assess the thermo-mechanical properties of the composites and analyze the effects of asolectin and the drying treatment of starch prior to its incorporation in the matrix. The novelty of the current work lies in the optimization of a primarily bio-based composite, using renewable resources (tung oil, starch, asolectin) without any further chemical modification, for the preparation of materials with good thermal stability and thermo-mechanical behavior.
2. Experimental
2.1. Materials
Starch, asolectin (ASO), tung oil (TO), linseed oil (LO), n-butyl methacrylate (BMA), and di-tert butyl peroxide (DTBP) were purchased from Sigma-Aldrich (St. Louis, MO, USA). Divinylbenzene (DVB) was acquired from TCI America (Portland, OR, USA). All commercial grade reagents were used as received, without any further purification.
2.2. Synthesis of Starch-Reinforced/Plant Oil Composite
In a 20 mL scintillation vial, 0.6 g of BMA, 0.4 g of DVB, 8.0 g of starch, and selected amounts of plant oil (tung and/or linseed oils) and ASO (as indicated in Table 1) were added. After capping the vial, the components were vortexed for 30 s, leading to a homogeneous mixture. Then, 0.1 g of the free radical initiator DTBP was then added to the vial, and the mixture was vortexed again for an additional 30 s. The vial was then placed in a convection oven and heated at 120–140 °C over a period of up to 24 h, as indicated in Table 2. The amount of free radical initiator used was sufficient to consume the inhibitor originally present in DVB and trigger the co-polymerization of all co-monomers. As presented in Table 1, starch was either added without previous treatment, or dried by heating it for 24 h, at 70 °C, in a vacuum oven. Figure 2 provides a schematic for the preparation of the composites in this work.
Table 1.
Composite formulations investigated and corresponding Soxhlet extraction results. All composites were cured at 120 °C for 170 min, followed by 140 °C for 230 min.
Table 2.
Heating schedules investigated.
Figure 2.
Schematic of composites preparation.
2.3. Characterization
In order to determine the extent of monomer incorporation into the final composite, approximately 2.0 g of each sample prepared was submitted to Soxhlet extraction for 24 h with dichloromethane. After the extraction, dichloromethane was removed from the recovered extracts through rotary evaporation. Finally, soluble and insoluble recovered materials were dried, at 70 °C, in a vacuum oven for 24 h.
Dielectric analysis (DEA) was performed on an Epsilon DEA 230/1 cure monitor (Netzsch Instruments North America LLC, Burlington, MA, USA) with frequencies ranging from 10.0 Hz to 10,000.0 Hz to evaluate the cure behavior of the resins in the presence of starch. A flexible probe was immersed in approximately 15.0 g of the crude mixture for the duration of the cure schedule under investigation (Table 2). The permittivity and loss factor of the composites were measured as a function of time. The results are presented in a plot of ion viscosity (Ohm cm) versus time.
The thermal stability of the composites was determined by themogravimetric analysis (TGA) using a Q50 TGA instrument (TA Instruments, New Castle, DE, USA). Samples of approximately 10.0 mg were heated at a heating rate of 20 °C min−1, from room temperature to 650 °C, under air atmosphere with a flow rate of 20 mL min−1. Differential scanning calorimetry (DSC) analysis was performed in a Q20 DSC calorimeter (TA Instruments, New Castle, DE, USA). Samples of approximately 10.0 mg were heated under a N2 flow of 40 mL min−1, at a heating rate of 10 °C min−1, from −20 °C to 200 °C. The DSC curves presented in this article correspond to a single heating cycle.
Dynamic mechanical analysis (DMA) was conducted on a Q800 DMA instrument (TA Instruments, New Castle, DE, USA) with a tension fixture. Samples were cut into 8.0 mm × 5.0 mm × 2.5 mm (length × width × thickness) specimens. The DMA experiments were conducted from −60 °C to 150 °C at a heating rate of 3 °C min−1, in iso-strain mode, with a frequency of 1 Hz and amplitude of 14 μm.
3. Results and Discussion
3.1. Resin Composition
According to previous studies with tung oil thermosetting resins [26,28], a combination of 30 wt.% of BMA, 20 wt.% of DVB, and 50 wt.% of plant oil is necessary to obtain fully cured polymers with interesting thermo-mechanical properties. The use of less toxic crosslinkers, such as dicyclopentadiene, has been investigated in the past [39], but non-aromatic crosslinkers exhibit significantly lower reactivity than DVB towards free radical polymerization, resulting in lower conversion and overall lower thermo-mechanical properties [39]. In this work, a bio-based resin composition that had been extensively studied, with promising properties [26,27,28], was selected as matrix. Additionally, it has been demonstrated that in order to maximize the mechanical performance of composites reinforced with natural fibers, matrix-reinforcement compatibilizers can be added to the resin formulation [25,26,28,29]. The use of asolectin (ASO), a natural surfactant obtained from soybeans and consisting of unsaturated phospholipids, has proven particularly interesting in recent studies with tung oil resins [26,28]. In preliminary trials, a resin composition of 30 wt.% of BMA, 20 wt.% of DVB, 40 wt.% of tung oil, and 10 wt.% of ASO was used to prepare composites with varying loads of starch. These composites were cured at 120 °C for 170 min, then at 140 °C for 230 min to ensure full cure of the resin. These preliminary experiments indicated that, for starch loads of less than 80 wt.%, the starch settled to the bottom of the vial during cure, resulting in two distinct regions in the sample prepared. One region contained all of the starch, and there was a layer of unreinforced cured resin on the top of the sample. When the starch load was higher than 80 wt.%, the materials obtained were extremely brittle and easily crumbled upon handling. Therefore, an ideal starch loading of 80 wt.% was established for the composites investigated in this work.
In order to determine the ideal content of tung and linseed oils in the resin composition, and to investigate the effects of asolectin and starch drying on monomer conversion, Soxhlet extraction was performed on composites prepared with varying amounts of tung oil, linseed oil and asolectin, and reinforced with dry and not dry starch, according to the compositions displayed in Table 1. These composites were cured at 120 °C for 170 min, followed by 140 °C for 230 min.
The Soxhlet extraction results provided in Table 1 indicate that increasing the amount of asolectin in the composites leads to more unreacted material. This suggests that tung oil is more reactive than asolectin, which could be explained by the fact that the major fatty acid chain present in tung oil has three conjugated carbon–carbon double bonds, while asolectin has only non-conjugated carbon–carbon double bonds, with the former being more susceptible to the free radical polymerization reaction. Hence, the higher the asolectin/tung oil ratio in the reaction mixture, the more unreacted material was obtained after the cure. Nonetheless, it has been shown that the addition of 10 wt.% of asolectin to a tung oil-based resin yields a composite with good compatibility between the hydrophobic matrix and the hydrophilic reinforcement [28]. Therefore, 10 wt.% was defined as the optimum amount of asolectin for the starch composites prepared in this work, and all further experiments were performed using this percentage.
Comparing the Soxhlet extraction results for compositions 2 and 4–8 (Table 1), it is possible to observe that regardless of whether starch is previously dry or not, the introduction of linseed oil at the expense of tung oil in the resin composition consistently results in a higher content of unreacted material. The differences in the structures of the oils could also explain such trend. While tung oil has many reactive conjugated carbon–carbon double bonds in its structure, linseed oil has only less reactive, non-conjugated carbon–carbon double bonds. Indeed, previous works have used highly conjugated linseed oil to overcome this issue [23,24,25,40].
When starch is dried prior to composite preparation, significantly less unreacted material is recovered from Soxhlet extraction (Table 1, compositions 2, and 4–8). This may be attributed to the decreased amount of moisture in dried starch, resulting in less quenching of free radicals during the free radical polymerization [41]. In conclusion, Soxhlet extraction results indicated that the ideal composition of the resins was 40 wt.% of tung oil, 10 wt.% of azolectin, and no linseed oil. It was also concluded that drying starch prior to its incorporation into the crude resin is beneficial to the system. This ideal composition was used for all of the upcoming characterization techniques presented in this work.
3.2. Cure Schedule
DEA experiments were performed to determine the ideal cure schedule for composition 8 (Table 1), established as the optimum composition for starch composites. Three different cure schedules (Table 2) were investigated, and the results are presented in Figure 3. The initial decrease in ion viscosity observed in the three curves can be associated with an increase in ion mobility during initial heating of the monomer mixture and before polymerization starts. After that, the polymerization reaction begins, and a steady increase in ion viscosity is observed until full cure is reached and the ion viscosity stays constant. The results clearly show that all three schedules were able to reach total cure within 8 h. As expected, higher temperatures led to a fully cured polymer in less time. Therefore, schedule II, which required 3 h and 20 min to reach a plateau, was selected as the ideal cure schedule for the starch composites. It is worth noting that the ion viscosity decreases slightly at 300 min for cure schedule I due to the programmed increase in temperature from 120 °C to 140 °C.
Figure 3.
DEA curves of starch composites with composition 8, cured at 2 h 50 min at 120 °C, 21 h at 140 °C (Schedule I), 24 h at 140 °C (Schedule II), and 24 h at 120°C (Schedule III).
In order to confirm polymerization completion, DSC experiments were performed on composites cured at 140 °C for 3 h 20 min, and for 18 h (Figure 4). During the DSC experiments, any residual curing generates an exothermic peak, as previously discussed in the literature [33]. The absence of exothermic peaks on the DSC curves of composites cured at 140 °C for 3 h and 20 min, and for 18 h, indicate that both cure times result in completely cured materials. Therefore, it can be concluded that 3 h and 20 min, at 140 °C, is sufficient to achieve total cure. The cured composites, as well as pure starch, also exhibit a large endothermic peak at approximately 100 °C, attributed to the evaporation of residual water absorbed from air by starch. It is believed that all thermal history of starch is lost upon drying in the vacuum oven. Indeed, preliminary heat–cool–heat experiments did not show any differences between the first and the second heating, with the exception of the water desorption peak. For the thermosetting composites, heating can potentially start inflicting structural and irreversible changes to the system. Therefore, the DSC curves presented in this article correspond to a single heating cycle.
Figure 4.
DSC curves of neat starch, unreinforced resin, and starch composites with composition 8, cured at 140 °C for 3 h 20 min, and 18 h.
The large endothermic peak, centered at approximately 100 °C and clearly observed on the DSC curves of lignocellulosic materials, has been attributed to water desorption in the literature [29,39,42], and has been extensively documented as a common feature of these materials. Because starch is dried under vacuum prior to the preparation of composites, any other volatiles potentially present in starch would have already been removed. It is firmly believed that starch adsorbs moisture from air during composite preparation. The temperature for the endothermic peak (100–110 °C) does not match the boiling point of any other resin components. It is also worth noting that there is a clear shift in the water desorption peak for the composite cured for 18 h, when compared to pure starch and the composite cured for 3 h and 20 min. Although beyond the scope of the current work, it is possible that the extended heating undergone by the composite cured for 18 h resulted in structural changes in starch, which led to easier water desorption at a lower temperature. The unreinforced resin, cured at 140 °C for 3 h and 20 min, exhibited no significant peaks, suggesting that its polymerization is also completed, and that it is thermally stable under the studied temperature range. Therefore, 3 h and 20 min, at 140 °C, will henceforth be established as the ideal cure schedule for the composites under study.
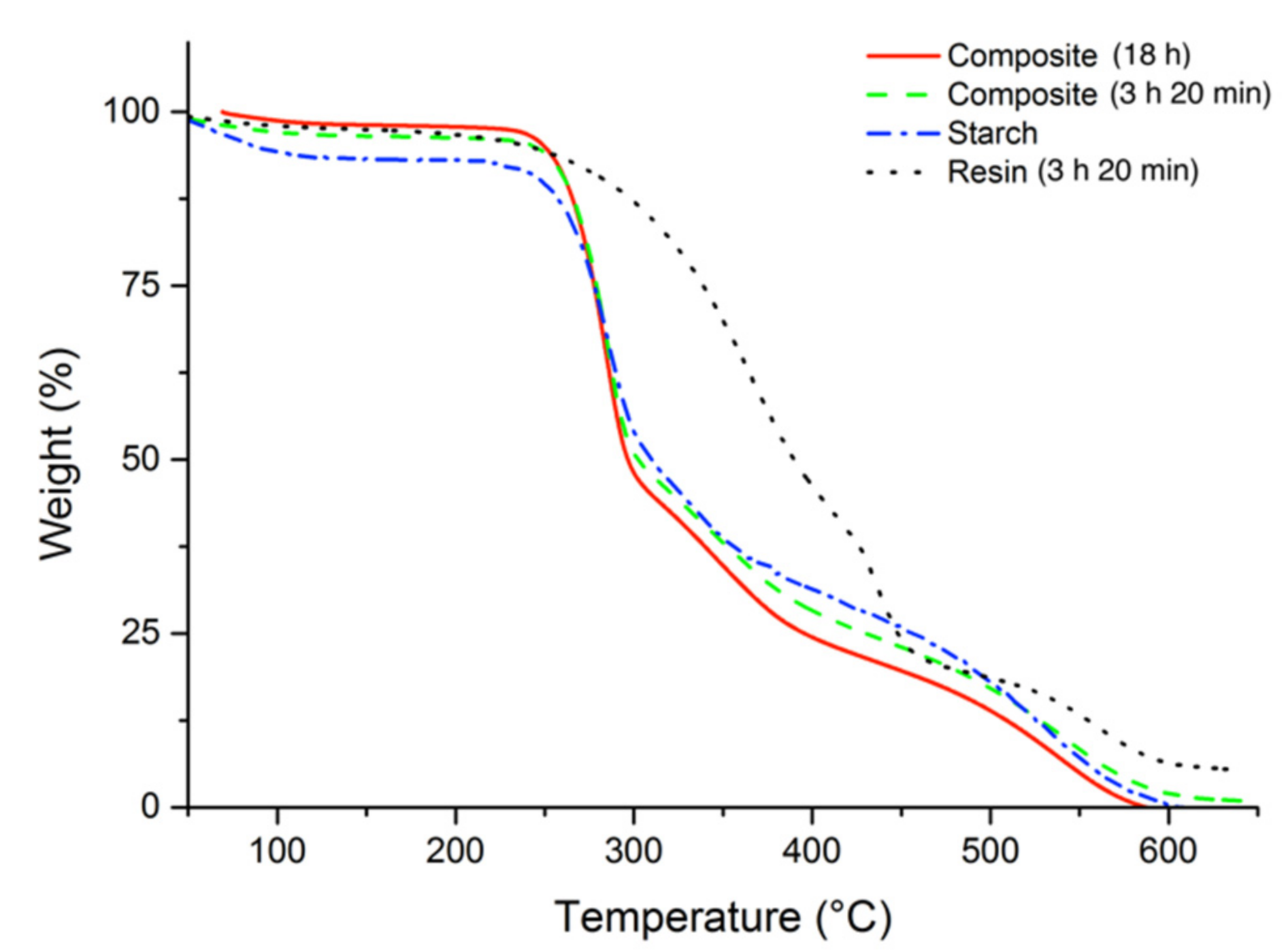
3.3. Thermal Stability
TGA experiments were carried out in order to assess the thermal stability of the composites and compare it with the unreinforced resin and pure starch. The TGA results indicate that the curves of composites cured at 140 °C for 3 h and 20 min, and for 18 h, are very similar to the curve of neat starch (Figure 5). Aside from a slight loss of mass at approximately 100 °C, possibly associated with the release of adsorbed water and also observed on DSC (Figure 4), the two composites and pure starch remained thermally stable until approximately 270 °C, when a steep decrease in mass was observed. It has been reported in the literature that this step corresponds to the thermal degradation of starch chains [43]. The TGA profiles displayed in Figure 5 are in agreement with literature data for the thermal degradation of starch samples [43]. The unreinforced resin displayed a different behavior, retaining good thermal stability until approximately 290 °C. This suggests that the addition of starch to the resin decreases its overall thermal stability. Indeed, since starch starts degrading at a temperature lower than that of the resin, when both resin and reinforcement are combined, the overall thermal stability of the resulting composite is naturally between those of the individual components. In that sense, it is logical that the beginning of the thermal degradation of the composite occurs at a lower temperature than the unreinforced resin. The onset is drawn to a lower temperature due to the presence of starch, which starts degrading at a lower temperature.
Figure 5.
TGA curves of neat starch, unreinforced resin, and starch composites with composition 8, cured at 140 °C for 3 h 20 min, and 18 h.
3.4. Thermo-Mechanical Properties
To evaluate the thermo-mechanical behavior of the resin and composites, DMA experiments were performed. All the samples were cured at the established optimal curing schedule (3 h and 20 min, at 140 °C). The glass transition temperatures (Tgs) were measured by determining the maximum value of the peaks in the tan delta curves, and the results are displayed in Table 3, alongside the storage moduli at room temperature (25 °C) and at Tg + 50 °C. All composites exhibited two noticeable peaks in the tan delta curves, indicating two distinct Tgs. Figure 6 shows a comparison between the tan delta curves of the unreinforced resin and one composite. The storage modulus curves are shown in Figure 7.
Table 3.
DMA results of unreinforced resin and composites prepared with dry and not dry starch, and with or without asolectin. DVB and BMA content was kept consistent at 20 wt.% and 30 wt.%, respectively.
Figure 6.
Tan delta vs. temperature curves of selected samples: unreinforced resin, and starch composite with composition 8. The resin contained 30 wt.% of BMA, 20 wt.% of DVB, 40 wt.% of tung oil, and 10 wt.% of asolectin, and was cured at 140 °C for 3 h and 20 min. Premature yielding of the sample is indicated with the symbol “X”.
Figure 7.
Storage modulus vs. temperature of the unreinforced resin, and starch composites prepared with dry and not dry starch, and with or without asolectin. The resin contained 30 wt.% of BMA, 20 wt.% of DVB, 40 wt.% of tung oil, and 10 wt.% of asolectin, and was cured at 140 °C for 3 h and 20 min. Premature yielding of the samples is indicated with the symbol “X”.
Overall, it is noticeable that the addition of starch to the resin, even when asolectin is present, results in a composite with two different phases, characterized by the presence of two distinct Tgs (Table 3, experiments 1 and 2 and Figure 6). Tg1 for the composite prepared with dry starch (Table 3, experiment 2) is close to the Tg for the unreinforced resin (Table 3, experiment 1), while Tg2 appears at a higher temperature (65 °C—Table 3, experiment 2). Figure 6 clearly illustrates the effect of adding starch to the resin on tan delta and Tg. As expected, significant increases in the storage modulus are observed at 25 °C and at Tg1 + 50 °C with the addition of starch (Table 3, experiments 1 and 2), confirming its role as reinforcement in the composites prepared. When comparing experiments 2 and 3 (Table 3), it is clear that the presence of water in starch has a negative effect on the material’s properties, reducing both Tgs and E′ at 25 °C and at Tg1 + 50 °C considerably. The previous drying of starch not only yields less unreacted material, but also results in a composite with improved mechanical properties. As mentioned earlier in the text, water is known to quench free radicals during polymerization, which could result in a system where not all components are fully incorporated into the final polymer network [41]. Although beyond the scope of the current work, it is hypothesized that free radicals formed during polymerization can abstract hydrogens from water, significantly limiting chain growth, and compromising composites’ properties.
When comparing experiments 2 and 4 (Table 3), it is noticed that the absence of asolectin also results in considerably lower Tgs and storage moduli (Figure 7), despite the increase observed in unreacted material (Table 1). These observations suggest that an improved interfacial adhesion between the hydrophobic resin and hydrophilic starch chains is obtained when asolectin is incorporated into the resin composition.
4. Conclusions
In this work, bio-based composites consisting of a thermosetting plant oil-based resin, resulting from the free radical co-polymerization of tung and linseed oils, DVB, BMA, and ASO, reinforced with starch, were successfully synthesized and analyzed. It was shown that the addition of 10 wt.% of ASO in the resin composition promotes a better interaction between the hydrophobic resin and hydrophilic starch, resulting in improved thermo-mechanical properties. It was also concluded that drying starch prior to its incorporation into the matrix leads to less unreacted material. Additionally, resins including linseed oil yielded more unreacted material than those prepared exclusively with tung oil. It was concluded that a cure schedule of 3 h and 20 min, at 140 °C, was adequate to achieve full polymerization. TGA experiments concluded that starch is less thermally stable than the resin, and therefore, its incorporation into the matrix leads to a composite that is thermally stable until approximately 270 °C. DMA analysis proved that the incorporation of starch indeed led to a stronger material, increasing the storage modulus at 25 °C from 95 MPa to 893 MPa. It also revealed that drying starch prior to its use indeed improves its mechanical properties. Overall, this study showed that starch can be applied as a bio-based reinforcement for the preparation of bio-based thermosetting materials. The results described herein are encouraging, and the materials prepared in this work show promise for structural applications in the construction and furniture industries.
Author Contributions
Conceptualization, E.B. and R.L.Q.; methodology, E.B. and R.L.Q.; valida-tion, M.K. and R.L.Q.; formal analysis, E.B., J.A.C.S., M.K. and R.L.Q.; investigation, E.B. and J.A.C.S.; resources, R.L.Q.; data curation, J.A.C.S.; writing—original draft preparation, J.A.C.S.; writing—review and editing, M.K. and R.L.Q.; visualization, J.A.C.S.; supervision, R.L.Q.; project administration, R.L.Q.; funding acquisition, J.A.C.S. All authors have read and agreed to the published version of the manuscript.
Funding
This research was funded by Coordenação de Aperfeiçoamento de Pessoal de Nível Superior—Brasil (CAPES)—Finance Code 001.
Institutional Review Board Statement
Not applicable.
Informed Consent Statement
Not applicable.
Data Availability Statement
Not applicable.
Conflicts of Interest
The authors declare no conflict of interest.
References
- Garavand, Y.; Taheri-Garavand, A.; Garavand, F.; Shahbazi, F.; Khodaei, D.; Cacciotti, I. Starch-Polyvinyl Alcohol-Based Films Reinforced with Chitosan Nanoparticles: Physical, Mechanical, Structural, Thermal and Antimicrobial Properties. Appl. Sci. 2022, 12, 1111. [Google Scholar] [CrossRef]
- Gao, T.-Y.; Wang, F.-D.; Xu, Y.; Wei, C.-X.; Zhu, S.-E.; Yang, W.; Lu, H.-D. Luteolin-Based Epoxy Resin with Exceptional Heat Resistance, Mechanical and Flame Retardant Properties. Chem. Eng. J. 2022, 428, 131173. [Google Scholar] [CrossRef]
- Du, Y.; Zhao, G.; Shi, G.; Wang, Y.; Li, W.; Ren, S. Effect of Crosslink Structure on Mechanical Properties, Thermal Stability and Flame Retardancy of Natural Flavonoid Based Epoxy Resins. Eur. Polym. J. 2022, 162, 110898. [Google Scholar] [CrossRef]
- Mattar, N.; Langlois, V.; Renard, E.; Rademacker, T.; Hübner, F.; Demleitner, M.; Altstädt, V.; Ruckdäschel, H.; Rios de Anda, A. Fully Bio-Based Epoxy-Amine Thermosets Reinforced with Recycled Carbon Fibers as a Low Carbon-Footprint Composite Alternative. ACS Appl. Polym. Mater. 2021, 3, 426–435. [Google Scholar] [CrossRef]
- Yu, Z.; Ma, S.; Tang, Z.; Liu, Y.; Xu, X.; Li, Q.; Zhang, K.; Wang, B.; Wang, S.; Zhu, J. Amino Acids as Latent Curing Agents and Their Application in Fully Bio-Based Epoxy Resins. Green Chem. 2021, 23, 6566–6575. [Google Scholar] [CrossRef]
- Huang, J.; Xiong, Y.; Zhou, X.; Yang, Z.; Yuan, T. A Novel Polyfunctional Polyurethane Acrylate Prepolymer Derived from Bio-Based Polyols for UV-Curable Coatings Applications. Polym. Test. 2022, 106, 107439. [Google Scholar] [CrossRef]
- Grauzeliene, S.; Valaityte, D.; Motiekaityte, G.; Ostrauskaite, J. Bio-Based Crosslinked Polymers Synthesized from Functionalized Soybean Oil and Squalene by Thiol–Ene UV Curing. Materials 2021, 14, 2675. [Google Scholar] [CrossRef]
- Yang, X.; Ren, C.; Liu, X.; Sun, P.; Xu, X.; Liu, H.; Shen, M.; Shang, S.; Song, Z. Recyclable Non-Isocyanate Polyurethanes Containing a Dynamic Covalent Network Derived from Epoxy Soybean Oil and CO2. Mater. Chem. Front. 2021, 5, 6160–6170. [Google Scholar] [CrossRef]
- Li, X.; Wang, D.; Zhao, L.; Hou, X.; Liu, L.; Feng, B.; Li, M.; Zheng, P.; Zhao, X.; Wei, S. UV LED Curable Epoxy Soybean-Oil-Based Waterborne PUA Resin for Wood Coatings. Prog. Org. Coat. 2021, 151, 105942. [Google Scholar] [CrossRef]
- Zhang, C.; Wang, X.; Liang, D.; Deng, H.; Lin, Z.; Feng, P.; Wang, Q. Rapid Self-Healing, Multiple Recyclability and Mechanically Robust Plant Oil-Based Epoxy Resins Enabled by Incorporating Tri-Dynamic Covalent Bonding. J. Mater. Chem. A 2021, 9, 18431–18439. [Google Scholar] [CrossRef]
- Di Mauro, C.; Genua, A.; Rymarczyk, M.; Dobbels, C.; Malburet, S.; Graillot, A.; Mija, A. Chemical and Mechanical Reprocessed Resins and Bio-Composites Based on Five Epoxidized Vegetable Oils Thermosets Reinforced with Flax Fibers or PLA Woven. Compos. Sci. Technol. 2021, 205, 108678. [Google Scholar] [CrossRef]
- Li, P.; Chu, Z.; Chen, Y.; Yuan, T.; Yang, Z. One-Pot and Solvent-Free Synthesis of Castor Oil-Based Polyurethane Acrylate Oligomers for UV-Curable Coatings Applications. Prog. Org. Coat. 2021, 159, 106398. [Google Scholar] [CrossRef]
- Hegde, M.B.; Mohana, K.N.S.; Rajitha, K.; Madhusudhana, A.M. Reduced Graphene Oxide-Epoxidized Linseed Oil Nanocomposite: A Highly Efficient Bio-Based Anti-Corrosion Coating Material for Mild Steel. Prog. Org. Coat. 2021, 159, 106399. [Google Scholar] [CrossRef]
- Xu, Y.; Fu, P.; Dai, S.; Zhang, H.; Bi, L.; Jiang, J.; Chen, Y. Catalyst-Free Self-Healing Fully Bio-Based Vitrimers Derived from Tung Oil: Strong Mechanical Properties, Shape Memory, and Recyclability. Ind. Crops Prod. 2021, 171, 113978. [Google Scholar] [CrossRef]
- Zhang, H.; Li, W.; Xu, J.; Shang, S.; Song, Z. Synthesis and Characterization of Bio-Based Epoxy Thermosets Using Rosin-Based Epoxy Monomer. Iran. Polym. J. 2021, 30, 643–654. [Google Scholar] [CrossRef]
- Murawski, A.; Quirino, R.L. Vegetable Oils as a Chemical Platform. In Polymer Gels; Springer: Berlin/Heidelberg, Germany; New York, NY, USA, 2018; pp. 125–152. [Google Scholar]
- Biermann, U.; Bornscheuer, U.T.; Feussner, I.; Meier, M.A.R.; Metzger, J.O. Fatty Acids and Their Derivatives as Renewable Platform Molecules for the Chemical Industry. Angew. Chem. Int. Ed. 2021, 60, 20144–20165. [Google Scholar] [CrossRef]
- Schönemann, A.; Frenzel, W.; Unger, A.; Kenndler, E. An Investigation of the Fatty Acid Composition of New and Aged Tung Oil. Stud. Conserv. 2006, 51, 99–110. [Google Scholar] [CrossRef]
- Vereshchagin, A.G.; Novitskaya, G.V. The Triglyceride Composition of Linseed Oil. J. Am. Oil Chem. Soc. 1965, 42, 970–974. [Google Scholar] [CrossRef]
- Silva, J.A.C.; Grilo, L.M.; Gandini, A.; Lacerda, T.M. The Prospering of Macromolecular Materials Based on Plant Oils within the Blooming Field of Polymers from Renewable Resources. Polymers 2021, 13, 1722. [Google Scholar] [CrossRef]
- Li, F.; Larock, R.C. Thermosetting Polymers from Cationic Copolymerization of Tung Oil: Synthesis and Characterization. J. Appl. Polym. Sci. 2000, 78, 1044–1056. [Google Scholar] [CrossRef]
- Li, F.; Larock, R.C. Synthesis, Structure and Properties of New Tung Oil−Styrene−Divinylbenzene Copolymers Prepared by Thermal Polymerization. Biomacromolecules 2003, 4, 1018–1025. [Google Scholar] [CrossRef] [PubMed]
- Sharma, V.; Banait, J.S.; Larock, R.C.; Kundu, P.P. Morphological and Thermal Characterization of Linseed-Oil Based Polymers from Cationic and Thermal Polymerization. J. Polym. Environ. 2010, 18, 235–242. [Google Scholar] [CrossRef]
- Quirino, R.L.; Ma, Y.; Larock, R.C. Oat Hull Composites from Conjugated Natural Oils. Green Chem. 2012, 14, 1398. [Google Scholar] [CrossRef]
- Quirino, R.L.; Woodford, J.; Larock, R.C. Soybean and Linseed Oil-Based Composites Reinforced with Wood Flour and Wood Fibers. J. Appl. Polym. Sci. 2012, 124, 1520–1528. [Google Scholar] [CrossRef]
- Scholz, A.; Lewis, R.L.; Bachan, M.A.; Stewart, A.L.; Quirino, R.L. Biocomposites from the Reinforcement of a Tung Oil-Based Thermosetting Resin with Collagen. Mater. Chem. Front. 2017, 1, 1795–1803. [Google Scholar] [CrossRef]
- Murawski, A.; Quirino, R.L. Bio-Based Composites with Enhanced Matrix-Reinforcement Interactions from the Polymerization of α-Eleostearic Acid. Coatings 2019, 9, 447. [Google Scholar] [CrossRef] [Green Version]
- Johns, A.; Morris, S.; Edwards, K.; Quirino, R.L. Asolectin from Soybeans as a Natural Compatibilizer for Cellulose-Reinforced Biocomposites from Tung Oil. J. Appl. Polym. Sci. 2015, 132. [Google Scholar] [CrossRef]
- Quirino, R.L.; Larock, R.C. Rice hull biocomposites, Part 2: Effect of the resin composition on the properties of the composite. J. Appl. Polym. Sci. 2011, 121, 2050–2059. [Google Scholar] [CrossRef]
- Pfister, D.P.; Baker, J.R.; Henna, P.H.; Lu, Y.; Larock, R.C. Preparation and Properties of Tung Oil-Based Composites Using Spent Germ as a Natural Filler. J. Appl. Polym. Sci. 2008, 108, 3618–3625. [Google Scholar] [CrossRef]
- Babaee, M.; Garavand, F.; Rehman, A.; Jafarazadeh, S.; Amini, E.; Cacciotti, I. Biodegradability, Physical, Mechanical and Antimicrobial Attributes of Starch Nanocomposites Containing Chitosan Nanoparticles. Int. J. Biol. Macromol. 2022, 195, 49–58. [Google Scholar] [CrossRef]
- Follain, N.; Joly, C.; Dole, P.; Bliard, C. Mechanical Properties of Starch-Based Materials. I. Short Review and Complementary Experimental Analysis. J. Appl. Polym. Sci. 2005, 97, 1783–1794. [Google Scholar] [CrossRef]
- Zhang, J.-F.; Sun, X. Mechanical Properties of Poly(Lactic Acid)/Starch Composites Compatibilized by Maleic Anhydride. Biomacromolecules 2004, 5, 1446–1451. [Google Scholar] [CrossRef]
- Yusoff, N.H.; Pal, K.; Narayanan, T.; de Souza, F.G. Recent Trends on Bioplastics Synthesis and Characterizations: Polylactic Acid (PLA) Incorporated with Tapioca Starch for Packaging Applications. J. Mol. Struct. 2021, 1232, 129954. [Google Scholar] [CrossRef]
- Weng, F.; Zhang, P.; Guo, D.; Koranteng, E.; Wu, Z.; Wu, Q. Preparation and Properties of Compatible Starch-PCL Composites: Effects of the NCO Functionality in Compatibilizer. Starch-Stärke 2020, 72, 1900239. [Google Scholar] [CrossRef]
- Odusanya, O.S.; Manan, D.M.A.; Ishiaku, U.S.; Azemi, B.M.N. Effect of Starch Predrying on the Mechanical Properties of Starch/Poly(ε-Caprolactone) Composites. J. Appl. Polym. Sci. 2003, 87, 877–884. [Google Scholar] [CrossRef]
- Wu, C.-S. Performance of an Acrylic Acid Grafted Polycaprolactone/Starch Composite: Characterization and Mechanical Properties. J. Appl. Polym. Sci. 2003, 89, 2888–2895. [Google Scholar] [CrossRef]
- Shuzhen, N.; Liang, J.; Hui, Z.; Yongchao, Z.; Guigan, F.; Huining, X.; Hongqi, D. Enhancing Hydrophobicity, Strength and UV Shielding Capacity of Starch Film via Novel Co-Cross-Linking in Neutral Conditions. R. Soc. Open Sci. 2018, 5, 181206. [Google Scholar] [CrossRef] [Green Version]
- Quirino, R.L.; Larock, R.C. Synthesis and Properties of Soy Hull-Reinforced Biocomposites from Conjugated Soybean Oil. J. Appl. Polym. Sci. 2009, 112, 2033–2043. [Google Scholar] [CrossRef]
- Kundu, P.P.; Larock, R.C. Novel Conjugated Linseed Oil−Styrene−Divinylbenzene Copolymers Prepared by Thermal Polymerization. 1. Effect of Monomer Concentration on the Structure and Properties. Biomacromolecules 2005, 6, 797–806. [Google Scholar] [CrossRef]
- Duckworth, R.B.; International Union of Food Science and Technology. Water Relations of Foods: Proceedings of an International Symposium Held in Glasgow, September 1974; Academic Press: London, UK; New York, NY, USA, 1975; pp. 447–450. [Google Scholar]
- Karthik, T.; Murugan, R. Characterization and Analysis of Ligno-Cellulosic Seed Fiber from Pergularia Daemia Plant for Textile Applications. Fibers Polym. 2013, 14, 465–472. [Google Scholar] [CrossRef]
- García-Armenta, E.; Picos-Corrales, L.A.; Gutiérrez-López, G.F.; Gutiérrez-Dorado, R.; Perales-Sánchez, J.X.K.; García-Pinilla, S.; Reynoso-García, F.; Martínez-Audelo, J.M.; Armenta-Manjarrez, M.A. Preparation of Surfactant-Free Emulsions Using Amaranth Starch Modified by Reactive Extrusion. Colloids Surf. A Physicochem. Eng. Asp. 2021, 608, 125550. [Google Scholar] [CrossRef]
Publisher’s Note: MDPI stays neutral with regard to jurisdictional claims in published maps and institutional affiliations. |
© 2022 by the authors. Licensee MDPI, Basel, Switzerland. This article is an open access article distributed under the terms and conditions of the Creative Commons Attribution (CC BY) license (https://creativecommons.org/licenses/by/4.0/).






