Abstract
Calcium phosphate chemical conversion coatings with the additions of sodium lauryl sulfate (SLS) and dodecanesulfonic acid sodium (DSS), respectively, were prepared on the surface of the Mg-8Li alloy. The surface and cross-sectional corrosion morphologies, compositions, and corrosion behavior of the coated surfaces in 3.5 wt.% NaCl solution were respectively investigated by using a scanning electron microscope (SEM), energy dispersive spectrometer (EDS), electrochemical workstation, hydrogen evolution apparatus, and optical microscope (OM). The results demonstrated that Ca-P coatings had a petal-like structure being composed of leaf-like particles. After being respectively performed for 30 min in conversion solutions containing SLS and DSS, the corresponding average film thicknesses of surface coatings were 27 μm and 7 μm. In addition, the corrosion current densities of coated surfaces by using the conversion solutions containing SLS and DSS were 1.438 × 10−5 A·cm−2 and 4.719 × 10−5 A·cm−2, respectively. The effect of surfactants on phosphate chemical conversion coating was discussed in detail.
1. Introduction
The especially structural relationship between magnesium and lithium was discovered in 1910 by Masing et al., which attracts a lot of attention of scholars, enabling the rapid development of Mg-Li alloys [1]. Due to low density, high specific strength, specific stiffness, ductility, good electromagnetic wave shielding capacity, and the improved preparation process [2,3,4,5,6,7,8], Mg-Li alloys have great application prospects. Moreover, their microstructure is closely related to the content of element Li [9,10,11,12,13,14,15,16], i.e., (1) when the content of Li is below 5.5 wt.%, the alloys are only comprised of α-Mg phase with hexagonal close packed (hcp) structure; (2) when the content of Li is more than 10.3 wt.%, the alloys are comprised of a β-Li phase with a body-centered cubic (bcc) structure; (3) when the Li content is in the range of 5.5–10.3 wt.%, the alloys have a typical dual-phase structure (α-Mg + β-Li), ensuring their higher specific strength and stiffness. However, micro galvanic corrosion easily occurs in the duplex structured Mg-Li alloys due to the potential difference at the α-Mg/β-Li interfaces, resulting in their poor corrosion resistance and limited applications [6,9]. Thus, it is quite necessary to improve the corrosion resistance of the duplex structured Mg-Li alloys. So far, there are commonly three kinds of methods for increasing corrosion resistance of Mg-Li alloys, including alloying, deformation processes, and protective coatings [6,9,15,16,17,18,19,20,21]. However, these methods are difficult to be carried out and have a relatively limited effect for improving the corrosion resistance of Mg-Li alloys. Therefore, the most effective method for protecting the corrosion of Mg alloys is surface treatment technology [6,18,20,22,23,24,25,26,27,28].
So far, the commonly applied surface protection methods for enhancing the corrosion resistance of Mg alloys include micro arc oxidized [23,29], organic coating [22,24,30], vapor phase method [28], electroless coating [25], and chemical conversion coating [26,27,31,32,33]. Among them, the chemical conversion coating is widely applied because it is simple for operation. In the initial development of conversion coatings, the chromate conversion coatings were put into industrial production because it exhibits excellent corrosion resistance and adhesion ability. However, the chromate conversion coatings are currently prohibited in most application fields due to the presence of severe toxicity of Cr6+. Thus, the investigation on the much more environmentally friendly conversion coatings becomes the hot topic [34,35,36].
Due to the simplicity in operation and low prices, phosphate conversion coatings being an alternative to chromate conversion coatings are developed [31,32,37,38,39,40]. Through preparing a manganese phosphate conversion coating (MnPCC) on the Mg-10Li-1Zn alloy (in wt.%) and measuring its corrosion resistance, Zhang et al. reported that the MnPCC of Mg alloys had the better corrosion resistance than chromate conversion coatings [33]. Moreover, the additives on the surface coatings can also influence the corrosion behavior of Mg alloys. The functions of additives mainly include: (1) promoting coating formation; (2) reducing particle crystallinity; (3) controlling conversion rate; (4) increasing hydrophobicity of the metal surface and 5) enhancing the solubility of the main components of the conversion fluid in water [41,42,43,44,45,46,47,48,49,50,51,52]. Cui et al. [43] reported the influence of the added Mn(NO3)2 and Na2MoO4 on the phosphate conversion coatings on the surface of AZ31B alloy and found that the corrosion protectability of phosphate conversion coatings with additives was significantly improved because the particle size of phosphate conversion coatings was significantly decreased with the addition of Na2MoO4. Through adding the sodium lauryl sulfate (abbreviated as SLS, C12H25SO4Na) in the calcium phosphate conversion coatings of Mg-9Li-7Al-1Sn and Mg-9Li-5Al-3Sn-1Zn alloys, Maurya et al. found that the coatings with additives were composed of dense arranged tiny petals and then ensured the higher corrosion resistance of the coated alloys [47]. However, the influence of the SLS additives on the formation mechanism of coatings is unknown. Through studying the effect of SLS on phosphate conversion coating on the AZ31 alloy and exploring its mechanisms, Amini et al. reported that the coating with the addition of SLS was more uniform and had the faster formation rate, resulting in more micro cathodes on the surface of the alloy and thereby the improvement of the coating formation process [41].
Based on the description mentioned above, it seems that the additives have a positive impact on the performance of phosphate conversion films and the surfactant of SLS can improve the corrosion resistance of Mg alloys. Thus, it is important to carry out an in-depth investigation on the corrosion process and the formation mechanism of conversion coating with the additives. At the same time, the dodecane sulfonic acid sodium (DSS, C12H25SO3Na) is also a very commonly used surfactant, and it has a similar chemical structure to SLS. However, so far, it lacks the comparison about the effects of SLS and DSS on the corrosion behavior of Mg alloys. Moreover, the corrosion behavior of a coated dual phase structure Mg-Li alloys is seldomly investigated. In this work, the target is to investigate and compare the corrosion behavior and formation mechanism of conversion coatings respectively prepared by the addition of SLS (defined as the C1 sample) and DSS (defined as the C2 sample) for deepening the understanding about the effect of additives on the formation and corrosion protectability of conversion films on Mg-Li alloys. Moreover, the effect mechanism of the surfactant on the corrosion resistance of coated surfaces of dual phase Mg-Li alloys is disclosed.
2. Experimental Procedures
2.1. Preparation of Calcium Phosphate Conversion Coatings
The experimental material was an as-cast Mg-8 wt.% Li alloy ingot. The cubic samples with the dimensions of 10 mm × 10 mm × 10 mm were cut and grinded with 400# SiC papers and sealed by the epoxy resin AB glue with an exposed area of 1 cm2. The working area was ground gradually with 400#–2000# SiC papers. Then, ultrasonic cleaning in acetone and washing in alkaline solution (50 g/L NaOH, 10 g/L NaNO3) were applied for 5 min to remove the grease impurities on the Mg-Li alloy. To remove the residual alkaline solution on the surfaces, samples were then washed in acid solution (40 wt.% H3PO4) for 8 s. After pre-treatment, the conversion treatment experiments were respectively conducted in phosphate conversion solutions (Solution 1: 35 g/L Ca(NO3)2·4H2O, 25 g/L (NH4)2HPO4, pH = 3, 0.4 g/L SLS; Solution 2: 35 g/L Ca(NO3)2·4H2O, 25 g/L (NH4)2HPO4, 0.4 g/L DSS pH = 3) at 40 °C for 30 min. Then, samples were washed with distilled water and dried with cold air. The detailed description about the processing procedures for the phosphate chemical conversion treatments on Mg-Li alloys can be referred in the literature [47].
2.2. Characterization of Calcium Phosphate Conversion Coating
The surface morphology, cross-sectional morphology, and composition of C1 and C2 were characterized by using a scanning electron microscope (SEM; FEI Quanta 450, Hillsboro, OR, USA) and energy dispersive X-ray spectroscopy (EDS). Electrochemical tests were carried out with the CS350 electrochemical workstation (Corrtest Co. Ltd.,Wuhan, China). The three-electrode system was applied with the coated surfaces as the working electrode, the saturated calomel electrode (SCE) as the reference electrode, and the Pt plate as the auxiliary electrode. Before the measurement, an open-circuit potentials (OCP) were tested for 600 s. Then, the potentiodynamic polarization (PP) and electrochemical impedance spectrum (EIS) were tested. EIS measurement was in the frequency range from 100 kHz to 10 mHz with the perturbation amplitude of 10 mV. The EIS measured data were analyzed and fitted by ZsimpWin software (ZSimDemo 3.30) on the basis of the proposed equivalent circuit model. Polarization curves were measured at a scanning rate of 0.166 mV/s and fitted with the mode of Tafel. The relevant methods for the determination of electrochemical parameters can be referred in the literature [6,11,18]. To analyze and compare the corrosion behavior of the two differently coated samples, the volume of hydrogen evolution was collected by the hydrogen evolution apparatus and the details can be referred in the literature [14]. The volume of hydrogen evolution was measured for up to 24 h, and the data were recorded with an interval of 1 h. To reflect and compare the evolution processes of two types of conversion coatings, their surface morphologies after immersion in corrosive media for 2 h, 4 h, 6 h, 16 h, and 24 h were observed by a stereo optical microscope (OM; VHX-900 F, Keyence International, Mechelen, Belgium). Moreover, their cross-sectional morphologies and compositions after being immersed in corrosive media for 6 h were characterized by SEM and EDS. For all electrochemical measurements, the hydrogen evolution and immersion tests were carried out in 3.5 wt.% NaCl solution.
3. Results and Discussion
3.1. Microstructure
The surface and cross-sectional morphologies of C1 and C2 samples are shown in Figure 1. It can be seen that C1 and C2 samples all exhibit a flower-like structure consisting of regularly arranged leaf-like particles. The high magnification images of C1 sample (Figure 1a) and C2 (Figure 1c) samples show that leaf-like particles of C1 are much larger in size than that of C2. Moreover, there are no obvious gaps or holes present in either C1 or C2 samples, indicating that the coatings would have excellent corrosion protectability. The petal-like structure of C1 and C2 samples not only enhances the corrosion protection of the Mg-8Li alloy, but also increases surface roughness of the substrate and improves the adhesion ability of the organic coatings on alloy surfaces [53]. To measure the thicknesses of conversion coatings on sample surfaces, their cross sections containing epoxy, film layer, and substrate matrix are perpendicularly observed by using SEM. Based on the cross-sectional morphologies of C1 and C2 samples (Figure 1b,d), it demonstrates that the coating layers can be clearly distinguished and outlined by the dot lines. By referring the scale bar, the average thicknesses of conversion coating layers on C1 and C2 sample surface are respectively measured to be 27 μm and 7 μm. Since the thickness of the coating is proportional to its corrosion resistance, the C1 sample has the better corrosion resistance than the C2 sample.
Figure 1.
SEM observations: (a) and (c) surface morphologies of C1 and C2 samples, (b) and (d) cross-sectional morphologies of C1 and C2 samples.
The EDS analysis demonstrates that the surface coating of C1 sample is composed of Ca, O, P, and C, whilst the surface coating of C2 sample consists of Ca, O, P, C, and Mg, as shown in Figure 2. Moreover, P is the main component element in the surface coatings of C1 and C2 samples, suggesting that calcium phosphate is the main composition of coatings [54,55,56,57,58]. On the contrary, S element cannot be detected, indicating that the surfactants do not participate in the formation of the conversion coating. The specimen is rinsed with plenty of distilled water after the preparation of the coating, and the surfactant is less likely to remain due to its good solubility in water. Additionally, it can be concluded that C element is from CO32− present in conversion solution instead of from surfactants. The related reaction is shown in Equation (1). There are two possible reasons for the existence of Mg element in the surface coating of C2 sample, i.e., (1) Mg is involved in formation of the coating [56]; (2) the surface coating of C2 sample is very thin and the electron beam can easily penetrate the film and detect Mg of the matrix. Since the surface coating of C1 sample is thick and the electron beam can hardly penetrate the film, element Mg is not detected in the surface coating of C1 sample. According to the thermodynamically stable phase diagram for solutions containing PO43− and Ca2+ [59], the existence of Ca is in the form of Ca3(PO4)2 and CaHPO4·2H2O (The reaction is shown in Equations (2) and (3).).
CO2 + H2O → CO32− + 2H+
3Ca2+ + 2PO42− → Ca3(PO4)2
Ca2+ + H2PO4− + OH− + H2O → CaHPO4·2H2O
Figure 2.
The EDS mappings of: (a) C1 and (b) C2 samples.
Mg2+, Ca2+, and Li+ are present in the conversion solution and could form precipitation with CO32−. According to the theory of dissolution equilibrium and the calculation of solubility product constant (Ksp) from Equation 4, the order of obtained Ksp values of MgCO3 and LiCO3 are as follows: CaCO3 < MgCO3 < LiCO3 [60]. Therefore, it can be inferred that calcium carbonate, magnesium carbonate and lithium carbonate should be sequentially precipitated. However, there is a high concentration of PO43− in conversion solution; Mg2+ and Ca2+ can firstly form deposition with PO43− because Ca3(PO4)2 and Mg3(PO4)2 have the very low value of Ksp and can hardly react with CO32−. Thus, the carbonate precipitation in the conversion coating is dominated by Li2CO3 (The reaction is shown in Equations (5)–(9)):
K (AmBn) = Ksp (AmBn) = c(An−)m · c(Bm−)n
Ca2+ + CO32− → CaCO3
Mg2+ + CO32− → MgCO3
2Li2+ + CO32− → Li2CO3
3Mg2+ + 2PO43− → Mg3(PO4)2
Mg2+ + H2PO4− + OH− + H2O → MgHPO4·2H2O
It is well known that DSS and SLS are both anionic surfactants and can be adsorbed on the micro anode sites due to their negative charge. Thus, their existence may increase electron density at the micro anode sites and behave as micro cathode sites. Machu put forward the hypothesis of precipitation of metal phosphates on the micro cathodic sites due to the pH gradient at the metal–electrolyte interface [61]. As a result, the rate of phosphate coating creation may be increased due to the increase number of micro cathodic sites. On the other hand, the adsorption of DSS and SLS on the micro anode sites prevent magnesium from dissolution. However, it is reported that SLS can accelerate the speed of reduction reaction [62,63]. The cathode process on the surface of alloy matrix is that the hydrogen ion obtains electrons and then generates hydrogen gas. With the progress of cathodic reaction, the pH of the solution at the interface increases, and then the cations and anions in the solution react to form precipitation, which is deposited on the surface of the sample. Thus, it is clear why the surface coating of C1 sample is much thicker than that of the C2 sample.
3.2. Electrochemical Testing
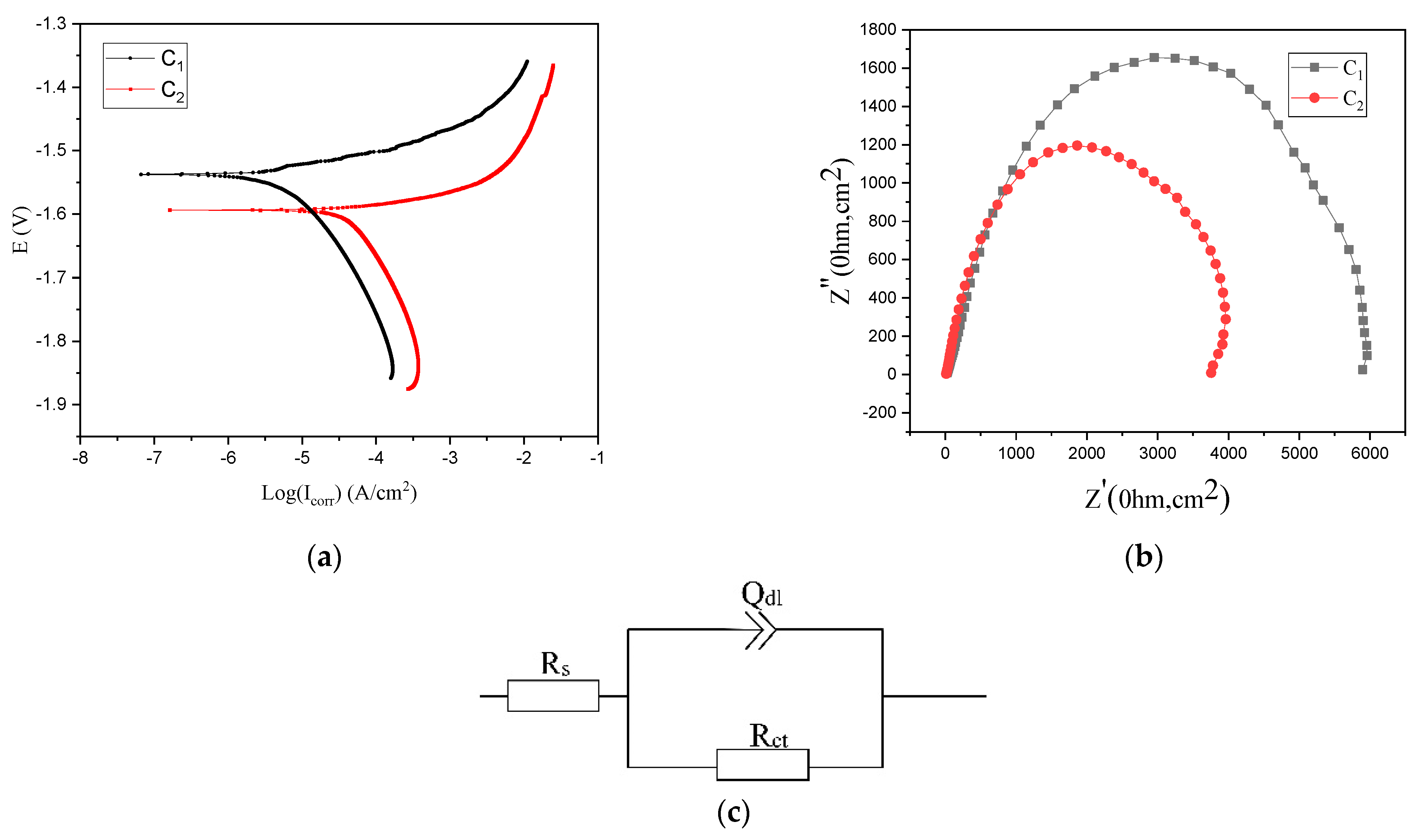
Figure 3 shows the potentiodynamic polarization curves, electrochemical impedance spectroscopy (EIS), and the equivalent circuit model based on EIS of the C1 and C2 samples. The cathode branches of C1 and C2 samples are basically identical, indicating that the coating is unaffected on the cathodic process. Thus, the cathodic branches are used for fitting analysis. The Tafel fitted results of potentiodynamic polarization curves (Figure 3a) are listed in Table 1. It can be seen that the corrosion current densities (Icorr) of C1 and C2 samples are 1.438 × 10−5 A·cm−2 and 4.719 × 10−5 A·cm−2, respectively. Moreover, the corrosion potential (Ecorr) of C1 sample is −1.537 VSCE and much higher than −1.593 VSCE of the C2 sample.
Figure 3.
Electrochemical measurements: (a) potentiodynamic polarization curves, (b) electrochemical impedance spectra, (c) equivalent circuit models for fitting EIS.
Table 1.
Fitted results of potentiodynamic polarization curves.
Based on the EIS curves, there exists a capacitive loop for the C1 and C2 samples (Figure 3b). The capacitive loop is caused by the charge transfer resistance between the coating and the solution. Corrosion resistance of samples can be compared by the radius of the capacitive loops. Thus, the C1 sample has the better corrosion resistance than the C2 sample due to its bigger radius. The equivalent circuit model based on EIS of the C1 and C2 samples is proposed (Figure 3c), and the fitted values are listed in Table 2. Rs is the solution resistance. Qdl reveals the electric double layer between coating and solution and is determined by Ydl and ndl. Rct represents charge transfer resistance, the values of which are related to the corrosion resistance of the specimen. The Rct value of C1 sample is 6289 Ω·cm2, which is much higher than that of the C2 sample. Therefore, it can be seen that the result of EIS curves agrees with that of potentiodynamic polarization curves.
Table 2.
Fitted EIS results on the basis of the equivalent circuits.
3.3. Hydrogen Evolution
Figure 4 shows the volume of hydrogen evolution–time curves of C1 and C2 samples immersed in 3.5 wt.% NaCl solution for 24 h. Generally, the amount of volume of hydrogen evolution reflects the dissolution of the matrix. Therefore, the more hydrogen evolution, the worse corrosion resistance of the samples. It can be seen that, after 24 h immersion, the volumes of hydrogen evolution of C1 and C2 samples are 1.45 mL/cm2 and 2.69 mL/cm2, respectively. Moreover, the volume of hydrogen evolution of C1 sample is much lower than that of the C2 sample during the whole process of immersion.
Figure 4.
Volume of hydrogen evolution versus time curves of C1 and C2 samples measured in 3.5 wt.% NaCl solution.
At the early immersion stage of 0 h–6 h, the volumes of hydrogen evolution of C1 and C2 samples are relatively low, indicating that the Mg-8Li alloy samples with the conversion coatings have good corrosion resistance. At the middle immersion stage of 6 h–18 h, the rates of hydrogen evolution of C1 and C2 samples are increased. Moreover, the difference in the volumes of hydrogen evolution of C1 and C2 samples increases at the same time. Based on the slopes of the curves, the hydrogen evolution rate of C1 sample is remarkably lower than a C2 sample when the immersion time varies from 6 h to 18 h, indicating that C2 sample has less corrosion resistance than the C1 sample. Moreover, the rates of hydrogen evolution of C1 and C2 samples during the period of 18 h–24 h are further increased, which should be related with the integrity of films. At this stage, the coating is probably invaded by Cl− in NaCl solution, and the corrosion protectability of films is degraded, resulting in the increased dissolution of the substrate at anodic region and a high rate of hydrogen evolution in the cathodic region.
3.4. Corrosion Morphology
3.4.1. Surface Corrosion Morphology
The surface corrosion morphology and corresponding 3D images of C1 and C2 samples after immersed in 3.5 wt.% NaCl solutions for 2 h, 4 h, 6 h, 16 h and 24 h are shown in Figure 5 and Figure 6. The heights of corrosion products of C1 and C2 samples increase with the prolonging of immersion time. However, the corrosion pits in C1 sample are much weaker than those in the C2 sample. The height of the pits of the C1 sample is 35.75 μm after immersion for 2 h and increases to 69.95 μm after immersion for 24 h. At the same time, the C2 sample has a value of 21.59 μm for the height of the corrosion products after immersion for 2 h and then the value increases to 118.77 μm after immersion for 24 h. Thus, the height of pits in C1 sample is smaller than that of the C2 sample at the same immersion time. After immersion for 24 h, there are still some regions without covering corrosion products at the surface of the C1 sample, whereas the surface of the C2 sample is completely occupied by corrosion products. By comparing the surface corrosion morphologies and the corresponding 3D images of C1 and C2 samples, it can be concluded that the C1 sample has the better corrosion resistance than the C2 sample.
Figure 5.
Surface morphologies of C1 samples after being immersed in 3.5 wt.% NaCl solution for different immersion time: (a) 2 h, (c) 4 h, (e) 6 h, (g) 16 h, and (i) 24 h. Images (b,d,f,h,j) are the 3D images of the images (a,c,e,g,i), respectively.
Figure 6.
Surface morphologies of C2 samples after being immersed in 3.5 wt.% NaCl solution for different immersion time: (a) 2 h, (c) 4 h, (e) 6 h, (g) 16 h, and (i) 24 h. Images (b,d,f,h,j) are the 3D images of the images (a,c,e,g,i), respectively.
3.4.2. Cross-Sectional Corrosion Morphology
To disclose the corrosion behavior of conversion coating of duplex structured Mg-Li alloys in detail, the cross-sectional corrosion morphologies of C1 and C2 samples immersed in 3.5 wt.% NaCl solution for 6 h are observed, as shown in Figure 7. It can be seen that the localized corrosion of C1 sample is much lighter than that of C2 samples. The maximum depth of corrosion pits for C1 sample is approximately 16 μm, whereas the corrosion pits on the surface exceed 40 μm in depth for the C2 sample. It is worth noting that, for the two kinds of coated samples, corrosion pits preferentially occur in the α-Mg phase [11,64]. For the duplex structured Mg-Li alloys, the β-Li phase is preferentially corroded in the NaCl solution due to its lower potential. However, the film of Li2CO3 can be formed on the surface of the β-Li phase, which is dense and can provide a good corrosion protection to the underneath matrix [64]. It can be concluded that the corrosion mechanisms of calcium phosphate conversion coating on the duplex structured Mg-Li alloy are quite similar to the corrosion behavior of an uncoated alloy.
Figure 7.
Cross-sectional corrosion morphologies of: (a) C1 and (b) C2 samples after being immersed in 3.5 wt.% NaCl solution for 6 h.
4. Conclusions
- (1)
- Since the SLS can accelerate the cathodic process of an electrode reaction, the thickness of a C1 sample is much thicker than that of a C2 sample and the petal-like particles of a C1 sample have the bigger size when compared with those of a C2 sample.
- (2)
- The corrosion resistance of a C1 sample is higher than a C2 sample in 3.5 wt.% NaCl solution because it is more difficult for Cl− to penetrate the thick coating and then can effectively weaken the corrosion attack of an Mg-8Li alloy.
- (3)
- Corrosion pits and filiform-like corrosion can occur on the surfaces of C1 and C2 samples.
Author Contributions
Conceptualization, D.X. and B.W.; methodology, J.H.; software, L.C.; validation, B.W., J.H. and J.S.; formal analysis, B.W.; investigation, J.H.; resources, B.W.; data curation, J.H.; writing—original draft preparation, B.W.; writing—review and editing, L.C.; visualization, D.X. and B.W.; supervision, B.W.; project administration, D.X. and B.W.; funding acquisition, D.X. All authors have read and agreed to the published version of the manuscript.
Funding
This work was supported by the National Natural Science Foundation of China Projects under Grant Nos. 52071220, 51871211, U21A2049, 51701129, and 51971054, Liaoning Province’s project of “Revitalizing Liaoning Talents” (XLYC1907062), the Doctor Startup Fund of Natural Science Foundation Program of Liaoning Province (No. 2019-BS-200), High level achievement construction project of Shenyang Ligong University (SYLUXM202105), the Strategic New Industry Development Special Foundation of Shenzhen (JCYJ20170306141749970), the funds of International Joint Laboratory for Light Alloys, the Liaoning BaiQianWan Talents Program, the Domain Foundation of Equipment Advance Research of 13th Five-year Plan (61409220118), the National Key Research and Development Program of China under Grant Nos. 2017YFB0702001 and 2016YFB0301105, the Innovation Fund of Institute of Metal Research (IMR), the Chinese Academy of Sciences (CAS), the National Basic Research Program of China (973 Program) project under Grant No. 2013CB632205, and the Fundamental Research Fund for the Central Universities under Grant No. N2009006, and the Bintech-IMR R&D Program No. GYY-JSBU-2022-009.
Institutional Review Board Statement
Not applicable.
Informed Consent Statement
Not applicable.
Data Availability Statement
Not applicable.
Conflicts of Interest
The authors declare no conflict of interest.
References
- Wu, R.Z.; Zhang, M.L. Reviews on the influences of alloying elements on the microstructure and mechanical properties of Mg-Li base alloys. Rev. Adv. Mater. Sci. 2010, 24, 14–34. [Google Scholar]
- Guo, K.W. A Review of magnesium/magnesium alloys corrosion. Recent. Pat. Corros. Sci. 2011, 1, 72–90. [Google Scholar] [CrossRef]
- Zhu, W.H.; Zheng, X.Z.; Feng, J.Z.; Hong, H.X.; Wang, Y.T.; Lu, L.L. Dynamic design method for magnesium alloys wheel of new energy vehicles. Adv. Mat. Res. 2010, 961, 930–934. [Google Scholar] [CrossRef]
- Bolat, E.; Yanardaǧ, T.; Küyükoǧlu, M.; Aksüt, A.A. Corrosion of magnesium modified with different compounds in chloride solution. Prot. Met. Phys. Chem. 2012, 48, 259–264. [Google Scholar] [CrossRef]
- Haferkam, P.H.; Niemeyer, M.; Boehem, R. Development, processing and applications range of magnesium lithium alloys. Mater. Sci. Forum. 2000, 350, 31–42. [Google Scholar] [CrossRef]
- Wang, B.J.; Xu, K.; Xu, D.K.; Cai, X.; Qiao, Y.X.; Sheng, L.Y. Anisotropic corrosion behavior of hot-rolled Mg-8 wt.% Li alloy. J. Mater. Sci. Technol. 2020, 53, 102–111. [Google Scholar] [CrossRef]
- Aghion, E.; Bronfin, B.; Eliezer, D. The role of the magnesium industry in protecting the environment. J. Mater. Process. Technol. 2001, 117, 381–385. [Google Scholar] [CrossRef]
- Kannan, M.B.; Raman, R.S. In vitro degradation and mechanical integrity of calcium-containing magnesium alloys in modified-simulated body fluid. Biomaterials. 2008, 29, 2306–2314. [Google Scholar] [CrossRef]
- Cai, X.; Wang, Z.; Wang, X.Y.; Qiao, Y.X.; Xu, D.K.; Zhou, J.; Xue, F. Effect of quasicrystal I-Phase on microstructure and mechanical properties of hot-rolled diphasic Mg-8 wt.% Li alloy. J. Mater. Eng. Perform. 2021, 31, 3054–3064. [Google Scholar] [CrossRef]
- Xu, D.K.; Wang, B.J.; Li, C.Q.; Li, C.Q.; Zu, T.T.; Han, E.H. Effect of icosahedral phase on the thermal stability and ageing response of a duplex structured Mg-Li alloy. Mater. Des. 2015, 69, 124–129. [Google Scholar] [CrossRef]
- Li, C.Q.; Xu, D.K.; Chen, X.B.; Wang, B.J.; Wu, R.Z.; Han, E.H.; Birbilis, N. Composition and microstructure dependent corrosion behaviour of Mg-Li alloys. Electrochim. Acta. 2017, 260, 55–64. [Google Scholar] [CrossRef]
- Li, C.Q.; Tong, Z.P.; He, Y.B.; Huang, H.P.; Dong, Y.; Zhang, P. Comparison on corrosion resistance and surface film of pure Mg and Mg14Li alloy. T. Nonferr. Metal. Soc. 2020, 30, 2413–2423. [Google Scholar] [CrossRef]
- Wang, B.J.; Xu, D.K.; Cai, X.; Qiao, Y.X.; Sheng, L.Y. Effect of rolling ratios on the microstructural evolution and corrosion performance of an as-rolled Mg-8 wt.% Li alloy. J. Magnes. Alloy. 2020, 9, 560–568. [Google Scholar] [CrossRef]
- Wang, B.J.; Hou, J.Y.; Luan, J.Y.; Xu, D.K.; Sun, H.J.; Sun, J. The corrosion behaviors of an as-Rolled Mg-8Li (in wt.%) alloy in two differently concentrated NaCl solutions. Coatings. 2022, 12, 406. [Google Scholar] [CrossRef]
- Wang, B.J.; Luan, J.Y.; Xu, D.K.; Sun, J.; Li, C.Q.; Han, E.H. Research Progress on the Corrosion Behavior of Magnesium-Lithium-Based Alloys: A Review. Acta Metall. Sin. 2019, 32, 1–9. [Google Scholar] [CrossRef]
- Xiong, X.M.; Yang, Y.; Deng, H.J.; Li, M.M.; Li, J.G.; Wei, G.B.; Peng, X.D. Effect of Ca content on the mechanical properties and corrosion behaviors of extruded Mg-7Li-3Al alloys. Metals 2019, 9, 1212. [Google Scholar] [CrossRef]
- Xu, D.K.; Han, E.H. Effect of quasicrystalline phase on improving the corrosion resistance of a duplex structured Mg-Li alloy. Scripta. Mater. 2014, 71, 21–24. [Google Scholar] [CrossRef]
- Zhao, Z.L.; Li, Y.H.; Zhong, Y.F.; Liu, Y.D. Corrosion performance of as-rolled Mg-8Li-xAl alloys. Int. J. Electrochem. Sci. 2019, 14, 6394–6405. [Google Scholar] [CrossRef]
- Yao, Y. Effect of deformation and heat treatment on pitting corrosion behavior of 7050 Al alloy. Int. J. Electrochem. Sci. 2020, 15, 7531–7544. [Google Scholar] [CrossRef]
- Perugu, C.S.; Cheksa, E.M.; Mohan, M.S.; Femi, O.E.; Padaikathan, P. Influence of cold rolling and thermal treatment on microstructure and texture evolution, and tensile behaviour of high strength Al-Co-Sc-Zr alloys. J. Alloys Compd. 2022, 907, 164427. [Google Scholar] [CrossRef]
- Amir, M.M.; Mohammad, F.; Matin, P.; Mohammad, J.N. Effect of RE elements on the microstructural and mechanical properties of as-cast and age hardening processed Mg-4Al-2Sn alloy. J. Magnes. Alloy. 2018, 6, 309–317. [Google Scholar]
- Xing, J.C.; Cheng, L.; Zheng, H.Z.; Zhao, M. Preparation and anticorrosion properties of polyaniline-containing coating on Mg-Li alloy. Anti-Corros. Methods Mater. 2012, 59, 7–8. [Google Scholar]
- Fischerauer, S.F.; Kraus, T.; Wu, X.; Tangl, S.; Sorantin, E.; Hänzi, A.C.; Löffler, J.F.; Uggowitzer, P.J.; Weinberg, A.M. In vivo degradation performance of micro-arc-oxidized magnesium implants: A micro-CT study in rats. Acta Biomater. 2013, 9, 5411–5420. [Google Scholar] [CrossRef] [PubMed]
- Hu, R.G.; Zhang, S.; Bu, J.F.; Lin, C.J.; Song, G.L. Recent progress in corrosion protection of magnesium alloys by organic coatings. Prog. Org. Coat. 2012, 73, 129–141. [Google Scholar] [CrossRef]
- Wasserbauer, J.; Buchtík, M.; Tkacz, J.; Fintová, S.; Minda, J.; Doskočil, L. Improvement of AZ91 alloy corrosion properties by duplex Ni-P coating deposition. Materials. 2020, 13, 1357. [Google Scholar] [CrossRef] [PubMed]
- Nakamura, A.; Oue, S.; Koga, H.; Nakano, H. Formation behavior of phosphoric acid-based chemical conversion coating containing alkaline earth metals on magnesium alloy. J. Jpn. Inst. Met. 2016, 80, 684–690. [Google Scholar] [CrossRef]
- Thomaz, T.R.; Weber, C.R.; Pelegrini, T.; Dick, L.F.P.; Knörnschild, G. The negative difference effect of magnesium and of the AZ91 alloy in chloride and stannate-containing solutions. Corros. Sci. 2010, 52, 2235–2243. [Google Scholar] [CrossRef]
- Ishizaki, T.; Kudo, R.; Omi, T.; Teshima, K.; Sonoda, T.; Shigematsu, I.; Sakamoto, M. Magnesium hydroxide/magnesium phosphate compounds composite coating for corrosion protection of magnesium alloy by a combination process of chemical conversion and steam curing. Mater. Lett. 2012, 68, 122–125. [Google Scholar] [CrossRef]
- Pan, Y.K.; Chen, C.Z.; Feng, R.; Cui, H.W.; Gong, B.K.; Zheng, T.T.; Ji, Y.R. Effect of calcium on the microstructure and corrosion behavior of microarc oxidized Mg-xCa alloys. Biointerphases 2018, 13, 011003. [Google Scholar] [CrossRef]
- Scharnagl, N.; Mueller, P. Pre-treatment and organic coating of Al free Mg alloy for controlling degradation rates. Mater. Sci. Forum. 2015, 828–829, 327–333. [Google Scholar] [CrossRef]
- Liu, H.L.; Tong, Z.P.; Yang, Y.; Zhou, W.F.; Chen, J.A.; Pan, X.Y.; Ren, X.D. Preparation of phosphate conversion coating on laser surface textured surface to improve corrosion performance of magnesium alloy. J. Alloys Compd. 2021, 865, 158701. [Google Scholar] [CrossRef]
- Hafeez, M.A.; Farooq, A.; Zang, A.; Saleem, A.; Deen, K.M. Phosphate chemical conversion coatings for magnesium alloys: A review. J. Coat. Technol. Res. 2020, 17, 827–849. [Google Scholar] [CrossRef]
- Zhang, H.; Yao, G.C.; Wang, S.L.; Liu, Y.H.; Luo, H.J. A chrome-free conversion coating for magnesium–lithium alloy by a phosphate-permanganate solution. Surf. Coat. Technol. 2008, 202, 1825–1830. [Google Scholar] [CrossRef]
- Sharma, A.K. Chromate conversion coating for magnesium-lithium alloys. Met. Finishing. 1989, 87, 73–74. [Google Scholar]
- Sekiguchi, M.; Otani, C.; Takaya, M. Effect of conversion coatings on bond strength of magnesium alloy adhesive joints. J. Jpn. I Light Met. 2006, 25, 156–161. [Google Scholar] [CrossRef]
- Ševčíková, B.; Fintová, S.; Wassebauer, J.; Tkacz, J. Effect of quench environment on the conversion coatings on magnesium alloy AZ91. Acta Univ. Agric. Et Silvic. Mendel. Brun. 2018, 66, 203–210. [Google Scholar] [CrossRef]
- Zhao, H.; Cai, S.; Ding, Z.T.; Zhang, M.; Li, Y.; Xu, G.H. A simple method for the preparation of magnesium phosphate conversion coatings on a AZ31 magnesium alloy with improved corrosion resistance. Rsc Adv. 2015, 5, 24586–24590. [Google Scholar] [CrossRef]
- Liu, F.; Shan, D.Y.; Han, E.H.; Liu, C.S. Barium phosphate conversion coating on die-cast AZ91D magnesium alloy. Trans. Nonferrous Met. Soc. 2008, 18, 344–348. [Google Scholar] [CrossRef]
- Wu, Q.; Yu, B.X.; Zhou, P.; Zhang, T.; Wang, F.H. Fabrication of phosphate conversion coatings on rolled AZ31 magnesium alloy: Variation of corrosion resistance on different planes induced by the crystallographic texture. Mater. Chem. Phys. 2021, 273, 125121. [Google Scholar] [CrossRef]
- Yue, J.H.; Lou, G.; Zhou, G.R.; Leng, J.F.; Feng, Y.; Teng, X.Y. Corrosion resistance of zinc phosphate conversion coatings on AZ91D surface. Mater. Sci. Forum. 2020, 5930, 1110–1117. [Google Scholar] [CrossRef]
- Amini, R.; Sarabi, A.A. The corrosion properties of phosphate coating on AZ31 magnesium alloy: The effect of sodium dodecyl sulfate (SDS) as an eco-friendly accelerating agent. Appl. Surf. Sci. 2011, 257, 7134–7139. [Google Scholar] [CrossRef]
- Phuong, N.V.; Lee, K.; Chang, D.; Kim, M.; Lee, S.; Moon, S. Zinc phosphate conversion coatings on magnesium alloys: A review. Met. Mater. Int. 2013, 19, 273–281. [Google Scholar] [CrossRef]
- Cui, X.J.; Bai, C.B.; Zhu, Y.B.; Wen, H.Y.; Wang, R.; Lin, X.Z. Effect of additives Mn(NO3)2 and/or Na2MoO4 on micromorphology and corrosion performance of phosphate coating on AZ31B magnesium alloy. J. Chin. Soc. Corros. Prot. 2014, 34, 477–482. [Google Scholar]
- Thomas, R.; Umapathy, M.J. Environment friendly nano silicon dioxide accelerated zinc phosphate coating on mild steel using a series of surfactants as additives. Silicon 2017, 9, 675–688. [Google Scholar] [CrossRef]
- Lou, G.; Jia, P.; Teng, X.Y.; Zhang, J.Y.; Ye, Z.J.; Wu, H.; Leng, J.F.; Zuo, M. Nano ZnO-assisted formation of zinc phosphate conversion coating for improving corrosion protection of AZ91D magnesium alloy. Mater. Res. Express. 2019, 6, 086405. [Google Scholar] [CrossRef]
- Phuong, N.V.; Gupta, M.; Moon, S. Enhanced corrosion performance of magnesium phosphate conversion coating on AZ31 magnesium alloy. T. Nonferr. Metal. Soc. 2017, 27, 1087–1095. [Google Scholar] [CrossRef]
- Maurya, R.; Siddiqui, A.R.; Balani, K. An environment-friendly phosphate chemical conversion coating on novel Mg-9Li-7Al-1Sn and Mg-9Li-5Al-3Sn-1Zn alloys with remarkable corrosion protection. Appl. Surf. Sci. 2018, 443, 429–440. [Google Scholar] [CrossRef]
- Yan, W.; Chen, Z.; Yu, Q.; Zhu, W.; Wang, H.; Du, B.Q. Effects of fatty alcohol polyoxyethylene ether AEO on PbO2 structure and electrodeposition behavior. J. Electrochem. Soc. 2016, 163, D414–D420. [Google Scholar] [CrossRef]
- Xu, Y.D.; Qi, S.; Wang, L.; Shi, M.; Ding, N.; Pang, Z.C.; Wang, Q.; Peng, X.D. Effects of hydroxylamine sulfate and sodium nitrite on microstructure and friction behavior of zinc phosphating coating on high carbon steel. Chin. J. Chem. Phy. 2015, 28, 197–202. [Google Scholar] [CrossRef][Green Version]
- Sankaranarayanan, T.; Subbaiyan, M. Influence of hexadecyl dithiocarbamate on phosphate surface chemical conversion coatings on mild steel. Surf. Coat. Tech. 1990, 43, 543–553. [Google Scholar] [CrossRef]
- Niu, L.Y.; Li, G.Y.; Jiang, Z.H.; Sun, L.P.; Han, D.; Lian, J.S. Influence of sodium metanitrobenzene sulphonate on structures and surface morphologies of phosphate coating on AZ91D. Trans. Nonferrous. Met. Soc. China. 2006, 16, 567–571. [Google Scholar] [CrossRef]
- Noh, Y.T.; Kim, H.Y.; Byoun, Y.M.; Seo, S.K.; Hyun, S.K.; Lee, C.H. Effect of surface activation agents on manganese phosphate coating of carbon steel. J. Nanosci. Nanotechnol. 2019, 19, 4188–4194. [Google Scholar] [CrossRef]
- Sun, R.X.; Wang, P.F.; Zhao, D.D.; Sun, Z.Z.; Li, C.Q.; Chen, K.Z. An environment-friendly calcium phosphate conversion coating on AZ91D alloy and its corrosion resistance. Mater. Corros. 2015, 66, 383–386. [Google Scholar] [CrossRef]
- Gray, J.E.; Luan, B. Protective coatings on magnesium and its alloys-A critical review. J. Alloys Compd. 2002, 336, 88–113. [Google Scholar] [CrossRef]
- Su, Y.C.; Cuo, Y.T.; Huang, Z.L.; Zhang, Z.H.; Li, G.Y.; Lian, J.S.; Ren, L.Q. Preparation and corrosion behaviors of calcium phosphate conversion coating on magnesium alloy. Surf. Coat. Technol. 2016, 16, 21516. [Google Scholar] [CrossRef]
- Zai, W.; Zhang, X.R.; Su, Y.C.; Man, H.C.; Li, G.Y.; Lian, J.S. Comparison of corrosion resistance and biocompatibility of magnesium phosphate (MgP), zinc phosphate (ZnP) and calcium phosphate (CaP) conversion coatings on Mg alloy. Surf. Coat. Technol. 2020, 397, 125919. [Google Scholar] [CrossRef]
- Zhang, L.S.; Jiang, Y.; Zai, W.; Li, G.Y.; Liu, S.C.; Lian, J.S.; Jiang, Z.H. Fabrication of superhydrophobic calcium phosphate Coating on Mg-Zn-Ca alloy and its corrosion resistance. J. Mater. Eng. Perform. 2017, 26, 6117–6129. [Google Scholar] [CrossRef]
- Chen, X.B.; Birbilis, N.; Abbott, T.B. Effect of [Ca2+] and [PO43−] levels on the formation of calcium phosphate conversion coatings on die-cast magnesium alloy AZ91D. Corros. Sci. 2012, 55, 226–232. [Google Scholar] [CrossRef]
- Zhu, Y.H.; Zhi, Y.S.; Fan, J.W. Industrial Water Treatment; Tong Ji University Press: Shanghai, China, 2016. [Google Scholar]
- Liu, Y.M.; Zhang, P.S. Commonly Used Excipients for Pharmaceutical Preparations; Tianjin Technology Translation Publication: Tianjin, China, 1994. [Google Scholar]
- Machu, W. Remarks on the response of R Weiner to F Halla to my work: “The cover theory of passivity, the restrained pickling solution theory and phosphatisation”. Z. Fur Elektrochem. Und Angew. Phys. Chem. 1943, 49, 137. [Google Scholar]
- Katarzyna, M.; Marta, L. Voltametric determination of natamycin using a cathodically pretreated boron-doped diamond electrode in the presence of sodium dodecyl sulfate. Microchem. J. 2020, 159, 105570. [Google Scholar]
- Guzel, Z.; Endzhe, Z.; Herman, B. Electrochemical reduction and quantification of menadione in sodium dodecyl sulfate micellar media. J. Solid. State. Electrochem. 2013, 17, 2679–2685. [Google Scholar]
- Xu, W.Q.; Birbilis, N.; Sha, G.; Wang, Y.; Daniels, J.E.; Xiao, Y.; Ferry, M. A high-specific-strength and corrosion-resistant magnesium alloy. Nat. Mater. 2015, 14, 1229–1235. [Google Scholar] [CrossRef] [PubMed]
Publisher’s Note: MDPI stays neutral with regard to jurisdictional claims in published maps and institutional affiliations. |
© 2022 by the authors. Licensee MDPI, Basel, Switzerland. This article is an open access article distributed under the terms and conditions of the Creative Commons Attribution (CC BY) license (https://creativecommons.org/licenses/by/4.0/).






