Electrophoretic Deposition of ZnO-Containing Bioactive Glass Coatings on AISI 316L Stainless Steel for Biomedical Applications
Abstract
:1. Introduction
2. Materials and Methods
2.1. Materials
2.2. Synthesis
2.3. Electrophoretic Deposition (EPD)
2.4. Characterization Methods
3. Result and Discussion
3.1. XRD Results
3.2. Stereomicroscope Results
3.3. Contact Angle
3.4. Surface Roughness Measurements
3.5. SEM/FESEM/EDS Analyses
3.6. Corrosion Tests
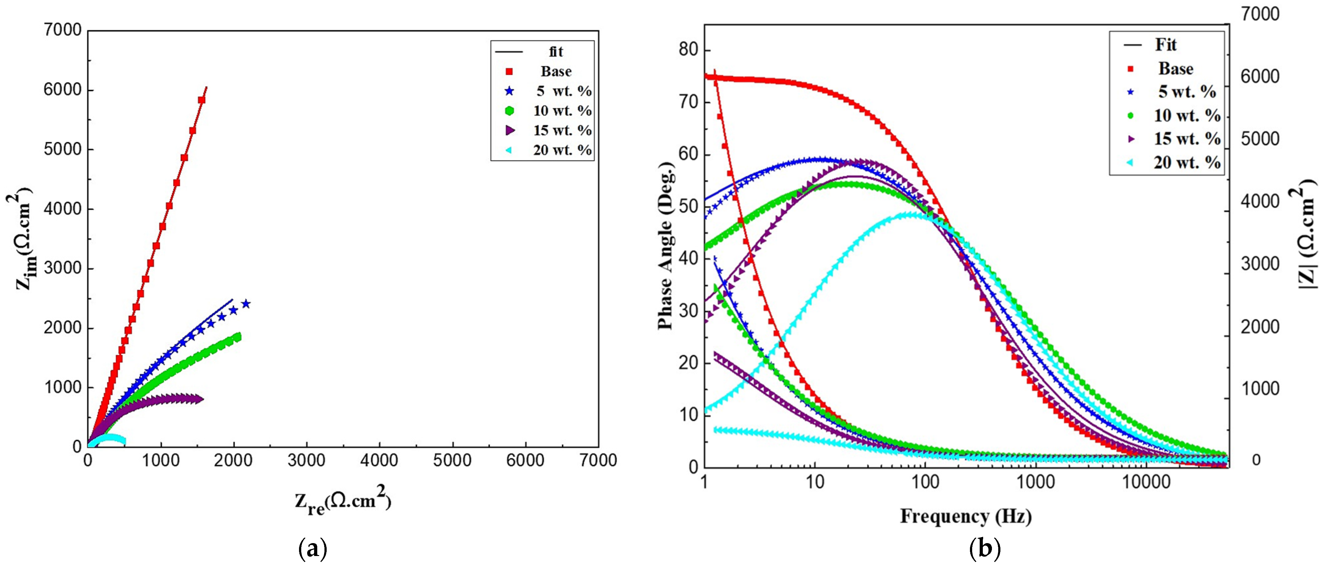
3.7. Electrochemical Impedance Spectroscopy (EIS) Results
3.8. Potentiodynamic Polarization Test
3.9. MTT Test Results
3.10. ICP Test Results
3.11. Hydroxyapatite Crystals
4. Conclusions
Author Contributions
Funding
Institutional Review Board Statement
Informed Consent Statement
Data Availability Statement
Conflicts of Interest
References
- Hu, J.; Yang, K.; Wang, Q.; Zhao, Q.C.; Jiang, Y.H.; Liu, Y.J. Ultra-long life fatigue behavior of a high-entropy alloy. Int. J. Fatigue 2023, 178, 108013. [Google Scholar] [CrossRef]
- Wang, Y.-C.; Lin, S.-H.; Chien, C.-S.; Kung, J.-C.; Shih, C.-J. In Vitro Bioactivity and Antibacterial Effects of a Silver-Containing Mesoporous Bioactive Glass Film on the Surface of Titanium Implants. Int. J. Mol. Sci. 2022, 23, 9291. [Google Scholar] [CrossRef]
- Dhillon, M.S.; Hooda, A.; Moriarty, T.F.; Sharma, S. Biofilms—What Should the Orthopedic Surgeon know? Indian J. Orthop. 2023, 57, 44–51. [Google Scholar] [CrossRef] [PubMed]
- Abdulkareem, E.H.; Memarzadeh, K.; Allaker, R.; Huang, J.; Pratten, J.; Spratt, D. Anti-biofilm activity of zinc oxide and hydroxyapatite nanoparticles as dental implant coating materials. J. Dent. 2015, 43, 1462–1469. [Google Scholar] [CrossRef] [PubMed]
- Fu, Z.; Yang, B.; Shan, M.; Li, T.; Zhu, Z.; Ma, C.; Zhang, X.; Gou, G.; Wang, Z.; Gao, W. Hydrogen embrittlement behavior of SUS301L-MT stainless steel laser-arc hybrid welded joint localized zones. Corros. Sci. 2020, 164, 108337. [Google Scholar] [CrossRef]
- Mahamuni-Badiger, P.P.; Patil, P.M.; Badiger, M.V.; Patel, P.R.; Gadgil, B.S.T.; Pandit, A.; Bohara, R.A. Biofilm formation to inhibition: Role of zinc oxide-based nanoparticles. Mater. Sci. Eng. C 2020, 108, 110319. [Google Scholar] [CrossRef] [PubMed]
- Staedt, H.; Rossa, M.; Lehmann, K.M.; Al-Nawas, B.; Kämmerer, P.W.; Heimes, D. Potential risk factors for early and late dental implant failure: A retrospective clinical study on 9080 implants. Int. J. Implant. Dent. 2020, 6, 81. [Google Scholar] [CrossRef]
- Cordero-Arias, L.; Cabanas-Polo, S.; Goudouri, O.; Misra, S.; Gilabert, J.; Valsami-Jones, E.; Sanchez, E.; Virtanen, S.; Boccaccini, A. Electrophoretic deposition of ZnO/alginate and ZnO-bioactive glass/alginate composite coatings for antimicrobial applications. Mater. Sci. Eng. C 2015, 55, 137–144. [Google Scholar] [CrossRef]
- Zhu, Z.Y.; Liu, Y.L.; Gou, G.Q.; Gao, W.; Chen, J. Effect of heat input on interfacial characterization of the butter joint of hot-rolling CP-Ti/Q235 bimetallic sheets by Laser + CMT. Sci. Rep. 2021, 11, 10020. [Google Scholar] [CrossRef]
- Guo, K.; Gou, G.; Lv, H.; Shan, M. Jointing of CFRP/5083 Aluminum Alloy by Induction Brazing: Processing, Connecting Mechanism, and Fatigue Performance. Coatings 2022, 12, 1559. [Google Scholar] [CrossRef]
- Wang, N.; Wang, Y.; Zheng, K.; Zhi, J.; Zhou, B.; Wu, Y.; Xue, Y.; Ma, Y.; Cheng, F.; Gao, J.; et al. Achieving CVD diamond films on Mo0.5(TiZrTaW)0.5 highly concentrated alloy for ultrastrong corrosion resistance. Surf. Coat. Technol. 2023, 466, 129620. [Google Scholar] [CrossRef]
- Oliver, J.A.N.; Su, Y.C.; Lu, X.N.; Kuo, P.-H.; Du, J.C.; Zhu, D.H. Bioactive glass coatings on metallic implants for biomedical applications. Bioact. Mater. 2019, 4, 261–270. [Google Scholar] [CrossRef] [PubMed]
- Fabris, D.; Fredel, M.C.; Souza, J.C.; Silva, F.S.; Henriques, B. Biomechanical behavior of functionally graded S53P4 bioglass-zirconia dental implants: Experimental and finite element analyses. J. Mech. Behav. Biomed. Mater. 2021, 120, 104565. [Google Scholar] [CrossRef]
- Hammami, I.; Gavinho, S.R.; Pádua, A.S.; Lança, M.D.C.; Borges, J.P.; Silva, J.C.; Sá-Nogueira, I.; Jakka, S.K.; Graça, M.P.F. Extensive Investigation on the Effect of Niobium Insertion on the Physical and Biological Properties of 45S5 Bioactive Glass for Dental Implant. Int. J. Mol. Sci. 2023, 24, 5244. [Google Scholar] [CrossRef]
- Mani, N.; Sola, A.; Trinchi, A.; Fox, K. Is there a future for additive manufactured titanium bioglass composites in biomedical application? A perspective. Biointerphases 2020, 15, 068501. [Google Scholar] [CrossRef]
- Moradpoor, H.; Safaei, M.; Mozaffari, H.R.; Sharifi, R.; Imani, M.M.; Golshah, A.; Bashardoust, N. An overview of recent progress in dental applications of zinc oxide nanoparticles. RSC Adv. 2021, 11, 21189–21206. [Google Scholar] [CrossRef]
- Al-Deen, D.M.J.H.; Ali, B.G.; Al-Mizraqchi, A.S. The Antibacterial Activity of Zinc Oxide Nanoparticles Against Isolates from Internal Cavity of Dental Implant and Natural Teeth (in Vitro Study). Indian J. Public Health Res. Dev. 2019, 10, 1556. [Google Scholar] [CrossRef]
- Mandal, A.K.; Katuwal, S.; Tettey, F.; Gupta, A.; Bhattarai, S.; Jaisi, S.; Bhandari, D.P.; Shah, A.K.; Bhattarai, N.; Parajuli, N. Current Research on Zinc Oxide Nanoparticles: Synthesis, Characterization, and Biomedical Applications. Nanomaterials 2022, 12, 3066. [Google Scholar] [CrossRef] [PubMed]
- Wang, Y.; Zhai, W.; Cheng, S.; Li, J.; Zhang, H. Surface-functionalized design of blood-contacting biomaterials for preventing coagulation and promoting hemostasis. Friction 2023, 11, 1371–1394. [Google Scholar] [CrossRef]
- Li, H.; Si, S.; Yang, K.; Mao, Z.; Sun, Y.; Cao, X.; Yu, H.; Zhang, J.; Ding, C.; Liang, H.; et al. Hexafluoroisopropanol based silk fibroin coatings on AZ31 biometals with enhanced adhesion, corrosion resistance and biocompatibility. Prog. Org. Coat. 2023, 184, 107881. [Google Scholar] [CrossRef]
- Shafiee, B.M.; Torkaman, R.; Mahmoudi, M.; Emadi, R.; Derakhshan, M.; Karamian, E.; Tavangarian, F. Surface Modification of 316L SS Implants by Applying Bioglass/Gelatin/Polycaprolactone Composite Coatings for Biomedical Applications. Coatings 2020, 10, 1220. [Google Scholar] [CrossRef]
- Mohammadtaheri, M.; Li, Y.; Yang, Q. Hard Cr2O3 coatings on SS316L substrates prepared by reactive magnetron sputtering technique: A potential candidate for orthopedic implants. Environ. Sci. Pollut. Res. 2021, 28, 25146–25154. [Google Scholar] [CrossRef]
- Batool, S.A.; Wadood, A.; Hussain, S.W.; Yasir, M.; Rehman, M.A.U. A Brief Insight to the Electrophoretic Deposition of PEEK-, Chitosan-, Gelatin-, and Zein-Based Composite Coatings for Biomedical Applications: Recent Developments and Challenges. Surfaces 2021, 4, 205–239. [Google Scholar] [CrossRef]
- Akshay, K.; Rabeeh, V.M.; Rahim, S.A.; Sijina, K.; Rajanikant, G.; Hanas, T. Electrophoretic deposition of alginate/bioglass composite coating on Mg Ca alloy for degradable metallic implant applications. Surf. Coat. Technol. 2022, 448, 128914. [Google Scholar] [CrossRef]
- Batool, S.A.; Ahmad, K.; Irfan, M.; Rehman, M.A.U. Zn–Mn-Doped Mesoporous Bioactive Glass Nanoparticle-Loaded Zein Coatings for Bioactive and Antibacterial Orthopedic Implants. J. Funct. Biomater. 2022, 13, 97. [Google Scholar] [CrossRef] [PubMed]
- Pani, R.; Behera, R.R.; Roy, S. Electrophoretic deposition of hydroxyapatite Coating: A state of art. Mater. Proc. 2022, 6, 4086–4093. [Google Scholar] [CrossRef]
- ISO 10993-5:2009; Biological Evaluation of Medical Devices, Part 5: Tests for In Vitro Cytotoxicity. ISO: Geneve, Switzerland, 2022.
- Mohammadnejad, A.; Bahrami, A.; Khajavi, L.T. Microstructure and Mechanical Properties of Spark Plasma Sintered Nanocrystalline TiAl-xB Composites (0.0 < x < 1.5 at.%) Containing Carbon Nanotubes. J. Mater. Eng. Perform. 2021, 30, 4380–4392. [Google Scholar] [CrossRef]
- Li, X.; Liu, Y.; Leng, J. Large-scale fabrication of superhydrophobic shape memory composite films for efficient anti-icing and de-icing. Sustain. Mater. Technol. 2023, 37, e00692. [Google Scholar] [CrossRef]
- Ergucu, Z.; Yoruk, I.; Erdoğan, A.; Boyacıoğlu, H.; Hill, R.; Baysan, A. The Use of Toothpastes Containing Different Formulations of Fluoride and Bioglass on Bleached Enamel. Materials 2023, 16, 1368. [Google Scholar] [CrossRef]
- Hu, J.; Li, Q.; Zhong, X.; Kang, W. Novel anti-corrosion silicon dioxide coating prepared by sol–gel method for AZ91D magnesium alloy. Prog. Org. Coat. 2008, 63, 13–17. [Google Scholar] [CrossRef]
- Chellappa, M.; Vijayalakshmi, U. Electrophoretic deposition of silica and its composite coatings on Ti-6Al-4V, and its in vitro corrosion behaviour for biomedical applications. Mater. Sci. Eng. C 2017, 71, 879–890. [Google Scholar] [CrossRef] [PubMed]
- Brevnov, D.A.; Rao, G.R.; López, G.P.; Atanassov, P.B. Dynamics and temperature dependence of etching processes of porous and barrier aluminum oxide layers. Electrochim. Acta 2004, 49, 2487–2494. [Google Scholar] [CrossRef]
- Karimi, N.; Kharaziha, M.; Raeissi, K. Electrophoretic deposition of chitosan reinforced graphene oxide-hydroxyapatite on the anodized titanium to improve biological and electrochemical characteristics. Mater. Sci. Eng. C 2019, 98, 140–152. [Google Scholar] [CrossRef]
- Li, M.; Liu, Q.; Jia, Z.; Xu, X.; Cheng, Y.; Zheng, Y.; Xi, T.; Wei, S. Graphene oxide/hydroxyapatite composite coatings fabricated by electrophoretic nanotechnology for biological applications. Carbon 2014, 67, 185–197. [Google Scholar] [CrossRef]
- Wang, K.; Zhu, J.; Wang, H.; Yang, K.; Zhu, Y.; Qing, Y.; Ma, Z.; Gao, L.; Liu, Y.; Wei, S.; et al. Air plasma-sprayed high-entropy (Y0.2Yb0.2Lu0.2Eu0.2Er0.2)3Al5O12 coating with high thermal protection performance. J. Adv. Ceram. 2022, 11, 1571–1582. [Google Scholar] [CrossRef]
- Zhang, Z.; Han, Y.; Lu, X.; Zhang, T.; Bai, Y.; Ma, Q. Effects of N2 content in shielding gas on microstructure and toughness of cold metal transfer and pulse hybrid welded joint for duplex stainless steel. Mater. Sci. Eng. A 2023, 872, 144936. [Google Scholar] [CrossRef]
- Wang, J.; Pan, Z.; Wang, Y.; Wang, L.; Su, L.; Cuiuri, D.; Zhao, Y.; Li, H. Evolution of crystallographic orientation, precipitation, phase transformation and mechanical properties realized by enhancing deposition current for dual-wire arc additive manufactured Ni-rich NiTi alloy. Addit. Manuf. 2020, 34, 101240. [Google Scholar] [CrossRef]
- Rajzer, I.; Dziadek, M.; Kurowska, A.; Cholewa-Kowalska, K.; Ziąbka, M.; Menaszek, E.; Douglas, T.E.L. Electrospun polycaprolactone membranes with Zn-doped bioglass for nasal tissues treatment. J. Mater. Sci. Mater. Med. 2019, 30, 80. [Google Scholar] [CrossRef] [PubMed]
- Sleibi, A.; Ozel, B.; Anderson, P.; Baysan, A. Comparison of different bioglass applications on root caries—A laboratory-based study. Saudi Dent. J. 2022, 34, 572–578. [Google Scholar] [CrossRef]


















| Sample | CPEout (µF/cm2) | Rout (Ω cm2) | n (Deviation from the Ideal Capacitor) | CPEin (µF/cm2) | Rin (kΩ cm2) | n | Rs (Ω cm2) | Chi-Squared |
|---|---|---|---|---|---|---|---|---|
| Base | 31.78 (0.5) | 89,118 (940) | 0.86 (0.01) | 1.95 (0.15) | 4213 (462) | 0.98 (0.01) | 57.28 (3.7) | 0.001 |
| 5 wt.% | 67.01 (1.8) | 9752 (332) | 0.73 (0.01) | 101.5 (5.5) | 16.73 (1.8) | 0.79 (0.02) | 46.65 (1.8) | 0.0003 |
| 10 wt.% | 69.73 (5.15) | 6620 (181) | 0.69 (0.01) | 149.18 (3.8) | 13.21 (1.5) | 0.98 (0.02) | 42.83 (2.1) | 0.0001 |
| 15 wt.% | 72.78 (1.7) | 2247 (76.2) | 0.76 (0.01) | 550.07 (20.1) | 3.01 (0.29) | 0.91 (0.01) | 39.57 (1.9) | 0.002 |
| 20 wt.% | 88.84 (1.6) | 509.1 (14.7) | 0.76 (0.02) | 10,487 (315) | 0.91 (0.05) | 0.66 (0.01) | 22.66 (1.5) | 0.00002 |
| Sample Name | E (V) | I (µA.cm2) |
|---|---|---|
| Base | −0.34 (0.03) | 5.91 (0.4) |
| 5 wt.% | −0.39 (0.06) | 14.62 (0.9) |
| 10 wt.% | −0.62 (0.04) | 21.51 (1.4) |
| 15 wt.% | −0.78 (0.05) | 129.15 (7.2) |
| 20 wt.% | −0.92 (0.08) | 278.25 (12.4) |
Disclaimer/Publisher’s Note: The statements, opinions and data contained in all publications are solely those of the individual author(s) and contributor(s) and not of MDPI and/or the editor(s). MDPI and/or the editor(s) disclaim responsibility for any injury to people or property resulting from any ideas, methods, instructions or products referred to in the content. |
© 2023 by the authors. Licensee MDPI, Basel, Switzerland. This article is an open access article distributed under the terms and conditions of the Creative Commons Attribution (CC BY) license (https://creativecommons.org/licenses/by/4.0/).
Share and Cite
Heidari Laybidi, F.; Bahrami, A.; Abbasi, M.S.; Rajabinezhad, M.; Heidari Beni, B.; Karampoor, M.R.; Mousavi Anijdan, S.H. Electrophoretic Deposition of ZnO-Containing Bioactive Glass Coatings on AISI 316L Stainless Steel for Biomedical Applications. Coatings 2023, 13, 1946. https://doi.org/10.3390/coatings13111946
Heidari Laybidi F, Bahrami A, Abbasi MS, Rajabinezhad M, Heidari Beni B, Karampoor MR, Mousavi Anijdan SH. Electrophoretic Deposition of ZnO-Containing Bioactive Glass Coatings on AISI 316L Stainless Steel for Biomedical Applications. Coatings. 2023; 13(11):1946. https://doi.org/10.3390/coatings13111946
Chicago/Turabian StyleHeidari Laybidi, Farnaz, Abbas Bahrami, Mohammad Saeid Abbasi, Mojtaba Rajabinezhad, Bahar Heidari Beni, Mohammad Reza Karampoor, and S. H. Mousavi Anijdan. 2023. "Electrophoretic Deposition of ZnO-Containing Bioactive Glass Coatings on AISI 316L Stainless Steel for Biomedical Applications" Coatings 13, no. 11: 1946. https://doi.org/10.3390/coatings13111946
APA StyleHeidari Laybidi, F., Bahrami, A., Abbasi, M. S., Rajabinezhad, M., Heidari Beni, B., Karampoor, M. R., & Mousavi Anijdan, S. H. (2023). Electrophoretic Deposition of ZnO-Containing Bioactive Glass Coatings on AISI 316L Stainless Steel for Biomedical Applications. Coatings, 13(11), 1946. https://doi.org/10.3390/coatings13111946

