Enhancing the Thermal Stability and Reducing the Resistance Drift of Sb Phase Change Films by Adding In2Se3 Interlayers
Abstract
1. Introduction
2. Experimental
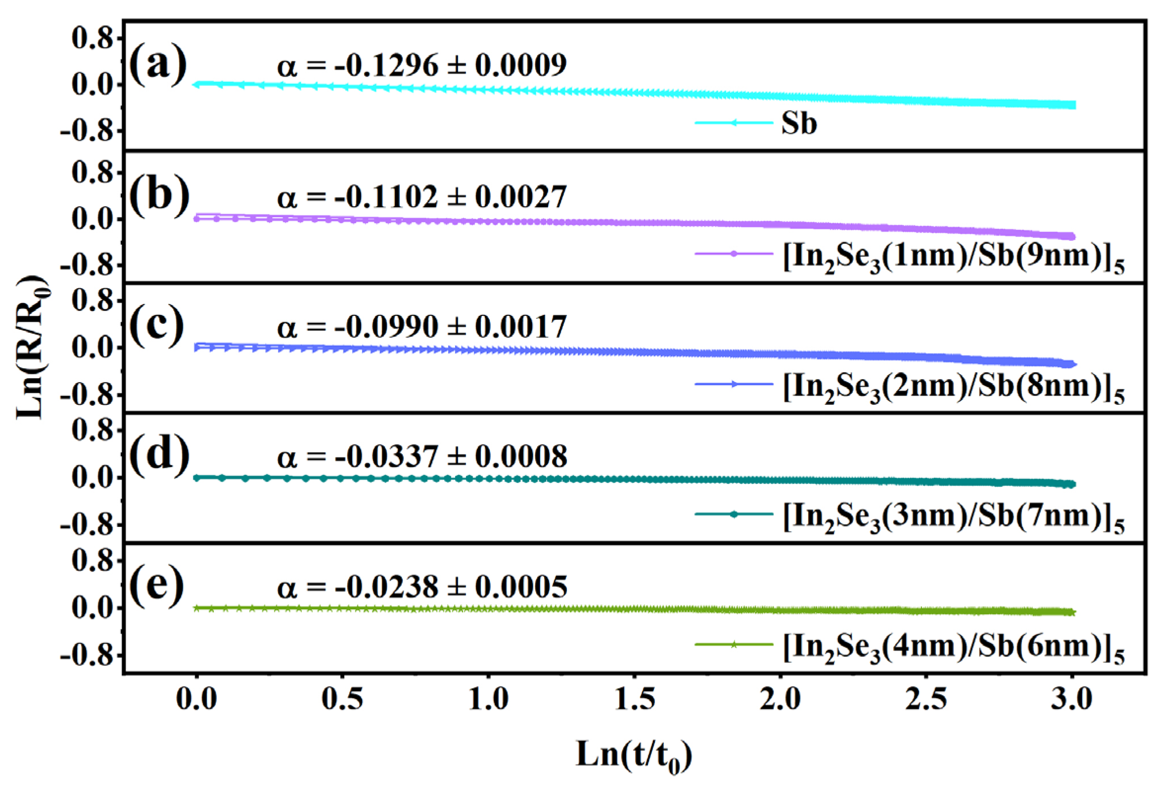
3. Results and Discussions
4. Implications and Prospects
5. Conclusions
Author Contributions
Funding
Institutional Review Board Statement
Informed Consent Statement
Data Availability Statement
Conflicts of Interest
References
- Hu, Y.T.; Lai, H.; Zou, H.; Zhu, X. Simultaneously high thermal stability and low power based on Cu-doped GeTe phase change material. Mater. Res. Express 2018, 6, 025907. [Google Scholar] [CrossRef]
- Zou, H.; Hu, Y.; You, H.; Zhu, X.; Song, S. Superlattice-like GeTe/Sb thin film for ultra-high speed phase change memory applications. J. NonCryst. Solids 2017, 457, 141–144. [Google Scholar]
- Szkutnik, P.D.; Aoukar, M.; Todorova, V.; Angélidès, L.; Pelissier, B.; Jourde, D.; Michallon, P.; Vallée, C.; Noé, P. Impact of In doping on GeTe phase-change materials thin films obtained by means of an innovative plasma enhanced metalorganic chemical vapor deposition process. J. Appl. Phys. 2017, 121, 105301. [Google Scholar] [CrossRef]
- Zeng, X.; Zhu, X.; Hu, Y.; Song, Z. C/Sb Superlattice-Like Films with High Thermal Stability and Low Power Consumption for Phase-Change Memory. J. Electron. Mater. 2022, 51, 5594–5600. [Google Scholar] [CrossRef]
- Yh, A.; Tl, B.; Chen, D.C.; Xy, C. The coupling effect and phase transition behavior of multiple interfaces in GeTe/Sb superlattice-like films. J. Alloy. Compd. 2021, 871, 159467. [Google Scholar]
- Julien, C.; Chevy, A.; Siapkas, D. Optical properties of In2Se3 phases. Phys. Status Solidi A 1990, 118, 553–559. [Google Scholar] [CrossRef]
- Zhai, T.; Fang, X.; Liao, M.; Xu, X.; Golberg, D. Fabrication of high-quality In2Se3 nanowire arrays toward high-performance visible-light photodetectors. Acs. Nano 2010, 4, 1596–1602. [Google Scholar] [CrossRef]
- Julien, C.; Eddrief, M.; Kambas, K.; Balkanski, M. Electrical and optical properties of In2Se3 thin films. Thin Solid Film. 1986, 137, 27–37. [Google Scholar] [CrossRef]
- Afifi, M.A.; Bekheet, A.E.; Elwahhab, E.; Atyia, H.E. Ac conductivity and dielectric properties of amorphous In2Se3 films—ScienceDirect. Vacuum 2001, 61, 9–17. [Google Scholar] [CrossRef]
- Xu, Y.; Wang, X.; Zhang, W.; Schäfer, L.; Reindl, J.; Vom Bruch, F.; Zhou, Y.; Evang, V.; Wang, J.-J.; Deringer, V.L.; et al. Materials Screening for Disorder-Controlled Chalcogenide Crystals for Phase-Change Memory Applications. Adv. Mater. 2021, 33, e2006221. [Google Scholar] [CrossRef]
- Huang, Y.; Wu, W.; Xu, S.; Zhu, X.; Shen, B.; Zhai, J.; Yue, Z.; Song, S.; Song, Z. Uncovering the physical properties, structural characteristics, and electronic application of superlattice-like Ti/Sb phase-change thin films. J. Phys. D Appl. Phys. Europhys. J. 2022, 24, 55. [Google Scholar] [CrossRef]
- Gao, S.; Hu, Y.; Wang, L.; Zhu, X. Simultaneously good thermal stability and low power consumption for Sb/In48.9Sb15.5Te35.6 multilayer composite film. J. NonCryst. Solids 2021, 567, 120928. [Google Scholar] [CrossRef]
- Shen, X.; Wang, Z.; Dai, S.; Lu, Y.; Chen, Y. Improved phase change behavior of Sb3Te material by ZnSb doping for phase change memory. Appl. Phys. A Mater. Sci. Process. 2015, 119, 425–429. [Google Scholar] [CrossRef]
- Lu, Y. Crystallization of Sb-rich Sb55Te45 alloy as an ultra-fast phase change film. J. Mater. Sci. Mater. Electron. 2021, 4, 10491–10497. [Google Scholar] [CrossRef]
- Sun, M.; Hu, Y.; Shen, B.; Zhai, J.; Song, S. Si/SnSe<sub>2</sub> Multilayer Films for Phase Change Memory Applications. Integr. Ferroelectr. Int. J. 2012, 140, 1–7. [Google Scholar]
- He, Z.; Chen, S.; Wu, W.; Zhai, J.; Song, S.; Song, Z. Investigation of multilayer SnSb. Appl. Phys. Express 2017, 10, 055504.1–055504.4. [Google Scholar] [CrossRef]
- Liu, G.; Wu, L.; Zhu, M.; Song, Z.; Rao, F.; Song, S.; Cheng, Y. The investigations of characteristics of Sb2Te as a base phase-change material. Solid State Electron. 2017, 135, 31–36. [Google Scholar] [CrossRef]
- Lu, Y.; Zhang, Z.; Song, S.; Shen, X.; Wang, G.; Cheng, L.; Dai, S.; Song, Z. Performance improvement of Ge-Sb-Te material by GaSb doping for phase change memory. Appl. Phys. Lett. 2013, 102, 3044. [Google Scholar] [CrossRef]
- You, H.; Hu, Y.; Zhu, X.; Zou, H.; Song, S.; Song, Z. Investigation of Cu–Sn–Se material for high-speed phase-change memory applications. J. Mater. Sci. Mater. Electron. 2017, 28, 10199–10204. [Google Scholar] [CrossRef]
- Rui, Z.; Hu, Y.; Zhu, X.; Chou, Q.; Lai, T. Simultaneously Good Stability and High Speed Based on Oxygen-Doped Zn15Sb85 Material. ECS J. Solid State Sci. Technol. 2018, 7, P452–P455. [Google Scholar]
- Zhang, R.; Hu, Y.; Chou, Q.; Lai, T.; Zhu, X. Effects of SiO2 interlayers on the phase change behavior in the multilayer Zn15Sb85/SiO2 materials. J. Alloy. Compd. 2019, 798, 342–349. [Google Scholar] [CrossRef]
- Hu, Y.; Qiu, Q.; Zhu, X.; Lai, T. Ultrafast crystallization in nanoscale phase change film of monobasic antimony. Appl. Surf. Sci. 2019, 505, 144337. [Google Scholar] [CrossRef]
- Weihua, W.; Chen, S.; Zhai, J.; Liu, X.; Lai, T.; Song, S.; Song, Z. TixSb100−x thin films as candidates for phase-change memory application. Appl. Phys. Lett. 2017, 110, 181906. [Google Scholar]
- Kwak, W.C.; Sung, Y.M. Influence of cation substitution on the phase formation kinetics of Sr0.7Bi2.3Ta2O9 thin films. J. Eur. Ceram. Soc. 2004, 24, 1603–1606. [Google Scholar] [CrossRef]
- You, H.; Hu, Y.; Zhu, X.; Zou, H.; Song, S.; Song, Z. Simultaneous ultra-long data retention and low power based on Ge10Sb90/SiO2 multilayer thin films. Appl. Phys. A 2018, 124, 168.1–168.6. [Google Scholar] [CrossRef]
- Lü, J.; Dai, J.; Zhu, J.; Song, X.; Sun, Z. Effect of Na concentrations on microstructure and optical properties of ZnO films. J. Wuhan Univ. Technol. Mater. Sci. Ed. 2011, 26, 23–27. [Google Scholar] [CrossRef]
- Xu, J.; Hu, Y. Stability enhancement and resistance drift suppression of antimony thin films by hafnium oxide interlayers. J. Mater. Res. Technol. 2022, 18, 4631–4640. [Google Scholar] [CrossRef]
- Guo, X.; Hu, Y.; Chou, Q.; Lai, T. Insulator–metal transition and ultrafast crystallization of Ga40Sb60/Sn15Sb85 multiple interfacial nanocomposite films. J. Mater. Sci. Mater. Electron. 2019, 30, 19302–19308. [Google Scholar] [CrossRef]
- Puglisi, G.; Zurlo, G. Electric field localizations in thin dielectric films with thickness non-uniformities. J. Electrost. 2012, 70, 312–316. [Google Scholar] [CrossRef]
- Curtright, T.L.; Aden, N.M.; Haddad, M.J.; Karayev, S.; Khadka, D.B.; Li, J. Charged line segments and ellipsoidal equipotentials. Eur. J. Phys. 2016, 37, 035201. [Google Scholar] [CrossRef]
- Gu, Y.; Song, S.; Song, Z.; Bai, S.; Cheng, Y.; Zhang, Z.; Liu, B.; Feng, S. Phase-change material Ge0.61Sb2Te for application in high-speed phase change random access memory. Appl. Phys. Lett. 2013, 102, 103110. [Google Scholar] [CrossRef]








Disclaimer/Publisher’s Note: The statements, opinions and data contained in all publications are solely those of the individual author(s) and contributor(s) and not of MDPI and/or the editor(s). MDPI and/or the editor(s) disclaim responsibility for any injury to people or property resulting from any ideas, methods, instructions or products referred to in the content. |
© 2023 by the authors. Licensee MDPI, Basel, Switzerland. This article is an open access article distributed under the terms and conditions of the Creative Commons Attribution (CC BY) license (https://creativecommons.org/licenses/by/4.0/).
Share and Cite
Su, F.; Hu, Y.; Zhu, X.; Lai, T. Enhancing the Thermal Stability and Reducing the Resistance Drift of Sb Phase Change Films by Adding In2Se3 Interlayers. Coatings 2023, 13, 927. https://doi.org/10.3390/coatings13050927
Su F, Hu Y, Zhu X, Lai T. Enhancing the Thermal Stability and Reducing the Resistance Drift of Sb Phase Change Films by Adding In2Se3 Interlayers. Coatings. 2023; 13(5):927. https://doi.org/10.3390/coatings13050927
Chicago/Turabian StyleSu, Feng, Yifeng Hu, Xiaoqin Zhu, and Tianshu Lai. 2023. "Enhancing the Thermal Stability and Reducing the Resistance Drift of Sb Phase Change Films by Adding In2Se3 Interlayers" Coatings 13, no. 5: 927. https://doi.org/10.3390/coatings13050927
APA StyleSu, F., Hu, Y., Zhu, X., & Lai, T. (2023). Enhancing the Thermal Stability and Reducing the Resistance Drift of Sb Phase Change Films by Adding In2Se3 Interlayers. Coatings, 13(5), 927. https://doi.org/10.3390/coatings13050927

