Mn-Doped NaNbO3/Na0.5Bi0.5TiO3 Lead-Free Ferroelectric Ceramics with Enhanced Energy Storage Performance
Abstract
1. Introduction
2. Materials and Methods
2.1. Preparation of M–NN–xBNT Samples
2.2. Characterization
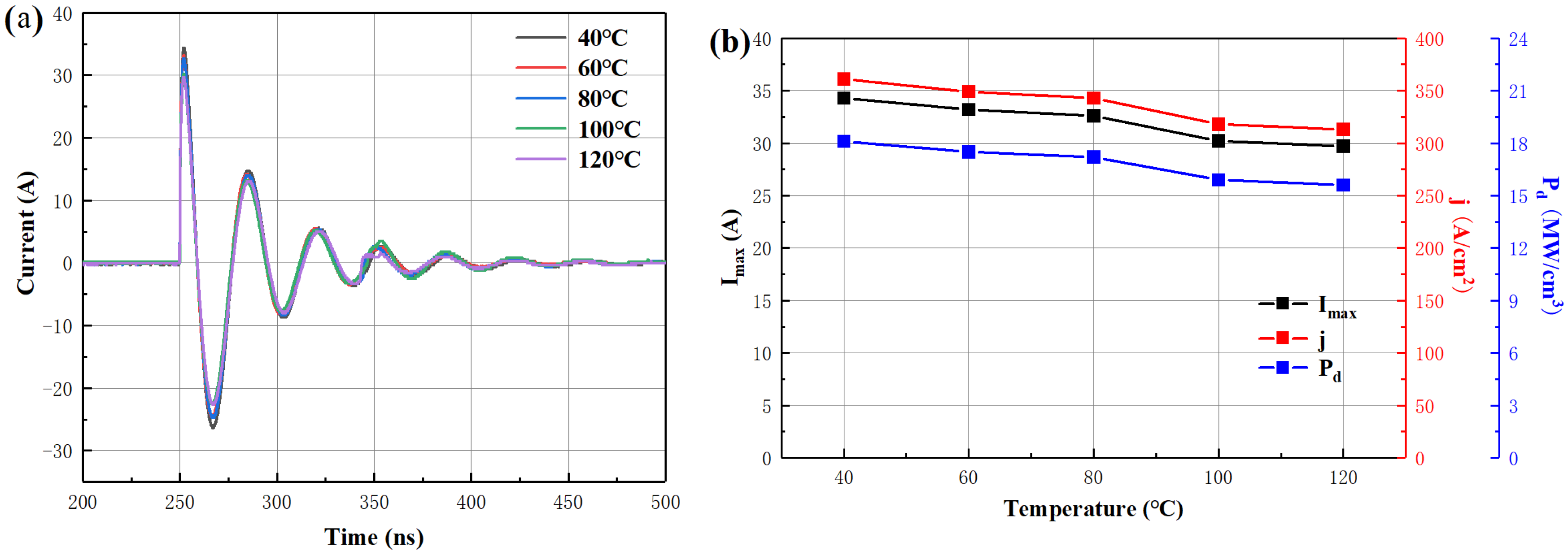
3. Results
4. Conclusions
Author Contributions
Funding
Institutional Review Board Statement
Informed Consent Statement
Data Availability Statement
Conflicts of Interest
References
- Taghaddos, E.; Charalambous, H.; Tsakalakos, T. Electromechanical properties of flash sintered BNT-based piezoelectric ceramic. J. Eur. Ceram. Soc. 2019, 39, 2882–2888. [Google Scholar] [CrossRef]
- Wang, Q.; Wang, T.; Zhang, L.; Liu, Z.; Guo, K.; Lu, J.; Xie, B. High energy-storage performance of lead-free Ba0.4Sr0.6TiO3–Sr0.7Bi0.2TiO3 relaxor-ferroelectric ceramics with ultrafine grain size. Ceram. Int. 2022, 48, 2068–2074. [Google Scholar] [CrossRef]
- Yuan, X.; Zhang, Y.; Gong, L.; Li, B.; Zhang, L. High energy storage performance of Na(Nb0.95Ta0.05)O3/Na0.5Bi0.5TiO3 lead-free ferroelectric ceramics. Ceram. Int. 2022, 48, 13244–13249. [Google Scholar] [CrossRef]
- Chauhan, A.; Patel, S.; Vaish, R.; Bowen, C. Anti-ferroelectric ceramics for high energy density capacitors. J. Mater. 2015, 8, 8009–8031. [Google Scholar] [CrossRef] [PubMed]
- Damjanovic, D.; Klein, N.; Jin, L.; Porokhonskyy, V. What can be expected from lead-free piezoelectric materials. J. Funct. Mater. Lett. 2010, 3, 5–13. [Google Scholar] [CrossRef]
- Shao, T.; Du, H.; Ma, H.; Qu, S.; Wang, J.; Wang, J.; Wei, X.; Xu, Z. Potassium-sodium niobate based lead-free ceramics: Novel electrical energy storage materials. J. Mater. Chem. A 2017, 5, 554–563. [Google Scholar] [CrossRef]
- Correia, T.; Stewart, M.; Ellmore, A.; Albertsen, K. Lead-free ceramics with high energy density and reduced losses for high temperature applications. J. Adv. Eng. Mater. 2017, 19, 1700019. [Google Scholar] [CrossRef]
- Wei, T.; Liu, K.; Fan, P.; Lu, D.; Ye, B.; Zhou, C.; Yang, H.; Tan, H.; Salamon, D. Novel NaNbO3-Sr0.7Bi0.2TiO3 lead-free dielectric ceramics with excellent energy storage properties. J. Ceram. Int. 2021, 47, 3713–3719. [Google Scholar] [CrossRef]
- Zhao, P.; Tang, B.; Si, F.; Yang, C.; Li, H.; Zhang, S. Novel Ca doped Sr0.7 Bi0.2TiO3 lead-free relaxor ferroelectrics with high energy density and efficiency. J. Eur. Ceram. Soc. 2020, 40, 1938–1946. [Google Scholar] [CrossRef]
- Tian, Y.; Jin, L.; Zhang, H. High energy density in silver niobate ceramics. J. Mater. Chem. A 2016, 4, 17279–17287. [Google Scholar] [CrossRef]
- Luo, N.; Han, K.; Zhuo, F. Design for high energy storage density and temperature-insensitive lead-free antiferroelectric ceramics. J. Mater. Chem. A 2019, 7, 4999–5008. [Google Scholar] [CrossRef]
- Zhou, M.; Liang, R.; Zhou, Z.; Yan, S.; Dong, X. Novel sodium niobate-based lead-free ceramics as new environment-friendly energy storage materials with high energy density, high power density, and excellent stability. J. ACS Sustain. Chem. Eng. 2018, 6, 12755–12765. [Google Scholar] [CrossRef]
- Qi, H.; Zuo, R.; Xie, A.; Tian, A.; Fu, J.; Zhang, Y.; Zhang, S. Ultrahigh energy-storage density in NaNbO3-based lead-free relaxor antiferroelectric ceramics with nanoscale domains. J. Adv. Funct. Mater. 2019, 29, 1903877. [Google Scholar] [CrossRef]
- Zhou, M.; Liang, R.; Zhou, Z.; Dong, X. Superior energy storage properties and excellent stability of novel NaNbO3-based lead-free ceramics with A-site vacancy obtained via a Bi2O3 substitution strategy. J. Mater. Chem. 2018, 6, 17896–17904. [Google Scholar] [CrossRef]
- Jin, L.; Li, F.; Green, D. Decoding the fingerprint of ferroelectric loops: Comprehension of the material properties and structures. J. Am. Ceram. Soc. 2014, 97, 1–27. [Google Scholar] [CrossRef]
- Zhao, L.; Liu, Q.; Zhang, S. Lead-free AgNbO3 anti-ferroelectric ceramics with an enhanced energy storage performance using MnO2 modification. J. Mater. Chem. A 2016, 4, 8380–8384. [Google Scholar] [CrossRef]
- Shen, Z.; Wang, X.; Luo, B.; Li, L. BaTiO3-BiYbO3 perovskite materials for energy storage applications. J. Mater. Chem. A 2015, 3, 18146–18153. [Google Scholar] [CrossRef]
- Ye, J.; Wang, G.; Zhou, M. Excellent comprehensive energy storage properties of novel lead-free NaNbO3-based ceramics for dielectric capacitor applications. J. Mater. Chem. A 2019, 7, 5639–5645. [Google Scholar] [CrossRef]
- Yang, Z.; Du, H.; Xu, Z. A new family of sodium niobate-based dielectrics for electrical energy storage applications. J. Eur. Ceram. Soc. 2019, 39, 2899–2907. [Google Scholar] [CrossRef]
- Fan, Y.; Zhou, Z.; Liang, R. Designing novel lead-free NaNbO3-based ceramic with superior comprehensive energy storage and discharge properties for dielectric capacitor applications via relaxor strategy. J. Eur. Ceram. Soc. 2019, 39, 4770–4777. [Google Scholar] [CrossRef]
- Guo, B.; Yan, Y.; Tang, M.; Wang, Z.; Li, Y.; Zhang, L.; Zhang, H.; Jin, L.; Liu, G. Energy storage performance of Na0.5Bi0.5TiO3 based lead-free ferroelectric ceramics prepared via non-uniform phase structure modification and rolling process. J. Chem. Eng. 2021, 420, 130475. [Google Scholar] [CrossRef]
- Ng, Y.; Alexander, S. Structural studies of manganese stabilized lead zirconate titanate. J. Ferroelectr. 1983, 51, 81–86. [Google Scholar] [CrossRef]
- Yan, Y.; Cho, K.; Priya, S. Identification and effect of secondary phase in MnO2-doped 0.8Pb(Zr0.52Ti0.48)O3-0.2Pb(Zn1/3Nb2/3)O3 piezoelectric ceramics. J. Am. Ceram. Soc. 2011, 94, 3953–3959. [Google Scholar] [CrossRef]






Disclaimer/Publisher’s Note: The statements, opinions and data contained in all publications are solely those of the individual author(s) and contributor(s) and not of MDPI and/or the editor(s). MDPI and/or the editor(s) disclaim responsibility for any injury to people or property resulting from any ideas, methods, instructions or products referred to in the content. |
© 2024 by the authors. Licensee MDPI, Basel, Switzerland. This article is an open access article distributed under the terms and conditions of the Creative Commons Attribution (CC BY) license (https://creativecommons.org/licenses/by/4.0/).
Share and Cite
Zhang, Y.; Li, H.; Wang, E.; Gao, J.; Yue, L.; Zhao, M.; Zhang, L. Mn-Doped NaNbO3/Na0.5Bi0.5TiO3 Lead-Free Ferroelectric Ceramics with Enhanced Energy Storage Performance. Coatings 2024, 14, 1392. https://doi.org/10.3390/coatings14111392
Zhang Y, Li H, Wang E, Gao J, Yue L, Zhao M, Zhang L. Mn-Doped NaNbO3/Na0.5Bi0.5TiO3 Lead-Free Ferroelectric Ceramics with Enhanced Energy Storage Performance. Coatings. 2024; 14(11):1392. https://doi.org/10.3390/coatings14111392
Chicago/Turabian StyleZhang, Yangyang, Hui Li, Erping Wang, Jingxia Gao, Liqin Yue, Miao Zhao, and Ling Zhang. 2024. "Mn-Doped NaNbO3/Na0.5Bi0.5TiO3 Lead-Free Ferroelectric Ceramics with Enhanced Energy Storage Performance" Coatings 14, no. 11: 1392. https://doi.org/10.3390/coatings14111392
APA StyleZhang, Y., Li, H., Wang, E., Gao, J., Yue, L., Zhao, M., & Zhang, L. (2024). Mn-Doped NaNbO3/Na0.5Bi0.5TiO3 Lead-Free Ferroelectric Ceramics with Enhanced Energy Storage Performance. Coatings, 14(11), 1392. https://doi.org/10.3390/coatings14111392

