Effect of Humidity on Interfacial Debonding Behavior Between Larger Graphene Sheet and Cement-Based Composites
Abstract
1. Introduction
2. Model and Methodology
2.1. Model
2.2. Force Field
2.3. Simulation Process
3. Results and Discussion
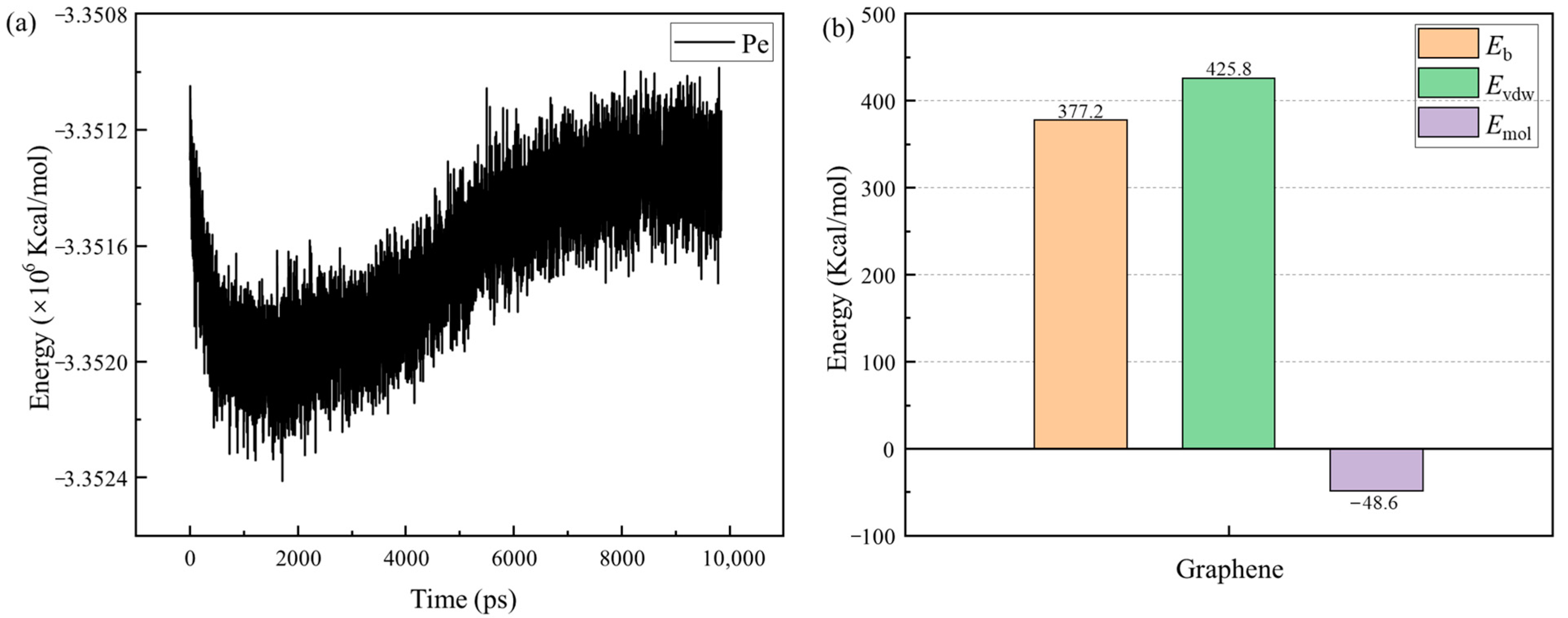
3.1. Interface Structure of G and C-S-H
3.2. Debonding Process and Debonding Properties of G on C-S-H
3.3. Effect of Water Content on the Debonding Properties of G
3.4. Analysis of the Adhesion Mechanism Between the G/C-S-H Interface
4. Conclusions
- Under dry conditions, adhesion strength at the interface between G and C-S-H is strong, mainly influenced by van der Waals forces and possible hydrogen bonding interactions; in humid environments, an increase in moisture will weaken these interactions, leading to a decrease in adhesion performance.
- As the number of interfacial water layers increases, the required tensile force and delamination work for the delamination of G at the C-S-H interface gradually decrease. Especially when the water layer exceeds two layers, water acts as a lubricant, significantly reducing interfacial adhesion performance.
- The adhesion between G and C-S-H interfaces mainly originates from van der Waals forces rather than strong chemical bonding interactions. The presence of water weakens this interaction, resulting in a decrease in interfacial bonding strength.
Author Contributions
Funding
Institutional Review Board Statement
Informed Consent Statement
Data Availability Statement
Conflicts of Interest
References
- Geim, A.K. Graphene: Status and prospects. Science 2009, 324, 1530–1534. [Google Scholar] [CrossRef] [PubMed]
- Banhart, F.; Kotakoski, J.; Krasheninnikov, A.V. Structural defects in graphene. ACS Nano 2011, 5, 26–41. [Google Scholar] [CrossRef] [PubMed]
- Balandin, A.A.; Ghosh, S.; Bao, W.; Calizo, I.; Teweldebrhan, D.; Miao, F.; Lau, C.N. Superior thermal conductivity of single-layer graphene. Nano Lett. 2008, 8, 902–907. [Google Scholar] [CrossRef] [PubMed]
- Yang, Y.; Cao, J.; Wei, N.; Meng, D.; Wang, L.; Ren, G.; Yan, R.; Zhang, N. Thermal conductivity of defective graphene oxide: A molecular dynamic study. Molecules 2019, 24, 1103. [Google Scholar] [CrossRef]
- Chen, D.; Feng, H.; Li, J. Graphene oxide: Preparation, functionalization, and electrochemical applications. Chem. Rev. 2012, 112, 6027–6053. [Google Scholar] [CrossRef]
- Kai, M.; Zhang, L.; Liew, K. Graphene and graphene oxide in calcium silicate hydrates: Chemical reactions, mechanical behavior and interfacial sliding. Carbon 2019, 146, 181–193. [Google Scholar] [CrossRef]
- Dai, Z.; Lu, N.; Liechti, K.M.; Huang, R. Mechanics at the interfaces of 2D materials: Challenges and opportunities. Curr. Opin. Solid State Mater. Sci. 2020, 24, 100837. [Google Scholar] [CrossRef]
- Ghazizadeh, S.; Duffour, P.; Skipper, N.; Billing, M.; Bai, Y. An investigation into the colloidal stability of graphene oxide nano-layers in alite paste. Cem. Concr. Res. 2017, 99, 116–128. [Google Scholar] [CrossRef]
- Lin, W.; Zhang, C.; Fu, J.; Xin, H. Dynamic mechanical behaviors of calcium silicate hydrate under shock compression loading using molecular dynamics simulation. J. Non-Cryst. Solids 2018, 500, 482–486. [Google Scholar] [CrossRef]
- Fan, D.; Lue, L.; Yang, S. Molecular dynamics study of interfacial stress transfer in graphene-oxide cementitious composites. Comput. Mater. Sci. 2017, 139, 56–64. [Google Scholar] [CrossRef]
- Zhao, L.; Guo, X.; Song, L.; Song, Y.; Dai, G.; Liu, J. An intensive review on the role of graphene oxide in cement-based materials. Constr. Build. Mater. 2020, 241, 117939. [Google Scholar] [CrossRef]
- Yang, Y.; Cao, J.; Wu, P.; Luo, T.; Liang, T.; Yin, H.; Yuan, K. Effect of temperature on interface debonding behavior of graphene/graphene-oxide on cement-based composites. Surf. Interfaces 2024, 47, 104198. [Google Scholar] [CrossRef]
- Mukherjee, K.; Rajender, A.; Samanta, A.K. A review on the fresh properties, mechanical and durability performance of graphene-based cement composites. Mater. Today Proc. 2023; in press. [Google Scholar]
- Hou, D.; Zhang, W.; Chen, Z.; Zheng, Q.; Sun, G.; Liang, R. A molecular dynamics study of silicene reinforced cement composite at different humidity: Surface structure, bonding, and mechanical properties. Constr. Build. Mater. 2021, 291, 123242. [Google Scholar] [CrossRef]
- Fan, L.; Song, F.; Xu, J.; Wang, H.; Wang, F. Interlayer sp3 Bonds and Chirality at Bilayer Graphene Oxide/Calcium Silicate Hydrate Abnormally Enhance Its Interlayer Stress Transfer. ACS Omega 2024, 9, 10343–10352. [Google Scholar] [CrossRef] [PubMed]
- Miao, X.; Xing, Y.; Zheng, H.; Liu, Q.; Hu, M.; Guo, J. Effects of hybrid graphene oxide-nanosilica on calcium silicate hydrate in the simulation environment and cement. ACS Omega 2023, 8, 22975–22983. [Google Scholar] [CrossRef]
- Liang, T.; Lai, Y.; Hou, D.; Pei, W.; Wang, M.; Yu, F.; Yang, Q.; Yang, Y.; Li, H. Molecular dynamics simulation investigation on the anti-freezing mechanisms of CSH-GS/GO interfaces. Constr. Build. Mater. 2023, 369, 130581. [Google Scholar] [CrossRef]
- Aadithya, M.; Sunil, R.; Gomosta, S.; Maliyekkal, S.M.; Rahul, A. Behavior of functionalized graphene in fresh and hydrated cement matrix: Role of carboxyl and amine functional group. Constr. Build. Mater. 2024, 450, 138542. [Google Scholar] [CrossRef]
- Lu, L.; Zhang, Y.; Yin, B. Structure evolution of the interface between graphene oxide-reinforced calcium silicate hydrate gel particles exposed to high temperature. Comput. Mater. Sci. 2020, 173, 109440. [Google Scholar] [CrossRef]
- Gronchi, P.; Bianchi, S.; Brambilla, L.; Goisis, M. Graphite Nanoplatelets and Graphene Oxide Influence on CSH Formation. In Superplasticizers and Other Chemical Admixtures in Concrete; ACI-American Concrete Institute: Farmington Hills, MI, USA, 2018; pp. 237–256. [Google Scholar]
- Hou, D.; Lu, Z.; Li, X.; Ma, H.; Li, Z. Reactive molecular dynamics and experimental study of graphene-cement composites: Structure, dynamics and reinforcement mechanisms. Carbon 2017, 115, 188–208. [Google Scholar] [CrossRef]
- Chen, W.; Lu, S.; Yu, S.; Gong, C.; Wang, Z.; Gao, Y. Effects of graphene oxide on shearing performance of C–S–H composites: A molecular dynamics study. J. Mater. Sci. 2023, 58, 16972–16987. [Google Scholar] [CrossRef]
- Long, Z.; You, L.; Tang, X.; Ma, W.; Ding, Y.; Xu, F. Analysis of interfacial adhesion properties of nano-silica modified asphalt mixtures using molecular dynamics simulation. Constr. Build. Mater. 2020, 255, 119354. [Google Scholar] [CrossRef]
- Tam, L.-h.; He, L.; Wu, C. Molecular dynamics study on the effect of salt environment on interfacial structure, stress, and adhesion of carbon fiber/epoxy interface. Compos. Interfaces 2019, 26, 431–447. [Google Scholar] [CrossRef]
- Lyu, Y.; Huang, Q.; Liu, L.; Zhang, D.; Xue, H.; Zhang, F.; Zhang, H.; Li, R.; Wang, Q. Experimental and molecular dynamics simulation investigations of adhesion in heavy oil/water/pipeline wall systems during cold transportation. Energy 2022, 250, 123811. [Google Scholar] [CrossRef]
- Ranathunga, D.T.; Shamir, A.; Dai, X.; Nielsen, S.O. Molecular dynamics simulations of water condensation on surfaces with tunable wettability. Langmuir 2020, 36, 7383–7391. [Google Scholar] [CrossRef]
- Büyüköztürk, O.; Buehler, M.J.; Lau, D.; Tuakta, C. Structural solution using molecular dynamics: Fundamentals and a case study of epoxy-silica interface. Int. J. Solids Struct. 2011, 48, 2131–2140. [Google Scholar] [CrossRef]
- Yang, Y.; Cao, J. New insight on the interfacial behavior between graphene-based membranes and protonated silicon-dioxide via molecular dynamics simulations. Appl. Surf. Sci. 2022, 590, 152727. [Google Scholar] [CrossRef]
- Pellenq, R.J.-M.; Kushima, A.; Shahsavari, R.; Van Vliet, K.J.; Buehler, M.J.; Yip, S.; Ulm, F.-J. A realistic molecular model of cement hydrates. Proc. Natl. Acad. Sci. USA 2009, 106, 16102–16107. [Google Scholar] [CrossRef] [PubMed]
- Hou, D.; Yang, Q.; Jin, Z.; Wang, P.; Wang, M.; Wang, X.; Zhang, Y. Enhancing interfacial bonding between epoxy and CSH using graphene oxide: An atomistic investigation. Appl. Surf. Sci. 2021, 568, 150896. [Google Scholar] [CrossRef]
- Cygan, R.T.; Liang, J.-J.; Kalinichev, A.G. Molecular models of hydroxide, oxyhydroxide, and clay phases and the development of a general force field. J. Phys. Chem. B 2004, 108, 1255–1266. [Google Scholar] [CrossRef]
- Watkins, E.K.; Jorgensen, W.L. Perfluoroalkanes: Conformational analysis and liquid-state properties from ab initio and Monte Carlo calculations. J. Phys. Chem. A 2001, 105, 4118–4125. [Google Scholar] [CrossRef]
- Yang, Y.; Wang, Y.; Cao, J. Prediction and evaluation of thermal conductivity in nanomaterial-reinforced cementitious composites. Cem. Concr. Res. 2023, 172, 107240. [Google Scholar] [CrossRef]
- Mishra, R.K.; Mohamed, A.K.; Geissbühler, D.; Manzano, H.; Jamil, T.; Shahsavari, R.; Kalinichev, A.G.; Galmarini, S.; Tao, L.; Heinz, H. cemff: A force field database for cementitious materials including validations, applications and opportunities. Cem. Concr. Res. 2017, 102, 68–89. [Google Scholar] [CrossRef]
- Liang, T.; Lai, Y.; Hou, D.; Yang, Q.; Yang, Y.; Bai, R.; Zhang, J.; Jiang, J. Freezing mechanism of NaCl solution ultra-confined on surface of calcium-silicate-hydrate: A molecular dynamics study. Cem. Concr. Res. 2022, 154, 106722. [Google Scholar] [CrossRef]
- Hou, D.; Zheng, H.; Wang, P.; Wan, X.; Wang, M.; Wang, H. Molecular insight in the wetting behavior of nanoscale water droplet on CSH surface: Effects of Ca/Si ratio. Appl. Surf. Sci. 2022, 587, 152811. [Google Scholar] [CrossRef]
- Thompson, A.P.; Aktulga, H.M.; Berger, R.; Bolintineanu, D.S.; Brown, W.M.; Crozier, P.S.; In’t Veld, P.J.; Kohlmeyer, A.; Moore, S.G.; Nguyen, T.D. LAMMPS-a flexible simulation tool for particle-based materials modeling at the atomic, meso, and continuum scales. Comput. Phys. Commun. 2022, 271, 108171. [Google Scholar] [CrossRef]
- Park, S.; Khalili-Araghi, F.; Tajkhorshid, E.; Schulten, K. Free energy calculation from steered molecular dynamics simulations using Jarzynski’s equality. J. Chem. Phys. 2003, 119, 3559–3566. [Google Scholar] [CrossRef]
- Rose, S.; Prevoteau, A.; Elzière, P.; Hourdet, D.; Marcellan, A.; Leibler, L. Nanoparticle solutions as adhesives for gels and biological tissues. Nature 2014, 505, 382–385. [Google Scholar] [CrossRef]








Disclaimer/Publisher’s Note: The statements, opinions and data contained in all publications are solely those of the individual author(s) and contributor(s) and not of MDPI and/or the editor(s). MDPI and/or the editor(s) disclaim responsibility for any injury to people or property resulting from any ideas, methods, instructions or products referred to in the content. |
© 2024 by the authors. Licensee MDPI, Basel, Switzerland. This article is an open access article distributed under the terms and conditions of the Creative Commons Attribution (CC BY) license (https://creativecommons.org/licenses/by/4.0/).
Share and Cite
Han, Y.; Zhao, Y.; Wang, Y.; Chen, T. Effect of Humidity on Interfacial Debonding Behavior Between Larger Graphene Sheet and Cement-Based Composites. Coatings 2024, 14, 1470. https://doi.org/10.3390/coatings14111470
Han Y, Zhao Y, Wang Y, Chen T. Effect of Humidity on Interfacial Debonding Behavior Between Larger Graphene Sheet and Cement-Based Composites. Coatings. 2024; 14(11):1470. https://doi.org/10.3390/coatings14111470
Chicago/Turabian StyleHan, Yongliang, Yongzhe Zhao, Yijie Wang, and Tong Chen. 2024. "Effect of Humidity on Interfacial Debonding Behavior Between Larger Graphene Sheet and Cement-Based Composites" Coatings 14, no. 11: 1470. https://doi.org/10.3390/coatings14111470
APA StyleHan, Y., Zhao, Y., Wang, Y., & Chen, T. (2024). Effect of Humidity on Interfacial Debonding Behavior Between Larger Graphene Sheet and Cement-Based Composites. Coatings, 14(11), 1470. https://doi.org/10.3390/coatings14111470
