Design and Experimental Characterization of a Microfluidic Piezoelectric Pump Utilizing P(VDF-TrFE) Film
Abstract
1. Introduction
2. Materials and Methods
2.1. Materials
2.2. The Preparation of the P(VDF-TrFE) Film
2.3. The Design of the Microfluidic Pump Based on P(VDF-TrFE)
2.4. The Fabrication of the Microfluidic Pump Based on P(VDF-TrFE)
2.5. Characterization Setup
3. Results and Discussion
3.1. The Characterization of the P(VDF-TrFE) Film
3.1.1. Morphological Structures
3.1.2. Crystalline Phases
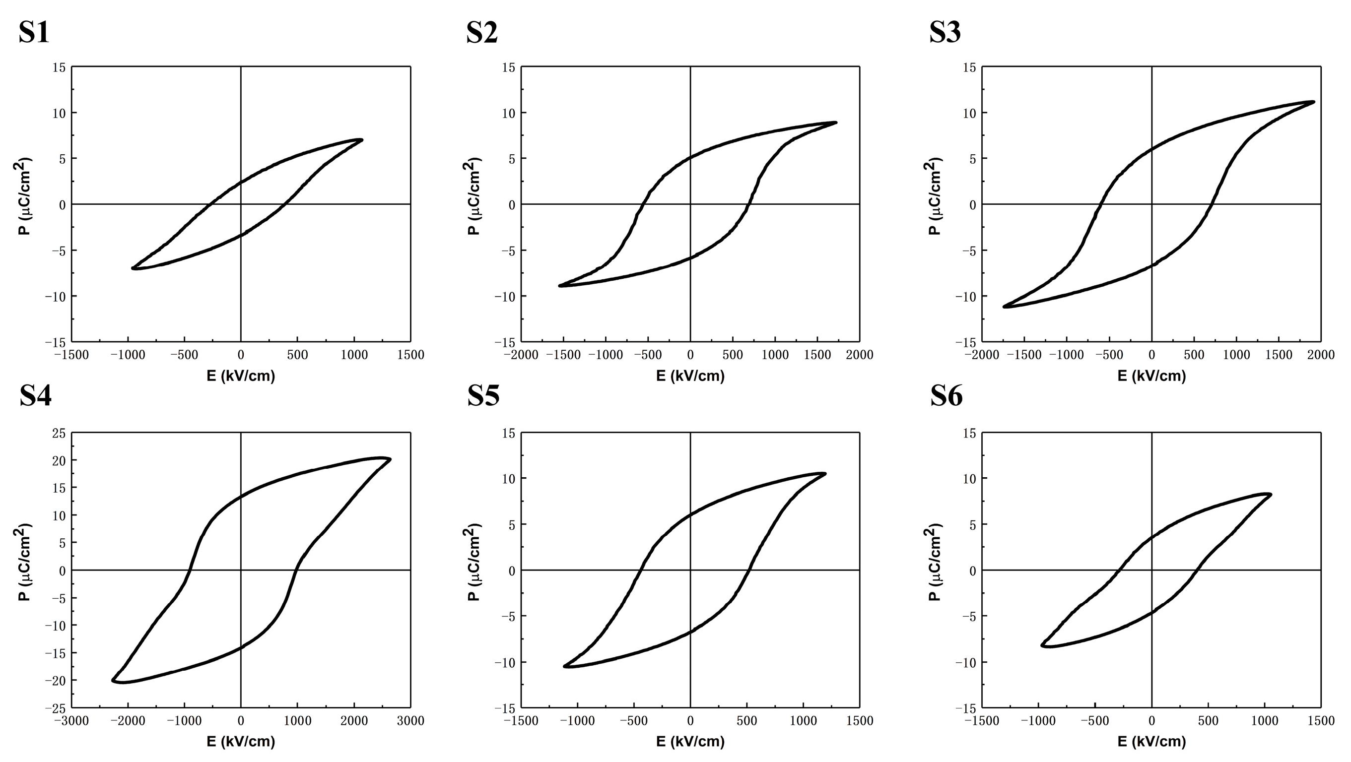
3.1.3. Electrical and Piezoelectric Properties
3.2. Characterization of Pump
3.2.1. Deformations
3.2.2. Flow Rate Measurements of the Pump
3.2.3. Application of Pump in Bio-Detection
4. Conclusions
Author Contributions
Funding
Institutional Review Board Statement
Informed Consent Statement
Data Availability Statement
Acknowledgments
Conflicts of Interest
References
- Bazyar, H. On the Application of Microfluidic-Based Technologies in Forensics: A Review. Sensors 2023, 23, 5856. [Google Scholar] [CrossRef] [PubMed]
- Wu, B.D.; Liu, Y.; Yang, J.H.; Guo, Y.Y.; Han, K.; Wang, F.; Zhang, Z.Z.; An, C.W.; Wang, J.Y. Preparing HNS/n-Al heat-resistant microspheres with enhanced combustion performance using droplet microfluidic technology. Energetic Mater. Front. 2024, 5, 81–89. [Google Scholar] [CrossRef]
- Jin, F.; Zhang, Y.; Qi, Y.; Liu, W.; Yang, J.; Varfolomeev, M.A.; Yuan, C. Research on the blocking mechanism of oily sewage reinjection based on microfluidic technology. Geoenergy Sci. Eng. 2024, 240, 213031. [Google Scholar] [CrossRef]
- Li, X.; Zhang, X.; Zhou, X.; Zhao, Y.; Nguyen, L.V.; Zhang, Y.; Warren-Smith, S.C. Label Free hCG Concentration Biosensor Based on Suspension Core Fiber Microfluidic Technology. J. Light. Technol. 2024, 42, 2985–2990. [Google Scholar] [CrossRef]
- Liu, Z.; Ma, X.; Ge, Y.; Hei, X.; Zhang, X.; Hu, H.; Zhu, J.; Adhari, B.; Wang, Q.; Shi, A. Preparation and Regulation of Natural Amphiphilic Zein Nanoparticles by Microfluidic Technology. Foods 2024, 13, 1730. [Google Scholar] [CrossRef]
- Rohal, A.; Garg, R.; Prakash, B.; Choudhury, S.; Jyoti Panda, J.; Manolata Devi, M.; Pandey, A. Exploiting flow manipulation to engineer the electroactive phase for improved piezo response in size tunable PVDF microspheres via microfluidic technology. Chem. Eng. J. 2024, 491, 151986. [Google Scholar] [CrossRef]
- Lin, J.; Chen, S.; Zhang, C.; Liao, J.; Chen, Y.; Deng, S.; Mao, Z.; Zhang, T.; Tian, N.; Song, Y.; et al. Recent advances in microfluidic technology of arterial thrombosis investigations. Platelets 2024, 35, 2316743. [Google Scholar] [CrossRef]
- Li, C.; He, W.; Song, Y.; Zhang, X.; Sun, J.; Zhou, Z. Advances of 3D Cell Co-Culture Technology Based on Microfluidic Chips. Biosensors 2024, 14, 336. [Google Scholar] [CrossRef]
- Ma, J.; Xie, Q.; Zhang, Y.; Xiao, Q.; Liu, X.; Qiao, C.; Tian, Y. Advances in microfluidic technology for sperm screening and in vitro fertilization. Anal. Bioanal. Chem. 2024, 416, 3717–3735. [Google Scholar] [CrossRef]
- Mukherjee, J.; Chaturvedi, D.; Mishra, S.; Jain, R.; Dandekar, P. Microfluidic technology for cell biology–related applications: A review. J. Biol. Phys. 2024, 50, 1–27. [Google Scholar] [CrossRef]
- Wang, Y.; Chen, J.; Yang, Z.; Wang, X.; Zhang, Y.; Chen, M.; Ming, Z.; Zhang, K.; Zhang, D.; Zheng, L. Advances in Nucleic Acid Assays for Infectious Disease: The Role of Microfluidic Technology. Molecules 2024, 29, 2417. [Google Scholar] [CrossRef]
- Braunger, M.L.; Fier, I.; Shimizu, F.M.; de Barros, A.; Rodrigues, V.; Riul, A., Jr. Influence of the Flow Rate in an Automated Microfluidic Electronic Tongue Tested for Sucralose Differentiation. Sensors 2020, 20, 6194. [Google Scholar] [CrossRef] [PubMed]
- Uddin, S.M.; Sayad, A.; Chan, J.; Huynh, D.H.; Skafidas, E.; Kwan, P. Heater Integrated Lab-on-a-Chip Device for Rapid HLA Alleles Amplification towards Prevention of Drug Hypersensitivity. Sensors 2021, 21, 3413. [Google Scholar] [CrossRef] [PubMed]
- Acosta-Cuevas, J.M.; García-Ramírez, M.A.; Hinojosa-Ventura, G.; Martínez-Gómez, Á.J.; Pérez-Luna, V.H.; González-Reynoso, O. Surface Roughness Analysis of Microchannels Featuring Microfluidic Devices Fabricated by Three Different Materials and Methods. Coatings 2023, 13, 1676. [Google Scholar] [CrossRef]
- Bezrukov, A.; Galyametdinov, Y. Orientation Behavior of Nematic Liquid Crystals at Flow-Wall Interfaces in Microfluidic Channels. Coatings 2023, 13, 169. [Google Scholar] [CrossRef]
- Chiang, C.-C.; Immanuel, P.N.; Chiu, Y.-H.; Huang, S.-J. Heterogeneous Bonding of PMMA and Double-Sided Polished Silicon Wafers through H2O Plasma Treatment for Microfluidic Devices. Coatings 2021, 11, 580. [Google Scholar] [CrossRef]
- Huang, S.-J.; Chiang, C.-C.; Immanuel, P.N.; Subramania, M. Point-of-Care Testing Blood Coagulation Detectors Using a Bio-Microfluidic Device Accompanied by Raman Spectroscopy. Coatings 2022, 12, 893. [Google Scholar] [CrossRef]
- Immanuel, P.N.; Chiu, Y.-H.; Huang, S.-J. Microfluidic Simulation and Optimization of Blood Coagulation Factors and Anticoagulants in Polymethyl Methacrylate Microchannels. Coatings 2021, 11, 1394. [Google Scholar] [CrossRef]
- Song, Y.; Wang, Q.; Ying, Y.; You, Z.; Wang, S.; Chun, J.; Ma, X.; Wen, R. Droplet Spreading Characteristics on Ultra-Slippery Solid Hydrophilic Surfaces with Ultra-Low Contact Angle Hysteresis. Coatings 2022, 12, 755. [Google Scholar] [CrossRef]
- Toikka, A.; Ilin, M.; Kamanina, N. Perspective Coatings Based on Structured Conducting ITO Thin Films for General Optoelectronic Applications. Coatings 2024, 14, 178. [Google Scholar] [CrossRef]
- Iwai, K.; Shih, K.C.; Lin, X.; Brubaker, T.A.; Sochol, R.D.; Lin, L. Finger-powered microfluidic systems using multilayer soft lithography and injection molding processes. Lab Chip 2014, 14, 3790–3799. [Google Scholar] [CrossRef] [PubMed]
- Mohith, S.; Karanth, P.N.; Kulkarni, S.M. Recent trends in mechanical micropumps and their applications: A review. Mechatronics 2019, 60, 34–55. [Google Scholar] [CrossRef]
- Zhang, J.-H.; Wang, Y.; Huang, J. Advances in Valveless Piezoelectric Pump with Cone-shaped Tubes. Chin. J. Mech. Eng. 2017, 30, 766–781. [Google Scholar] [CrossRef]
- Bai, Y.; Yu, X.; Han, X.; Liu, Y.; Li, G. A handheld, wide-range pressure pump for portable microfluidic applications. Sens. Actuators A Phys. 2024, 377, 115683. [Google Scholar] [CrossRef]
- Nico, V.; Dalton, E. Modelling and experimental characterisation of a magnetic shuttle pump for microfluidic applications. Sens. Actuators A Phys. 2021, 331, 112910. [Google Scholar] [CrossRef]
- Saleem, N.; Munawar, S. Significance of Synthetic Cilia and Arrhenius Energy on Double Diffusive Stream of Radiated Hybrid Nanofluid in Microfluidic Pump under Ohmic Heating: An Entropic Analysis. Coatings 2021, 11, 1292. [Google Scholar] [CrossRef]
- Ozkayar, G.; Wang, Z.; Lotters, J.; Tichem, M.; Ghatkesar, M.K. Flow Ripple Reduction in Reciprocating Pumps by Multi-Phase Rectification. Sensors 2023, 23, 6967. [Google Scholar] [CrossRef] [PubMed]
- Zhang, Z.; Kan, J.; Wang, S.; Wang, H.; Wen, J.; Ma, Z. Flow rate self-sensing of a pump with double piezoelectric actuators. Mech. Syst. Signal Process. 2013, 41, 639–648. [Google Scholar] [CrossRef]
- Ren, K.; Chen, Y.; Wu, H. New materials for microfluidics in biology. Curr. Opin. Biotechnol. 2014, 25, 78–85. [Google Scholar] [CrossRef]
- Yobas, L.; Tang, K.C.; Yong, S.E.; Ong, E.K.Z. A disposable planar peristaltic pump for lab-on-a-chip. Lab A Chip 2008, 8, 660–662. [Google Scholar] [CrossRef]
- Li, Z.; Mak, S.Y.; Sauret, A.; Shum, H.C. Syringe-pump-induced fluctuation in all-aqueous microfluidic system implications for flow rate accuracy. Lab A Chip 2014, 14, 744–749. [Google Scholar] [CrossRef] [PubMed]
- Elizalde, E.; Urteaga, R.; Berli, C.L.A. Rational design of capillary-driven flows for paper-based microfluidics. Lab A Chip 2015, 15, 2173–2180. [Google Scholar] [CrossRef] [PubMed]
- Sideris, E.A.; de Lange, H.C. Pumps operated by solid-state electromechanical smart material actuators—A review. Sens. Actuators A Phys. 2020, 307, 111915. [Google Scholar] [CrossRef]
- Chen, S.; Xie, X.; Kan, J.; Ji, J.; Zhang, Z.; Li, J. A hydraulic-driven piezoelectric pump with separable channel for drug delivery. Sens. Actuators A Phys. 2019, 295, 210–216. [Google Scholar] [CrossRef]
- de Lima, C.R.; Vatanabe, S.L.; Choi, A.; Nakasone, P.H.; Pires, R.F.; Nelli Silva, E.C. A biomimetic piezoelectric pump: Computational and experimental characterization. Sens. Actuators A Phys. 2009, 152, 110–118. [Google Scholar] [CrossRef]
- Cazorla, P.H.; Fuchs, O.; Cochet, M.; Maubert, S.; Le Rhun, G.; Robert, P.; Fouillet, Y.; Defay, E. Piezoelectric Micro-pump with PZT Thin Film for Low Consumption Microfluidic Devices. Procedia Eng. 2014, 87, 488–491. [Google Scholar] [CrossRef]
- Kaviani, S.; Bahrami, M.; Esfahani, A.M.; Parsi, B. A modeling and vibration analysis of a piezoelectric micro-pump diaphragm. Comptes Rendus Mécanique 2014, 342, 692–699. [Google Scholar] [CrossRef]
- Thomas, S.K.; Muruganandam, T.M. A review of acoustic compressors and pumps from fluidics perspective. Sens. Actuators A Phys. 2018, 283, 42–53. [Google Scholar] [CrossRef]
- Wang, J.; Liu, Y.; Shen, Y.; Chen, S.; Yang, Z. A Resonant Piezoelectric Diaphragm Pump Transferring Gas with Compact Structure. Micromachines 2016, 7, 219. [Google Scholar] [CrossRef]
- Jin, W.; Guan, Y.; Wang, Q.; Huang, P.; Zhou, Q.; Wang, K.; Liu, D. A Smart Active Phase-Change Micropump Based on CMOS-MEMS Technology. Sensors 2023, 23, 5207. [Google Scholar] [CrossRef]
- Shikata, K.; Koshiba, Y.; Horike, S.; Ishida, K. P(VDF/TrFE) Thin-Film Piezoelectric Actuators Sealed Parylene C for Medical Micropumps. Phys. Status Solidi (A) 2023, 220, 2300250. [Google Scholar] [CrossRef]
- Thalhofer, T.; Keck, M.; Kibler, S.; Hayden, O. Capacitive Sensor and Alternating Drive Mixing for Microfluidic Applications Using Micro Diaphragm Pumps. Sensors 2022, 22, 1273. [Google Scholar] [CrossRef]
- Zhao, B.; Cui, X.; Ren, W.; Xu, F.; Liu, M.; Ye, Z.G. A Controllable and Integrated Pump-enabled Microfluidic Chip and Its Application in Droplets Generating. Sci. Rep. 2017, 7, 11319. [Google Scholar] [CrossRef] [PubMed]
- Li, B.; Cai, C.; Liu, Y.; Wang, F.; Yang, B.; Li, Q.; Zhang, P.; Deng, B.; Hou, P.; Liu, W. Ultrasensitive mechanical/thermal response of a P(VDF-TrFE) sensor with a tailored network interconnection interface. Nat. Commun. 2023, 14, 4000. [Google Scholar] [CrossRef] [PubMed]
- Meira, R.M.; Ribeiro, S.; Irastorza, I.; Silvan, U.; Lanceros-Mendez, S.; Ribeiro, C. Electroactive poly(vinylidene fluoride-trifluoroethylene)/graphene composites for cardiac tissue engineering applications. J. Colloid. Interface Sci. 2024, 663, 73–81. [Google Scholar] [CrossRef]
- Panwar, V.; Khanduri, P.; Ansari, M.U.; Anoop, G.; Park, S. P(VDF-TrFE)/PVP/ionic liquid-based piezo-ionic polymer blend for touch sensing applications. Sens. Actuators A Phys. 2023, 362, 114680. [Google Scholar] [CrossRef]
- Hu, X.; Jiang, Z.; Yan, L.; Yang, G.; Xie, J.; Liu, S.; Zhang, Q.; Xiang, Y.; Min, H.; Peng, X. Real-time visualized battery health monitoring sensor with piezoelectric/pyroelectric poly (vinylidene fluoride-trifluoroethylene) and thin film transistor array by in-situ poling. J. Power Sources 2020, 467, 228367. [Google Scholar] [CrossRef]
- Taleb, S.; Badillo, M.; Flores-Ruiz, F.J.; Acuautla, M. From synthesis to application: High-quality flexible piezoelectric sensors fabricated from tetragonal BaTiO3/ P(VDF-TrFE) composites. Sens. Actuators A Phys. 2023, 361, 114585. [Google Scholar] [CrossRef]
- Revenant, C.; Minot, S.; Toinet, S.; Lawrence Bright, E.; Ramos, R.; Benwadih, M. Spatially-resolved in-situ/operando structural study of screen-printed BaTiO3/P(VDF-TrFE) flexible piezoelectric device. Sens. Actuators A Phys. 2024, 377, 115738. [Google Scholar] [CrossRef]
- Luo, Q.; He, X.; Duan, X.; Liu, H.; Zhou, Z.; Cheng, K. A Facile Synthesis of P(VDF-TrFE)-Coated-PMMA Janus Membranes for Guided Bone Regeneration. Coatings 2022, 12, 1947. [Google Scholar] [CrossRef]
- Xia, F.; Klein, R.; Bauer, F.; Zhang, Q.M. High Performance P(VDF-TrFE-CFE) Terpolymer for BioMEMs and Microfluidic Devices. MRS Online Proc. Libr. 2003, 785, D5–D8. [Google Scholar] [CrossRef]
- Xia, F.; Tadigadapa, S.; Zhang, Q.M. Electroactive polymer based microfluidic pump. Sens. Actuators A Phys. 2006, 125, 346–352. [Google Scholar] [CrossRef]
- The Doppler Effect. OYLA Magazine, October 2024; pp. 10–13.











| Sample | Step 1 | Step 2 | Step 3 | |||
|---|---|---|---|---|---|---|
| Temperature (°C) | Time (min) | Temperature (°C) | Time (h) | Temperature (°C) | Time (min) | |
| S1 | 70 | 10 | 100 | 1.5 | --- | --- |
| S2 | 70 | 10 | 120 | 1.5 | 130 | 2 |
| S3 | 70 | 10 | 130 | 1.5 | 140 | 2 |
| S4 | 70 | 10 | 135 | 1.5 | 145 | 2 |
| S5 | 70 | 10 | 140 | 1.5 | 150 | 2 |
| S6 | 70 | 10 | 145 | 1.5 | 155 | 2 |
Disclaimer/Publisher’s Note: The statements, opinions and data contained in all publications are solely those of the individual author(s) and contributor(s) and not of MDPI and/or the editor(s). MDPI and/or the editor(s) disclaim responsibility for any injury to people or property resulting from any ideas, methods, instructions or products referred to in the content. |
© 2024 by the authors. Licensee MDPI, Basel, Switzerland. This article is an open access article distributed under the terms and conditions of the Creative Commons Attribution (CC BY) license (https://creativecommons.org/licenses/by/4.0/).
Share and Cite
Zhao, B.; Li, X.; Shi, J.; Liu, H. Design and Experimental Characterization of a Microfluidic Piezoelectric Pump Utilizing P(VDF-TrFE) Film. Coatings 2024, 14, 1483. https://doi.org/10.3390/coatings14121483
Zhao B, Li X, Shi J, Liu H. Design and Experimental Characterization of a Microfluidic Piezoelectric Pump Utilizing P(VDF-TrFE) Film. Coatings. 2024; 14(12):1483. https://doi.org/10.3390/coatings14121483
Chicago/Turabian StyleZhao, Bei, Xiaomeng Li, Jing Shi, and Huiling Liu. 2024. "Design and Experimental Characterization of a Microfluidic Piezoelectric Pump Utilizing P(VDF-TrFE) Film" Coatings 14, no. 12: 1483. https://doi.org/10.3390/coatings14121483
APA StyleZhao, B., Li, X., Shi, J., & Liu, H. (2024). Design and Experimental Characterization of a Microfluidic Piezoelectric Pump Utilizing P(VDF-TrFE) Film. Coatings, 14(12), 1483. https://doi.org/10.3390/coatings14121483

