A Comparative Study of the Corrosion Behavior of P110 Casing Steel in Simulated Concrete Liquid Containing Chloride and Annulus Fluid from an Oil Well
Abstract
1. Introduction
2. Experiments and Materials
2.1. Experiment Material
2.2. Electrochemical Tests
2.3. Surface Analysis
3. Results
3.1. Potentiodynamic Polarization Measurements
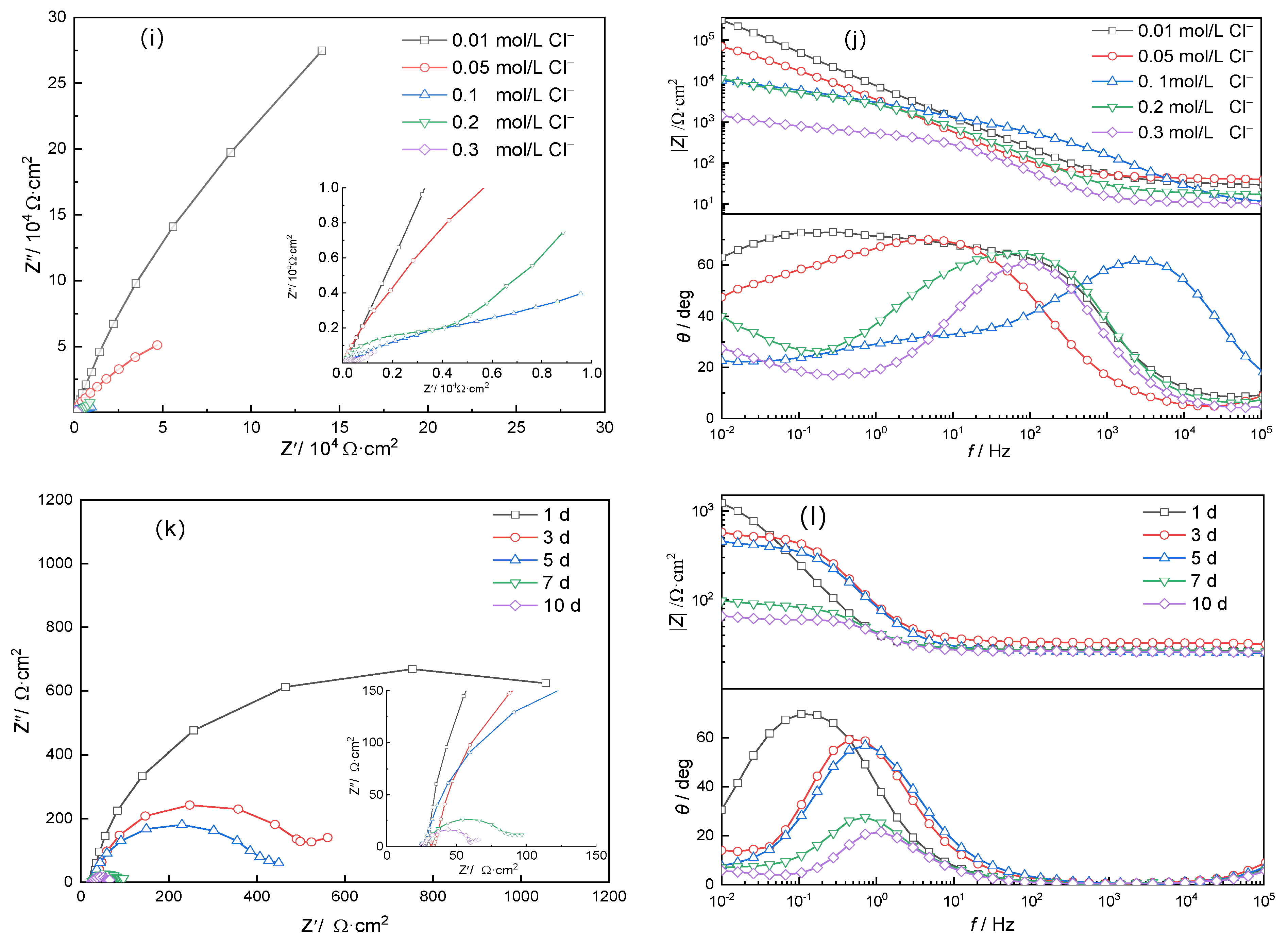
3.2. Electrochemical Impedance Spectroscopy
3.3. Mott–Schottky Measurements
3.4. Electrochemical Noise Measurements
3.4.1. Time-Domain Analysis
3.4.2. Frequency-Domain Analysis
3.5. Corrosion Morphology Analysis of P110-Casing-Steel Specimens
3.6. Corrosion Mechanism Analysis
4. Conclusions
- (1)
- P110 casing steel is prone to local corrosion in both simulated concrete liquid containing chloride and simulated annular fluid. With the extension of immersion time, the corrosion procedure of P110 steel mainly includes cracking and repair of the passivation film, the formation of metastable pitting corrosion, and the occurrence of steady-state pitting corrosion. In a simulated concrete liquid with a low concentration of Cl−, the repair effect of the passivation film is greater than the dissolution effect of aggressive ions, and the capacitance effect of the dense passivation film hinders the metastable pitting into a steady pitting formation process. With increases in the concentration of Cl−, the protection of the passivation film on the metal matrix becomes worse. With the extension of immersion time, the trend of Cl− penetrating the passivation film increases, the donor density ND increases, the defects in the passivation film increase, and the self-healing ability of the passivation film is decreased.
- (2)
- P110 steel cannot form a protective corrosion-product film in a simulated annular environment containing CO2. With the extension of immersion time, the trend of pitting corrosion increases significantly, and the corrosion resistance of the P110 steel decreases. In this environment containing CO2, loose and porous corrosion products are formed on the surface of P110 steel. These corrosion products have no protective effect and will promote the occurrence of local corrosion of the metal matrix.
- (3)
- According to the research results of this paper, the corrosion degree of P110 steel in an annular environment is much greater than that in a simulated concrete-liquid environment, and the risk of corrosion failure in the annular environment inside the casing is higher in oil and gas production processes. Annular environments and concrete environments with high chloride contents are important technical nodes for investigating corrosion management in oil fields.
Author Contributions
Funding
Institutional Review Board Statement
Informed Consent Statement
Data Availability Statement
Conflicts of Interest
References
- Liu, Z.; Li, H.; Jia, Z.; Du, C.; Li, X. Failure analysis of P110 steel tubing in low-temperature annular environment of CO2 flooding wells. Eng. Fail. Anal. 2016, 60, 296–306. [Google Scholar] [CrossRef]
- Shi, X.; Anh Nguyen, T.; Kumar, P.; Liu, Y. A phenomenological model for the chloride threshold of pitting corrosion of steel in simulated concrete pore solutions. Anti-Corros. Methods Mater. 2011, 58, 179–189. [Google Scholar] [CrossRef]
- Thangavel, K.; Rengaswamy, N. Relationship between chloride/hydroxide ratio and corrosion rate of steel in concrete. Cem. Concr. Compos. 1998, 20, 283–292. [Google Scholar] [CrossRef]
- Tran, V.Q.; Soive, A.; Baroghel-Bouny, V. Modelisation of chloride reactive transport in concrete including thermodynamic equilibrium, kinetic control and surface complexation. Cem. Concr. Res. 2018, 110, 70–85. [Google Scholar] [CrossRef]
- Covelo, A.; Diaz, B.; Freire, L.; Nóvoa, X.R.; Perez, M.C. Microstructural changes in a cementitious membrane due to the application of a DC electric field. J. Environ. Sci. Health Part A 2008, 43, 985–993. [Google Scholar] [CrossRef]
- Angst, U.M. Predicting the time to corrosion initiation in reinforced concrete structures exposed to chlorides. Cem. Concr. Res. 2019, 115, 559–567. [Google Scholar] [CrossRef]
- Huang, S.; Yang, Y.; Li, Z.; Liu, Y.; Su, D. Corrosion behavior and mechanism of P110 casing steel in alkaline-activated persulfate-based preflush fluid. Eng. Fail. Anal. 2023, 152, 107482. [Google Scholar] [CrossRef]
- Abubakar, S.A.; Mori, S.; Sumner, J. A Review of Factors Affecting SCC Initiation and Propagation in Pipeline Carbon Steels. Metals 2022, 12, 1397. [Google Scholar] [CrossRef]
- Gao, X.; Zhang, D.; Lu, Y.; Fan, Z.; Du, L.; Yuan, G.; Qiu, C.; Kang, J. CO2 Corrosion Behavior of High-Strength and Toughness V140 Steel for Oil Country Tubular Goods. J. Mater. Eng. Perform. 2020, 29, 8451–8460. [Google Scholar] [CrossRef]
- Elgaddafi, R.; Ahmed, R.; Osisanya, S. Modeling and experimental study on the effects of temperature on the corrosion of API carbon steel in CO2-Saturated environment. J. Pet. Sci. Eng. 2021, 196, 107816. [Google Scholar] [CrossRef]
- Hua, Y.; Yue, X.; Liu, H.; Zhao, Y.; Wen, Z.; Wang, Y.; Zhang, T.; Zhang, L.; Sun, J.; Neville, A. The evolution and characterisation of the corrosion scales formed on 3Cr steel in CO2-containing conditions relevant to geothermal energy production. Corros. Sci. 2021, 183, 109342. [Google Scholar] [CrossRef]
- Zeng, D.; Dong, B.; Zhang, S.; Yi, Y.; Huang, Z.; Tian, G.; Yu, H.; Sun, Y. Annular corrosion risk analysis of gas injection in CO2 flooding and development of oil-based annulus protection fluid. J. Pet. Sci. Eng. 2022, 208, 109526. [Google Scholar] [CrossRef]
- Wei, L.; Gao, K.; Li, Q. Corrosion of low alloy steel containing 0.5% chromium in supercritical CO2-saturated brine and water-saturated supercritical CO2 environments. Appl. Surf. Sci. 2018, 440, 524–534. [Google Scholar] [CrossRef]
- Wei, L.; Gao, K. Understanding the general and localized corrosion mechanisms of Cr-containing steels in supercritical CO2-saturated aqueous environments. J. Alloys Compd. 2019, 792, 328–340. [Google Scholar] [CrossRef]
- Xu, L.; Xu, X.; Yin, C.; Qiao, L. CO2 corrosion behavior of 1% Cr–13% Cr steel in relation to Cr content changes. Mater. Res. Express 2019, 6, 096512. [Google Scholar] [CrossRef]
- Peng, Y.; Lin, Y.; Xia, R.; Dai, Z.; Zhang, W.; Liu, W. Electrochemical Investigation of Chloride Ion-Induced Breakdown of Passive Film on P110 Casing Steel Surface in Simulated Pore Solution: Behavior and Critical Value Determination. Metals 2024, 14, 93. [Google Scholar] [CrossRef]
- Liu, G.; Zhang, Y.; Ni, Z.; Huang, R. Corrosion behavior of steel submitted to chloride and sulphate ions in simulated concrete pore solution. Constr. Build. Mater. 2016, 115, 1–5. [Google Scholar] [CrossRef]
- Zhang, H.; Li, Y.; Wang, S.; Zhang, J.; Deng, T.; Zhang, X.; Zhang, Z. A Study on the CO2 Corrosion Behavior of P110 Steel in High-Density Cement. Int. J. Electrochem. Sci. 2022, 17, 22023. [Google Scholar] [CrossRef]
- Liu, G.; Zhang, Y.; Wu, M.; Huang, R. Study of depassivation of carbon steel in simulated concrete pore solution using different equivalent circuits. Constr. Build. Mater. 2017, 157, 357–362. [Google Scholar] [CrossRef]
- Eliyan, F.F.; Mahdi, E.-S.; Alfantazi, A. Electrochemical evaluation of the corrosion behaviour of API-X100 pipeline steel in aerated bicarbonate solutions. Corros. Sci. 2012, 58, 181–191. [Google Scholar] [CrossRef]
- Zhu, G.; Li, Y.; Hou, B.; Zhang, Q.; Zhang, G. Corrosion behavior of 13Cr stainless steel under stress and crevice in high pressure CO2/O2 environment. J. Mater. Sci. Technol. 2021, 88, 79–89. [Google Scholar] [CrossRef]
- Feng, Z.; Cheng, X.; Dong, C.; Xu, L.; Li, X. Passivity of 316L stainless steel in borate buffer solution studied by Mott–Schottky analysis, atomic absorption spectrometry and X-ray photoelectron spectroscopy. Corros. Sci. 2010, 52, 3646–3653. [Google Scholar] [CrossRef]
- Belo, M.D.C.; Hakiki, N.; Ferreira, M. Semiconducting properties of passive films formed on nickel–base alloys type Alloy 600: Influence of the alloying elements. Electrochim. Acta 1999, 44, 2473–2481. [Google Scholar] [CrossRef]
- Macdonald, D.D. The history of the Point Defect Model for the passive state: A brief review of film growth aspects. Electrochim. Acta 2011, 56, 1761–1772. [Google Scholar] [CrossRef]
- Xia, D.-H.; Song, S.-Z.; Behnamian, Y. Detection of corrosion degradation using electrochemical noise (EN): Review of signal processing methods for identifying corrosion forms. Corros. Eng. Sci. Technol. 2016, 51, 527–544. [Google Scholar] [CrossRef]
- Al-Mazeedi, H.; Cottis, R. A practical evaluation of electrochemical noise parameters as indicators of corrosion type. Electrochim. Acta 2004, 49, 2787–2793. [Google Scholar] [CrossRef]
- Dong, Z.H.; Shi, W.; Guo, X.P. Initiation and repassivation of pitting corrosion of carbon steel in carbonated concrete pore solution. Corros. Sci. 2011, 53, 1322–1330. [Google Scholar] [CrossRef]
- Mansfeld, F.; Sun, Z. Localization index obtained from electrochemical noise analysis. Corrosion 1999, 55, 915–918. [Google Scholar] [CrossRef]
- Obot, I.B.; Onyeachu, I.B.; Zeino, A.; Umoren, S.A. Electrochemical noise (EN) technique: Review of recent practical applications to corrosion electrochemistry research. J. Adhes. Sci. Technol. 2019, 33, 1453–1496. [Google Scholar] [CrossRef]
- Markhali, B.; Naderi, R.; Mahdavian, M. Characterization of corrosion inhibition performance of azole compounds through power spectral density of electrochemical noise. J. Electroanal. Chem. 2014, 714, 56–62. [Google Scholar] [CrossRef]
- Macdonald, D.D. The point defect model for the passive state. J. Electrochem. Soc. 1992, 139, 3434. [Google Scholar] [CrossRef]












| Element | C | Si | Mn | P | S | Cr | Ni | V | Mo | Cu | Als | Fe |
|---|---|---|---|---|---|---|---|---|---|---|---|---|
| Mass fraction (%) | 0.28 | 0.30 | 0.65 | 0.02 | 0.01 | 1.10 | 0.02 | 0.08 | 0.18 | 0.20 | 0.02 | balance |
| Environmental Factors | ip/icorr A·cm−2 | Ep/Ecorr V | |
|---|---|---|---|
| Simulated concrete liquid Cl− concentration (mol/L) | 0.01 | 1.36 × 10−7 | −0.38 |
| 0.05 | 3.86 × 10−6 | −0.57 | |
| 0.1 | 2.07 × 10−5 | −0.61 | |
| 0.2 | 2.93 × 10−5 | −0.63 | |
| 0.3 | 1.05 × 10−4 | −0.68 | |
| Simulated annulus fluid | 2.21 × 10−4 | −0.71 | |
| EIS Factors | Immersion Days | 0.01 mol/L Cl− | 0.05 mol/L Cl− | 0.1 mol/L Cl− | 0.2 mol/L Cl− | 0.3 mol/L Cl− | Annulus Fluid |
|---|---|---|---|---|---|---|---|
| Rs (Ω∙cm−2) | 1 d | 41.9 | 31.3 | 20.6 | 3.01 | 11.1 | 27.44 |
| 3 d | 5.27 | 41.53 | 10.51 | 19.7 | 6.5 | 33.27 | |
| 5 d | 11.9 | 37.81 | 8.70 | 19.36 | 9.78 | 26.17 | |
| 7 d | 10.38 | 38.71 | 7.57 | 16.7 | 9.85 | 26.75 | |
| 10 d | 22.48 | 42.75 | 10.32 | 17.05 | 10.7 | 26.21 | |
| Qf × 10−5 (Ω−1∙cm−2·sn) | 1 d | / | / | / | / | / | / |
| 3 d | 8.28 × 10−2 | 5.83 | 2.97 × 10−1 | 7.04 | 6.78 | / | |
| 5 d | 1.02 × 10−1 | 2.84 | 3.07 × 10−1 | 5.43 | 15.8 | / | |
| 7 d | 1.09 × 10−1 | 6.53 | 3.49 × 10−1 | 5.58 | 7.56 | / | |
| 10 d | 2.11 × 10−1 | 6.35 | 2.87 × 10−1 | 5.22 | 6.99 | / | |
| n1 | 1 d | / | / | / | / | / | / |
| 3 d | 0.73 | 0.80 | 0.85 | 0.75 | 0.84 | / | |
| 5 d | 0.77 | 0.43 | 0.85 | 0.79 | 0.71 | / | |
| 7 d | 0.78 | 0.79 | 0.84 | 0.76 | 0.84 | / | |
| 10 d | 0.79 | 0.80 | 0.86 | 0.78 | 0.85 | / | |
| Rf (Ω∙cm−2) | 1 d | / | / | / | / | / | / |
| 3 d | 26.88 | 47.11 | 13.43 | 17.47 | 5.39 | / | |
| 5 d | 21.89 | 48.55 | 350.6 | 264.0 | 13.77 | / | |
| 7 d | 21.69 | 46.84 | 347.5 | 295.3 | 6.07 | / | |
| 10 d | 11.69 | 45.62 | 281.1 | 8.92 | 2.66 | / | |
| Qdl × 10−5 (Ω−1∙cm−2·sn) | 1 d | 4.88 | 6.29 | 6.55 | 6.04 | 9.63 | 611.3 |
| 3 d | 4.42 | 4.83 | 1.44 × 10−1 | 2.56 | 13.9 | 228.1 | |
| 5 d | 3.45 | 4.93 | 16.3 | 34.3 | 19.5 | 244.5 | |
| 7 d | 3.13 | 8.06 | 17.21 | 60.7 | 25.9 | 815.6 | |
| 10 d | 2.67 | 5.61 | 15.5 | 43.5 | 28.6 | 711.4 | |
| n2 | 1 d | 0.80 | 0.71 | 0.76 | 0.55 | 0.78 | 0.94 |
| 3 d | 0.76 | 0.83 | 0.89 | 0.47 | 0.40 | 0.93 | |
| 5 d | 0.78 | 0.83 | 0.36 | 0.37 | 0.42 | 0.91 | |
| 7 d | 0.79 | 0.69 | 0.37 | 0.50 | 0.41 | 0.83 | |
| 10 d | 0.78 | 0.66 | 0.38 | 0.51 | 0.43 | 0.91 | |
| Rct (Ω∙cm−2) | 1 d | 2.17 × 105 | 8.14 × 104 | 4.26 × 104 | 2.46 × 104 | 5413.0 | 1494.0 |
| 3 d | 4.37 × 105 | 1.49 × 105 | 7.72 × 104 | 4.98 × 104 | 1823.0 | 533.6 | |
| 5 d | 7.41 × 105 | 2.36 × 105 | 3.56 × 104 | 1.31 × 104 | 1352.0 | 415.9 | |
| 7 d | 1.33 × 106 | 3.03 × 105 | 3.02 × 104 | 6435 | 1021 | 67.24 | |
| 10 d | 5.11 × 106 | 2.34 × 105 | 2.03 × 104 | 3769 | 505.4 | 36.09 |
| Concentrations of Cl−/(mol/L) | ND/cm−3 | Efb/V |
|---|---|---|
| 0.01 | 2.802 × 1020 | −0.90 |
| 0.05 | 5.685 × 1020 | −0.89 |
| 0.1 | 2.201 × 1021 | −0.88 |
| 0.2 | 3.914 × 1021 | −0.85 |
| 0.3 | 6.462 × 1021 | −0.23 |
| Environmental Factors | Rn Ω·cm2 | |
|---|---|---|
| Simulated concrete liquid | 1 d, 0.01 mol/L Cl− | 2.55 × 104 |
| 1 d, 0. 1 mol/L Cl− | 2.33 × 104 | |
| 1 d, 0.3 mol/L Cl− | 1.42 × 104 | |
| 5 d, 0.01 mol/L Cl− | 1.05 × 105 | |
| 5 d, 0.1 mol/L Cl− | 2.63 × 104 | |
| 5 d, 0.3 mol/L Cl− | 1.22 × 104 | |
| 10 d, 0.01 mol/L Cl− | 1.43 × 105 | |
| 10 d, 0.1 mol/L Cl− | 3.06 × 104 | |
| 10 d, 0.3 mol/L Cl− | 2.16 × 103 | |
| Annulus fluid | 1 d | 9.34 × 102 |
| 5 d | 1.90 × 102 | |
| 10 d | 1.01 × 102 | |
Disclaimer/Publisher’s Note: The statements, opinions and data contained in all publications are solely those of the individual author(s) and contributor(s) and not of MDPI and/or the editor(s). MDPI and/or the editor(s) disclaim responsibility for any injury to people or property resulting from any ideas, methods, instructions or products referred to in the content. |
© 2024 by the authors. Licensee MDPI, Basel, Switzerland. This article is an open access article distributed under the terms and conditions of the Creative Commons Attribution (CC BY) license (https://creativecommons.org/licenses/by/4.0/).
Share and Cite
Li, Y.; Cai, Z.; Huang, L.; Liao, R. A Comparative Study of the Corrosion Behavior of P110 Casing Steel in Simulated Concrete Liquid Containing Chloride and Annulus Fluid from an Oil Well. Coatings 2024, 14, 294. https://doi.org/10.3390/coatings14030294
Li Y, Cai Z, Huang L, Liao R. A Comparative Study of the Corrosion Behavior of P110 Casing Steel in Simulated Concrete Liquid Containing Chloride and Annulus Fluid from an Oil Well. Coatings. 2024; 14(3):294. https://doi.org/10.3390/coatings14030294
Chicago/Turabian StyleLi, Yang, Zhongxu Cai, Lijuan Huang, and Ruiquan Liao. 2024. "A Comparative Study of the Corrosion Behavior of P110 Casing Steel in Simulated Concrete Liquid Containing Chloride and Annulus Fluid from an Oil Well" Coatings 14, no. 3: 294. https://doi.org/10.3390/coatings14030294
APA StyleLi, Y., Cai, Z., Huang, L., & Liao, R. (2024). A Comparative Study of the Corrosion Behavior of P110 Casing Steel in Simulated Concrete Liquid Containing Chloride and Annulus Fluid from an Oil Well. Coatings, 14(3), 294. https://doi.org/10.3390/coatings14030294

