Exploring Na Doping in ZnO Thin Films: Electrical and Optical Insights
Abstract
1. Introduction
2. Materials and Methods
3. Results and Discussions
3.1. Structural Characterization and Surface Chemical Analysis
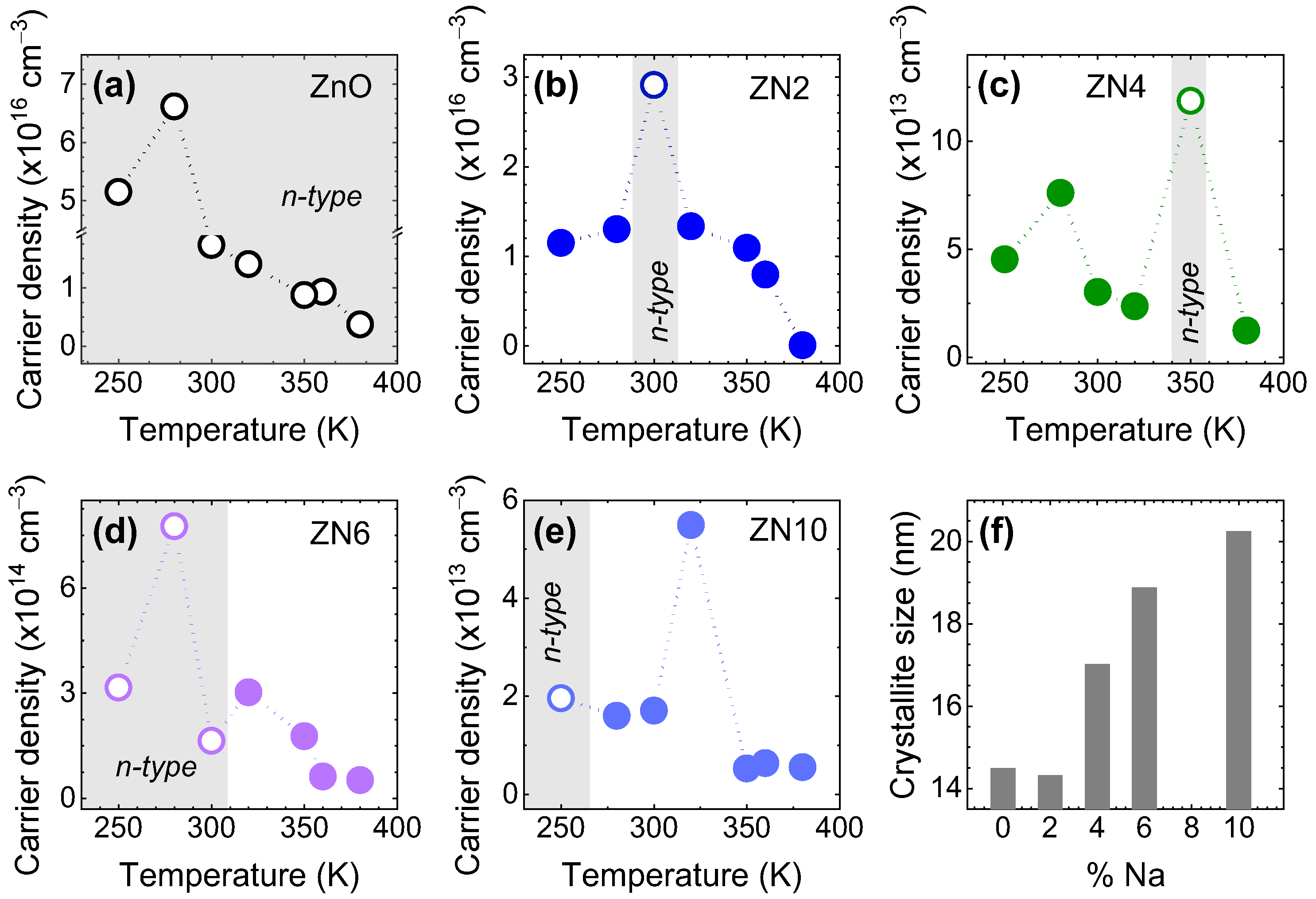
3.2. Electrical Characterization
3.3. Optical Characterization
4. Conclusions
Author Contributions
Funding
Institutional Review Board Statement
Informed Consent Statement
Data Availability Statement
Acknowledgments
Conflicts of Interest
References
- Dimitrov, D.; Tsai, C.L.; Petrov, S.; Marinova, V.; Petrova, D.; Napoleonov, B.; Blagoev, B.; Strijkova, V.; Hsu, K.Y.; Lin, S.H. Atomic Layer-Deposited Al-Doped ZnO Thin Films for Display Applications. Coatings 2020, 10, 539. [Google Scholar] [CrossRef]
- Meng, L.; Yang, X.; Chai, H.; Lv, Z.; Yang, T. Surface Modification of Al-Doped ZnO Transparent Conducive Thin Films with Polycrystalline Zinc Molybdenum Oxide. ACS Appl. Mater. Interfaces 2019, 11, 26491–26499. [Google Scholar] [CrossRef] [PubMed]
- Jang, J.; Kang, Y.; Cha, D.; Bae, J.; Lee, S. Thin-Film Optical Devices Based on Transparent Conducting Oxides: Physical Mechanisms and Applications. Crystals 2019, 9, 192. [Google Scholar] [CrossRef]
- Kevin, M.; Tho, W.H.; Ho, G.W. Transferability of Solution Processed Epitaxial Ga:ZnO Films; Tailored for Gas Sensor and Transparent Conducting Oxide Applications. J. Mater. Chem. 2012, 22, 16442–16447. [Google Scholar] [CrossRef]
- Imran, A.; Zhu, Q.; Sulaman, M.; Bukhtiar, A.; Xu, M. Electric-Dipole Gated Two Terminal Phototransistor for Charge-Coupled Device. Adv. Opt. Mater. 2023, 11, 2300910. [Google Scholar] [CrossRef]
- Minami, T. Present Status of Transparent Conducting Oxide Thin-Film Development for Indium-Tin-Oxide (ITO) Substitutes. Thin Solid Film. 2008, 516, 5822–5828. [Google Scholar] [CrossRef]
- Cole-Hamilton, D.J. Elements of Scarcity. Chem. Int. 2019, 41, 23–28. [Google Scholar] [CrossRef]
- Ramos, R.; Chaves, M.; Martins, E.; Durrant, S.F.; Rangel, E.C.; Da Silva, T.F.; Bortoleto, J.R.R. Growth Evolution of AZO Thin Films Deposited by Magnetron Sputtering at Room Temperature. Mater. Res. 2021, 24, e20210052. [Google Scholar] [CrossRef]
- Laurenti, M.; Cauda, V. Porous Zinc Oxide Thin Films: Synthesis Approaches and Applications. Coatings 2018, 8, 67. [Google Scholar] [CrossRef]
- Ponja, S.D.; Sathasivam, S.; Parkin, I.P.; Carmalt, C.J. Highly Conductive and Transparent Gallium Doped Zinc Oxide Thin Films via Chemical Vapor Deposition. Sci. Rep. 2020, 10, 638. [Google Scholar] [CrossRef]
- Koralli, P.; Varol, S.F.; Mousdis, G.; Mouzakis, D.E.; Merdan, Z.; Kompitsas, M. Comparative Studies of Undoped/Al-Doped/In-Doped ZnO Transparent Conducting Oxide Thin Films in Optoelectronic Applications. Chemosensors 2022, 10, 162. [Google Scholar] [CrossRef]
- Kraut, M.; Sirotti, E.; Pantle, F.; Jiang, C.M.; Grötzner, G.; Koch, M.; Wagner, L.I.; Sharp, I.D.; Stutzmann, M. Control of Band Gap and Band Edge Positions in Gallium-Zinc Oxynitride Grown by Molecular Beam Epitaxy. J. Phys. Chem. C 2020, 124, 7668–7676. [Google Scholar] [CrossRef]
- Zhao, D.; Li, J.; Sathasivam, S.; Carmalt, C.J. N-Type Conducting P Doped ZnO Thin Films via Chemical Vapor Deposition. RSC Adv. 2020, 10, 34527–34533. [Google Scholar] [CrossRef] [PubMed]
- Sze, S.M.; Ng, K.K. Physics of Semiconductor Devices, 3rd ed.; Wiley-Interscience: New York, NY, USA, 2006. [Google Scholar]
- Lin, S.S.; Lu, J.G.; Ye, Z.Z.; He, H.P.; Gu, X.Q.; Chen, L.X.; Huang, J.Y.; Zhao, B.H. P-Type Behavior in Na-Doped ZnO Films and ZnO Homojunction Light-Emitting Diodes. Solid State Commun. 2008, 148, 25–28. [Google Scholar] [CrossRef]
- Mukai, K.N.; Bernardes, J.C.; Müller, D.; Rambo, C.R. Rectifying ZnO–Na/ZnO–Al Aerogels p-n Homojunctions. J. Mater. Sci. Mater. Electron. 2022, 33, 7738–7749. [Google Scholar] [CrossRef] [PubMed]
- Kwon, D.K.; Porte, Y.; Myoung, J.M. Fabrication of ZnO Nanorods P-n Homojunction Light-Emitting Diodes Using Ag Film as Self-Doping Source for p-Type ZnO Nanorods. J. Phys. Chem. C 2018, 122, 11993–12001. [Google Scholar] [CrossRef]
- Rahman, M.; Kamruzzaman, M.; Zapien, J.A.; Afrose, R.; Anam, T.K.; Liton, M.N.H.; Helal, M.A.; Khan, M.K.R. Conversion of N-Type to p-Type Conductivity in ZnO by Incorporation of Ag and Ag-Li. Mater. Today Commun. 2022, 33, 104278. [Google Scholar] [CrossRef]
- Snigurenko, D.; Kopalko, K.; Krajewski, T.A.; Jakiela, R.; Guziewicz, E. Nitrogen Doped P-Type ZnO Films and p-n Homojunction. Semicond. Sci. Technol. 2014, 30, 015001. [Google Scholar] [CrossRef]
- Li, X.; Yan, Y.; Gessert, T.A.; Perkins, C.L.; Young, D.; Dehart, C.; Young, M.; Coutts, T.J.; Yan, Y.; Young, D.; et al. Chemical Vapor Deposition-Formed p-Type ZnO Thin Films. J. Vac. Sci. Technol. A 2003, 21, 1342–1346. [Google Scholar] [CrossRef]
- Erdogan, N.H.; Kutlu, T.; Sedefoglu, N.; Kavak, H. Effect of Na Doping on Microstructures, Optical and Electrical Properties of ZnO Thin Films Grown by Sol-Gel Method. J. Alloys Compd. 2021, 881, 160554. [Google Scholar] [CrossRef]
- Zagal-Padilla, C.K.; García-Sandoval, J.; Gamboa, S.A. A Feasible and Low-Cost Green Route to Prepare ZnO with n or p-Type Conductivity by Changing the Parsley Extract Concentration. J. Alloys Compd. 2022, 891, 162087. [Google Scholar] [CrossRef]
- Swapna, R.; Santhosh Kumar, M.C. Deposition of Na–N Dual Acceptor Doped p-Type ZnO Thin Films and Fabrication of p-ZnO:(Na, N)/n-ZnO:Eu Homojunction. Mater. Sci. Eng. B 2013, 178, 1032–1039. [Google Scholar] [CrossRef]
- Yuan, G.D.; Ye, Z.Z.; Zhu, L.P.; Qian, Q.; Zhao, B.H.; Fan, R.X.; Perkins, C.L.; Zhang, S.B. Control of Conduction Type in Al- and N-Codoped ZnO Thin Films. Appl. Phys. Lett. 2005, 86, 202106. [Google Scholar] [CrossRef]
- Nripasree, N.; Deepak, N.K. Structural, Optical and Electrical Properties of SnN Codoped p Type ZnO Thin Films Prepared by Spray Pyrolysis Technique for Diode Applications. Mater. Sci. Eng. B 2016, 211, 121–127. [Google Scholar] [CrossRef]
- Zhao, Y.; Yang, H.; Xiao, Y.; Yang, P. A Pathway for ZnO P-Type Transformation and Its Performance in Solar Cells. Sol. Energy 2022, 231, 889–896. [Google Scholar] [CrossRef]
- Kampylafka, V.; Kostopoulos, A.; Modreanu, M.; Schmidt, M.; Gagaoudakis, E.; Tsagaraki, K.; Kontomitrou, V.; Konstantinidis, G.; Deligeorgis, G.; Kiriakidis, G.; et al. Long-Term Stability of Transparent n/p ZnO Homojunctions Grown by Rf-Sputtering at Room-Temperature. J. Mater. 2019, 5, 428–435. [Google Scholar] [CrossRef]
- Park, C.H.; Zhang, S.B.; Wei, S.H. Origin of P-Type Doping Difficulty in ZnO: The Impurity Perspective. Phys. Rev. B 2002, 66, 073202. [Google Scholar] [CrossRef]
- Jannane, T.; Manoua, M.; Fazouan, N.; El Hichou, A.; Almaggoussi, A.; Liba, A. Self-Compensation Reduction as First Step of p-Type ZnO Synthesis. Superlattices Microstruct. 2020, 147, 106689. [Google Scholar] [CrossRef]
- Jacobsson, T.J.; Viarbitskaya, S.; Mukhtar, E.; Edvinsson, T. A Size Dependent Discontinuous Decay Rate for the Exciton Emission in ZnO Quantum Dots. Phys. Chem. Chem. Phys. 2014, 16, 13849–13857. [Google Scholar] [CrossRef] [PubMed]
- Tarasov, A.P.; Ismailov, A.M.; Gadzhiev, M.K.; Venevtsev, I.D.; Muslimov, A.E.; Volchkov, I.S.; Aidamirova, S.R.; Tyuftyaev, A.S.; Butashin, A.V.; Kanevsky, V.M. Effect of Plasma Treatment on the Luminescent and Scintillation Properties of Thick ZnO Films Fabricated by Sputtering of a Hot Ceramic Target. Photonics 2023, 10, 1354. [Google Scholar] [CrossRef]
- Ye, Z.; Wang, T.; Wu, S.; Ji, X.; Zhang, Q. Na-Doped ZnO Nanorods Fabricated by Chemical Vapor Deposition and Their Optoelectrical Properties. J. Alloys Compd. 2017, 690, 189–194. [Google Scholar] [CrossRef]
- Cullity, B.D. Elements of X-ray Diffraction; Addison-Wesley Publishing: Reading, MA, USA, 1956; p. 514. [Google Scholar]
- McCluskey, M.D.; Haller, E.E. Dopants and Defects in Semiconductors; CRC Press: Boca Raton, FL, USA; Taylor & Francis: New York, NY, USA, 2012; ISBN 1439831521. [Google Scholar]
- Deekshitha, U.G.; Upadhya, K.; Antony, A.; Ani, A.; Nowak, M.; Kityk, I.V.; Jedryka, J.; Poornesh, P.; Manjunatha, K.B.; Kulkarni, S.D. Effect of Na Doping on Photoluminescence and Laser Stimulated Nonlinear Optical Features of ZnO Nanostructures. Mater. Sci. Semicond. Process. 2019, 101, 139–148. [Google Scholar] [CrossRef]
- Cabral, L.; Lopez-Richard, V.; Da Silva, J.L.F.; Marques, G.E.; Lima, M.P.; Onofre, Y.J.; Teodoro, M.D.; de Godoy, M.P.F. Insights into the Nature of Optically Active Defects of ZnO. J. Lumin. 2020, 227, 117536. [Google Scholar] [CrossRef]
- Klingshirn, C.F.; Meyer, B.K.; Waag, A.; Hoffmann, A.; Geurts, J. Zinc Oxide; Springer: Berlin/Heidelberg, Germany, 2010; Volume 120. [Google Scholar] [CrossRef]
- Teke, A.; Özgür, Ü.; Doǧan, S.; Gu, X.; Morkoç, H.; Nemeth, B.; Nause, J.; Everitt, H.O. Excitonic Fine Structure and Recombination Dynamics in Single-Crystalline ZnO. Phys. Rev. B 2004, 70, 195207. [Google Scholar] [CrossRef]
- Meyer, B.K.; Sann, J.; Lautenschläger, S.; Wagner, M.R.; Hoffmann, A. Ionized and Neutral Donor-Bound Excitons in ZnO. Phys. Rev. B 2007, 76, 184120. [Google Scholar] [CrossRef]
- Loan, T.T.; Long, N.N.; Ha, L.H. Photoluminescence Properties of Co-Doped ZnO Nanorods Synthesized by Hydrothermal Method. J. Phys. D Appl. Phys. 2009, 42, 065412. [Google Scholar] [CrossRef]
- Hassanpour, A.; Shen, S.; Bianucci, P. Sodium-Doped Oriented Zinc Oxide Nanorod Arrays: Insights into Their Aqueous Growth Design, Crystal Structure, and Optical Properties. MRS Commun. 2018, 8, 570–576. [Google Scholar] [CrossRef]
- Elsayed, M.H.; Elmorsi, T.M.; Abuelela, A.M.; Hassan, A.E.; Alhakemy, A.Z.; Bakr, M.F.; Chou, H.H. Direct Sunlight-Active Na-Doped ZnO Photocatalyst for the Mineralization of Organic Pollutants at Different PH Mediums. J. Taiwan Inst. Chem. Eng. 2020, 115, 187–197. [Google Scholar] [CrossRef]
- Straube, B.; Bridoux, G.; Zapata, C.; Ferreyra, J.M.; Villafuerte, M.; Simonelli, G.; Esquinazi, P.; Rodríguez Torres, C.; Perez de Heluani, S.I. Effect of Doping and Morphology on UV Emission in Low-Dimensional ZnO:Na Structures. Phys. Status Solidi (b) 2018, 255, 1800056. [Google Scholar] [CrossRef]
- Correr, G.I.; Badillo, F.A.L.; Botero, E.R.; Milton, F.P.; Garcia, D.; de Godoy, M.P.F. Nd3+ Emissions in Transparent Ferroelectric Ceramic Hosts under Ultraviolet Excitation. Ceram. Int. 2022, 48, 13331–13339. [Google Scholar] [CrossRef]
- Wang, L.W.; Wu, F.; Tian, D.X.; Li, W.J.; Fang, L.; Kong, C.Y.; Zhou, M. Effects of Na Content on Structural and Optical Properties of Na-Doped ZnO Thin Films Prepared by Sol–Gel Method. J. Alloys Compd. 2015, 623, 367–373. [Google Scholar] [CrossRef]
- Leung, Y.H.; Chen, X.Y.; Ng, A.M.C.; Guo, M.Y.; Liu, F.Z.; Djurišić, A.B.; Chan, W.K.; Shi, X.Q.; Van Hove, M.A. Green Emission in ZnO Nanostructures—Examination of the Roles of Oxygen and Zinc Vacancies. Appl. Surf. Sci. 2013, 271, 202–209. [Google Scholar] [CrossRef]
- Janotti, A.; Van De Walle, C.G. Native Point Defects in ZnO. Phys. Rev. B 2007, 76, 165202. [Google Scholar] [CrossRef]
- Ji, J.; Colosimo, A.M.; Anwand, W.; Boatner, L.A.; Wagner, A.; Stepanov, P.S.; Trinh, T.T.; Liedke, M.O.; Krause-Rehberg, R.; Cowan, T.E.; et al. ZnO Luminescence and Scintillation Studied via Photoexcitation, X-ray Excitation and Gamma-Induced Positron Spectroscopy. Sci. Rep. 2016, 6, 31238. [Google Scholar] [CrossRef]
- Huang, B.; Yang, H.; Zhang, L.; Yuan, Y.; Cui, Y.; Zhang, J. Effect of Surface/Interfacial Defects on Photo-Stability of Thick-Shell CdZnSeS/ZnS Quantum Dots. Nanoscale 2018, 10, 18331–18340. [Google Scholar] [CrossRef]
- Justin Thomas, K.R.; Department of Chemistry, Indian Institute of Technology Roorkee, India. 2009. Available online: https://faculty.iitr.ac.in/~krjt8fcy/gocie.html (accessed on 28 February 2024).
- Thapa, S.; Adhikari, G.C.; Zhu, P.; Zhu, H. Spectral Optimization of White Light from Hybrid Metal Halide Perovskites. OSA Contin. 2019, 2, 1880–1888. [Google Scholar] [CrossRef]










| Samples | (meV) | (meV) | (meV) |
|---|---|---|---|
| ZnO | 23.0 ± 1.0 | 12.0 ± 0.5 | 6.0 ± 0.2 |
| ZN2 | 21.5 ± 1.0 | 13.5 ± 0.5 | 10.0 ± 0.5 |
| ZN4 | 147 ± 18 | 53.0 ± 1.5 | |
| ZN6 | 27.0 ± 1.0 | 9.0 ± 0.5 | |
| ZN10 | 198 ± 24 | 40.0 ± 1.0 | 11.0 ± 0.5 |
| ZN10-Ar | 21.0 ± 1.0 | 10.0 ± 0.5 | |
| ZN10-N2 | 14.5 ± 0.5 | 4.5 ± 0.1 | 3.5 ± 0.1 |
| ZN10-O2 | 21.0 ± 1.0 | 10.0 ± 0.5 | 5.0 ± 0.1 |
| Samples | NBE | Defects | ||||||
|---|---|---|---|---|---|---|---|---|
| Band 1 | Band 2 | Band 3 | ||||||
| (meV) | (meV) | (meV) | (meV) | (meV) | (meV) | (meV) | (meV) | |
| ZnO | 57 ± 3 | 13 ± 2 | 51 ± 3 | 10 ± 1 | 49 ± 3 | 5 ± 1 | 50 ± 6 | 7 ± 1 |
| ZN2 | 51 ± 3 | 9 ± 1 | 46 ± 3 | 8 ± 1 | ||||
| ZN4 | 53 ± 3 | 15 ± 3 | 46 ± 3 | |||||
| ZN6 | 19 ± 3 | 14 ± 4 | ||||||
| ZN10 | 46 ± 4 | 36 ± 2 | ||||||
| ZN10-Ar | 44 ± 3 | 7 ± 2 | 45 ± 2 | 10 ± 1 | ||||
| ZN10-N2 | 48 ± 2 | 10 ± 1 | 53 ± 1 | 8 ± 1 | ||||
| ZN10-O2 | 43 ± 3 | 12 ± 2 | 52 ± 1 | 7 ± 1 | 36 ± 1 | |||
Disclaimer/Publisher’s Note: The statements, opinions and data contained in all publications are solely those of the individual author(s) and contributor(s) and not of MDPI and/or the editor(s). MDPI and/or the editor(s) disclaim responsibility for any injury to people or property resulting from any ideas, methods, instructions or products referred to in the content. |
© 2024 by the authors. Licensee MDPI, Basel, Switzerland. This article is an open access article distributed under the terms and conditions of the Creative Commons Attribution (CC BY) license (https://creativecommons.org/licenses/by/4.0/).
Share and Cite
Silva, A.L.C.; Vargas, L.M.B.; Peres, M.L.; Teodoro, M.D.; de Godoy, M.P.F. Exploring Na Doping in ZnO Thin Films: Electrical and Optical Insights. Coatings 2024, 14, 510. https://doi.org/10.3390/coatings14040510
Silva ALC, Vargas LMB, Peres ML, Teodoro MD, de Godoy MPF. Exploring Na Doping in ZnO Thin Films: Electrical and Optical Insights. Coatings. 2024; 14(4):510. https://doi.org/10.3390/coatings14040510
Chicago/Turabian StyleSilva, Ana Luiza C., Luis M. B. Vargas, Marcelos L. Peres, Marcio D. Teodoro, and Marcio P. F. de Godoy. 2024. "Exploring Na Doping in ZnO Thin Films: Electrical and Optical Insights" Coatings 14, no. 4: 510. https://doi.org/10.3390/coatings14040510
APA StyleSilva, A. L. C., Vargas, L. M. B., Peres, M. L., Teodoro, M. D., & de Godoy, M. P. F. (2024). Exploring Na Doping in ZnO Thin Films: Electrical and Optical Insights. Coatings, 14(4), 510. https://doi.org/10.3390/coatings14040510

