Next Article in Journal
Antibacterial Activity of Superhydrophobic-SiO2 Coatings to Inhibit the Growth of Escherichia coli and Staphylococcus aureus
Previous Article in Journal
Research on the Wear State Detection and Identification Method of Huller Rollers Based on Point Cloud Data
Previous Article in Special Issue
Design and Preparation of Bending-Resistant Flexible All-Solid Dye-Sensitized Solar Cells
 
 
Font Type:
Arial Georgia Verdana
Font Size:
Aa Aa Aa
Line Spacing:
Column Width:
Background:
Article

The Synergistic Effect of Cross-Linked and Electrostatic Self-Assembly Si/MXene Composites Anode for Highly Efficient Lithium-Ion Battery

1
Department of Electrical and Electronic Engineering, Xi’an Jiaotong-Liverpool University, Suzhou 215123, China
2
Department of Electrical Engineering and Electronics, University of Liverpool, Liverpool L69 3GJ, UK
3
School of Robotics, Xi’an Jiaotong-Liverpool University, Suzhou 215123, China
4
Department of Chemistry, Xi’an Jiaotong-Liverpool University, Suzhou 215123, China
5
Department of Chemistry, University of Liverpool, Liverpool L69 7ZD, UK
6
State Key Laboratory of Low-Carbon Smart Coal-Fired Power Generation and Ultra-Clean Emission, China Energy Science and Technology Research Institute Co., Ltd., Nanjing 210025, China
7
School of Integrated Circuit and Communication, Suzhou Vocational Institute of Industrial Technology, Suzhou 215104, China
*
Authors to whom correspondence should be addressed.
Deceased Author.
Coatings 2024, 14(9), 1210; https://doi.org/10.3390/coatings14091210
Submission received: 3 July 2024 / Revised: 10 September 2024 / Accepted: 12 September 2024 / Published: 19 September 2024
(This article belongs to the Special Issue Advanced Polymer and Thin Film for Sustainable Energy Harvesting)

Abstract

Silicon is a promising anode material for high-performance lithium-ion batteries (LIBs), but its rapid capacity degradation has significantly hindered its large-scale application. In this study, we propose an in situ self-assembly polymerization method to fabricate a stable silicon-based anode by leveraging electrostatic self-assembly technology, in situ esterification, and amidation reactions. The incorporation of a cross-linked polymer, combined with the synergistic effects of electrostatic interactions between negatively charged MXene and positively charged silane-coupling-agent-modified silicon, offers a novel strategy for enhancing the electrochemical performance of LIBs. Notably, annealed electrodes with a 65 wt% nmSi-NH2/MXene ratio demonstrate outstanding electrochemical performance, achieving a capacity of 929.5 mAh g⁻¹ at a current density of 1 A g⁻¹ after 100 charge/discharge cycles. These findings suggest that the integration of cross-linked polymers and electrostatic self-assembly can significantly improve the intercalation and overall electrochemical performance of silicon anodes in lithium-ion batteries.

1. Introduction

Silicon (Si) is a highly promising anode candidate for high-performance lithium-ion batteries (LIBs) due to its exceptional theoretical specific capacity, low working potential, and natural abundance. However, its practical application is limited by significant challenges. During charge/discharge cycles, Si particles undergo extreme volume expansion (up to 300%), leading to pulverization. Additionally, the continuous growth of the solid-electrolyte layer (SEI) consumes excessive lithium ions and severely impairs conductivity. These issues present major obstacles to the widespread use of Si-based anodes in LIB [1,2].
To address these challenges, several strategies have been developed, including the use of Si nanostructures such as nanowires [3], nanosheets [4], and hollow structures [5]. These nanostructures effectively mitigate internal strain at the electrode level and show promising performance in alleviating issues related to Si-based anodes. For instance, Korgel et al. reported a carbon-coated silicon nanowire which exhibited a capacity of over 2000 mAh g−1 at 0.1 C after 100 cycles [6]. Sililary, silicon nanosheets, exhibited superior cycling stability with excellent capacity stability after 1800 cycles in Song’s work [7]. Moreover, Cui’s group developed a hollow silicon anode with fast lithium diffusion and high capacity retention, demonstrating remarkable electrochemical performance with less than 8% degradation every hundred cycles [8]. In addition to nanostructures, fabricating nanocomposite electrodes by incorporating other materials offers a viable alternative for addressing the limitation of Si anodes. Among these materials, two-dimensional materials such as graphene, Mxene, and its derivatives have shown great potential. Graphene, with its excellent electrical conductivity, mechanical strength, and ease of exfoliating from graphite, has significantly improved the electrochemical performance of LIBs [9]. For example, Si–graphene composites have exhibited great Li-ion capacity and cycling stability, with capacities over 1500 mAh g−1 after 200 cycles with less than a 0.5% decay per cycle [10]. Similarly, graphene oxide (GO) and reduced graphene oxide (rGO)-based composite electrodes have proven effective due to their excellent electrical conductivity and versatile functional groups when adopted in Si anodes. Mahmud et al. recently designed a Si-rGO encapsulated structure using ball milling and reducing with hydrazine monohydrate [11]. In the aforementioned strategies, a common approach is the formation of composites by coating or mixing Si particles with graphene or rGO. However, a critical challenge in these processes is achieving a homogeneous mixture of silicon and graphene in both solid and liquid phases. Notably, uneven mixing can lead to the aggregation of GO-based materials, limiting their effectiveness and diminishing their potential in LIB applications.
The approach of self-assembly technology could have been introduced into the field of batteries, offering a cost-effective and efficient method to create homogeneous layers. Wang and co-workers reported that surface-modified silicon could attach evenly to graphene through electrostatic forces using a facile electrostatic self-assembly technology. This approach prevents the aggregation of graphene and allows uniform dispersion of silicon, which significantly improves the electrochemical performance of graphene-mixed silicon batteries, achieving a high capacity of 1849 mAh g−1 at 0.2 A g−1 [12]. Following this research, self-assembly methods were applied to MXene, a novel two-dimensional transition metal carbide or nitride material. MXene combines the high conductivity of reduced graphene with the excellent hydrophilicity of graphene oxide, making it a promising alternative to graphene. Cao et al. demonstrated that the MXene/silicon self-assembly method enhances the electrochemical performance of lithium-ion batteries. Similarly, Wu et al. confirmed the improvement of LIB’s capacity using an MXene/silicon self-assembly anode, showing promising electrochemical performances [13,14].
These studies showed that the addition of MXene has significantly improved the battery performance. However, the intrinsic overstacking of MXene has yet to be fully addressed. Moreover, the relatively weak electrostatic forces derived from a Coulomb force between the charged particles may not withstand long-time cycling due to the repeated volume expansion of silicon. Hence, a more robust interaction between anode materials is required to maintain mechanical stability over extended cycles. Previous work has explored cross-linking methods to address these challenges. For instance, a cross-linked network constructed using corn starch and dopamine through in situ polymerization was shown to mitigate SEI growth, retaining a capacity of 1500.6 mAh g⁻¹ after 100 cycles [15]. Additionally, a bifunctional hydrogen bonding cross-linking structure between carboxymethylcellulose (CMC) and thiourea (TU) significantly increased the initial coulomb efficiency [16]. In this study, we proposed an in situ self-assembly polymerization method to fabricate a stable Si anode by combining electrostatic self-assembly technology with in situ esterification and amidation reactions. This approach creates a 3D cross-linked polymer network of forming strong covalent bonds (HN-CO and O=C-O-C) between polymers and active material. The cross-linked polymer, in synergy with the electrostatic self-assembly forces between negatively charged MXene and positively charged silane coupling, agent-modified Si, provides a novel strategy for improving the electrochemical performance of LIBs. As a result, the fabricated Si electrode exhibits a capacity of 929.5 mAh g−1 at 1 A g−1 and 400 mAh g−1 at 5 A g−1 after 100 cycles, with a capacity retention of 75% after varying current densities. This proposed anode is expected to be a promising candidate for high-energy-density LIBs because of its superior electrochemical performance and potential industrial application compared with conventional silicon material.

2. Materials and Methods

2.1. Materials

Ti3AlC2 (400 mesh) was purchased from 11 Technology Co., Ltd. (Changchun, China). All the acids, including HCl (AR, 36.0%–38.0%), glacial acetic acid (99.5%), and sulfuric acid (98%), were supplied by Jiangsu Yongsheng Corporation (Taixing, China). Hydrogen peroxide (30%) was purchased from Sinopharm Co., Ltd. (Shanghai, China) Si powder (20–60 nm), LiF (99.9% metals basis), (3-Aminopropyl)trimethoxysilane (APTES) (97%), N-methyl pyrrolidone (NMP) (99.9%), and Polyacrylic acid (PAA) (average Mv ~450,000) were purchased from Aladdin (Shanghai, China). The electrolyte was prepared by mixing 1.0 M LiPF6 in EC:DEC (1:1) with 5% FEC (Duoduo Chemistry, Suzhou, China).

2.2. Modification of Nanopowder Silicon

2.2.1. The Pretreatment of Silicon Nanopowder

To prepare the SiOx/Si material, 1 g of silicon nanopowder was treated with piranha solution (45 mL sulfuric acid and 15 mL hydrogen peroxide) at 85 °C for 2 h. The resulting precipitation was washed several times with deionized water through centrifugation at an rpm of 3500 and then dried overnight. The final product was the surface-oxidized silicon sphere denoted as SiOx/Si.

2.2.2. The Pretreatment of SiOx/Si Nanopowder

Initially, 40 mL ethanol, 5 mL silane coupling agent (APTES), and 5 mL deionized water were added to a beaker. Then, the pH value of the solution was adjusted to 4 with the addition of acetic acid (CH3COOH, AR > 95%), followed by the stirring process at room temperature for 4 h.
Meanwhile, 0.5 g of pretreated SiOx/Si was fully dispersed in 10 of mL ethanol and ultrasonicated for 30 min to obtain a homogenous solution. Afterward, the SiOx/Si solution was dropped into the above-mentioned solution and kept heating at 85 °C for 3 h. Eventually, the solid particles were separated by centrifugation at 3500 rpm, washed with deionized water three times, and dried in vacuum conditions overnight. The obtained product was labeled as nmSi-NH2.

2.3. Synthesis of MXene

In this procedure, 2 g of LiF) was added to 40 mL of concentrated HCl solution (38%) and stirred at 400 rpm for 0.5 h in a Teflon beaker. Then, 2 g of Ti3AlC2, the raw material of Ti3C2Tx, was added to the above-mentioned reactive solution stepwise and maintained at 35 °C for 24 h. Afterward, the synthesized mixture was cleaned repeatedly using DI water and centrifuged at 3500 to 10,000 rpm ensuring that the dark sediment and supernatant were completely separated. After removing the supernatant, DI water was filled and ultrasonicated for 30 min, then centrifuged using the same process. Repeat the above operations 4–5 times until the supernatant pH is around 7. Thereafter, the acid-removed mixture was intercalated using ethanol in the ultrasonic cleaner for 2 h and centrifuged at 10,000 rpm to collect the black sediment. The black sediment was added to 60 mL of DI water, followed by shaking vigorously until all sediments were completely dispersed. After ultrasonication and centrifugation at 3500 rpm, the supernatant, named MXene dispersion solution, was composed of mainly a few layers of Ti3C2Tx.

2.4. Fabrication of nmSi-NH2/MXene Anode

A certain amount of amino-modified silicon (nmSi-NH2) was dispersed in deionized water and ultrasonicated for 30 min. The resulting solution was then dropped into an MXene dispersion solution in a tunable mass ratio and subjected to ultrasonic treatment for 1 h. The composite was dried using vacuum freeze-drying and used as the active material. To prepare the electrode, the nmSi-NH2/MXene composite, PAA binder, and Super-P were mixed in NMP to produce a sticky slurry. This slurry was then cast onto copper foils, dried at 80 °C for 12 h a under vacuum, and the NMP solution was removed to obtain the electrode.
The anode materials were annealed at 180 °C for 3 h under N2 with a heating rate of 5 °C/min. The electrode without annealing treatment was denoted as the before-annealing (BA) electrode, while the electrode treated with annealing was denoted as the after-annealing (AA) electrode. All samples were stored in a glove box filled with argon. The fabrication process of the silicon-based electrodes is shown in Figure 1, and detailed information on each electrode is listed in Table 1.

2.5. Assembly of Lithium-Ion Batteries

The coin cells with the CR2032 type were assembled in an Ar-filled glove box. To assemble the lithium-ion batteries, the metal lithium sheet (Φ16 × 0.6 mm) is used as a cathode material, the active material as anode material, and Celgard 3501 as a separator of the battery. A 1.0 M LiPF6 dissolved in a mixed solvent composed of dimethyl carbonate (DMC) and ethylene carbonate (EC) (1:1 vol%) with 5% FEC served as the electrolyte.

3. Material Characterization

The surface charge of nmSi, nmSi-NH2, and MXene was tested by Zeta potential (Zetasiz-ernano, Worcestershire, UK); the morphology of the self-assembled nmSi-NH2/MXene and EDS element mapping were recorded using a scanning electron microscope (SEM, Zeiss Sigma 300, Zeiss, Oberkochen, Germany). The X-ray diffraction (XRD) patterns of all samples, MAX, MXene, nmSi-NH2, and the self-assembly nmSi-NH2/MXene, were measured via a Bragg D8 ADVANCE diffractometer with a monochromatic Cu Kα radiation at 40 kV of applied voltage and a 40 mA current. All samples were evaluated with a scanning speed of 5°/min with a step at 0.01 ranging from 4° to 80° of 2θ value. The XPS spectra of all samples were measured via a Thermo Scientific K-Alpha analyzer (Thermo Fisher Scientific, Waltham, MA, USA). Meanwhile, the binding energy was calibrated with the C1s level at 284.8 eV. The Fourier transform infrared (FT-IR) spectra were measured with the Agilent spectrometer.

4. Results and Discussion

Given that the stability of anode materials with strong chemical bonding far surpasses that of those relying on weak electrostatic interactions, it is crucial to investigate how the chemical bonding structure of the anode material affects their electrochemical performance. As shown in Figure 1, the final electrode material was processed in several steps. Firstly, pristine Si nanoparticles were pretreated with the piranha solution, resulting in the formation of a surface oxidation layer. Then, APTES was employed to graft an amino group (-NH2) onto the SiOx layer, thereby functionalizing the silicon surface. Next, polymer binders were utilized to enhance the stability of anode material by strengthening the interaction between the anode materials and polymeric binders. The nmSi-NH2/MXene composites were subsequently formed through an electrostatic interaction between positively charged NH2-functionalized silica spheres and the negatively charged MXene. Finally, chemical bonding between the anode material and polymeric binders facilitated the formation of a cross-linking network through amidation and esterification interactions. By adjusting the ratios of active material in the composites and composition ratios in the slurry, we aim to explore the relationship between bonding strength and electrostatic forces on battery performance.
The SEM images in Figure 2a,b reveal the morphology of the MXene nanosheet. To confirm the delamination of Ti3C2Tx MXene, an AFM characterization was performed, as shown in Figure S2. The thickness of the MXene nanosheet was measured to be approximately 2.41 nm, which suggests the presence of a monolayer MXene. The phase structure was further verified using X-ray diffraction (XRD) in Figure 2c. The diffraction peak at 9.5° corresponds to the MAX phase in the black line, while for MXene, this characteristic peak shifts from 9.5° to 6.6°, indicating increased interlayer spacing and the successful exfoliation of the MAX material [17]. Moreover, APTES-modified nmSi and MXene phases were observed in the nmSi-NH2/MXene composite (green line). The characteristic peaks at about 28.3°, 47.1°, and 56° correspond to the (111), (220), and (311) planes of nmSi-NH2, respectively [12]. Compared to pure MXene, the slight shift from 6.6° to 6.08° is attributed to the intercalation of NH2-modified Si into the MXene interlayers, with an increment layer distance of MXene according to Bragg’s law [18,19].
To further confirm the surface functionalization of the nmSi-NH2 sphere assisted by the silane coupling agent, FT-IR spectroscopy was employed to identify the various functional groups, as shown in Figure S1. The peak around 3500 cm−1 indicates the successful oxidation of the pure Si sphere. Prominent peaks at 1508 cm−1 and 1413 cm−1, observed in the nmSi-NH2 sphere compared to the pure SiOx/Si, correspond to the C-N bond vibration [20]. These two new peaks verify the successful surface functionalization of the SiO2 sphere through the formation of Si-O-Si, driven by interactions between the hydroxyl group on the nmSi-NH2 and those generated by the hydrolysis of the silane coupling agents. Additionally, the peaks at around 3500 cm−1 and 1050 cm−1 are ascribed to the Si-OH and Si-O-Si stretching vibration, respectively [21]. X-ray photoelectron spectroscopy (XPS) further confirmed the surface functionalization. In the XPS Si 2p spectra (Figure 3a), the peaks at 102.7 eV and 98.7 eV correspond to the Si-O and Si-Si bonds, respectively [22]. The appearance of Si-O bonds is ascribed to the active SiOx layer produced by the piranha solution treatment, while the Si-O-Si bonds are formed through an interaction between the hydroxy group of SiOx and the hydrolyzed APTES. Meanwhile, the N 1s XPS spectrum (Figure 3b) indicates the presence of NH2 (Figure 3b) [23]. The surface modification can effectively alter the surface charge density of the Si sphere, which is crucial for the electrostatic self-assembly process. Meanwhile, NH2-modified silicon powder exhibits a positively charged surface with a zeta potential of approximately 32.3 mV, while MXene is negatively charged with a zeta potential of around −33.9 mV due to the functional groups such as F and OH, as shown in Figure S3 [24]. Under this condition, the positively charged Si sphere can be easily combined with the negatively charged MXene through electrostatic force.
The surface chemical composition of AA electrodes was analyzed using X-ray photoelectron spectroscopy (XPS). The XPS spectrum of 65 wt% AA electrode in Figure 4a shows sharp peaks at 284.7 eV, 454.5 eV, and 532.7 eV, corresponding to elemental C, Ti, and O, respectively. After Gaussian fitting the C 1s spectrum, peaks were identified at 288.8 eV (O=C–O), 284.88 eV (C–C), 283.8 eV (C–Si), and 281.4 eV (C–Ti), as shown in Figure 4b [25,26,27]. The C-Si bond peak confirms the successful assembly of Si with MXene sheets, and the whole C-Ti peak at 281.4 eV indicates the presence of MXene [28]. Additionally, the detection of C-Si bonds in the C 1s spectrum also confirms successful amino functionalization.
The N 1s XPS spectrum of the AA materials is presented in Figure 4c. The XPS spectra of N 1s for the 65 wt% AA electrode were divided into three peaks after peak fitting: 399.8 eV (C–N), 401.5 eV (HN–CO), and 402.8 eV (N–H and NH₃⁺ groups), respectively [23,29,30]. The presence of HN-CO bonds in the N 1s spectrum suggests that esterification reactions occurred during annealing, likely due to interactions between the OH groups of MXene and the COOH groups of PAA. Additionally, the fitting results of the O 1s spectrum show a peak at 532.4 eV for C-O-C, as shown in Figure 4d [31]. These results suggest that annealing treatment promotes the formation of chemical bonds through esterification and amidation reactions.
To investigate the influence of esterification and amidation interaction on the surface microstructure, SEM was employed to analyze the surface morphology of BA and AA electrodes. For the BA electrodes, the SEM images show the presence of a micron-sized flake structure. Upon magnification, it becomes clear that the nmSi-NH2 nanoparticles (NPs) are closely attracted to the flexible 2D MXene surface, driven by electrostatic forces between the negatively charged MXene and positively charged nmSi-NH2, as shown in Figure 5a,b. In contrast, for the N₂-annealed anode material, it is evident that some nmSi-NH2 particles are anchored and even embedded into the MXene surface via strong chemical bonding, as shown in Figure 5c,d, which can be verified by the XPS result with the existence of HN-CO and O=C-O-C bonds. This morphology is consistent with previous studies [32,33]. Moreover, the elemental mapping results for the 65 wt% AA electrodes (Figure 5e) confirmed the presence of Si, O, C, and Ti elements, demonstrating the uniform distribution of Si particles in the MXene flake.

5. Electrochemical Performance

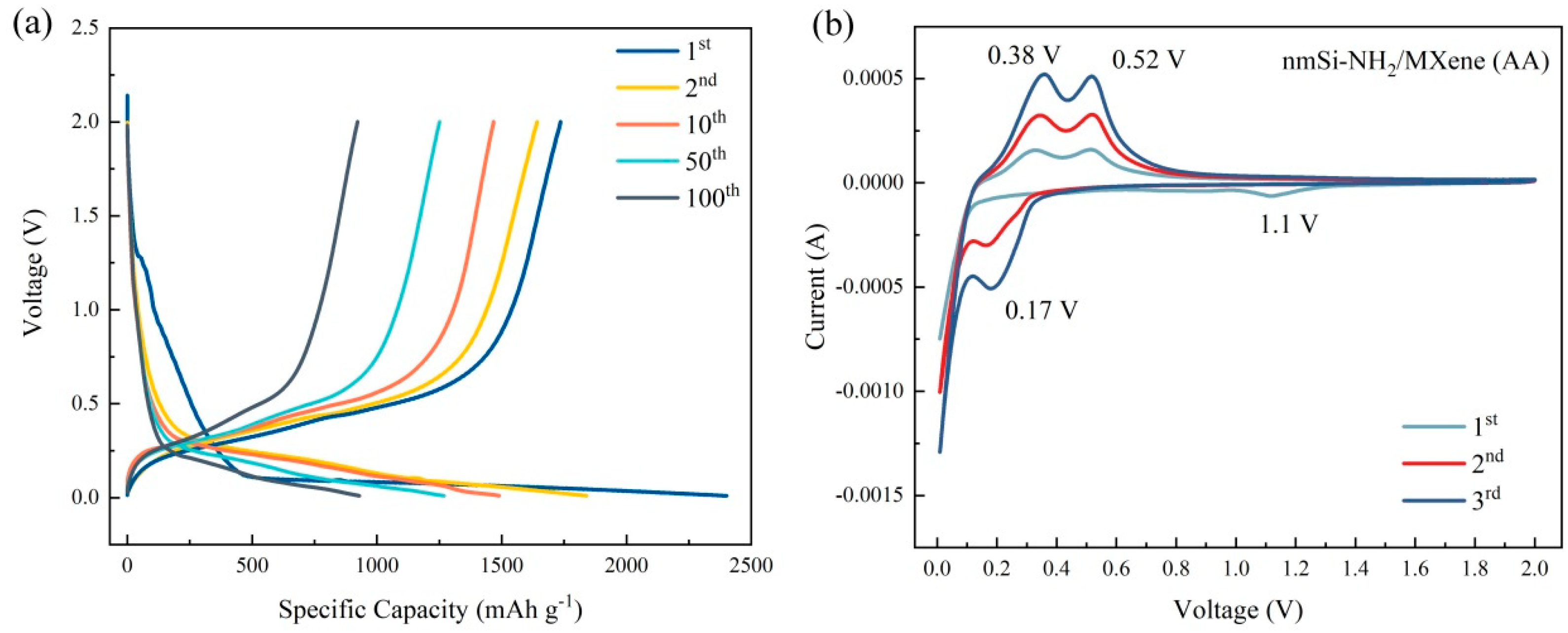
A galvanostatic charge/discharge test was conducted to evaluate the electrochemical performance of the annealed nmSi-NH2/MXene composites between 0.01 V and 2.0 V at the current density of 1 A g−1. As shown in Figure 6a, the initial discharge-specific capacity is around 2400 mAh g−1, with an Initial Coulombic efficiency (ICE) of 68.4%. The capacity decay during the first cycle is attributed to the formation of a solid electrolyte interphase (SEI) layer and reactions with functional groups on the MXene, which consumes Li+ from the electrolyte [34,35]. This initial capacity loss, occurring only in the first cycle, is consistent with the peak observed at 1.1 V during cyclic voltammetry (CV) at a scan rate of 0.01 mV s−1 (Figure 6b). The subsequent capacity decline is primarily due to the volume expansion of the anode, leading to the continuous growth of SEI on the surface of the active material. In Figure 6b, the primary reduction regions range from ~0 V to 0.3 V, corresponding to the lithiation of Si to form Li-Si alloy (LixSi). Additionally, the sharp oxidation peaks at 0.33 V and 0.5 V in the first charging cycle indicate the delithiation of LixSi back to Si [36]. These oxidation peaks, located at 0.38 V and 0.52 V, correspond to the phase transition from the Li-Si alloy to the amorphous Si [37]. These voltage values are also reflected in the charge curves (Figure 6a). Notably, the slight increase in intensity for both the oxidation and reduction peaks in the 2nd and 3rd cycles is due to the activation process during the initial cycle, indicating the gradual conversion of residual crystalline Si to amorphous Si [38].
To investigate the impact of the mass ratio between the nanoscale silicon powder and MXene on the electrochemical performance, various nmSi-NH2 and MXene ratios, including 3:1, 2:1, and 1:1, were tested for comparison. As illustrated in Figure 7a, the first five cycles were set as an activation process at the current density of 100 mA g−1 before 100 cycles. The ratio of 3:1 anode material exhibited rapid capacity decay, with a capacity of around 402 mAh g−1 after 100 cycles. Despite a higher initial capacity of more than 3000 mAh g−1 for the anode material with a ratio of 1:1, it suffered from low initial Coulombic efficiency and a fast decay trend, making it less ideal. Remarkably, the anode material with a ratio of 2:1 showcases superior electrochemical performance, with a specific capacity of 1120 mAh g−1 after 100 cycles. The impedance results, shown in the EIS data (Figure 7b), provide further insights. The high-frequency semicircle and the extra small arc at medium frequency correspond to the internal impedance (Rin) and charge-transfer resistance (Rct) of the electrodes, respectively. In the low-frequency region, the short line represents Warburg resistance (W0), indicating the Li ions diffusion resistance in the electrodes. The equivalent circuit is also depicted in Figure 7b. The calculated Rin values for nmSi-NH2/MXene at ratios of 3:1, 2:1, and 1:1 were 63.4 Ω, 45.4 Ω, and 25.5 Ω, respectively, indicating that nmSi-NH2/MXene with a 1:1 ratio exhibits the best conductivity among the three. However, while the increased MXene content improves electrical conductivity, the reduction in active material leads to a decline in electrochemical performance for the 1:1 composite. Conversely, a 3:1 ratio, with insufficient MXene, suffers from weaker conductivity and worse performance compared to the 1:1 ration. Therefore, the mass ratio of 2:1 in the nmSi-NH2/MXene composite offers an optimal balance between the conductivity and active material content, delivering the best capacity among the three tested ratios.
Furthermore, it is important to investigate the impact of slurry composition on cycling performance. Specifically, three ratios, 7:2:1 (70 wt% AA), 8:1:1 (80 wt% AA), and 6.5:2:1.5 (65 wt% AA), were selected for comparison, as shown in Table 1. Notably, the 65 wt% AA electrodes demonstrated superior performance, delivering a capacity of 929.5 mAh g−1 after 100 cycles (with five pre-cycles at 0.1 A g−1) at the current density of 1 A g−1, as shown in Figure 8a. In contrast, the 70 wt% and 80 wt% AA electrodes exhibited a more rapid decline, with capacities of only 716.0 and 548.8 mAh g−1 after 100 cycles, respectively. A similar trend was observed at a high current density of 5 A g−1 (Figure 8b), where the capacity of 65 wt% AA electrodes reduced to 400 mAh g−1 after 100 cycles, while the capacity of 70 wt% AA electrodes and 80 wt% AA electrodes dropped to 250 mAh g−1 and 260 mAh g−1, respectively.
The superior electrochemical performance of the 65 wt% AA electrodes is attributed to the synergistic effect of cross-linked and electrostatic self-assembly in the Si/MXene composites anode, forming strong chemical bonds through amidation and esterification reactions, as confirmed by the XPS result in Figure 4a. The C 1s and N 1s fitting results of the 65 wt% AA electrodes verified the presence of CO-NH bonds, indicating successful amidation between anode material and binders. Additionally, the O 1s fitting results confirm the formation of O=C-O-C bonds, supporting esterification. In contrast, for 65 wt% BA anode material exhibited rapid capacity decay with capacity dropping to 450 mAh g−1 after 100 cycles (Figure 8d). This decline is due to the absence of strong chemical bonds for the 65 wt% BA anode material, as shown in Figure 4a–c, where no O=C-O-C bonds and CO-NH bonds were observed, highlighting the effect of volume expansion. Compared with a blank sample without electrostatic assembly and annealing process, the 65 wt% BA anode initially demonstrated better performance during the first 20 cycles, but displayed rapid capacity decay from 1480 to 530 mAh g−1. This trend is attributed to the relatively weak electrostatic force, which fails to withstand the strain during the lithiation and delithiation process in the long term, eventually leading to the rapid cracking of the anode material. In contrast, the 65 wt% AA anode material effectively relieves the strain generated by the lithiation and delithiation process due to the co-existence of strong chemical forces and soft electrostatic force, ensuring long-term stability.
Additionally, the rate performance of the three ratios of AA electrodes at various current densities (0.5, 1, 3, 5, 10, and 1 A g−1) is shown in Figure 8c. The reversible capacities of the 65 wt% AA electrode in the 20th cycle at each current density were 1200, 848, 500, 357, 177, and 641 mAh g−1, respectively. Remarkably, after enduring the high current density, the 65 wt% AA electrode retains 75 wt% of its capacity when the current returns to 1 A g−1. However, the 70% and 80% rations exhibited degrades at higher current densities from 3 A to 10 A. These results confirm that bonds formed through amidation and esterification strengthen the total structure and alleviate the volume expansion, leading to a longer cycle life.

6. Conclusions

In summary, the self-assembled amino-modified silicon/MXene composite was successfully synthesized through amidation and esterification reactions. The combination of the PAA binder, MXene, and amino groups formed strong covalent bonds, promoting ion diffusion while mitigating silicon volume expansion. The optimized mass ratio of 2:1 for the nmSi-NH2/MXene composite, with 65% active material, 20% binder, and 15% conductive agent, yielded the best performance. The composite achieved a high capacity of 929.5 mAh g−1 after 100 cycles at 1 A g−1 and 400 mAh g−1 at 5 A g−1. The rate test showed a capacity retention of 75% after various current densities. This stable cycling performance can be attributed to the synergy between electrostatic adhesion, covalent interlinkage, and the unique properties of the MXene nanosheet, which forms a matrix that accommodates silicon particles, releasing the volume expansion while maintaining electrical conductivity. Given its superior electrochemical properties, simplicity, and scalability, this composite electrode shows strong potential as a candidate for high-energy-density LIBs, outperforming conventional pure silicon electrodes.

Supplementary Materials

The following supporting information can be downloaded at: https://www.mdpi.com/article/10.3390/coatings14091210/s1, Figure S1: FT-IR of SiO2 and nmSi-NH2; Figure S2: (a) AFM image of the MXene nanosheet; (b) The thickness profile across the nanosheet boundary marked as a white line shown in (a). The thickness of the MXene nanosheet is estimated to be around 2.41 nm. Figure S3: Zeta potential of MXene, nmSi and nmSi-NH2.

Author Contributions

Conceptualization, S.K. and C.L.; data curation, T.W. and X.G.; formal analysis, S.K. and C.L.; investigation, S.K., C.L., J.R., T.W. and X.G.; methodology, S.K.; project administration, L.Y. and C.Z. (Cezhou Zhao); supervision, L.Y. and C.Z. (Cezhou Zhao); validation, C.L. and C.Z. (Chun Zhao).; writing—original draft, S.K.; writing—review and editing, C.L., J.R. and Y.Y. All authors have read and agreed to the published version of the manuscript.

Funding

This research was funded by the National Natural Science Foundation of China, grant number NSFC Grants 21750110441; the Suzhou Industrial Park Initiative Platform Development for Suzhou Municipal Key Lab for New Energy Technology, grant number RR0140; the Key Program Special Fund in XJTLU, grant number KSF-A-04, KSF-E-28, and KSF-E-38; the XJTLU Research Development Funding, grant number RDF-21-01-040; and the SIP Construction of High-quality Innovation Platform, grant number YZCXPT2023105.

Institutional Review Board Statement

Not applicable.

Informed Consent Statement

Not applicable.

Data Availability Statement

Data are contained within the article.

Conflicts of Interest

Author Xianwei Geng was employed by the company China Energy Science and Technology Research Institute Co., Ltd. The remaining authors declare that the research was conducted in the absence of any commercial or financial relationships that could be construed as a potential conflict of interest.

References

  1. Wang, M.-S.; Wang, G.-L.; Wang, S.; Zhang, J.; Wang, J.; Zhong, W.; Tang, F.; Yang, Z.-L.; Zheng, J.; Li, X. In Situ Catalytic Growth 3D Multi-Layers Graphene Sheets Coated Nano-Silicon Anode for High Performance Lithium-Ion Batteries. Chem. Eng. J. 2019, 356, 895–903. [Google Scholar] [CrossRef]
  2. Xing, Y.; Zhang, L.; Mao, S.; Wang, X.; Wenren, H.; Xia, X.; Gu, C.; Tu, J. Core-Shell Structure of Porous Silicon with Nitrogen-Doped Carbon Layer for Lithium-Ion Batteries. Mater. Res. Bull. 2018, 108, 170–175. [Google Scholar] [CrossRef]
  3. Liu, N.; Lu, Z.; Zhao, J.; McDowell, M.T.; Lee, H.-W.; Zhao, W.; Cui, Y. A Pomegranate-Inspired Nanoscale Design for Large-Volume-Change Lithium Battery Anodes. Nat. Nanotechnol. 2014, 9, 187–192. [Google Scholar] [CrossRef] [PubMed]
  4. Ryu, J.; Hong, D.; Choi, S.; Park, S. Synthesis of Ultrathin Si Nanosheets from Natural Clays for Lithium-Ion Battery Anodes. ACS Nano 2016, 10, 2843–2851. [Google Scholar] [CrossRef] [PubMed]
  5. Huang, X.; Yang, J.; Mao, S.; Chang, J.; Hallac, P.B.; Fell, C.R.; Metz, B.; Jiang, J.; Hurley, P.T.; Chen, J. Controllable Synthesis of Hollow Si Anode for Long-Cycle-Life Lithium-Ion Batteries. Adv. Mater. 2014, 26, 4326–4332. [Google Scholar] [CrossRef] [PubMed]
  6. Bogart, T.D.; Oka, D.; Lu, X.; Gu, M.; Wang, C.; Korgel, B.A. Lithium Ion Battery Peformance of Silicon Nanowires with Carbon Skin. ACS Nano 2014, 8, 915–922. [Google Scholar] [CrossRef]
  7. Chen, S.; Chen, Z.; Xu, X.; Cao, C.; Xia, M.; Luo, Y. Scalable 2D Mesoporous Silicon Nanosheets for High-Performance Lithium-Ion Battery Anode. Small 2018, 14, 1703361. [Google Scholar] [CrossRef]
  8. Yao, Y.; McDowell, M.T.; Ryu, I.; Wu, H.; Liu, N.; Hu, L.; Nix, W.D.; Cui, Y. Interconnected Silicon Hollow Nanospheres for Lithium-Ion Battery Anodes with Long Cycle Life. Nano Lett. 2011, 11, 2949–2954. [Google Scholar] [CrossRef]
  9. Park, G.D.; Cho, J.S.; Kang, Y.C. Novel Cobalt Oxide-Nanobubble-Decorated Reduced Graphene Oxide Sphere with Superior Electrochemical Properties Prepared by Nanoscale Kirkendall Diffusion Process. Nano Energy 2015, 17, 17–26. [Google Scholar] [CrossRef]
  10. Lee, J.K.; Smith, K.B.; Hayner, C.M.; Kung, H.H. Silicon Nanoparticles–Graphene Paper Composites for Li Ion Battery Anodes. Chem. Commun. 2010, 46, 2025–2027. [Google Scholar] [CrossRef]
  11. Tokur, M.; Algul, H.; Ozcan, S.; Cetinkaya, T.; Uysal, M.; Akbulut, H. Closing to Scaling-Up High Reversible Si/RGO Nanocomposite Anodes for Lithium Ion Batteries. Electrochim. Acta 2016, 216, 312–319. [Google Scholar] [CrossRef]
  12. Wang, M.-S.; Wang, Z.-Q.; Jia, R.; Yang, Y.; Zhu, F.-Y.; Yang, Z.-L.; Huang, Y.; Li, X.; Xu, W. Facile Electrostatic Self-Assembly of Silicon/Reduced Graphene Oxide Porous Composite by Silica Assist as High Performance Anode for Li-Ion Battery. Appl. Surf. Sci. 2018, 456, 379–389. [Google Scholar] [CrossRef]
  13. Cui, Y.; Wang, J.; Wang, X.; Qin, J.; Cao, M. A Hybrid Assembly of MXene with NH2−Si Nanoparticles Boosting Lithium Storage Performance. Chem. Asian J. 2020, 15, 1376–1383. [Google Scholar] [CrossRef] [PubMed]
  14. Zhang, F.; Jia, Z.; Wang, C.; Feng, A.; Wang, K.; Hou, T.; Liu, J.; Zhang, Y.; Wu, G. Sandwich-like Silicon/Ti3C2Tx MXene Composite by Electrostatic Self-Assembly for High Performance Lithium Ion Battery. Energy 2020, 195, 117047. [Google Scholar] [CrossRef]
  15. Jin, B.; Wang, D.; Song, L.; Cai, Y.; Ali, A.; Hou, Y.; Chen, J.; Zhang, Q.; Zhan, X. Biomass-Derived Fluorinated Corn Starch Emulsion as Binder for Silicon and Silicon Oxide Based Anodes in Lithium-Ion Batteries. Electrochim. Acta 2021, 365, 137359. [Google Scholar] [CrossRef]
  16. Su, T.-T.; Ren, W.-F.; Wang, K.; Yuan, J.-M.; Shao, C.-Y.; Ma, J.-L.; Chen, X.-H.; Xiao, L.-P.; Sun, R.-C. Bifunctional Hydrogen-Bonding Cross-Linked Polymeric Binders for Silicon Anodes of Lithium-Ion Batteries. Electrochim. Acta 2022, 402, 139552. [Google Scholar] [CrossRef]
  17. Tian, Y.; An, Y.; Feng, J. Flexible and Freestanding Silicon/MXene Composite Papers for High-Performance Lithium-Ion Batteries. ACS Appl. Mater. Interfaces 2019, 11, 10004–10011. [Google Scholar] [CrossRef]
  18. Liu, Y.-T.; Zhang, P.; Sun, N.; Anasori, B.; Zhu, Q.-Z.; Liu, H.; Gogotsi, Y.; Xu, B. Self-Assembly of Transition Metal Oxide Nanostructures on MXene Nanosheets for Fast and Stable Lithium Storage. Adv. Mater. 2018, 30, 1707334. [Google Scholar] [CrossRef]
  19. Ahmed, B.; Anjum, D.H.; Gogotsi, Y.; Alshareef, H.N. Atomic Layer Deposition of SnO2 on MXene for Li-Ion Battery Anodes. Nano Energy 2017, 34, 249–256. [Google Scholar] [CrossRef]
  20. Ding, Y.; Sun, W.; Yang, W.; Li, Q. Formic Acid as the In-Situ Hydrogen Source for Catalytic Reduction of Nitrate in Water by PdAg Alloy Nanoparticles Supported on Amine-Functionalized SiO2. Appl. Catal. B Environ. 2017, 203, 372–380. [Google Scholar] [CrossRef]
  21. Bao, S.; Li, J.; Guan, B.; Jia, M.; Terasaki, O.; Yu, J. A Green Selective Water-Etching Approach to MOF@Mesoporous SiO2 Yolk-Shell Nanoreactors with Enhanced Catalytic Stabilities. Matter 2020, 3, 498–508. [Google Scholar] [CrossRef]
  22. Alkarmo, W.; Aqil, A.; Ouhib, F.; Thomassin, J.-M.; Mazouzi, D.; Guyomard, D.; Detrembleur, C.; Jérôme, C. Nanostructured 3D Porous Hybrid Network of N-Doped Carbon, Graphene and Si Nanoparticles as an Anode Material for Li-Ion Batteries. New J. Chem. 2017, 41, 10555–10560. [Google Scholar] [CrossRef]
  23. Jin, Y.G.; Qiao, S.Z.; da Costa, J.C.D.; Wood, B.J.; Ladewig, B.P.; Lu, G.Q. Hydrolytically Stable Phosphorylated Hybrid Silicas for Proton Conduction. Adv. Funct. Mater. 2007, 17, 3304–3311. [Google Scholar] [CrossRef]
  24. Maleski, K.; Mochalin, V.N.; Gogotsi, Y. Dispersions of Two-Dimensional Titanium Carbide MXene in Organic Solvents. Chem. Mater. 2017, 29, 1632–1640. [Google Scholar] [CrossRef]
  25. Wu, Y.; Lin, Y.; Xu, J. Synthesis of Ag–Ho, Ag–Sm, Ag–Zn, Ag–Cu, Ag–Cs, Ag–Zr, Ag–Er, Ag–Y and Ag–Co Metal Organic Nanoparticles for UV-Vis-NIR Wide-Range Bio-Tissue Imaging. Photochem. Photobiol. Sci. 2019, 18, 1081–1091. [Google Scholar] [CrossRef] [PubMed]
  26. Bashouti, M.Y.; Paska, Y.; Puniredd, S.R.; Stelzner, T.; Christiansen, S.; Haick, H. Silicon Nanowires Terminated with Methyl Functionalities Exhibit Stronger Si–C Bonds than Equivalent 2D Surfaces. Phys. Chem. Chem. Phys. 2009, 11, 3845–3848. [Google Scholar] [CrossRef]
  27. Ahmed, B.; Anjum, D.H.; Hedhili, M.N.; Gogotsi, Y.; Alshareef, H.N. H2O2 Assisted Room Temperature Oxidation of Ti2C MXene for Li-Ion Battery Anodes. Nanoscale 2016, 8, 7580–7587. [Google Scholar] [CrossRef]
  28. Meng, R.; Huang, J.; Feng, Y.; Zu, L.; Peng, C.; Zheng, L.; Zheng, L.; Chen, Z.; Liu, G.; Chen, B.; et al. Black Phosphorus Quantum Dot/Ti3C2 MXene Nanosheet Composites for Efficient Electrochemical Lithium/Sodium-Ion Storage. Adv. Energy Mater. 2018, 8, 1801514. [Google Scholar] [CrossRef]
  29. Shi, P.; Xue, R.; Wei, Y.; Lei, X.; Ai, J.; Wang, T.; Shi, Z.; Wang, X.; Wang, Q.; Mohammed Soliman, F.; et al. Gold Nanoparticles/Tetraaminophenyl Porphyrin Functionalized Multiwalled Carbon Nanotubes Nanocomposites Modified Glassy Carbon Electrode for the Simultaneous Determination of p-Acetaminophen and p-Aminophenol. Arab. J. Chem. 2020, 13, 1040–1051. [Google Scholar] [CrossRef]
  30. Ahmed, M.H.; Byrne, J.A.; McLaughlin, J.; Ahmed, W. Study of Human Serum Albumin Adsorption and Conformational Change on DLC and Silicon Doped DLC Using XPS and FTIR Spectroscopy. J. Biomater. Nanobiotechnol. 2013, 4, 10. [Google Scholar] [CrossRef]
  31. Siddique, A.B.; Pramanick, A.K.; Chatterjee, S.; Ray, M. Amorphous Carbon Dots and Their Remarkable Ability to Detect 2,4,6-Trinitrophenol. Sci. Rep. 2018, 8, 9770. [Google Scholar] [CrossRef] [PubMed]
  32. Jung, C.-H.; Kim, K.-H.; Hong, S.-H. An in Situ Formed Graphene Oxide–Polyacrylic Acid Composite Cage on Silicon Microparticles for Lithium Ion Batteries via an Esterification Reaction. J. Mater. Chem. A 2019, 7, 12763–12772. [Google Scholar] [CrossRef]
  33. Jung, C.-H.; Kim, K.-H.; Hong, S.-H. Stable Silicon Anode for Lithium-Ion Batteries through Covalent Bond Formation with a Binder via Esterification. ACS Appl. Mater. Interfaces 2019, 11, 26753–26763. [Google Scholar] [CrossRef]
  34. Xie, Y.; Naguib, M.; Mochalin, V.N.; Barsoum, M.W.; Gogotsi, Y.; Yu, X.; Nam, K.-W.; Yang, X.-Q.; Kolesnikov, A.I.; Kent, P.R.C. Role of Surface Structure on Li-Ion Energy Storage Capacity of Two-Dimensional Transition-Metal Carbides. J. Am. Chem. Soc. 2014, 136, 6385–6394. [Google Scholar] [CrossRef] [PubMed]
  35. Ren, C.E.; Zhao, M.-Q.; Makaryan, T.; Halim, J.; Boota, M.; Kota, S.; Anasori, B.; Barsoum, M.W.; Gogotsi, Y. Porous Two-Dimensional Transition Metal Carbide (MXene) Flakes for High-Performance Li-Ion Storage. ChemElectroChem 2016, 3, 689–693. [Google Scholar] [CrossRef]
  36. Zhu, Y.; Liu, W.; Zhang, X.; He, J.; Chen, J.; Wang, Y.; Cao, T. Directing Silicon–Graphene Self-Assembly as a Core/Shell Anode for High-Performance Lithium-Ion Batteries. Langmuir 2013, 29, 744–749. [Google Scholar] [CrossRef]
  37. Park, G.D.; Choi, J.H.; Jung, D.S.; Park, J.-S.; Kang, Y.C. Three-Dimensional Porous Pitch-Derived Carbon Coated Si Nanoparticles-CNT Composite Microsphere with Superior Electrochemical Performance for Lithium Ion Batteries. J. Alloys Compd. 2020, 821, 153224. [Google Scholar] [CrossRef]
  38. Chen, X.; Li, X.; Ding, F.; Xu, W.; Xiao, J.; Cao, Y.; Meduri, P.; Liu, J.; Graff, G.L.; Zhang, J.-G. Conductive Rigid Skeleton Supported Silicon as High-Performance Li-Ion Battery Anodes. Nano Lett. 2012, 12, 4124–4130. [Google Scholar] [CrossRef]
Figure 1. Schematic diagram of the process for synthesizing BA and AA electrodes.
Figure 1. Schematic diagram of the process for synthesizing BA and AA electrodes.
Coatings 14 01210 g001
Figure 2. SEM images of (a,b) Ti3C2TX. (c) XRD spectra of MAX, MXene, nmSi-NH2, and self-assembly nmSi-NH2/MXene.
Figure 2. SEM images of (a,b) Ti3C2TX. (c) XRD spectra of MAX, MXene, nmSi-NH2, and self-assembly nmSi-NH2/MXene.
Coatings 14 01210 g002
Figure 3. High-resolution XPS spectra of (a) Si 2p and (b) N 1s spectra of nmSi-NH2.
Figure 3. High-resolution XPS spectra of (a) Si 2p and (b) N 1s spectra of nmSi-NH2.
Coatings 14 01210 g003
Figure 4. High-resolution (a) XPS survey scans for 65 wt% AA electrode, (b) C 1s, (c) N 1s and (d) O 1s spectra of 65 wt% AA electrode.
Figure 4. High-resolution (a) XPS survey scans for 65 wt% AA electrode, (b) C 1s, (c) N 1s and (d) O 1s spectra of 65 wt% AA electrode.
Coatings 14 01210 g004
Figure 5. (a,b) SEM images of BA electrode; (c,d) SEM images of AA electrode; (e) EDS mapping of 65 wt% AA electrode.
Figure 5. (a,b) SEM images of BA electrode; (c,d) SEM images of AA electrode; (e) EDS mapping of 65 wt% AA electrode.
Coatings 14 01210 g005
Figure 6. (a) Discharge-charge curves of AA electrode at 1 A g−1; (b) CV curves of AA electrode at the scan rate of 0.01 mV·s−1.
Figure 6. (a) Discharge-charge curves of AA electrode at 1 A g−1; (b) CV curves of AA electrode at the scan rate of 0.01 mV·s−1.
Coatings 14 01210 g006
Figure 7. (a) Cyclic performance of electrodes with three different ratios at the current density of 1 A g−1; (b) EIS curves of these three electrodes.
Figure 7. (a) Cyclic performance of electrodes with three different ratios at the current density of 1 A g−1; (b) EIS curves of these three electrodes.
Coatings 14 01210 g007
Figure 8. Cyclic performance of 65%/70%/80%wt% AA electrode at the current density of (a) 1 A g−1 and (b) 5 A g−1; (c) rate performance of 65%/70%/80%wt% AA electrode; (d) comparison among BA, AA electrode and blank sample.
Figure 8. Cyclic performance of 65%/70%/80%wt% AA electrode at the current density of (a) 1 A g−1 and (b) 5 A g−1; (c) rate performance of 65%/70%/80%wt% AA electrode; (d) comparison among BA, AA electrode and blank sample.
Coatings 14 01210 g008
Table 1. Constitution of composite electrodes and sample codes.
Table 1. Constitution of composite electrodes and sample codes.
Composition of nmSi-NH2/MXene1 Composition of SlurryAnnealing ConditionSample Code
75 wt.% nmSi-NH2–25 wt.%MXene65%: 20%: 15%180 °C N2nmSi-NH2: MXene = 3:1
66 wt.% nmSi-NH2–33 wt.%MXene65%: 20%: 15%180 °C N22 nmSi-NH2: MXene = 2:1
50 wt.% nmSi-NH2–50 wt.%MXene65%: 20%: 15%180 °C N2nmSi-NH2: MXene = 1:1
66 wt.% nmSi-NH2–33 wt.%MXene65%: 20%: 15%180 °C N265 wt% AA electrode
66 wt.% nmSi-NH2–33 wt.%MXene70%: 20%: 10%180 °C N270 wt% AA electrode
66 wt.% nmSi-NH2–33 wt.%MXene80%: 10%: 10%180 °C N280 wt% AA electrode
66 wt.% nmSi-NH2–33 wt.%MXene65%: 20%: 15%None65 wt% BA electrode
66 wt.% nmSi–33 wt.%MXene65%: 20%: 15%NoneBlank sample
1 Composition of Slurry: anode material: PAA: Super-P. 2 nmSi-NH2: MXene = 2:1 was also named as 65% AA electrodes.
Disclaimer/Publisher’s Note: The statements, opinions and data contained in all publications are solely those of the individual author(s) and contributor(s) and not of MDPI and/or the editor(s). MDPI and/or the editor(s) disclaim responsibility for any injury to people or property resulting from any ideas, methods, instructions or products referred to in the content.

Share and Cite

MDPI and ACS Style

Kong, S.; Liu, C.; Ren, J.; Wang, T.; Geng, X.; Yuan, Y.; Zhao, C.; Zhao, C.; Yang, L. The Synergistic Effect of Cross-Linked and Electrostatic Self-Assembly Si/MXene Composites Anode for Highly Efficient Lithium-Ion Battery. Coatings 2024, 14, 1210. https://doi.org/10.3390/coatings14091210

AMA Style

Kong S, Liu C, Ren J, Wang T, Geng X, Yuan Y, Zhao C, Zhao C, Yang L. The Synergistic Effect of Cross-Linked and Electrostatic Self-Assembly Si/MXene Composites Anode for Highly Efficient Lithium-Ion Battery. Coatings. 2024; 14(9):1210. https://doi.org/10.3390/coatings14091210

Chicago/Turabian Style

Kong, Songjia, Chenguang Liu, Jiawei Ren, Tianchang Wang, Xianwei Geng, Yudan Yuan, Chun Zhao, Cezhou Zhao, and Li Yang. 2024. "The Synergistic Effect of Cross-Linked and Electrostatic Self-Assembly Si/MXene Composites Anode for Highly Efficient Lithium-Ion Battery" Coatings 14, no. 9: 1210. https://doi.org/10.3390/coatings14091210

APA Style

Kong, S., Liu, C., Ren, J., Wang, T., Geng, X., Yuan, Y., Zhao, C., Zhao, C., & Yang, L. (2024). The Synergistic Effect of Cross-Linked and Electrostatic Self-Assembly Si/MXene Composites Anode for Highly Efficient Lithium-Ion Battery. Coatings, 14(9), 1210. https://doi.org/10.3390/coatings14091210

Note that from the first issue of 2016, this journal uses article numbers instead of page numbers. See further details here.

Article Metrics

Back to TopTop