Genetic Markers Associated with Milk Production and Thermotolerance in Holstein Dairy Cows Managed in a Heat-Stressed Environment
Abstract
Simple Summary
Abstract
1. Introduction
2. Materials and Methods
2.1. Experimental Locations and Animals
2.2. Milk Yield Records and Climatic Data
2.3. Genotyping and Quality Control
2.4. Genome-Wide Association Analysis (GWAS)
2.5. Multiple-Testing Correction
2.6. Candidate Genes and Pathway Analyses
2.7. SNP Validation Study
2.8. Statistical Analyses
2.9. Gene Marker Effects on Milk Production and Thermotolerance Traits
3. Results
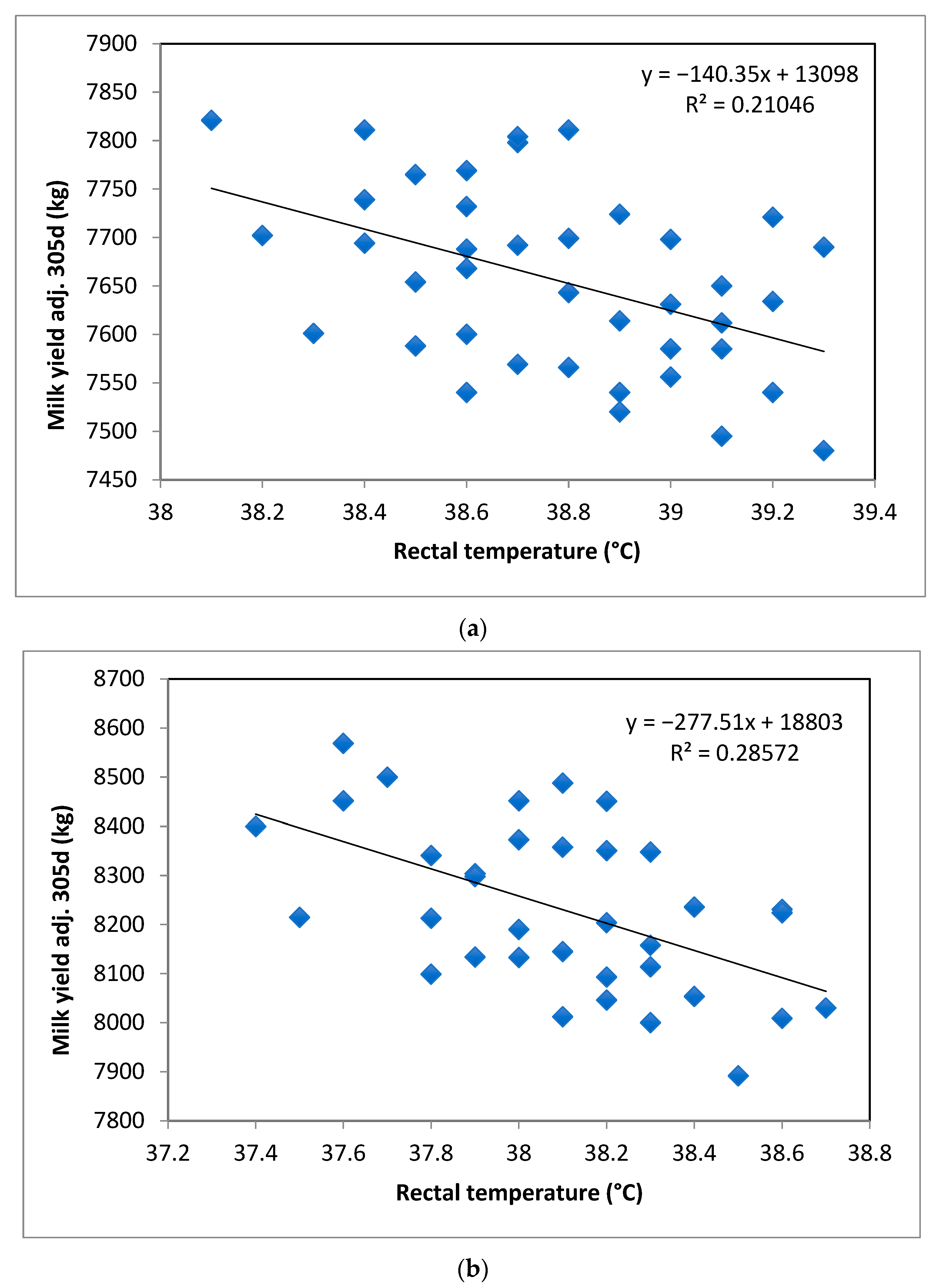
3.1. Climatic Conditions
3.2. Whole-Genome Association Study
3.3. Functional Enrichment Analyses
3.4. SNP Marker Association Study
3.5. Allele and SNP Genotype Effects on Phenotypic Traits
3.6. SNP Markers Effects on Relationship between Milk Yield and Thermotolerance
4. Discussion
5. Conclusions
Author Contributions
Funding
Institutional Review Board Statement
Informed Consent Statement
Data Availability Statement
Acknowledgments
Conflicts of Interest
References
- FAO. Dairy and Dairy Products. OECD-FAO Agricultural Outlook 2020–2029; OECD Publishing/FAO: Paris, France, 2020; pp. 174–183. [Google Scholar]
- Becker, C.A.; Collier, R.J.; Stone, A.E. Invited review: Physiological and behavioral effects of heat stress in dairy cows. J. Dairy Sci. 2020, 103, 6751–6770. [Google Scholar] [CrossRef]
- Collier, R.J.; Baumgard, L.H.; Zimbelman, R.B.; Xiao, Y. Heat stress: Physiology of acclimation and adaptation. Anim. Front. 2018, 29, 12–19. [Google Scholar] [CrossRef]
- Liu, J.; Li, L.; Chen, X.; Lu, Y.; Wang, D. Effects of heat stress on body temperature, milk production, and reproduction in dairy cows: A novel idea for monitoring and evaluation of heat stress—A review. Asian-Australas. J. Anim. Sci. 2019, 32, 1332–1339. [Google Scholar] [CrossRef]
- Cheruiyot, E.K.; Haile-Mariam, M.; Cocks, B.G.; Pryce, J.E. Improving genomic selection for heat tolerance in dairy cattle: Current opportunities and future directions. Front. Genet. 2022, 13, 894067. [Google Scholar] [CrossRef]
- Fournel, S.; Ouellet, V.; Charbonneau, É. Practices for alleviating heat stress of dairy cows in humid continental climates: A literature review. Animals 2017, 7, 37. [Google Scholar] [CrossRef]
- Wen, Y.L. Effects of Heat Stress on Performance and Physiological Functions in Dairy Cows; Inner Mongolia Agricultural University: Huhehot, China, 2011. [Google Scholar]
- Joy, A.; Pragna, P.; Archana, P.R.; Sejian, P.R.; Bagath, M. Significance of metabolic response in livestock for adapting to heat stress challenges. Asian J. Anim. Sci. 2016, 10, 224–234. [Google Scholar]
- Joy, A.; Dunshea, F.R.; Leury, B.J.; Clarke, I.J.; DiGiacomo, K.; Chauhan, S.S. Resilience of small ruminants to climate change and increased environmental temperature: A review. Animal 2020, 10, 867. [Google Scholar] [CrossRef]
- Jiang, J.; Ma, L.; Prakapenka, D.; VanRaden, P.M.; Cole, J.B.; Da, Y. A large-scale genome-wide association study in U.S. Holstein cattle. Front. Genet. 2019, 14, 412. [Google Scholar] [CrossRef]
- Dikmen, S.; Cole, J.B.; Null, D.J.; Hansen, P.J. Genome-wide association mapping for identification of quantitative trait loci for rectal temperature during heat stress in Holstein cattle. PLoS ONE 2013, 8, e69202. [Google Scholar] [CrossRef]
- Hammami, H.; Vandenplas, J.; Vanrobays, M.L.; Rekik, B.; Bastin, C.; Gengler, N. Genetic analysis of heat stress effects on yield traits, udder health, and fatty acids of Walloon Holstein cows. J. Dairy Sci. 2015, 98, 4956–4968. [Google Scholar] [CrossRef]
- Nayeri, S.; Sargolzaei, M.; Abo-Ismail, M.K.; May, N.; Miller., S.P.; Schenkel, F.; Moore, S.S.; Stothard, P. Genome-wide association for milk production and female fertility traits in Canadian dairy Holstein cattle. BMC Genet. 2016, 17, 75. [Google Scholar] [CrossRef] [PubMed]
- Do, D.N.; Bissonnette, N.; Lacasse, P.; Miglior, F.; Sargolzaei, M.; Zhao, X.; Ibeagha-Awemu, E.M. Genome-wide association analysis and pathways enrichment for lactation persistency in Canadian Holstein cattle. J. Dairy Sci. 2017, 100, 1955–1970. [Google Scholar] [CrossRef] [PubMed]
- Yodklaew, P.; Koonawootrittriron, S.; Elzo, M.A.; Suwanasopee, T.; Laodim, T. Genome-wide association study for lactation characteristics, milk yield and age at first calving in a Thai multibreed dairy cattle population. Agric. Nat. Resour. 2017, 51, 223–230. [Google Scholar] [CrossRef]
- Hong, E.P.; Park, J.W. Sample size and statistical power calculation in genetic association studies. Genom. Inform. 2012, 10, 117–122. [Google Scholar] [CrossRef]
- Streit, M.; Neugebauer, N.; Meuwissen, T.H.; Bennewitz, J. Short communication: Evidence for a major gene by polygene interaction for milk production traits in German Holstein dairy cattle. J. Dairy Sci. 2011, 94, 1597–1600. [Google Scholar] [CrossRef]
- Molee, A.; Duanghaklang, N.; Na-Lampang, P. Effects of acyl-CoA:diacylglycerol acyl transferase 1 (DGAT1) gene on milk production traits in crossbred Holstein dairy cattle. Trop. Anim. Health Prod. 2012, 44, 751–755. [Google Scholar] [CrossRef]
- Sigdel, A.; Abdollahi-Arpanahi, R.; Aguilar, I.; Peñagaricano, F. Whole genome mapping reveals novel genes and pathways involved in milk production under heat stress in US Holstein cows. Front. Genet. 2019, 4, 928. [Google Scholar] [CrossRef] [PubMed]
- Otto, P.I.; Guimarães, S.E.F.; Verardo, L.L.; Azevedo, A.L.S.; Vandenplas, J.; Soares, A.C.C.; Sevillano, C.A.; Veroneze, R.; de Fatima, A. Genome-wide association studies for tick resistance in Bos taurus × Bos indicus crossbred cattle: A deeper look into this intricate mechanism. J. Dairy Sci. 2018, 101, 11020–11032. [Google Scholar] [CrossRef]
- Luo, H.; Hu, L.; Brito, L.F.; Dou, J.; Sammad, A.; Chang, Y.; Ma, L.; Guo, G.; Liu, L.; Zhai, L.; et al. Weighted single-step GWAS and RNA sequencing reveals key candidate genes associated with physiological indicators of heat stress in Holstein cattle. J. Anim. Sci. Biotechnol. 2022, 13, 108. [Google Scholar] [CrossRef]
- Bohlouli, M.; Halli, K.; Yin, T.; Gengler, N.; König, S. Genome-wide associations for heat stress response suggest potential candidate genes underlying milk fatty acid composition in dairy cattle. J. Dairy Sci. 2022, 105, 3323–3340. [Google Scholar] [CrossRef]
- Hassan, F.; Nawaz, A.; Rehman, M.S.; Ali, M.A.; Dilshad, S.; Yan, C. Prospects of HSP70 as a genetic marker for thermo-tolerance and immuno-modulation in animals under climate change scenario. Anim. Nutr. 2019, 5, 340–350. [Google Scholar] [CrossRef] [PubMed]
- NRC. Nutrient Requirements of Dairy Cattle, 7th ed.; National Academy Press: Washington, DC, USA, 2001. [Google Scholar]
- Norman, H.D.; Miller, P.D.; McDaniel, B.T.; Dickinson, F.N. USDA-DHIA Factors for Standardizing 305 Day Lactation Records for Age and Moth to Calving; Forgotten Books: London, UK, 1974. [Google Scholar]
- Mader, T.L.; Johnson, L.J.; Gaughan, J.B. A comprehensive index for assessing environmental stress in animals. J. Anim Sci. 2010, 88, 2153–2165. [Google Scholar] [CrossRef]
- Matukumalli, L.K.; Lawley, C.T.; Schnabel, R.D.; Taylor, J.F.; Allan, M.F.; Heaton, M.P.; O’Connell, J.; Moore, S.S.; Smith, T.P.; Sonstegard, T.S.; et al. Development and characterization of a high density SNP genotyping assay for cattle. PLoS ONE 2009, 4, e5350. [Google Scholar] [CrossRef]
- Bland, J.M.; Altman, D.G. Multiple significance tests: The Bonferroni method. BMJ 1995, 21, 170. [Google Scholar] [CrossRef]
- Castillo-Salas, C.A.; Luna-Nevárez, G.; Reyna-Granados, J.R.; Luna-Ramirez, R.I.; Limesand, S.W.; Luna-Nevárez, P. Molecular markers for thermo-tolerance are associated with reproductive and physiological traits in Pelibuey ewes raised in a semiarid environment. J. Therm. Biol. 2023, 112, 103475. [Google Scholar] [CrossRef]
- Weir, B.S. Forensics: Handbook of Statistical Genetics; John Wiley and Sons: Hoboken, NJ, USA, 2001. [Google Scholar]
- Sherman, E.L.; Nkrumah, J.D.; Murdoch, B.M.; Li, C.; Wang, Z.; Fu, A.; Moore, S.S. Polymorphisms and haplotypes in the bovine neuropeptide Y, growth hormone receptor, ghrelin, insulin-like growth factor 2, and uncoupling proteins 2 and 3 genes and their associations with measures of growth, performance, feed efficiency, and carcass merit in beef cattle. J. Anim. Sci. 2008, 86, 11–16. [Google Scholar]
- Falconer, D.S.; Mackay, T.F.C. Introduction to Quantitative Genetics, 4th ed.; Longman Scientific and Technical: New York, NY, USA, 1996. [Google Scholar]
- Purwanto, B.P.; Abo, Y.; Sakamoto, R.; Furumoto, F.; Yamamoto, S. Diurnal patterns of heat production and heart rate under thermoneutral conditions in Holstein Friesian cows differing in milk production. J. Agric. Sci. 1990, 114, 139–142. [Google Scholar] [CrossRef]
- Garner, J.B.; Douglas, M.L.; Williams, S.R.; Wales, W.J.; Marett, L.C.; Nguyen, T.T.; Reich, C.M.; Hayes, B.J. Genomic selection improves heat tolerance in dairy cattle. Sci. Rep. 2016, 29, 34114. [Google Scholar] [CrossRef] [PubMed]
- Macciotta, N.P.P.; Biffani, S.; Bernabucci, U.; Lacetera, N.; Vitali, A.; Ajmone-Marsan, P.; Nardone, A. Derivation and genome-wide association study of a principal component-based measure of heat tolerance in dairy cattle. J. Dairy Sci. 2017, 100, 4683–4697. [Google Scholar] [CrossRef]
- Tiezzi, F.; de Los Campos, G.; Parker-Gaddis, K.L.; Maltecca, C. Genotype by environment (climate) interaction improves genomic prediction for production traits in US Holstein cattle. J. Dairy Sci. 2017, 100, 2042–2056. [Google Scholar] [CrossRef]
- Bohlouli, M.; Yin, T.; Hammami, H.; Gengler, N.; König, S. Climate sensitivity of milk production traits and milk fatty acids in genotyped Holstein dairy cows. J. Dairy Sci. 2021, 104, 6847–6860. [Google Scholar] [CrossRef]
- Hariyono, D.N.H.; Prihandini, P.W. Association of selected gene polymorphisms with thermotolerance traits in cattle—A review. Anim. Biosci. 2022, 35, 1635–1648. [Google Scholar] [CrossRef] [PubMed]
- Henry, B.; Eckard, R.; Beauchemin, K. Adaptation of ruminant livestock production systems to climate changes. Animal 2018, 12, s445–s456. [Google Scholar] [CrossRef]
- Luo, H.; Li, X.; Hu, L.; Xu, W.; Chu, Q.; Liu, A.; Guo, G.; Liu, L.; Brito, L.F.; Wang, Y. Genomic analyses and biological validation of candidate genes for rectal temperature as an indicator of heat stress in Holstein cattle. J. Dairy Sci. 2021, 104, 4441–4451. [Google Scholar] [CrossRef] [PubMed]
- Gebreyesus, G.; Buitenhuis, A.J.; Poulsen, N.A.; Visker, M.H.P.W.; Zhang, Q.; van Valenberg, H.J.F.; Sun, D.; Bovenhuis, H. Multi-population GWAS and enrichment analyses reveal novel genomic regions and promising candidate genes underlying bovine milk fatty acid composition. BMC Genom. 2019, 20, 178. [Google Scholar] [CrossRef]
- Grisart, B.; Coppieters, W.; Farnir, F.; Karim, L.; Ford, C.; Berzi, P.; Cambisano, N.; Mni, M.; Reid, S.; Simon, P.; et al. Positional candidate cloning of a QTL in dairy cattle: Identification of a missense mutation in the bovine DGAT1 gene with major effect on milk yield and composition. Genome Res. 2002, 12, 222–231. [Google Scholar] [CrossRef]
- Lu, J.; Boeren, S.; van Hooijdonk, T.; Vervoort, J.; Hettinga, K. Effect of the DGAT1 K232A genotype of dairy cows on the milk metabolome and proteome. J. Dairy Sci. 2015, 98, 3460–3469. [Google Scholar] [CrossRef] [PubMed]
- Spelman, R.J.; Ford, C.A.; McElhinney, P.; Gregory, G.C.; Snell, R.G. Characterization of the DGAT1 gene in the New Zealand dairy population. J. Dairy Sci. 2002, 85, 3514–3517. [Google Scholar] [CrossRef]
- Hayes, B.J.; Bowman, P.J.; Chamberlain, A.J.; Goddard, M.E. Invited review: Genomic selection in dairy cattle: Progress and challenges. J. Dairy Sci. 2009, 92, 433–443. [Google Scholar] [CrossRef]
- Chamberlain, A.J.; Hayes, B.J.; Savin, K.; Bolormaa, S.; McPartlan, H.C.; Bowman, P.J.; Van der Jagt, C.; MacEachern, S.; Goddard, M.E. Validation of single nucleotide polymorphisms associated with milk production traits in dairy cattle. J. Dairy Sci. 2012, 95, 864–875. [Google Scholar] [CrossRef]
- Naukkarinen, J.; Surakka, I.; Pietiläinen, K.H.; Rissanen, A.; Salomaa, V.; Ripatti, S.; Yki-Järvinen, H.; van Duijn, C.M.; Wichmann, H.E.; Kaprio, J.; et al. ENGAGE Consortium. Use of genome-wide expression data to mine the “Gray Zone” of GWA studies leads to novel candidate obesity genes. PLoS Genet. 2010, 6, e1000976. [Google Scholar] [CrossRef]
- Weller, J.I.; Song, J.Z.; Heyen, D.W.; Lewin, H.A.; Ron, M. A new approach to the problem of multiple comparisons in the genetic dissection of complex traits. Genetics 1998, 150, 1699–1706. [Google Scholar] [CrossRef]
- Benjamini, Y.; Hochberg, Y. Controlling the false discovery rate—A practical and powerful approach to multiple testing. J. R. Stat. Soc. B 1995, 57, 289–300. [Google Scholar] [CrossRef]
- Mosig, M.O.; Lipkin, E.; Khutoreskaya, G.; Tchourzyna, E.; Soller, M.; Friedmann, A. A whole genome scan for quantitative trait loci affecting milk protein percentage in Israeli-Holstein cattle, by means of selective milk DNA pooling in a daughter design, using an adjusted false discovery rate criterion. Genetics 2001, 157, 1683–1698. [Google Scholar] [CrossRef]
- Visscher, P.M. Sizing up human height variation. Nat. Genet. 2008, 40, 489–490. [Google Scholar] [CrossRef]
- Karlsson, E.K.; Baranowska, I.; Wade, C.M.; Salmon-Hillbertz, N.H.; Zody, M.C.; Anderson, N.; Biagi, T.M.; Patterson, N.; Pielberg, G.R.; Kulbokas, E.J.; et al. Efficient mapping of mendelian traits in dogs through genome-wide association. Nat. Genet. 2007, 39, 1321–1328. [Google Scholar] [CrossRef]
- Pryce, J.E.; Haile-Mariam, M.; Verbyla, K.; Bowman, P.J.; Goddard, M.E.; Hayes, B.J. Genetic markers for lactation persistency in primiparous Australian dairy cows. J. Dairy Sci. 2010, 93, 2202–2214. [Google Scholar] [CrossRef] [PubMed]
- Zhang, X.; Bailey, S.D.; Lupien, M. Laying a solid foundation for Manhattan—‘setting the functional basis for the post-GWAS era’. Trends Genet. 2014, 30, 140–149. [Google Scholar] [CrossRef]
- Deng, N.; Zhou, H.; Fan, H.; Yuan, Y. Single nucleotide polymorphisms and cancer susceptibility. Oncotarget 2017, 8, 110635–110649. Available online: https://www.oncotarget.com/article/22372/text/ (accessed on 19 November 2022).
- Salcedo-Tacuma, D.; Parales-Giron, J.; Prom, C.; Chirivi, M.; Laguna, J.; Locj, A.L.; Contreras, G.A. Transcriptomic profiling of adipose tissue inflammation, remodeling, and lipid metabolism in periparturient dairy cows (Bos taurus). BMC Genom. 2020, 21, 824. [Google Scholar] [CrossRef]
- Wang, M.; Song, H.; Zhu, X.; Xing, S.; Zhang, M.; Zhang, H.; Wang, X.; Yang, Z.; Ding, X.; Karrow, N.A.; et al. Toll-like receptor 4 gene polymorphisms influence milk production traits in Chinese Holstein cows. J. Dairy Res. 2018, 85, 407–411. [Google Scholar] [CrossRef]
- Rajamanickam, K.; Leela, V.; Suganya, G.; Basha, S.H.; Parthiban, M.; Visha, P.; Elango, A. Thermal cum lipopolysaccharide-induced stress challenge downregulates functional response of bovine monocyte-derived macrophages. J. Dairy Sci. 2018, 101, 11020–11032. [Google Scholar]
- Liu, Z.; Ezernieks, V.; Wang, J.; Arachchillage, N.W.; Garner, J.B.; Wales, W.J.; Cocks, B.G.; Rochfort, S. Heat stress in dairy cattle alters lipid composition of milk. Sci. Rep. 2017, 7, 961. [Google Scholar] [CrossRef]
- Faylon, M.P.; Baumgard, L.H.; Rhoads, R.P.; Spurlock, D.M. Effects of acute heat stress on lipid metabolism of bovine primary adipocytes. J. Dairy Sci. 2015, 98, 8732–8740. [Google Scholar] [CrossRef]
- Baumgard, L.H.; Rhoads, R.P., Jr. Effects of heat stress on postabsorptive metabolism and energetics. Annu. Rev. Anim. Biosci. 2013, 1, 311–337. [Google Scholar] [CrossRef]
- Gupta, S.; Sharma, A.; Joy, A.; Dunshea, F.R.; Chauhan, S.S. The impact of heat stress on immune status of dairy cattle and strategies to ameliorate the negative effects. Animals 2022, 13, 107. [Google Scholar] [CrossRef]
- Scherer, S.W.; Soder, S.; Duvoisin, R.M.; Huizenga, J.J.; Tsui, L.C. The human metabotropic glutamate receptor 8 (GRM8) gene: A disproportionately large gene located at 7q31.3-q32.1. Genomics 1997, 44, 232–236. [Google Scholar] [CrossRef]
- Belhadj, S.I.; Najar, T.; Ghram, A.; Abdrrabba, M. Heat stress effects on livestock: Molecular, cellular and metabolic aspects, a review. J. Anim. Physiol. Anim. Nutr. 2016, 100, 401–412. [Google Scholar] [CrossRef]
- Yue, S.; Ding, S.; Zhou, J.; Yang, C.; Hu, X.; Zhao, X.; Wang, Z.; Wang, L.; Peng, Q.; Xue, B. Metabolomics Approach Explore Diagnostic Biomarkers and Metabolic Changes in Heat-Stressed Dairy Cows. Animals 2020, 10, 1741. [Google Scholar] [CrossRef]
- Qu, M.; Wei, S.; Chen, Z.; Wang, G.; Zheng, Y.; Yan, P. Differences of hormones involved in adipose metabolism and lactation between high and low producing Holstein cows during heat stress. Anim. Nutr. 2015, 1, 339–343. [Google Scholar] [CrossRef]
- Cheruiyot, E.K.; Haile-Mariam, M.; Cocks, B.G.; MacLeod, I.M.; Xiang, R.; Pryce, J.E. New loci and neuronal pathways for resilience to heat stress in cattle. Sci. Rep. 2021, 11, 16619. [Google Scholar] [CrossRef]
- Nakamura, K.; Morrison, S.F. A thermosensory pathway that controls body temperature. Nat. Neurosci. 2008, 11, 62–71. [Google Scholar] [CrossRef]
- Zou, M.L.; Chen, Z.H.; Teng, Y.Y.; Liu, S.Y.; Jia, Y.; Zhang, K.W.; Sun, Z.L.; Wu, J.J.; Yuan, Z.D.; Feng, Y.; et al. The Smad dependent TGF-β and BMP signaling pathway in bone remodeling and therapies. Front. Mol. Biosci. 2021, 8, 593310. [Google Scholar] [CrossRef]
- Marchildon, F.; St-Louis, C.; Akter, R.; Roodman, V.; Wiper-Bergeron, N.L. Transcription factor Smad3 is required for the inhibition of adipogenesis by retinoic acid. J. Biol. Chem. 2010, 285, 13274–13284. [Google Scholar] [CrossRef]
- Shijun, L.; Khan, R.; Raza, S.H.A.; Jieyun, H.; Chugang, M.; Kaster, N.; Gong, C.; Chunping, Z.; Schreurs, N.M.; Linsen, Z. Function and characterization of the promoter region of perilipin 1 (PLIN1): Roles of E2F1, PLAG1, C/EBPβ, and SMAD3 in bovine adipocytes. Genomics 2020, 112, 2400–2409. [Google Scholar] [CrossRef]
- Zhang, L.; Wu, Z.Q.; Wang, Y.J.; Wang, M.; Yang, W.C. MiR-143 Regulates milk fat synthesis by targeting Smad3 in bovine mammary epithelial cells. Animals 2020, 10, 1453. [Google Scholar] [CrossRef]
- Dikmen, S.; Wang, X.Z.; Ortega, M.S.; Cole, J.B.; Null, D.J.; Hansen, P.J. Single nucleotide polymorphisms associated with thermoregulation in lactating dairy cows exposed to heat stress. J. Anim. Breed. Genet. 2015, 132, 409–419. [Google Scholar] [CrossRef]
- Badri, T.M.; Chen, K.L.; Alsiddig, M.A.; Li, L.; Cai, Y.; Wang, G.L. Genetic polymorphism in Hsp90AA1 gene is associated with the thermotolerance in Chinese Holstein cows. Cell Stress Chaperones 2018, 23, 639–651. [Google Scholar] [CrossRef]
- Jensen, L.M.; Jannaman, E.A.; Pryce, J.E.; De Vries, A.; Hansen, P.J. Effectiveness of the Australian breeding value for heat tolerance at discriminating responses of lactating Holstein cows to heat stress. J. Dairy Sci. 2022, 105, 7820–7828. [Google Scholar] [CrossRef]
- Afsal, A.; Sejian, V.; Bagath, M.; Krishnan, G.; Devaraj, C.; Bhatta. Heat stress and livestock adaptation: Neuro-endocrine regulation. Int. J. Vet. Anim. Med. 2018, 1, 2. [Google Scholar]
- Otto, P.I.; Guimarães, S.E.F.; Verardo, L.L.; Azevedo, A.L.S.; Vandenplas, J.; Sevillano, C.A.; Marques, D.B.D.; Pires, M.F.A.; de Freitas, C.; Verneque, R.S.; et al. Genome-wide association studies for heat stress response in Bos taurus × Bos indicus crossbred cattle. J. Dairy Sci. 2019, 102, 8148–8158. [Google Scholar] [CrossRef]
- Nguyen, T.T.T.; Bowman, P.J.; Haile-Mariam, M.; Pryce, J.E.; Hayes, B.J. Genomic selection for tolerance to heat stress in Australian dairy cattle. J. Dairy Sci. 2016, 99, 2849–2862. [Google Scholar] [CrossRef]





| SNP ID 1 | Variant 2 | BTA 3 | Position 4 | Gene 5 | Alleles 6 | Variance 7 | p-Value 8 |
|---|---|---|---|---|---|---|---|
| rs109479519 | Intergenic | 21 | 60′4444453 | GLRX5 | A/G | 0.240 | 4.33 × 10−10 |
| rs29015299 | Intergenic | 2 | 82′425734 | -------- | T/C | 0.172 | 5.23 × 10−9 |
| rs8193046 | Intronic | 8 | 107′062912 | TLR4 | G/A | 0.170 | 6.45 × 10−8 |
| rs43410971 | Intronic | 4 | 90′731087 | GRM8 | G/A | 0.159 | 1.21 × 10−7 |
| rs108988401 | Intergenic | 6 | 80′246429 | -------- | A/C | 0.156 | 1.57 × 10−7 |
| rs382039214 | Intronic | 10 | 13′909494 | SMAD3 | C/T | 0.150 | 5.96 × 10−7 |
| Canonical Pathway 1 | p-Value 2 | Key Genes 3 |
|---|---|---|
| NF-kappa B signaling pathway | 0.019 | CARD11/TLR4/NFKB1 |
| PI3K-Akt signaling pathway | 0.022 | TCL1A/TLR4/NFKB1 |
| TGF-beta signaling pathway | 0.035 | SMAD3/SMAD6 |
| Toll-like receptor signaling pathway | 0.041 | TLR4/NFKB1 |
| Glutamatergic synapse | 0.042 | GRM8/TRPC1 |
| SNP ID 1 | Gene 2 | F. Allele 3 | Allele Frequency 4 | HWE Test 5 | HWE p-Value 6 | |
|---|---|---|---|---|---|---|
| A | G | |||||
| rs109479519 | GLRX5 | A | 0.43 | 0.57 | 26.31 | <0.0001 |
| rs8193046 | TLR4 | A | 0.55 | 0.45 | 0.14 | 0.61 |
| rs43410971 | GRM8 | G | 0.28 | 0.72 | 2.16 | 0.23 |
| C | T | |||||
| rs382039214 | SMAD3 | T | 0.16 | 0.84 | 0.94 | 0.38 |
| SNP ID 1 | Trait 2 | Least-Square Means by Genotype ± SE 3 | p-Value 4 | ||
|---|---|---|---|---|---|
| AA | AG | GG | |||
| rs8193046 | MY305 | 8794.88 ± 35.33 a | 8453.02 ± 39.75 b | 7826.04 ± 39.29 c | <0.0001 |
| RT | 37.69 ± 0.05 a | 38.01 ± 0.04 b | 38.62 ± 0.05 c | <0.0001 | |
| RR | 61.02 ± 0.41 a | 69.02 ± 0.49 b | 75.25 ± 0.38 c | <0.0001 | |
| rs43410971 | MY305 | 7645.21 ± 38.76 a | 8120.55 ± 37.21 b | 8861.79 ± 38.18 c | <0.0001 |
| RT | 38.47 ± 0.06 a | 37.96 ± 0.05 b | 37.55 ± 0.04 c | <0.0001 | |
| RR | 74.32 ± 0.47 a | 66.93 ± 0.46 b | 60.52 ± 0.42 c | <0.0001 | |
| CC | CT | TT | |||
| rs382039214 | MY305 | 7743.15 ± 38.76 a | 8501.30 ± 37.21 b | 8712.44 ± 34.18 b | 0.0009 |
| RT | 38.26 ± 0.06 a | 37.42 ± 0.05 b | 37.31 ± 0.04 b | 0.0037 | |
| RR | 70.14 ± 0.39 a | 67.17 ± 0.42 a | 63.29 ± 0.47 a | 0.0952 | |
| SNP ID 1 | Trait 2 | Allele Substitution Effects | Fixed Estimates Effects | ||||
|---|---|---|---|---|---|---|---|
| F. Allele 3 | p-Value 4 | Estimate ± SE 5 | p-Value 6 | AddE 7 | DomE 8 | ||
| rs8193046 | MY305 | A | <0.01 | 570.57 ± 26.94 | <0.01 | 574.42 | 52.56 |
| RT | A | <0.01 | −0.43 ± 0.04 | <0.01 | 0.46 | 0.15 | |
| RR | A | <0.01 | −7.06 ± 0.29 | <0.01 | 7.12 | 0.88 | |
| rs43410971 | MY305 | G | <0.01 | 602.18 ± 38.17 | <0.01 | 608.29 | 132.95 |
| RT | G | <0.01 | −0.41 ± 0.05 | <0.01 | 0.46 | 0.05 | |
| RR | G | <0.01 | −6.72 ± 0.44 | <0.01 | 6.91 | 0.49 | |
| rs382039214 | MY305 | T | <0.01 | 476.22 ± 35.14 | <0.01 | 484.65 | 273.51 |
| RT | T | <0.01 | −0.47 ± 0.05 | <0.01 | 0.47 | 0.36 | |
| RR | T | 0.12 | −5.69 ± 0.43 | 0.09 | 3.43 | 0.45 | |
| Physiological Trait | Number of Favorable SNP Genotype Markers | ||
|---|---|---|---|
| 0 | 1 | 2–3 | |
| Rectal temperature (RT) | −0.4587 ** | −0.5345 ** | −0.6021 ** |
| Respiratory rate (RR) | −0.2905 * | −0.3139 * | −0.3868 * |
Disclaimer/Publisher’s Note: The statements, opinions and data contained in all publications are solely those of the individual author(s) and contributor(s) and not of MDPI and/or the editor(s). MDPI and/or the editor(s) disclaim responsibility for any injury to people or property resulting from any ideas, methods, instructions or products referred to in the content. |
© 2023 by the authors. Licensee MDPI, Basel, Switzerland. This article is an open access article distributed under the terms and conditions of the Creative Commons Attribution (CC BY) license (https://creativecommons.org/licenses/by/4.0/).
Share and Cite
Zamorano-Algandar, R.; Medrano, J.F.; Thomas, M.G.; Enns, R.M.; Speidel, S.E.; Sánchez-Castro, M.A.; Luna-Nevárez, G.; Leyva-Corona, J.C.; Luna-Nevárez, P. Genetic Markers Associated with Milk Production and Thermotolerance in Holstein Dairy Cows Managed in a Heat-Stressed Environment. Biology 2023, 12, 679. https://doi.org/10.3390/biology12050679
Zamorano-Algandar R, Medrano JF, Thomas MG, Enns RM, Speidel SE, Sánchez-Castro MA, Luna-Nevárez G, Leyva-Corona JC, Luna-Nevárez P. Genetic Markers Associated with Milk Production and Thermotolerance in Holstein Dairy Cows Managed in a Heat-Stressed Environment. Biology. 2023; 12(5):679. https://doi.org/10.3390/biology12050679
Chicago/Turabian StyleZamorano-Algandar, Ricardo, Juan F. Medrano, Milton G. Thomas, R. Mark Enns, Scott E. Speidel, Miguel A. Sánchez-Castro, Guillermo Luna-Nevárez, José C. Leyva-Corona, and Pablo Luna-Nevárez. 2023. "Genetic Markers Associated with Milk Production and Thermotolerance in Holstein Dairy Cows Managed in a Heat-Stressed Environment" Biology 12, no. 5: 679. https://doi.org/10.3390/biology12050679
APA StyleZamorano-Algandar, R., Medrano, J. F., Thomas, M. G., Enns, R. M., Speidel, S. E., Sánchez-Castro, M. A., Luna-Nevárez, G., Leyva-Corona, J. C., & Luna-Nevárez, P. (2023). Genetic Markers Associated with Milk Production and Thermotolerance in Holstein Dairy Cows Managed in a Heat-Stressed Environment. Biology, 12(5), 679. https://doi.org/10.3390/biology12050679

