Variation in the Health Status of the Mediterranean Gorgonian Forests: The Synergistic Effect of Marine Heat Waves and Fishing Activity
Abstract
Simple Summary
Abstract
1. Introduction
2. Materials and Methods
2.1. Study Area
2.2. ROV Footage Analysis
2.3. Statistical Analysis
3. Results
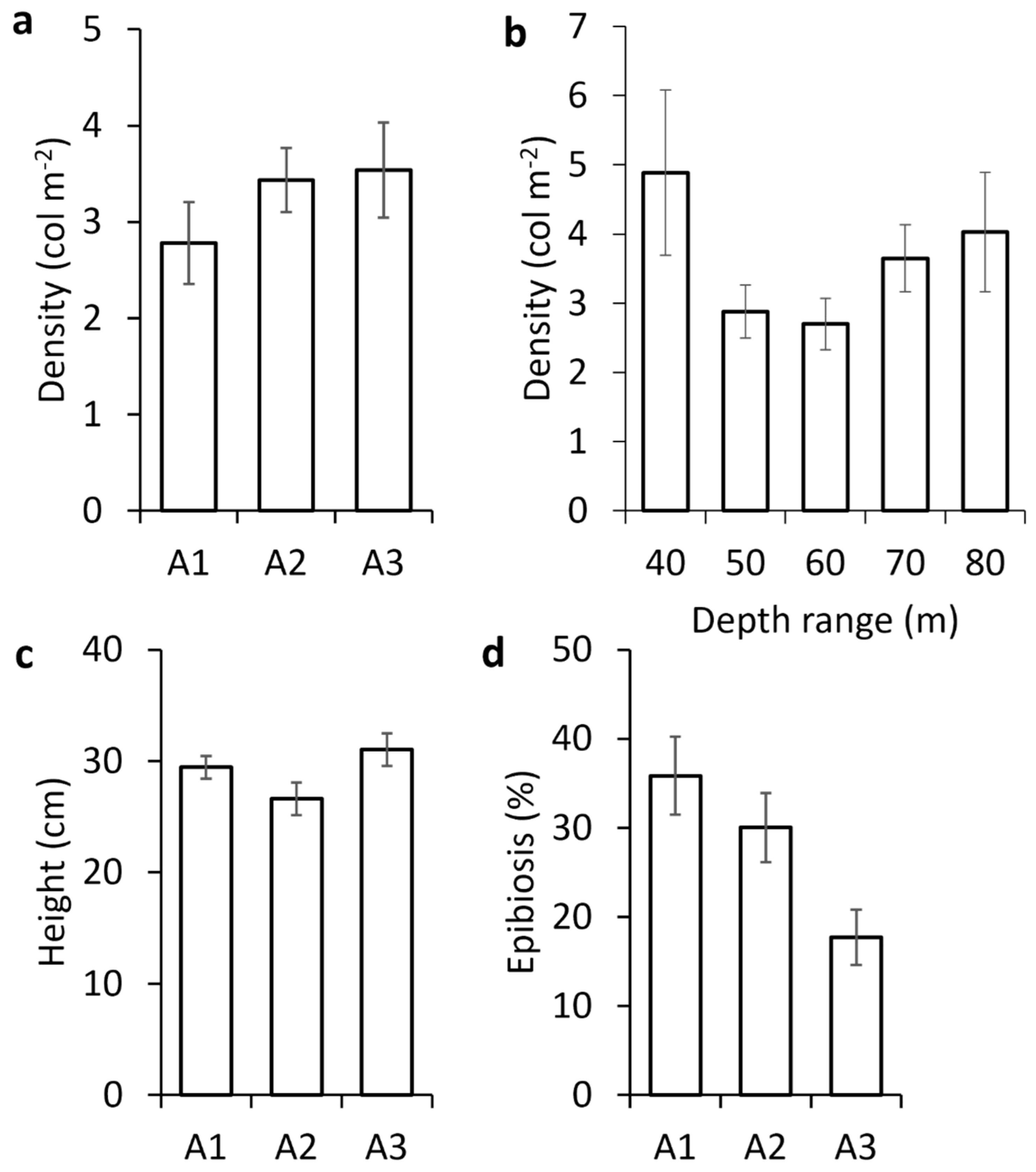
3.1. Health Status of Paramuricea Clavata Forests in the Ligurian Sea
3.2. Temporal Analysis of Epibiosis and Entanglement
4. Discussion
5. Conclusions
Author Contributions
Funding
Institutional Review Board Statement
Informed Consent Statement
Data Availability Statement
Conflicts of Interest
References
- Gori, A.; Bavestrello, G.; Grinyó, J.; Dominguez-Carrió, C.; Ambroso, S.; Bo, M. Animal forests in deep coastal bottoms and continental shelf of the Mediterranean Sea. In Marine Animal Forests: The Ecology of Benthic Biodiversity Hotspots; Springer International Publishing: Berlin/Heidelberg, Germany, 2017; pp. 207–233. [Google Scholar]
- Rossi, S.; Bramanti, L.; Gori, A.; Orejas, C. An overview of the animal forests of the world. In Marine Animal Forests: The Ecology of Benthic Biodiversity Hotspots; Springer International Publishing: Berlin/Heidelberg, Germany, 2017; pp. 1–28. [Google Scholar]
- Piazzi, L.; Atzori, F.; Cadoni, N.; Cinti, M.F.; Frau, F.; Pansini, A.; Pinna, F.; Stipcich, P.; Ceccherelli, G. Animal Forest mortality: Following the consequences of a gorgonian coral loss on a Mediterranean Coralligenous assemblage. Diversity 2021, 13, 133. [Google Scholar] [CrossRef]
- Linares, C.; Doak, D.F. Forecasting the combined effects of disparate disturbances on the persistence of long-lived gorgonians: A case study of Paramuricea clavata. Mar. Ecol. Prog. Ser. 2020, 402, 59–68. [Google Scholar] [CrossRef]
- Cerrano, C.; Milanese, M.; Ponti, M. Diving for science-science for diving: Volunteer scuba divers support science and conservation in the Mediterranean Sea. Aquat. Conserv. Mar. Freshw. Ecos. 2017, 27, 303–323. [Google Scholar] [CrossRef]
- Betti, F.; Bavestrello, G.; Bo, M.; Ravanetti, G.; Enrichetti, F.; Coppari, M.; Cappanera, V.; Venturini, S.; Cattaneo-Vietti, R. Evidences of fishing impact on the coastal gorgonian forests inside the Portofino MPA (NW Mediterranean Sea). Ocean. Coast. Manag. 2020, 187, 105105. [Google Scholar] [CrossRef]
- Otero, M.M.; Numa, C.; Bo, M.; Orejas, C.; Garrabou, J.; Cerrano, C.; Kružic, P.; Antoniadou, C.; Aguilar, R.; Kipson, S.; et al. Overview of the Conservation Status of Mediterranean Anthozoans; IUCN: Maálaga, Spain, 2017; pp. 1–73. ISBN 978-2-8317-1845-3. [Google Scholar] [CrossRef]
- Martin, Y.; Bonnefont, J.L.; Chancerelle, L. Gorgonians mass mortality during the 1999 late summer in French Mediterranean coastal waters: The bacterial hypothesis. Water Res. 2002, 36, 779–782. [Google Scholar] [CrossRef]
- Giuliani, S.; Lamberti, C.V.; Sonni, C.; Pellegrini, D. Mucilage impact on gorgonians in the Tyrrhenian sea. Sci. Total Environ. 2005, 353, 340–349. [Google Scholar] [CrossRef] [PubMed]
- Schiaparelli, S.; Castellano, M.; Povero, P.; Sartoni, G.; Cattaneo-Vietti, R. A benthic mucilage event in North-Western Mediter-ranean Sea and its possible relationships with the summer 2003 European heatwave: Short term effects on littoral rocky assemblages. Mar. Ecol. 2007, 28, 341–353. [Google Scholar] [CrossRef]
- Garrabou, J.; Coma, R.; Bensoussan, N.; Bally, M.; Chevaldonné, P.; Cigliano, M.; Díaz, D.; Harmelin, J.G.; Gambi, M.C.; Kersting, D.K.; et al. Mass mortality in Northwestern Mediterranean rocky benthic communities: Effects of the 2003 heat wave. Glob. Change Biol. 2009, 15, 1090–1103. [Google Scholar] [CrossRef]
- Vezzulli, L.; Previati, M.; Pruzzo, C.; Marchese, A.; Bourne, D.G.; Cerrano, C.; VibrioSea Consortium. Vibrio infections triggering mass mortality events in a warming Mediterranean Sea. Environ. Microbiol. 2010, 12, 2007–2019. [Google Scholar] [CrossRef] [PubMed]
- Vezzulli, L.; Pezzati, E.; Huete-Stauffer, C.; Pruzzo, C.; Cerrano, C. 16SrDNA pyrosequencing of the Mediterranean gorgonian Paramuricea clavata reveals a link among alterations in bacterial holobiont members, anthropogenic influence and disease outbreaks. PLoS ONE 2013, 8, e67745. [Google Scholar] [CrossRef]
- Piazzi, L.; Atzori, F.; Cadoni, N.; Cinti, M.F.; Frau, F.; Ceccherelli, G. Benthic mucilage blooms threaten coralligenous reefs. Mar. Environ. Res. 2018, 140, 145–151. [Google Scholar] [CrossRef] [PubMed]
- Verdura, J.; Linares, C.; Ballesteros, E.; Coma, R.; Uriz, M.J.; Bensoussan, N.; Cebrian, E. Biodiversity loss in a Mediterranean ecosystem due to an extreme warming event unveils the role of an engineering gorgonian species. Sci. Rep. 2019, 9, 5911. [Google Scholar] [CrossRef]
- Ceccherelli, G.; Pinna, F.; Pansini, A.; Piazzi, L.; La Manna, G. The constraint of ignoring the subtidal water climatology in evaluating the changes of coralligenous reefs due to heating events. Sci. Rep. 2020, 10, 17332. [Google Scholar] [CrossRef]
- Cerrano, C.; Bavestrello, G.; Bianchi, C.N.; Cattaneo-Vietti, R.; Bava, S.; Morganti, C.; Morri, C.; Picco, P.G.; Schiaparelli, S.; Siccardi, A.; et al. A catastrophic mass-mortality episode of gorgonians and other organisms in the Ligurian Sea (North-western Mediterranean), summer 1999. Ecol. Let. 2000, 3, 284–293. [Google Scholar] [CrossRef]
- Garrabou, J.; Perez, T.; Sartoretto, S.; Harmelin, J.G. Mass mortality event in red coral Corallium rubrum populations in the Provence region (France, NW Mediterranean). Mar. Ecol. Prog. Ser. 2001, 217, 263–272. [Google Scholar] [CrossRef]
- Cebrian, E.; Uriz, M.J.; Garrabou, J.; Ballesteros, E. Sponge mass mortalities in a warming Mediterranean Sea: Are cyanobacteria-harboring species worse off? PLoS ONE 2011, 6, e20211. [Google Scholar] [CrossRef]
- Cebrian, E.; Linares, C.; Marschal, C.; Garrabou, J. Exploring the effects of invasive algae on the persistence of gorgonian populations. Biol. Invasions 2012, 14, 2647–2656. [Google Scholar] [CrossRef]
- Garrabou, J.; Gómez-Gras, D.; Ledoux, J.B.; Linares, C.; Bensoussan, N.; López-Sendino, P.; Bazairi, H.; Espinosa, F.; Ramdani, M.; Grimes, S.; et al. Collaborative database to track mass mortality events in the Mediterranean Sea. Front. Mar. Sci. 2019, 6, 478167. [Google Scholar] [CrossRef]
- Garrabou, J.; Gómez-Gras, D.; Medrano, A.; Cerrano, C.; Ponti, M.; Schlegel, R.; Bensoussan, N.; Turicchia, E.; Sini, M.; Gerovasileiou, V.; et al. Marine heatwaves drive recurrent mass mortalities in the Mediterranean Sea. Glob. Change Biol. 2022, 28, 5708–5725. [Google Scholar] [CrossRef]
- Cocito, S.; Sgorbini, S. Long-term trend in substratum occupation by a clonal, carbonate bryozoan in a temperate rocky reef in times of thermal anomalies. Mar. Biol. 2014, 161, 17–27. [Google Scholar] [CrossRef]
- Linares, C.; Coma, R.; Diaz, D.; Zabala, M.; Hereu, B.; Dantart, L. Immediate and delayed effects of a mass mortality event on gorgonian population dynamics and benthic community structure in the NW Mediterranean Sea. Mar. Ecol. Prog. Series 2005, 305, 127–137. [Google Scholar] [CrossRef]
- Cerrano, C.; Bavestrello, G. Medium-term effects of die-off of rocky benthos in the Ligurian Sea. What can we learn from gorgonians? Chem. Ecol. 2008, 24, 73–82. [Google Scholar] [CrossRef]
- Huete-Stauffer, C.; Vielmini, I.; Palma, M.; Navone, A.; Panzalis, P.; Vezzulli, L.; Misic, C.; Cerrano, C. Paramuricea clavata (Anthozoa, Octocorallia) loss in the Marine Protected Area of Tavolara (Sardinia, Italy) due to a mass mortality event. Mar. Ecol. 2011, 32, 107–116. [Google Scholar] [CrossRef]
- Teixidó, N.; Casas, E.; Cebrian, E.; Linares, C.; Garrabou, J. Impacts on coralligenous outcrop biodiversity of a dramatic coastal storm. PLoS ONE 2013, 8, e53742. [Google Scholar] [CrossRef]
- Bavestrello, G.; Cerrano, C.; Zanzi, D.; Cattaneo-Vietti, R. Damage by fishing activities to the Gorgonian coral Paramuricea clavata in the Ligurian Sea. Aquat. Conserv. Mar. Freshw. Ecosyst. 1997, 7, 253–262. [Google Scholar] [CrossRef]
- Coma, R.; Pola, E.; Ribes, M.; Zabala, M. Long-term assessment of temperate octocoral mortality patterns, protected vs. unprotected areas. Ecol. Appl. 2004, 14, 1466–1478. [Google Scholar] [CrossRef]
- Bo, M.; Bava, S.; Canese, S.; Angiolillo, M.; Cattaneo-Vietti, R.; Bavestrello, G. Fishing impact on deep Mediterranean rocky habitats as revealed by ROV investigation. Biol. Conserv. 2014, 171, 167–176. [Google Scholar] [CrossRef]
- Angiolillo, M.; di Lorenzo, B.; Farcomeni, A.; Bo, M.; Bavestrello, G.; Santangelo, G.; Cau, A.; Mastascusa, V.; Cau, A.; Sacco, F.; et al. Distribution and assessment of marine debris in the deep Tyrrhenian Sea (NW Mediterranean Sea, Italy). Mar. Pollut. 2015, 92, 149–159. [Google Scholar] [CrossRef]
- Angiolillo, M.; Fortibuoni, T. Impacts of marine litter on Mediterranean reef systems: From shallow to deep waters. Front. Mar. Sci. 2020, 7, 581966. [Google Scholar] [CrossRef]
- Sini, M.; Kipson, S.; Linares, C.; Koutsoubas, D.; Garrabou, J. The yellow gorgonian Eunicella cavolini: Demography and disturbance levels across the Mediterranean Sea. PLoS ONE 2015, 10, e0126253. [Google Scholar] [CrossRef]
- Enrichetti, F.; Bo, M.; Morri, C.; Montefalcone, M.; Toma, M.; Bavestrello, G.; Tunesi, L.; Canese, S.; Giusti, M.; Salvati, E.; et al. Assessing the environmental status of temperate mesophotic reefs: A new, integrated methodological approach. Ecol. Ind. 2019, 102, 218–229. [Google Scholar] [CrossRef]
- Appolloni, L.; Ferrigno, F.; Russo, G.F.; Sandulli, R. β-Diversity of morphological groups as indicator of coralligenous community quality status. Ecol. Ind. 2020, 109, 105840. [Google Scholar] [CrossRef]
- Ferrigno, F.; Appolloni, L.; Donnarumma, L.; Di Stefano, F.; Rendina, F.; Sandulli, R.; Russo, G.F. Diversity loss in coralligenous structuring species impacted by fishing gear and marine litter. Diversity 2021, 13, 331. [Google Scholar] [CrossRef]
- Piazzi, L.; Ferrigno, F.; Guala, I.; Cinti, M.F.; Conforti, A.; De Falco, G.; Grech, D.; La Manna, G.; Pascucci, V.; Pansini, A. Inconsistency in community structure and ecological quality between platform and cliff coralligenous assemblages. Ecol. Ind. 2022, 136, 108657. [Google Scholar] [CrossRef]
- Di Camillo, C.G.; Ponti, M.; Storari, A.; Scarpa, C.; Roveta, C.; Pulido Mantas, T.; Coppari, M.; Cerrano, C. Review of the indexes to assess the ecological quality of coralligenous reefs: Towards a unified approach. Front. Mar. Sci. 2023, 10, 1252969. [Google Scholar] [CrossRef]
- Tsounis, G.; Martinez, L.; Bramanti, L.; Viladrich, N.; Gili, J.M.; Martinez, Á.; Rossi, S. Anthropogenic effects on reproductive effort and allocation of energy reserves in the Mediterranean octocoral Paramuricea clavata. Mar. Ecol. Prog. Ser. 2012, 449, 161–172. [Google Scholar] [CrossRef]
- Kipson, S.; Linares, C.; Čižmek, H.; Cebriaán, E.; Ballesteros, E.; Bakran-Petricioli, T.; Garrabou, J. Population structure and conservation status of the red gorgonian Paramuricea clavata (Risso, 1826) in the Eastern Adriatic Sea. Mar Ecol 2015, 36, 982–993. [Google Scholar] [CrossRef]
- Canessa, M.; Amedeo, I.; Bavestrello, G.; Panzalis, P.; Trainito, E. The diversity, structure, and development of the epibiont community of Paramuricea clavata (Risso, 1826) (Cnidaria, Anthozoa). Water 2023, 15, 2664. [Google Scholar] [CrossRef]
- Enrichetti, F.; Bavestrello, G.; Cappanera, V.; Mariotti, M.; Massa, F.; Merotto, L.; Povero, P.; Rigo, I.; Toma, M.; Tunesi, L.; et al. High megabenthic complexity and vulnerability of a mesophotic rocky shoal support its inclusion in a Mediterranean MPA. Diversity 2023, 15, 933. [Google Scholar] [CrossRef]
- Cerrano, C.; Arillo, A.; Azzini, F.; Calcinai, B.; Castellano, L.; Muti, C.; Valisano, L.; Zega, G.; Bavestrello, G. Gorgonian population recovery after a mass mortality event. Aquat. Conserv. Mar. Freshw. Ecos. 2005, 15, 147–157. [Google Scholar] [CrossRef]
- Fava, F.; Bavestrello, G.; Valisano, L.; Cerrano, C. Survival, growth and regeneration in explants of four temperate gorgonian species in the Mediterranean Sea. Ital. J. Zool. 2010, 77, 44–52. [Google Scholar] [CrossRef]
- Gómez-Gras, D.; Linares, C.; Dornelas, M.; Madin, J.S.; Brambilla, V.; Ledoux, J.B.; López-Sendino, P.; Bensoussan, N.; Garrabou, J. Climate change transforms the functional identity of Mediterranean coralligenous assemblages. Ecol. Lett. 2021, 24, 1038–1051. [Google Scholar] [CrossRef] [PubMed]
- Iborra, L.; Leduc, M.; Fullgrabe, L.; Cuny, P.; Gobert, S. Temporal trends of two iconic Mediterranean gorgonians (Paramuricea clavata and Eunicella cavolini) in the climate change context. J. Sea Res. 2022, 186, 102241. [Google Scholar] [CrossRef]
- Enrichetti, F.; Dominguez-Carrió, C.; Toma, M.; Bavestrello, G.; Betti, F.; Canese, S.; Bo, M. Megabenthic communities of the Ligurian deep continental shelf and shelf break (NW Mediterranean Sea). PLoS ONE 2019, 14, e0223949. [Google Scholar] [CrossRef]
- Würtz, M. Submarine canyons and their role in the Mediterranean ecosystem. In Mediterranean Submarine Canyons: Ecology and Governance; IUCN: Gland, Switzerland; Maálaga, Spain, 2012; p. 11. 131p. [Google Scholar]
- Cattaneo-Vietti, R.; Albertelli, G.; Aliani, S.; Bava, S.; Bavestrello, G.; Cecchi, L.B.; Bianchi, C.N.; Bozzo, E.; Capello, M.; Castellano, M.; et al. The Ligurian Sea: Present status, problems and perspectives. Chem. Ecol. 2016, 26, 319–334. [Google Scholar] [CrossRef]
- Pinardi, N.; Masetti, E. Variability of the large scale general circulation of the Mediterranean Sea from observations and modelling: A review. Palaeogeogr. Palaeoclimatol. Palaeoecol. 2020, 158, 153–173. [Google Scholar] [CrossRef]
- Enrichetti, F.; Dominguez-Carrió, C.; Toma, M.; Bavestrello, G.; Canese, S.; Bo, M. Assessment and distribution of seafloor litter on the deep Ligurian continental shelf and shelf break (NW Mediterranean Sea). Mar. Pollut. 2020, 151, 110872. [Google Scholar] [CrossRef]
- Canessa, M.; Betti, F.; Bo, M.; Enrichetti, F.; Toma, M.; Bavestrello, G. Possible Population Growth of Astrospartus mediterraneus (Risso, 1826) (Ophiuroidea, Gorgonocephalidae) in the Mediterranean Sea. Diversity 2023, 15, 122. [Google Scholar] [CrossRef]
- Anderson, M.J. Permutation tests for univariate or multivariate analysis of variance and regression. Can. J. Fish. Aquat. Sci. 2001, 58, 626–639. [Google Scholar] [CrossRef]
- Crisci, C.; Bensoussan, N.; Romano, J.C.; Garrabou, J. Temperature anomalies and mortality events in marine communities: Insights on factors behind differential mortality impacts in the NW Mediterranean. PLoS ONE 2011, 6, e23814. [Google Scholar] [CrossRef]
- Estaque, T.; Richaume, J.; Bianchimani, O.; Schull, Q.; Mérigot, B.; Bensoussan, N.; Bonhomme, P.; Vouriot, P.; Sartoretto, S.; Monfort, T.; et al. Marine heatwaves on the rise: One of the strongest ever observed mass mortality event in temperate gorgonians. Glob. Change Biol. 2023, 29, 6159–6162. [Google Scholar] [CrossRef] [PubMed]
- Previati, M.; Scinto, A.; Cerrano, C.; Osinga, R. Oxygen consumption in Mediterranean octocorals under different temperatures. J. Experim. Mar. Biol. Ecol. 2010, 390, 39–48. [Google Scholar] [CrossRef]
- Ezzat, L.; Merle, P.L.; Furla, P.; Buttler, A.; Ferrier-Pages, C. The response of the Mediterranean gorgonian Eunicella singularis to thermal stress is independent of its nutritional regime. PLoS ONE 2013, 8, e64370. [Google Scholar] [CrossRef]
- Rodolfo-Metalpa, R.; Bianchi, C.N.; Peirano, A.; Morri, C. Tissue necrosis and mortality of the temperate coral Cladocora caespitosa. Ital. J. Zool. 2005, 72, 271–276. [Google Scholar] [CrossRef]
- Cupido, R.; Cocito, S.; Barsanti, M.; Sgorbini, S.; Peirano, A.; Santangelo, G. Unexpected long-term population dynamics in a canopy-forming gorgonian coral following mass mortality. Mar. Ecol. Progr Ser. 2009, 394, 195–200. [Google Scholar] [CrossRef]
- Rivetti, I.; Fraschetti, S.; Lionello, P.; Zambianchi, E.; Boero, F. Global warming and mass mortalities of benthic invertebrates in the Mediterranean Sea. PLoS ONE 2014, 9, e115655. [Google Scholar] [CrossRef]
- Enrichetti, F.; Bava, S.; Bavestrello, G.; Betti, F.; Lanteri, L.; Bo, M. Artisanal fishing impact on deep coralligenous animal forests: A Mediterranean case study of marine vulnerability. Ocean. Coastal Manag. 2019, 177, 112–126. [Google Scholar] [CrossRef]
- Russo, E.; Anelli Monti, M.; Toninato, G.; Silvestri, C.; Raffaetà, A.; Pranovi, F. Lockdown: How the COVID-19 pandemic affected the fishing activities in the Adriatic sea (Central Mediterranean Sea). Front. Mar. Sci. 2021, 8, 685808. [Google Scholar] [CrossRef]
- Giannakis, E.; Hadjioannou, L.; Jimenez, C.; Papageorgiou, M.; Karonias, A.; Petrou, A. Economic consequences of coronavirus disease (COVID-19) on fisheries in the eastern Mediterranean (Cyprus). Sustainability 2020, 12, 9406. [Google Scholar] [CrossRef]
- Coll, M.; Ortega-Cerdà, M.; Mascarell-Rocher, Y. Ecological and economic effects of COVID-19 in marine fisheries from the Northwestern Mediterranean Sea. Biol. Conserv. 2021, 255, 108997. [Google Scholar] [CrossRef]
- Dapueto, G.; Massa, F.; Costa, S.; Cimoli, L.; Olivari, E.; Chiantore, M.; Federici, B.; Povero, P. A spatial multi-criteria evaluation for site selection of offshore marine fish farm in the Ligurian Sea, Italy. Ocean. Coast. Manag. 2015, 116, 64–77. [Google Scholar] [CrossRef]
- FAO. International Guidelines for the Management of Deep-Sea Fisheries in the High Seas; FAO: Rome, Italy, 2009; 73p. [Google Scholar]
- Scotti, G.; Esposito, V.; D’Alessandro, M.; Panti, C.; Vivona, P.; Consoli, P.; Figurella, F.; Romeo, T. Seafloor litter along the Italian coastal zone: An integrated approach to identify sources of marine litter. Waste Manag. 2021, 124, 203–212. [Google Scholar] [PubMed]
- De La Fuente, G.; Chiantore, M.; Gaino, F.; Asnaghi, V. Ecological status improvement over a decade along the Ligurian coast according to a macroalgae based index (CARLIT). PLoS ONE 2018, 13, e0206826. [Google Scholar] [CrossRef]
- Blanfuné, A.; Thibaut, T.; Boudouresque, C.F.; Mačić, V.; Markovic, L.; Palomba, L.; Verlaque, M.; Boissery, P. The CARLIT method for the assessment of the ecological quality of European Mediterranean waters: Relevance, robustness and possible improvements. Ecol. Ind. 2017, 72, 249–259. [Google Scholar] [CrossRef]








| Year | Site | Lat. (N) | Long. (E) | Transect ID | Depth (m) | N Colony | Density (col m−2) | Epibiosis % | Entanglement % | Av. H ± SE (cm) | |
|---|---|---|---|---|---|---|---|---|---|---|---|
| Area A1 | 2016 | Mesco Cape | 44.13108 | 9.63407 | PMMN_S2_T2 | 47 | 64 | 1.3 | 9.4 | 7.8 | 28.8 ± 2.3 |
| 2019 | 66 | 0.5 | 15.9 | 4.5 | 20.3 ± 1.3 | ||||||
| 2022 | 66 | 0.8 | 9.1 | 3.0 | 23.6 ± 0.9 | ||||||
| 2015 | Manara Cape W | 44.243216 | 9.40207 | SLMO_S3_T1 | 59 | 82 | 0.9 | 20.7 | 3.7 | 38.4 ± 2.2 | |
| 2019 | 107 | 4.1 | 40.0 | 77.6 | 35.5 ± 1.7 | ||||||
| 2019 | SLMO_S3_T3 | 41 | 198 | 2.0 | 73.0 | 21.2 | 30.2 ± 0.9 | ||||
| 2022 | 284 | 3.6 | 56.0 | 1.1 | 28.0 ± 1.1 | ||||||
| 2015 | SLMO_S3_T4 | 47 | 228 | 2.5 | 10.1 | 1.3 | 47.3 ± 2.2 | ||||
| 2019 | 95 | 1.4 | 89.4 | 46.3 | 35.0 ± 1.1 | ||||||
| 2022 | 94 | 1.0 | 39.4 | 3.2 | 29.0 ± 1.7 | ||||||
| 2015 | Manara Cape E | 44.24516 | 9.40409 | SLMO_S2_T1 | 55 | 119 | 1.6 | 16.0 | 0.8 | 34.3 ± 2.3 | |
| 2019 | 212 | 2.6 | 76.0 | 22.2 | 35.3 ± 1.0 | ||||||
| 2015 | SLMO_S2_T2 | 64 | 97 | 1.0 | 9.3 | 4.1 | 32.2 ± 2.2 | ||||
| 2019 | 94 | 1.8 | 37.5 | 9.6 | 25.5 ± 1.1 | ||||||
| 2016 | Portofino Cape | 44.2923 | 9.22313 | AMPP_S1_T3 | 60 | 174 | 6.7 | 6.3 | 1.1 | 31.7 ± 1.2 | |
| 2019 | 115 | 1.2 | 58.8 | 9.6 | 32.7 ± 1.6 | ||||||
| 2022 | 50 | 0.6 | 10.0 | - | 28.2 ± 1.3 | ||||||
| 2016 | Isuela Shoal | 44.33713 | 9.14897 | AMPP_S3_T2 | 33 | 838 | 10.6 | 24.6 | 2.7 | 24.2 ± 1.5 | |
| 2019 | 833 | 8.3 | 36.0 | 1.6 | 29.2 ± 1.0 | ||||||
| 2022 | 649 | 6.6 | 8.8 | - | 30.8 ± 0.7 | ||||||
| 2016 | AMPP_S3_T3 | 52 | 332 | 3.8 | 15.1 | 6.9 | 24.9 ± 1.5 | ||||
| 2019 | 247 | 4.4 | 33.0 | 11.7 | 28.7 ± 1.5 | ||||||
| 2022 | 104 | 1.2 | 53.1 | 1.0 | 28.5 ± 0.9 | ||||||
| Area A2 | 2015 | Arenzano-Varazze | 44.38512 | 8.6996 | NOAR_S1_T2 | 40 | 337 | 4.3 | 11.6 | 2.1 | 34.3 ± 1.3 |
| 2018 | 411 | 5.1 | 60.3 | 42.8 | 33.2 ± 1.2 | ||||||
| 2021 | 315 | 3.6 | 79.0 | 31.0 | 21.0 ± 0.9 | ||||||
| 2015 | Vado Ligure | 44.2603 | 8.46638 | NOAR_S2_T1 | 48 | 277 | 3.4 | 12.3 | 9.0 | 34.6 ± 2.0 | |
| 2018 | 207 | 4.0 | 28.5 | 50.7 | 31.1 ± 1.4 | ||||||
| 2015 | NOAR_S2_T2 | 63 | 184 | 1.5 | 12.5 | 14.2 | 30.0 ± 2.0 | ||||
| 2018 | 144 | 3.0 | 78.5 | 22.2 | 34.5 ± 1.2 | ||||||
| 2021 | 152 | 3.2 | 44.0 | 8.0 | 22.3 ± 1.0 | ||||||
| 2015 | NOAR_S2_T3 | 56 | 72 | 0.9 | 5.6 | 4.2 | 13.4 ± 1.5 | ||||
| 2018 | 81 | 1.5 | 66.7 | 76.5 | 25.3 ± 1.2 | ||||||
| 2016 | Savona A | 44.28739 | 8.50042 | SVCL_S3_T2 | 45 | 291 | 3.5 | 3.8 | 22.0 | 29.8 ± 1.6 | |
| 2019 | 158 | 3.9 | 51.0 | 21.5 | 28.7 ± 0.9 | ||||||
| 2022 | 314 | 4.5 | 7.6 | 9.2 | 25.0 ± 0.6 | ||||||
| 2016 | Savona B | 44.27878 | 8.52335 | SVCL_S2_T3 | 58 | 309 | 3.3 | 6.1 | 37.5 | 25.6 ± 1.7 | |
| 2019 | 125 | 2.6 | 76.7 | 72.0 | 35.3 ± 1.7 | ||||||
| 2022 | 482 | 12.4 | 38.0 | 19.9 | 25.1 ± 0.8 | ||||||
| 2015 | Maledetti Shoal | 44.22381 | 8.43657 | NOAR_S4_T1 | 58 | 610 | 5.3 | 1.7 | 47.3 | 21.7 ± 1.0 | |
| 2018 | 276 | 2.8 | 42.4 | 84.4 | 25.2 ± 1.0 | ||||||
| 2015 | NOAR_S4_T2 | 68 | 69 | 4.2 | 8.8 | 29.8 | 17.8 ± 1.5 | ||||
| 2018 | 179 | 2.3 | 7.8 | 97.2 | 27.8 ± 1.2 | ||||||
| 2021 | 89 | 2.1 | 28.2 | 12.8 | 12.5 ± 1.2 | ||||||
| 2018 | NOAR_S4_T4 | 56 | 271 | 3.2 | 42.1 | 87.8 | 29.8 ± 1.4 | ||||
| 2021 | 138 | 1.6 | 36.0 | 14.0 | 19.1 ± 0.7 | ||||||
| 2018 | NOAR_S4_T5 | 62 | 382 | 3.8 | 20.7 | 79.8 | 26.3 ± 1.3 | ||||
| 2021 | 352 | 4.2 | 30.0 | 58.0 | 21.5 ± 0.7 | ||||||
| 2018 | NOAR_S4_T7 | 53 | 68 | 0.7 | 10.3 | 36.8 | 15.8 ± 0.8 | ||||
| 2021 | 84 | 0.8 | 12.9 | 21.4 | 11.6 ± 0.5 | ||||||
| 2018 | NOAR_S4_T8 | 59 | 640 | 6.6 | 10.8 | 60.0 | 15.8 ± 0.4 | ||||
| 2021 | 421 | 4.2 | 53.0 | 25.0 | 12.5 ± 0.3 | ||||||
| 2017 | Finale Ligure | 44.15817 | 8.36462 | BONO_S1_T2 | 83 | 163 | 2.0 | 4.9 | 12.3 | 24.2 ± 1.2 | |
| 2020 | 112 | 5.9 | 34.3 | 18.8 | 33.2 ± 3.4 | ||||||
| 2017 | BONO_S1_T3 | 77 | 405 | 5.1 | 3.6 | 35.3 | 32.9 ± 1.2 | ||||
| 2020 | 453 | 5.3 | 12.0 | 5.7 | 65.7 ± 2.6 | ||||||
| Area A3 | 2017 | Albenga | 44.02396 | 8.24063 | ALGA_S3_T2 | 58 | 54 | 0.7 | 11.8 | 38.2 | 30.1 ± 1.5 |
| 2020 | 72 | 1.2 | 70.8 | 1.4 | 35.4 ± 2.1 | ||||||
| 2015 | Diano Marina | 43.88217 | 8.08675 | SSDM_S1_T2 | 51 | 175 | 2.4 | 6.3 | 18.9 | 33.2 ± 1.5 | |
| 2018 | 119 | 2.0 | 55.5 | 68.9 | 39.4 ± 1.2 | ||||||
| 2021 | 115 | 1.3 | 28.4 | 10.8 | 20.6 ± 1.0 | ||||||
| 2018 | Porto Maurizio | 43.84858 | 8.01065 | SSDM_S2_T3 | 36 | 76 | 1.2 | 1.3 | - | 37.8 ± 1.2 | |
| 2021 | 156 | 3.1 | 21.0 | 11.0 | 21.5 ± 0.9 | ||||||
| 2017 | Sanremo E | 43.7929 | 7.79271 | SRSST_S1_T2 | 69 | 265 | 3.3 | 18.1 | 46.2 | 27.7 ± 0.9 | |
| 2020 | 335 | 6.6 | 4.0 | 25.1 | 37.4 ± 1.3 | ||||||
| 2017 | SRSST_S1_T3 | 61 | 232 | 2.9 | 18.7 | 46.7 | 24.9 ± 1.2 | ||||
| 2020 | 135 | 3.5 | 7.0 | 26.7 | 31.7 ± 1.6 | ||||||
| 2017 | Sanremo W | 43.76695 | 7.77113 | BOSR_S3_T1 | 65 | 180 | 2.3 | 9.7 | 55.9 | 25.9 ± 1.1 | |
| 2020 | 181 | 4.4 | 10.4 | 1.7 | 38.3 ± 2.1 | ||||||
| 2017 | BOSR_S3_T2 | 49 | 54 | 0.7 | 9.7 | 55.9 | 32.9 ± 1.5 | ||||
| 2020 | 77 | 0.9 | 33.3 | 15.6 | 50.5 ± 2.2 | ||||||
| 2016 | Bordighera E | 43.7699 | 7.67639 | CMBO_S1_T1 | 49 | 155 | 1.9 | 4.5 | 5.8 | 19.5 ± 1.6 | |
| 2018 | 218 | 4.0 | 11.5 | 13.3 | 45.0 ± 1.2 | ||||||
| 2021 | 556 | 8.4 | 7.0 | 3.4 | 21.7 ± 1.0 | ||||||
| 2016 | CMBO_S1_T2 | 60 | 179 | 1.9 | 8.4 | 13.4 | 26.8 ± 2.1 | ||||
| 2018 | 180 | 3.8 | 13.3 | 31.7 | 34.9 ± 1.6 | ||||||
| 2021 | 823 | 13.1 | 49.0 | 6.0 | 24.8 ± 0.9 | ||||||
| 2016 | CMBO_S1_T3 | 66 | 400 | 5.0 | 2.8 | 11.3 | 22.5 ± 1.6 | ||||
| 2018 | 517 | 8.6 | 7.4 | 44.7 | 25.9 ± 1.2 | ||||||
| 2021 | 407 | 5.1 | 0.0 | 0.0 | 13.6 ± 1.1 | ||||||
| 2016 | Mortola Cape | 43.76952 | 7.56353 | CMBO_S3_T2 | 35 | 302 | 3.8 | 29.1 | 3.3 | 28.1 ± 2.1 | |
| 2020 | 243 | 4.5 | 39.3 | 7.4 | 43.1 ± 1.9 |
| df | SS | MS | Pseudo-F | P (Perm) | Pair-Wises | T | P (Perm) | |
|---|---|---|---|---|---|---|---|---|
| Density | ||||||||
| Area | 2 | 5201.1 | 2600.5 | 2.716 | 0.3686 | |||
| Res | 107 | 1.0245 × 105 | 957.5 | |||||
| Total | ||||||||
| Height | Height | |||||||
| Area | 2 | 1360.9 | 680.44 | 35.551 | 0.0267 | A1 vs. A2 | 20.462 | 0.0357 |
| Res | 107 | 20,480 | 191.4 | A1 vs. A3 | 0.7000 | 0.5049 | ||
| Total | 109 | 21,840 | A2 vs. A3 | 22.188 | 0.0249 | |||
| Epibiosis | Epibiosis | |||||||
| Area | 2 | 11,824 | 5912.2 | 38.355 | 0.006 | A1 vs A2 | 12.312 | 0.1907 |
| Res | 107 | 1.65 × 109 | 1541.4 | A1 vs. A3 | 2.721 | 0.0012 | ||
| Total | 109 | 1.77 × 109 | A2 vs. A3 | 16.747 | 0.0545 | |||
| Entanglement | Entanglement | |||||||
| Area | 2 | 25,589 | 12795 | 68.677 | 0.0001 | A1 vs. A2 | 37.941 | 0.0001 |
| Res | 107 | 1.99 × 109 | 1863 | A1 vs. A3 | 19.837 | 0.0119 | ||
| Total | 109 | 2.25 × 109 | A2 vs. A3 | 16.131 | 0.0553 | |||
| df | SS | MS | Pseudo-F | P (Perm) | Pair-Wises | t | P (Perm) | Unique Perms | P (MC) | |
|---|---|---|---|---|---|---|---|---|---|---|
| A1 | ||||||||||
| Epibiosis | ||||||||||
| Before/After | 5 | 11,612 | 2322.3 | 29.303 | 0.0228 | 2015/19 | 40.632 | 0.027 | 35 | 0.0024 |
| Res | 20 | 15,850 | 792.52 | 2016/19 | 20.984 | 0.0532 | 35 | 0.0529 | ||
| Total | 25 | 27,462 | 2019/22 | 0.79759 | 0.502 | 126 | 0.4923 | |||
| Entanglement | ||||||||||
| Before/After | 5 | 18,518 | 3703.6 | 21.411 | 0.0244 | 2015/19 | 27.952 | 0.0259 | 35 | 0.006 |
| Res | 20 | 34,595 | 1729.7 | 2016/19 | 0.4955 | 0.7255 | 35 | 0.7313 | ||
| Total | 25 | 53,113 | 2019/22 | 14.721 | 0.0794 | 126 | 0.1193 | |||
| A2 | ||||||||||
| Epibiosis | ||||||||||
| Before/After | 5 | 23,565 | 4713 | 46.103 | 0.001 | 2015/18 | 27.982 | 0.0135 | 462 | 0.0043 |
| Res | 32 | 32,713 | 1022.3 | 2016/20 | 38.243 | 0.0287 | 35 | 0.0029 | ||
| Total | 37 | 56,278 | 2018/22 | 0.516 | 0.709 | 8170 | 0.7162 | |||
| Entanglement | ||||||||||
| Before/After | 5 | 15,630 | 3125.9 | 32.804 | 0.0031 | 2015/18 | 2.362 | 0.0203 | 461 | 0.0157 |
| Res | 32 | 30,493 | 952.92 | 2016/20 | 0.59803 | 0.8289 | 35 | 0.6893 | ||
| Total | 37 | 46,123 | 2018/22 | 30.371 | 0.0046 | 8150 | 0.0043 | |||
| A3 | ||||||||||
| Epibiosis | ||||||||||
| Before/After | 5 | 9829.4 | 1965.9 | 12.736 | 0.2349 | 2015/18 | 18.318 | 0.0536 | 35 | 0.0779 |
| Res | 22 | 33,959 | 1543.6 | 2016/20 | 11.444 | 0.2483 | 91 | 0.2815 | ||
| Total | 27 | 43,788 | 2018/21 | 0.83113 | 0.6803 | 126 | 0.5607 | |||
| Entanglement | ||||||||||
| Before/After | 5 | 17,345 | 3469 | 19.534 | 0.0293 | 2015/18 | 21.685 | 0.0855 | 35 | 0.0435 |
| Res | 22 | 39,068 | 1775.8 | 2016/20 | 15.939 | 0.1094 | 91 | 0.1148 | ||
| Total | 27 | 56,413 | 2018/21 | 15.329 | 0.0403 | 91 | 0.0872 |
Disclaimer/Publisher’s Note: The statements, opinions and data contained in all publications are solely those of the individual author(s) and contributor(s) and not of MDPI and/or the editor(s). MDPI and/or the editor(s) disclaim responsibility for any injury to people or property resulting from any ideas, methods, instructions or products referred to in the content. |
© 2024 by the authors. Licensee MDPI, Basel, Switzerland. This article is an open access article distributed under the terms and conditions of the Creative Commons Attribution (CC BY) license (https://creativecommons.org/licenses/by/4.0/).
Share and Cite
Canessa, M.; Bertolotto, R.; Betti, F.; Bo, M.; Dagnino, A.; Enrichetti, F.; Toma, M.; Bavestrello, G. Variation in the Health Status of the Mediterranean Gorgonian Forests: The Synergistic Effect of Marine Heat Waves and Fishing Activity. Biology 2024, 13, 642. https://doi.org/10.3390/biology13080642
Canessa M, Bertolotto R, Betti F, Bo M, Dagnino A, Enrichetti F, Toma M, Bavestrello G. Variation in the Health Status of the Mediterranean Gorgonian Forests: The Synergistic Effect of Marine Heat Waves and Fishing Activity. Biology. 2024; 13(8):642. https://doi.org/10.3390/biology13080642
Chicago/Turabian StyleCanessa, Martina, Rosella Bertolotto, Federico Betti, Marzia Bo, Alessandro Dagnino, Francesco Enrichetti, Margherita Toma, and Giorgio Bavestrello. 2024. "Variation in the Health Status of the Mediterranean Gorgonian Forests: The Synergistic Effect of Marine Heat Waves and Fishing Activity" Biology 13, no. 8: 642. https://doi.org/10.3390/biology13080642
APA StyleCanessa, M., Bertolotto, R., Betti, F., Bo, M., Dagnino, A., Enrichetti, F., Toma, M., & Bavestrello, G. (2024). Variation in the Health Status of the Mediterranean Gorgonian Forests: The Synergistic Effect of Marine Heat Waves and Fishing Activity. Biology, 13(8), 642. https://doi.org/10.3390/biology13080642

